Bioregulators Can Improve Biomass Production, Photosynthetic Efficiency, and Ornamental Quality of Gazania rigens L.
Abstract
1. Introduction
2. Materials and Methods
2.1. Plant Materials
2.2. Experiment Design, Chemicals Application, and Crop Management
2.3. Morphological Parameters and Ornamental Attributes
2.4. Leaf Gas Exchange Measurements
2.5. Statistical Analysis
3. Results
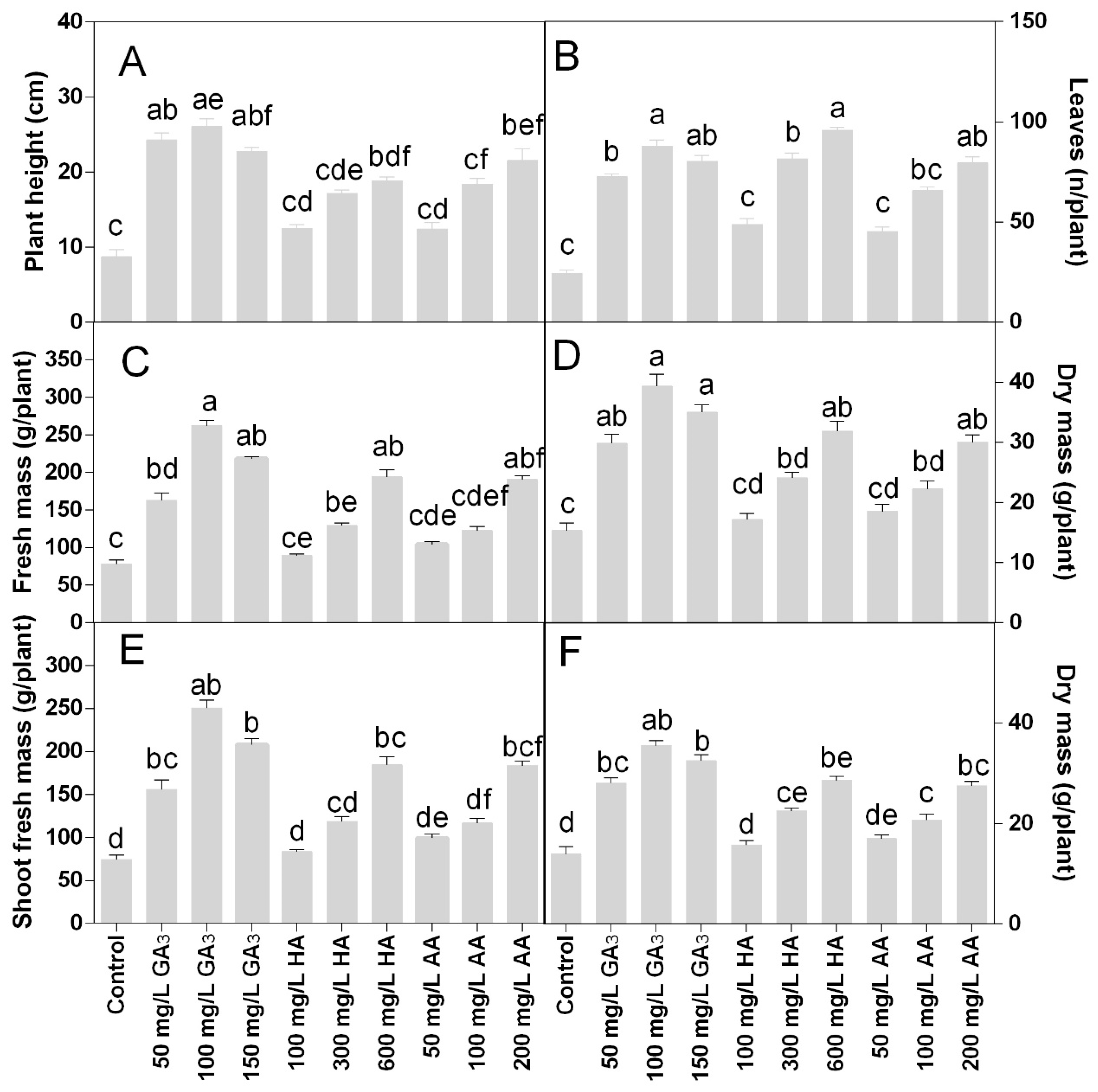
3.1. Plant Growth and Morpho-Agronomic Parameters
3.2. The Gas Exchanges Analysis
4. Discussion
5. Conclusions
Author Contributions
Funding
Conflicts of Interest
References
- Zulfiqar, F.; Casadesús, A.; Brockman, H.; Munné-Bosch, S. An overview of plant-based natural biostimulants for sustainable horticulture with a particular focus on moringa leaf extracts. Plant Sci. 2019, 110194. [Google Scholar] [CrossRef]
- García-Caparrós, P.; Lao, M.T. The effects of salt stress on ornamental plants and integrative cultivation practices. Sci. Hortic. 2018, 240, 430–439. [Google Scholar] [CrossRef]
- Younis, A.; Riaz, A.; Qasim, M.; Mansoor, F.; Zulfiqar, F.; Tariq, U.; Ahsan, M.; Naseem, M.K.; Bhatti, Z.M. Screening of marigold (Tagetes erecta L.) cultivars for drought stress based on vegetative and physiological characteristics. Int. J. Food Allied Sci. 2018, 3, 56. [Google Scholar] [CrossRef]
- Younis, A.; Akhtar, M.S.; Riaz, A.; Zulfiqar, F.; Qasim, M.; Farooq, A.; Tariq, U.; Ahsan, M.; Bhatti, Z.M. Improved cut flower and corm production by exogenous moringa leaf extract application on gladiolus cultivars. Acta Sci. Pol. Hortorum Cultus 2018, 17, 25–38. [Google Scholar] [CrossRef]
- Sajjad, Y.; Jaskani, M.J.; Asif, M.; Qasim, M. Application of plant growth regulators in ornamental plants: A review. Pak. J. Agric. Sci. 2017, 54, 327–333. [Google Scholar]
- Mills-Ibibofori, T.; Dunn, B.L.; Maness, N.; Payton, M. Effect of LED Lighting and Gibberellic Acid Supplementation on Potted Ornamentals. Horticulturae 2019, 5, 51. [Google Scholar] [CrossRef]
- Rademacher, W. Plant Growth Regulators: Backgrounds and Uses in Plant Production. J. Plant Growth Regul. 2015, 34, 845–872. [Google Scholar] [CrossRef]
- Sardoei, A.S. Plant growth regulators effects on the growth and photosynthetic pigments on three indoor ornamental plants. Eur. J. Exp. Biol. 2014, 4, 311–318. [Google Scholar]
- Camara, M.C.; Vandenberghe, L.P.S.; Rodrigues, C.; de Oliveira, J.; Faulds, C.; Bertrand, E.; Soccol, C.R. Current advances in gibberellic acid (GA3) production, patented technologies and potential applications. Planta 2018, 248, 1049–1062. [Google Scholar] [CrossRef]
