Zero Tillage Improves Soil Properties, Reduces Nitrogen Loss and Increases Productivity in a Rice Farmland in Ghana
Abstract
1. Introduction
2. Materials and methods
2.1. Plant Material and Growing Conditions
2.2. Experimental Conditions
2.3. Soil Sampling and Analysis
2.4. Monitoring of Runoff N Loss
2.5. Growth and Yield Parameters of Rice
2.6. Data Analysis
3. Results and Discussion
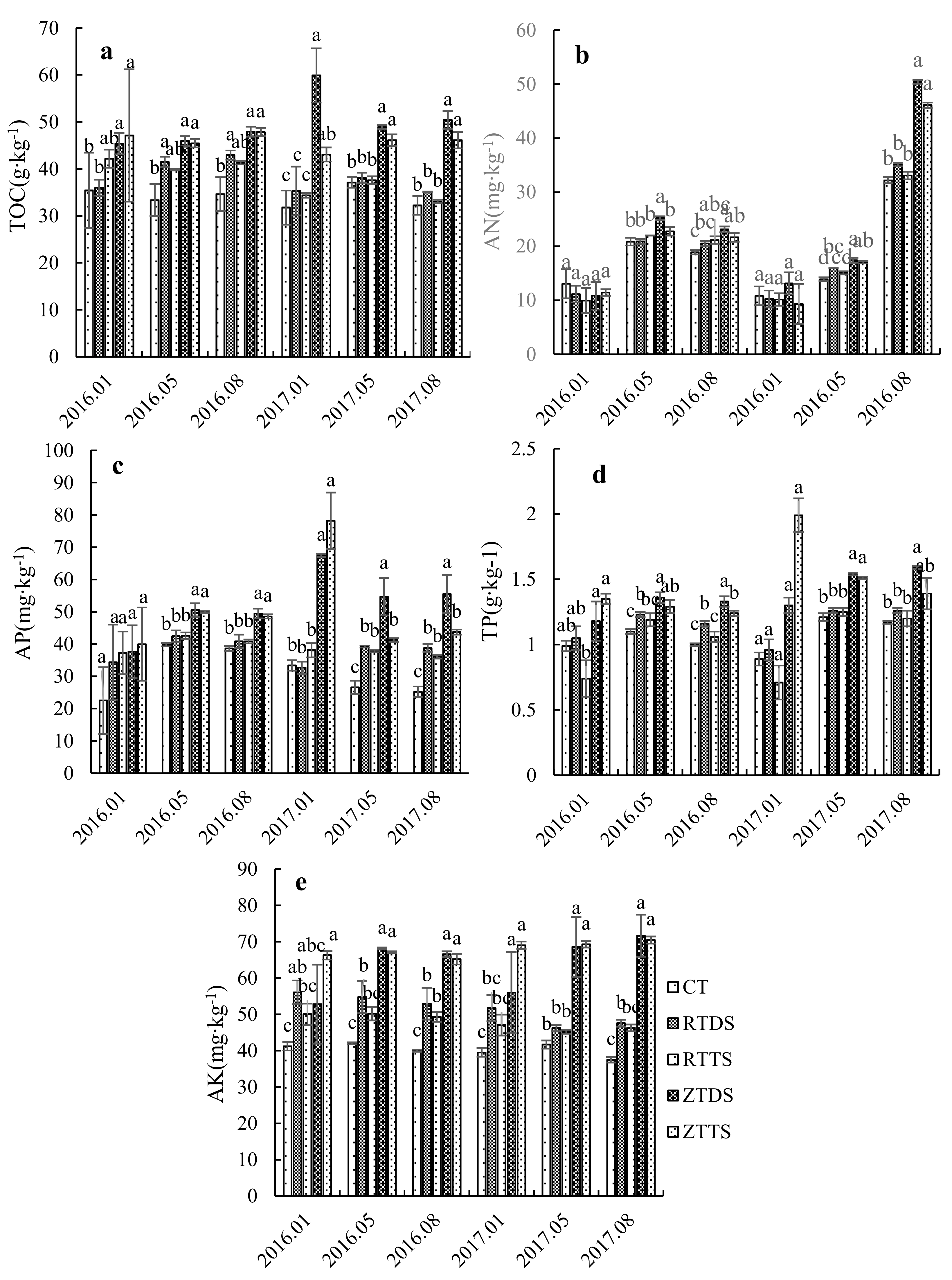
3.1. Effect of Tillage Methods on Soil Properties
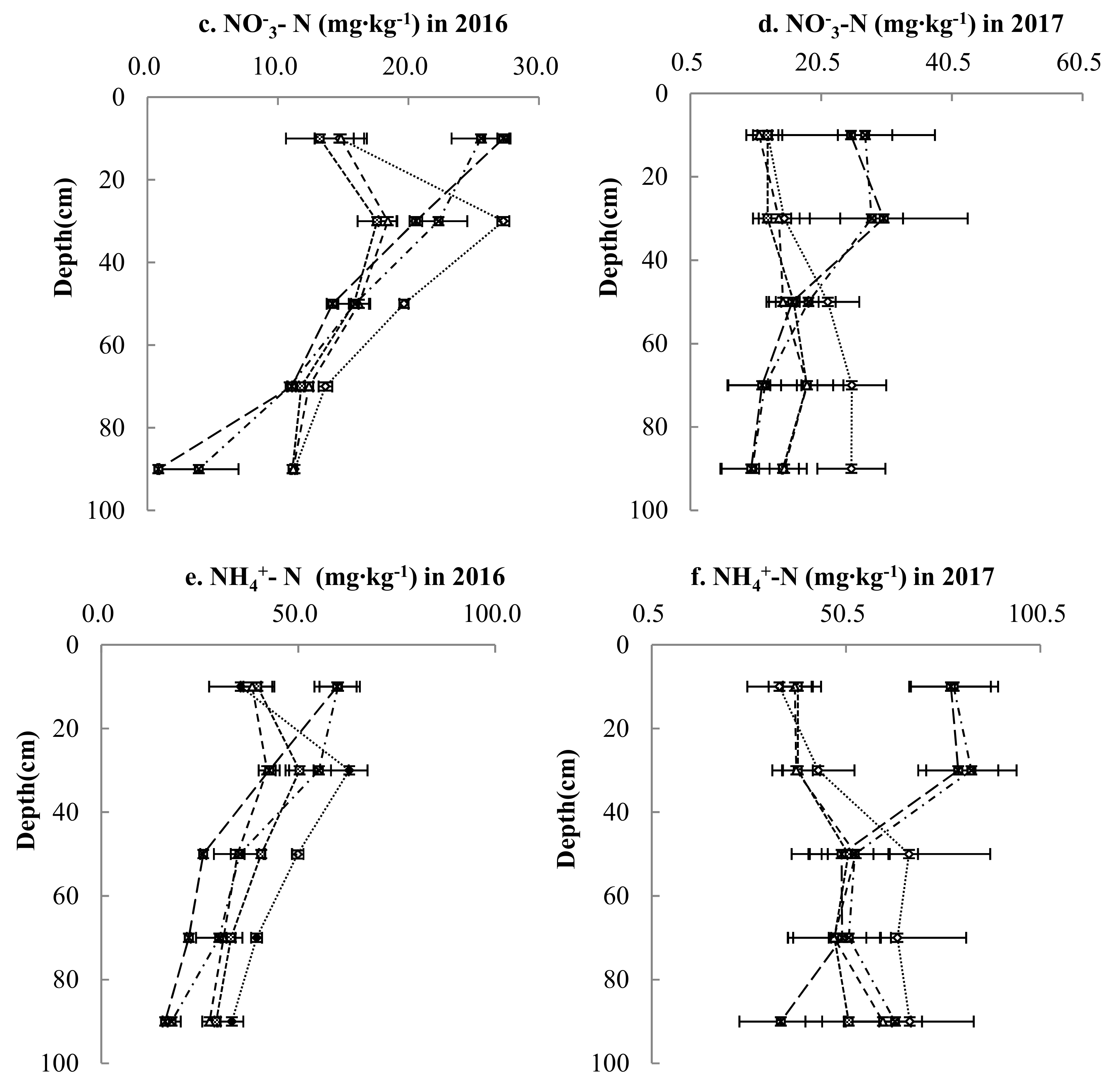
3.2. Effect of Tillage Methods on Soil Nutrient Movement and TN Loss
3.3. Effect of Tillage Methods on Rice Productivity
4. Conclusions
Author Contributions
Acknowledgments
Conflicts of Interest
References
- Coalition for African Rice Development (CARD). Mapping of Poverty Reduction Strategy Papers (PRSPs), Sector Strategies and Policies Related to Rice Development in Ghana; Coalition for African Rice Development (CARD): Nairobi, Kenya, 2010. [Google Scholar]
- Angelucci, F.; Asante-Poku, A.; Anaadumba, P. Analysis of Incentives and Disincentives for Rice in Ghana; Technical notes series, MAFAP; FAO: Rome, Italy, 2013. [Google Scholar]
- Jayne, T.S.; Chapoto, A.; Sitko, N.; Nkonde, C.; Muyanga, M.; Chamberlin, J. Is the scramble for land in Africa foreclosing a smallholder agricultural expansion strategy? J. Int. Aff. 2014, 67, 35–53. [Google Scholar]
- Diao, X.; Fang, P.; John, A.; Fang, P.; Justice, S.E.; Doreen, K.; Takeshima, H. Agricultural Mechanization in Ghana: Insights from a Recent Field Study; IFPRI Discussion Paper 01729; International Food Policy Research Institute: Washington, DC, USA, 2018. [Google Scholar]
- Ministry of Food and Agriculture (MOFA). Agriculture in Ghana. Facts and Figures 2010; SRID: Accra, Ghana, 2011.
- Mutema, M.; Mafongoya, P.L.; Nyagumbo, I.; Chikukura, I. Effects of crop residues and reduced tillage on macrofauna abundance. J. Org. Syst. 2013, 8, 5–16. [Google Scholar]