- Chen, S.Y.; Kuo, S.R.; Chien, C.T. Roles of gibberellins and abscisic acid in dormancy and germination of red bayberry (Myrica rubra) seeds. Tree Physiol. 2008, 28, 1431–1439. [Google Scholar] [CrossRef] [PubMed]
- Urbanova, T.; Leubner-Metzger, G. Gibberellins and seed germination. In Annual Plant Reviews; John Wiley & Sons, Ltd.: Hoboken, NJ, USA, 2016; Volume 49, pp. 253–284. [Google Scholar]
- Sajid, M.; Amin, N.; Ahmad, H.; Khan, K. Effect of gibberellic acid on enhancing flowering time in Chrysanthemum morifolium. Pak. J. Bot. 2016, 48, 477–483. [Google Scholar]
- Dong, B.; Deng, Y.; Wang, H.; Gao, R.; Stephen, G.K.; Chen, S.; Jiang, J.; Chen, F. Gibberellic Acid Signaling Is Required to Induce Flowering of Chrysanthemums Grown under Both Short and Long Days. Int. J. Mol. Sci. 2017, 18, 1259. [Google Scholar] [CrossRef] [PubMed]
- Hedden, P. Gibberellin biosynthesis in higher plants. In Annual Plant Reviews; John Wiley & Sons, Ltd.: Hoboken, NJ, USA, 2016; Volume 49, pp. 37–72. [Google Scholar]
- Xue, J.; Li, T.; Wang, S.; Xue, Y.; Hu, F.; Zhang, X. Elucidation of the mechanism of reflowering in tree peony (Paeonia suffruticosa) ‘Zi Luo Lan’ by defoliation and gibberellic acid application. Plant Physiol. Biochem. 2018, 132, 571–578. [Google Scholar] [CrossRef] [PubMed]
- Bergmann, B.A.; Dole, J.M.; McCall, I. Gibberellic acid shows promise for promoting flower stem length in four field-grown cut flowers. HortTechnology 2016, 26, 287–292. [Google Scholar] [CrossRef]
- Ferrante, A.; Mensuali-Sodi, A.; Serra, G. Effect of thidiazuron and gibberellic acid on leaf yellowing of cut stock flowers. Cent. Eur. J. Biol. 2009, 4, 461–468. [Google Scholar] [CrossRef]
- Imsabai, W.; van Doorn, W.G. Effects of auxin, gibberellin, and cytokinin on petal blackening and flower opening in cut lotus flowers (Nelumbo nucifera). Postharvest Biol. Technol. 2013, 75, 54–57. [Google Scholar] [CrossRef]
- Do Nascimento Simões, A.; Diniz, N.B.; da Silva Vieira, M.R.; Ferreira-Silva, S.L.; da Silva, M.B.; Minatel, I.O.; Lima, G.P.P. Impact of GA3 and spermine on postharvest quality of anthurium cut flowers (Anthurium andraeanum) cv. Arizona. Sci. Hortic. 2018, 241, 178–186. [Google Scholar] [CrossRef]
- Van Oosten, M.J.; Pepe, O.; De Pascale, S.; Silletti, S.; Maggio, A. The role of biostimulants and bioeffectors as alleviators of abiotic stress in crop plants. Chem. Biol. Technol. Agric. 2017, 4, 5. [Google Scholar] [CrossRef]
- Nardi, S.; Ertani, A.; Francioso, O. Soil–root cross-talking: The role of humic substances. J. Plant Nutr. Soil Sci. 2017, 180, 5–13. [Google Scholar] [CrossRef]
- Popescu, G.C.; Popescu, M. Yield, berry quality and physiological response of grapevine to foliar humic acid application. Bragantia 2018, 77, 273–282. [Google Scholar] [CrossRef]
- Canellas, L.P.; Olivares, F.L.; Aguiar, N.O.; Jones, D.L.; Nebbioso, A.; Mazzei, P.; Piccolo, A. Humic and fulvic acids as biostimulants in horticulture. Sci. Hortic. 2015, 196, 15–27. [Google Scholar] [CrossRef]
- Elmongy, M.S.; Zhou, H.; Cao, Y.; Liu, B.; Xia, Y. The effect of humic acid on endogenous hormone levels and antioxidant enzyme activity during in vitro rooting of evergreen azalea. Sci. Hortic. 2018, 227, 234–243. [Google Scholar] [CrossRef]
- De Pascale, S.; Rouphael, Y.; Colla, G. Plant biostimulants: Innovative tool for enhancing plant nutrition in organic farming. Eur. J. Hortic. Sci. 2018, 82, 277–285. [Google Scholar] [CrossRef]
- Cordeiro, F.C.; Santa-Catarina, C.; Silveira, V.; de SOUZA, S.R. Humic acid effect on catalase activity and the generation of reactive oxygen species in corn (Zea mays). Biosci. Biotechnol. Biochem. 2011, 75, 70–74. [Google Scholar] [CrossRef]
- Soppelsa, S.; Kelderer, M.; Casera, C.; Bassi, M.; Robatscher, P.; Andreotti, C. Use of biostimulants for organic apple production: Effects on tree growth, yield performances and fruit quality at harvest and during storage. Front. Plant Sci. 2018, 9, 1342. [Google Scholar] [CrossRef]
- Olivares, F.L.; Aguiar, N.O.; Rosa, R.C.C.; Canellas, L.P. Substrate biofortification in combination with foliar sprays of plant growth promoting bacteria and humic substances boosts production of organic tomatoes. Sci. Hortic. 2015, 183, 100–108. [Google Scholar] [CrossRef]
- Rose, M.T.; Patti, A.F.; Little, K.R.; Brown, A.L.; Jackson, W.R.; Cavagnaro, T.R. A Meta-Analysis and Review of Plant-Growth Response to Humic Substances. In Advances in Agronomy; Academic Press: Cambridge, MA, USA, 2014; pp. 37–89. [Google Scholar]
- Debolt, S.; Melino, V.; Ford, C.M. Ascorbate as a biosynthetic precursor in plants. Ann. Bot. 2007, 99, 3–8. [Google Scholar] [CrossRef]
- Horemans, N.; Potters, G.; De Wilde, L.; Caubergs, R.J. Division of tobacco bright yellow-2 cell cultures. Plant Physiol. 2003, 133, 361–367. [Google Scholar] [CrossRef]
- Akram, N.A.; Shafiq, F.; Ashraf, M. Ascorbic acid-a potential oxidant scavenger and its role in plant development and abiotic stress tolerance. Front. Plant Sci. 2017, 8, 613. [Google Scholar] [CrossRef]
- Davies, P.J. Plant Hormones: Physiology, Biochemistry and Molecular Biology; Springer Science & Business Media: Berlin, Germany, 2013. [Google Scholar]
- Henny, R.J. Gibberellic acid (GA3) induces flowering in Dieffenbachia maculate ‘Perfection’. HortScience 1980, 15, 613. [Google Scholar]