- Ramos, M.E.; Robles, A.B.; Sanchez-Navarro, A.; Gonzalez-Rebollar, J.L. Soil responses to different management practices in rain fed orchards in semi-arid environments. Soil Tillage Res. 2011, 112, 85–91. [Google Scholar] [CrossRef]
- Fournier, M.L.; Echeverría-Sáenz, S.; Mena, F.; Arias-Andrés, M.; De la Cruz, E.; Ruepert, C. Risk assessment of agriculture impact on the Frío River watershed and Caño Negro Ramsar wetland, Costa Rica. Environ. Sci. Pollut. Res. 2017, 25, 13347–13359. [Google Scholar] [CrossRef]
- Chen, W.; He, B.; Nover, D.; Duan, W.; Luo, C.; Zhao, K.; Chen, W. Spatiotemporal patterns and source attribution of nitrogen pollution in a typical headwater agricultural watershed in southeastern China. Environ. Sci. Pollut. Res. 2017, 25, 2756–2773. [Google Scholar] [CrossRef]
- Aziz, I.; Mahmood, T.; Raut, Y.; Lewis, W.; Islam, R.; Weil, R.R. Active Organic Matter as a Simple Measure of Field Soil Quality; ASA International Meetings: Pittsburg, PA, USA, 2009. [Google Scholar]
- Lamar, R. Adoption of conservation agriculture in Europe lessons of the KASSA project. Land Use Policy 2010, 27, 4–10. [Google Scholar] [CrossRef]
- Van den Putte, A.; Govers, G.; Diels, J.; Gillijns, K.; Demuzere, M. Assessing the effect of soil tillage on crop growth: A meta-regression analysis on European crop yields under conservation agriculture. Eur. J. Agron. 2010, 33, 231–241. [Google Scholar] [CrossRef]
- Rahman, M.H.; Okubo, A.; Sugiyama, S.; Mayland, H.F. Physical, chemical and microbiological properties of an Andisol as related to land use and tillage practice. Soil Tillage Res. 2008, 101, 10–19. [Google Scholar] [CrossRef]
- Xu, S.; Zhao, Y.; Wang, M.; Shi, X. Comparison of multivariate methods for estimating selected soil properties from intact soil cores of paddy fields by Vis–NIR spectroscopy. Geoderma 2016, 310, 29–43. [Google Scholar] [CrossRef]
- Wang, J.J.; Zeng, X.B.; Zhang, H.; Li, Y.T.; Zhao, S.Z.; Su, S.M.; Bai, L.Y.; Wang, Y.N.; Zhang, T. Effect of exogenous phosphate on the lability and phytoavailability of arsenic in soils. Chemosphere 2018, 196, 540–547. [Google Scholar] [CrossRef]
- Calvo-Fernández, J.A.; Taboada, A.; Fichtner, W.; Härdtle, L.; Calvo, L.; Marcos, E. Time-and age-related effects of experimentally simulated nitrogen deposition on the functioning of montane heath land ecosystems. Sci. Total Environ. 2016, 613–614, 149–159. [Google Scholar]
- He, S.R.; Lu, Q.; Li, W.Y.; Ren, Z.L.; Zhou, Z.; Feng, X.; Zhang, Y.L.; Li, Y.T. Factors controlling cadmium and lead activities in different parent material-derived soils from the Pearl River Basin. Chemosphere 2017, 182, 509–516. [Google Scholar] [CrossRef] [PubMed]
- Ji, W.J.; Shi, Z.; Huang, J.Y.; Li, S. In Situ Measurement of Some Soil Properties in Paddy Soil Using Visible and Near-Infrared Spectroscopy. PLoS ONE 2014, 9, e105708. [Google Scholar] [CrossRef] [PubMed]
- Egan, G.; Crawley, M.J.; Fornara, D.A. Effects of long-term grassland management on the carbon and nitrogen pools of different soil aggregate fractions. Sci. Total Environ. 2016, 613–614, 810–819. [Google Scholar] [CrossRef] [PubMed]
- Zhang, H.H.; Zhang, Y.Q.; Yan, C.R.; Liu, E.K.; Chen, B.Q. Soil nitrogen and its fractions between long-term conventional and no-tillage systems with straw retention in dryland farming in Journal of Agricultural Science. Geoderma 2016, 269, 138–144. [Google Scholar] [CrossRef]
- Bolvin, P.; Schafferr, B.; Sturny, N. Quantifying relationship between soil organic carbon and soil physical properties using shrinkage modelling. Eur. J. Soil Sci. 2009, 60, 265–275. [Google Scholar]
- Ruehlmann, J.; Körschens, M. Calculating the effect of soil organic matter concentration on soil bulk density. Soil Sci. Soc. Am. J. 2009, 73, 876–885. [Google Scholar] [CrossRef]
- Celik, I.; Ortas, I.; Kilic, S. Effects of compost, mycorrhiza, manure and fertilizer on some physical properties of a Chromoxerert soil. Soil Tillage Res. 2004, 74, 59–67. [Google Scholar] [CrossRef]
- Kugbe, X.J.; Zakaria, I. Effects of soil conservation technologies in improving soil productivity in northern Ghana. J. Soil Sci. Environ. Manag. 2015, 6, 158–167. [Google Scholar]