- Chen, J.; Henny, R.J.; McConnell, D.B.; Caldwell, R.D. Gibberellic acid affects growth and flowering of Philodendron ‘Black Cardinal’. Plant Growth. Regul. 2003, 41, 1–6. [Google Scholar] [CrossRef]
- Asil, M.H.; Roein, Z.; Abbasi, J. Response of tuberose (Polianthes tuberose L.) to gibberellic acid and benzyladenine. Hortic. Environ. Biotechnol. 2011, 52, 46. [Google Scholar] [CrossRef]
- Malik, S.N.; Qadri, Z.A.; Nazki, I.; Mir, S.; Khan, F.A.; Pukhta, M.S. Effect of Gibberellic Acid, Spacing and Nutrient Sprays on Growth and Flowering in Snapdragon (Antirrhinum majus L.) cv. Rocket Pink. Int. J. Plant Soil Sci. 2019, 28, 1–6. [Google Scholar] [CrossRef]
- Kozłowska, M.; Rybus-Zając, M.; Stachowiak, J.; Janowska, B. Changes in carbohydrate contents of Zantedeschia leaves under gibberellin-stimulated flowering. Acta Physiol. Plant. 2007, 29, 27–32. [Google Scholar] [CrossRef]
- Bulgari, R.; Franzoni, G.; Ferrante, A. Biostimulants Application in Horticultural Crops under Abiotic Stress Conditions. Agronomy 2019, 9, 306. [Google Scholar] [CrossRef]
- Evans, M.R.; Li, G. Effect of humic acids on growth of annual ornamental seedling plugs. HortTechnology 2003, 13, 661–665. [Google Scholar] [CrossRef]
- Mohammadipour, E.; Golchin, A.; Mohammadi, J.; Negahdar, N.; Zarchini, M. Effect of humic acid on yield and quality of marigold (Calendula officinalis L.). Ann. Biol. Res. 2012, 3, 5095–5098. [Google Scholar]
- Nardi, S.; Arnoldim, G.; Dell’Agnola, G. Release of the hormone-like activities from Allolobophora rosea (Sav.) and Allolobophora caliginosa (Sav.) feces. Can. J. Soil Sci. 1988, 68, 563–567. [Google Scholar] [CrossRef]
- Muscolo, A.; Bovalo, F.; Gionfriddo, F.; Nardi, S. Earthworm humic matter produces auxin-like effects on Daucus carota cell growth and nitrate metabolism. Soil Biol. Biochem. 1999, 31, 1303–1311. [Google Scholar] [CrossRef]
- Smirnoff, N. Ascorbic acid: Metabolism and functions of a multi-facetted molecule. Curr. Opin. Plant Biol. 2000, 3, 229–235. [Google Scholar] [CrossRef]
- Shalata, A.; Neumann, P.M. Exogenous ascorbic acid (vitamin C) increases resistance to salt stress and reduces lipid peroxidation. J. Exp. Bot. 2001, 52, 2207–2211. [Google Scholar] [CrossRef] [PubMed]
- Zhang, K.; Wang, G.; Bao, M.; Wang, L.; Xie, X. Exogenous application of ascorbic acid mitigates cadmium toxicity and uptake in Maize (Zea mays L.). Environ. Sci. Pollut. Res. 2019, 26, 19261–19271. [Google Scholar] [CrossRef] [PubMed]