- Higashi, T.; Yunghui, M.; Komatsuzaki, M.; Miura, S.; Hirata, T.; Araki, H.; Kaneko, N.; Ohta, H. Tillage and cover crop species affect soil organic carbon in Andosol, Kanto, Japan. Soil Tillage Res. 2014, 138, 64–72. [Google Scholar] [CrossRef]
- He, J.; Li, H.; Rasaily, R.G.; Wang, Q.; Cai, G.; Su, Y.; Qiao, X.; Liu, L. Soil properties and crop yields after 11 years of no tillage farming in wheat-maize cropping system in North China Plain. Soil Tillage Res. 2011, 113, 48–54. [Google Scholar] [CrossRef]
- Zhang, F.; Hao, X.; Wang, R.; Xu, Y.; Kong, X.B. Changes in soil properties in southern Beijing Municipality following land reform. Soil Tillage Res. 2004, 75, 143–150. [Google Scholar] [CrossRef]
- Pierson-Wickmann, A.C.; Aquilina, L.; Weyer, C.; Molenat, J.; Lischeid, G. Acidification processes and soil leaching influenced by agricultural practices revealed by strontium isotopic ratios. Geochim. Cosmochim. Acta 2009, 73, 4688–4704. [Google Scholar] [CrossRef]
- Malo, D.D.; Schumacher, T.E.; Doolittle, J.J. Long-term cultivation impacts on selected soil properties in the northern Great Plains. Soil Tillage Res. 2005, 81, 277–291. [Google Scholar] [CrossRef]
- Zhong, J.H. The cultivated land soil ecology and mechanism in the Pearl River delta. Environ. Sci. 2009, 18, 1917–1922. [Google Scholar]
- Choudhury, S.G.; Srivastava, S.; Singh, R.; Chaudhari, S.K.; Sharma, D.K.; Singh, S.K.; Sarkar, D. Tillage and residue management effects on soil aggregation, organic carbon dynamics and yield attribute in rice–wheat cropping system under reclaimed sodic soil. Soil Tillage Res. 2014, 136, 76–83. [Google Scholar] [CrossRef]
- Abdullah, A.S. Minimum tillage and residue management increase soil water content, soil organic matter and canola seed yield and seed oil content in the semiarid areas of Northern Iraq. Soil Tillage Res. 2014, 144, 150–155. [Google Scholar] [CrossRef]
- Withers, P.J.A.; Hodgkinson, R.A.; Bates, A.; Withers, C.L. Soil cultivation effects on sediment and phosphorus mobilization in surface runoff from three contrasting soil types in England. Soil Tillage Res. 2007, 93, 438–451. [Google Scholar] [CrossRef]
- Jordán, A.; Zavala, L.M.; Gil, J. Effects of mulching on soil physical properties and runoff under semi-arid conditions in Southern Spain. Catena 2010, 81, 77–85. [Google Scholar] [CrossRef]
- Won, C.H.; Choi, Y.H.; Shin, M.H.; Lim, K.J.; Choi, J.D. Effects of rice straw mats on runoff and sediment discharge in a laboratory. Geoderma 2012, 189, 164–169. [Google Scholar] [CrossRef]
- Huang, M.; Zou, Y.B.; Jiang, P.; Xia, B.; Feng, Y.H.; Cheng, Z.W.; Mo, Y.L. Effect of tillage on soil and crop properties of wet-seeded flooded rice. Field Crop. Res. 2012, 129, 28–38. [Google Scholar] [CrossRef]
- Wang, X.B.; Dai, K.A.; Zhang, D.C.; Zhang, X.M.; Wang, Y.; Zhao, Q.S.; Cai, D.X.; Hoogmoed, W.B.; Oenema, O. Dryland maize yields and water use efficiency in response to tillage/crop stubble and nutrient management practices in China. Field Crop. Res. 2011, 120, 47–57. [Google Scholar] [CrossRef]
- Liu, S.; Yang, J.Y.; Zhang, X.Y.; Drury, C.F.; Reynolds, W.D.; Hoogenboom, G. Modeling crop yield, soil water content and soil temperature for a soybean–maize rotation under conventional and conservation tillage systems in North east China. Agric. Water Manag. 2013, 123, 32–44. [Google Scholar] [CrossRef]






| Bulk Density (g∙cm−3) | 1.56 |
|---|---|
| pH | 6.99 |
| TOC (g∙kg−1) | 45.35 |
| TN (g∙kg−1) | 1.73 |
| TP (g∙kg−1) | 1.19 |
| AN (mg∙kg−1) | 10.83 |
| Exchangeable K (mg∙kg−1) | 65.47 |
| NO3−-N (mg∙kg−1) | 25.56 |
| NH4+-N (mg∙kg−1) | 60.10 |
| Treatments | Runoff (mm) | Concentration of TN in Runoff Water (mg∙L−1) | TN Runoff Loss (kg∙N∙ha−1) |
|---|---|---|---|
| CT | 300.00 ± 11.56a | 1.68 ± 0.02a | 4.09 ± 0.04a |
| RTDS | 269.94 ± 3.16b | 1.29 ± 0.07b | 3.47 ± 0.09b |
| RTTS | 259.27 ± 3.72b | 1.26 ± 0.07b | 3.45 ± 0.09b |
| ZTDS | 177.35 ± 10.71c | 0.98 ± 0.09d | 2.69 ± 0.11c |
| ZTTS | 182.53 ± 5.28c | 1.11 ± 0.02c | 2.73 ± 0.04c |
| Treatments | 2016 | 2017 | ||||
|---|---|---|---|---|---|---|