- Mazher, A.A.; Zaghloul, S.M.; Mahmoud, S.A.; Siam, H.S. Stimulatory effect of kinetin, ascorbic acid and glutamic acid on growth and chemical constituents of Codiaeum variegatum L. plants. Armerican-Eurasian J. Agric. Environ. Sci. 2011, 10, 318–323. [Google Scholar]







| Treatments | Photosynthetic Rate (μmol m−2 s−1) | Transpiration Rate (mmol m−2 s−1) | Stomatal Conductance (mol m−2 s−1) | WUE (µmol CO2 mol−1 H2O) |
|---|---|---|---|---|
| Control | 9.27 ± 0.15 c | 2.68 ± 0.11 d | 0.053 ± 0.002 f | 172.95 ± 4.33 b |
| GA3 50 mg L−1 | 11.77 ± 0.31 b | 3.243 ± 0.12 b | 0.076 ± 0.002 bc | 155.71 ± 4.39 cd |
| GA3 100 mg L−1 | 14.48 ± 0.19 a | 3.28 ± 0.05 ab | 0.087 ± 0.003 a | 191.13 ± 5.35 a |
| GA3 150 mg L−1 | 13.44 ± 0.22 ab | 3.24 ± 0.09 b | 0.083 ± 0.002 ab | 174.10 ± 5.01 b |
| HA 100 mg L−1 | 9.52 ± 0.31 c | 2.81 ± 0.08 cd | 0.063 ± 0.002 e | 157.02 ± 2.33 cd |
| HA 300 mg L−1 | 10.91 ± 0.34 cd | 3.05 ± 0.06 bcd | 0.052 ± 0.003 f | 162.44 ± 4.14 bcd |
| HA 600 mg L−1 | 12.28 ± 0.35 abd | 3.27 ± 0.09 ab | 0.079 ± 0.002 b | 164.29 ± 3.50 bcd |
| AA 50 mg L−1 | 9.81 ± 0.19 c | 2.81 ± 0.08 cd | 0.065 ± 0.002 de | 151.43 ± 4.87 d |
| AA 100 mg L−1 | 11.69 ± 0.24 bd | 3.20 ± 0.08 bc | 0.071 ± 0.002 cd | 163.22 ± 6.10 bcd |
| AA 200 mg L−1 | 13.11 ± 0.47 ab | 3.65 ± 0.34 a | 0.083 ± 0.002 ab | 168.78 ± 6.67 bc |
| P > F (Model) | <0.0001 | 0.001 | <0.0001 | 0.000 |
| Significant | Yes | Yes | Yes | Yes |
© 2019 by the authors. Licensee MDPI, Basel, Switzerland. This article is an open access article distributed under the terms and conditions of the Creative Commons Attribution (CC BY) license (http://creativecommons.org/licenses/by/4.0/).
Share and Cite
Zulfiqar, F.; Younis, A.; Abideen, Z.; Francini, A.; Ferrante, A. Bioregulators Can Improve Biomass Production, Photosynthetic Efficiency, and Ornamental Quality of Gazania rigens L. Agronomy 2019, 9, 773. https://doi.org/10.3390/agronomy9110773
Zulfiqar F, Younis A, Abideen Z, Francini A, Ferrante A. Bioregulators Can Improve Biomass Production, Photosynthetic Efficiency, and Ornamental Quality of Gazania rigens L. Agronomy. 2019; 9(11):773. https://doi.org/10.3390/agronomy9110773
Chicago/Turabian StyleZulfiqar, Faisal, Adnan Younis, Zainul Abideen, Alessandra Francini, and Antonio Ferrante. 2019. "Bioregulators Can Improve Biomass Production, Photosynthetic Efficiency, and Ornamental Quality of Gazania rigens L." Agronomy 9, no. 11: 773. https://doi.org/10.3390/agronomy9110773
APA StyleZulfiqar, F., Younis, A., Abideen, Z., Francini, A., & Ferrante, A. (2019). Bioregulators Can Improve Biomass Production, Photosynthetic Efficiency, and Ornamental Quality of Gazania rigens L. Agronomy, 9(11), 773. https://doi.org/10.3390/agronomy9110773