| Plant Height (cm) | Stover Yield (t∙ha−1) | Grain Yield (t∙ha−1) | Plant Height (cm) | Stover Yield (t∙ha−1) | Grain Yield (t∙ha−1) | |
| CT | 135.10 ± 2.39a | 5.70 ± 0.10ab | 6.40 ± 0.11a | 136.20 ± 2.89a | 5.70 ± 0.10b | 6.60 ± 0.17a |
| RTDS | 133.15 ± 1.73ab | 5.60 ± 0.11b | 6.20 ± 0.11ab | 133.10 ± 1.73ab | 5.53 ± 0.13b | 6.16 ± 0.14ab |
| RTTS | 134.15 ± 2.31ab | 5.63 ± 0.09b | 5.86 ± 0.22b | 134.20 ± 2.31ab | 5.77±0.09ab | 5.90 ± 0.35b |
| ZTDS | 132.20 ± 1.15b | 5.93 ± 0.14a | 6.30 ± 0.06a | 132.10 ± 1.15b | 6.03 ± 0.17a | 6.50 ± 0.21ab |
| ZTTS | 134.25 ± 1.15ab | 5.60 ± 0.18b | 6.30 ± 0.17a | 134.30 ± 1.15ab | 5.53 ± 0.18b | 6.60 ± 0.21a |
© 2019 by the authors. Licensee MDPI, Basel, Switzerland. This article is an open access article distributed under the terms and conditions of the Creative Commons Attribution (CC BY) license (http://creativecommons.org/licenses/by/4.0/).
Share and Cite
Issaka, F.; Zhang, Z.; Li, Y.; Zhao, Z.; Asenso, E.; Sheka Kanu, A.; Li, W.; Wang, J. Zero Tillage Improves Soil Properties, Reduces Nitrogen Loss and Increases Productivity in a Rice Farmland in Ghana. Agronomy 2019, 9, 641. https://doi.org/10.3390/agronomy9100641
Issaka F, Zhang Z, Li Y, Zhao Z, Asenso E, Sheka Kanu A, Li W, Wang J. Zero Tillage Improves Soil Properties, Reduces Nitrogen Loss and Increases Productivity in a Rice Farmland in Ghana. Agronomy. 2019; 9(10):641. https://doi.org/10.3390/agronomy9100641
Chicago/Turabian StyleIssaka, Fuseini, Zhen Zhang, Yongtao Li, Zhongqiu Zhao, Evans Asenso, Adam Sheka Kanu, Wenyan Li, and Jinjin Wang. 2019. "Zero Tillage Improves Soil Properties, Reduces Nitrogen Loss and Increases Productivity in a Rice Farmland in Ghana" Agronomy 9, no. 10: 641. https://doi.org/10.3390/agronomy9100641
APA StyleIssaka, F., Zhang, Z., Li, Y., Zhao, Z., Asenso, E., Sheka Kanu, A., Li, W., & Wang, J. (2019). Zero Tillage Improves Soil Properties, Reduces Nitrogen Loss and Increases Productivity in a Rice Farmland in Ghana. Agronomy, 9(10), 641. https://doi.org/10.3390/agronomy9100641

