Germination of Chloris barbata, Cynodon dactylon, and Cyperus rotundus from Angola at Constant and Alternate Temperatures
Abstract
1. Introduction
2. Materials and Methods
2.1. Seed Collection and Storage
2.2. Germination Test
2.3. Statistical Analysis
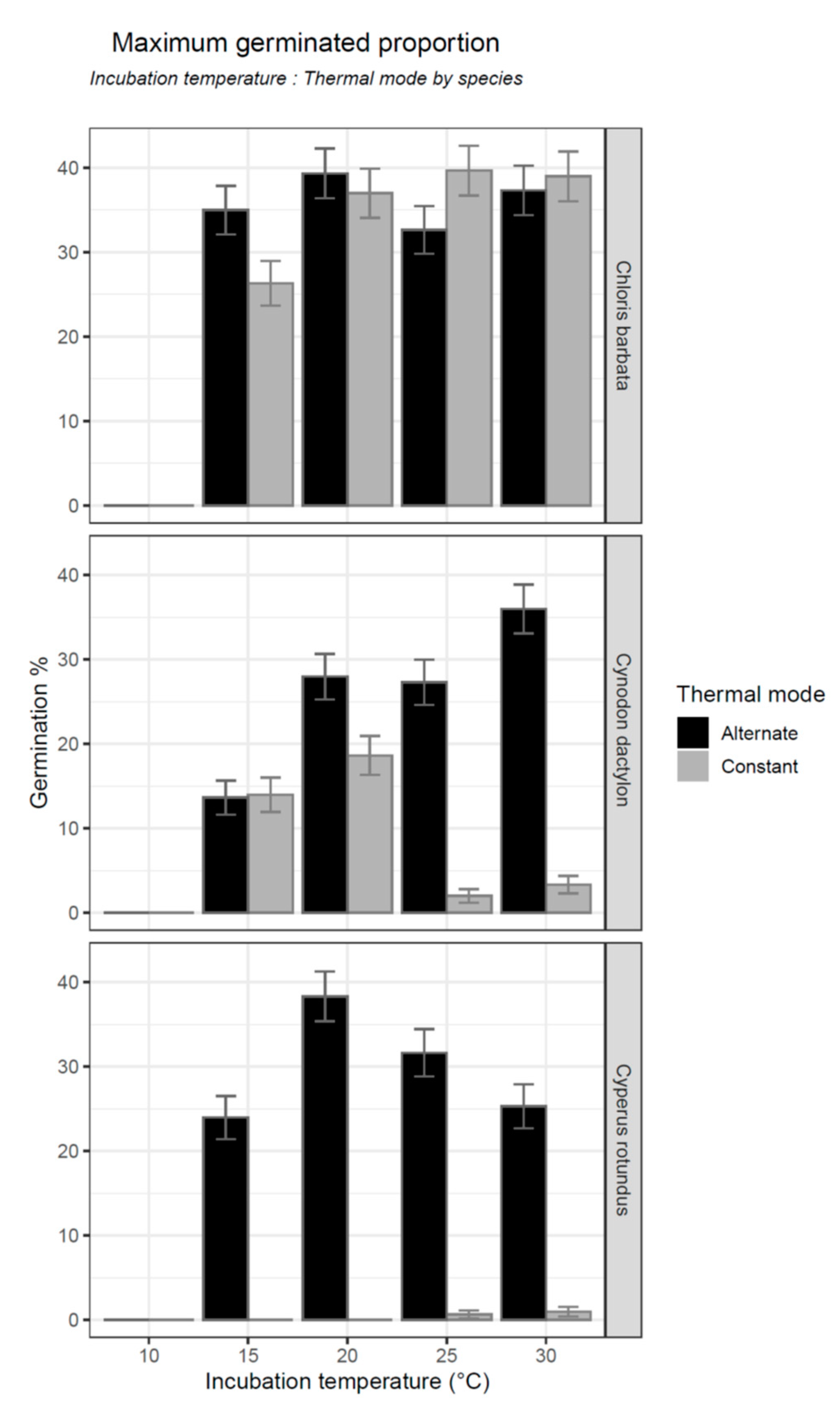
3. Results
Effect of Temperature on Germination
4. Discussion
Author Contributions
Funding
Acknowledgments
Conflicts of Interest
References
- Oerke, E.C. Crop losses to pests. J. Agric. Sci. 2006, 144, 31–43. [Google Scholar] [CrossRef]
- Soltani, N.; Dille, J.A.; Burke, I.C.; Everman, W.J.; VanGessel, M.J.; Davis, V.M.; Sikkema, P.H. Potential corn yield losses from weeds in North America. Weed Technol. 2016, 30, 979–984. [Google Scholar] [CrossRef]
- Soltani, N.; Dille, J.A.; Burke, I.C.; Everman, W.J.; Van Gessel, M.J.; Davis, V.M.; Sikkema, P.H. Perspectives on potential soybean yield losses from weeds in North America. Weed Technol. 2017, 31, 148–154. [Google Scholar] [CrossRef]
- Otto, S.; Masin, R.; Casari, G.; Zanin, G. Weed–corn competition parameters in late-winter sowing in Northern Italy. Weed Sci. 2009, 57, 194–201. [Google Scholar] [CrossRef]
- Lehoczky, E.; Nagy, P.; Lencse, T.; Tóth, V.; Kismányoky, A. Investigation of the damage caused by weeds competing with maize for nutrients. Commun. Soil Sci. Plant Anal. 2009, 40, 879–888. [Google Scholar] [CrossRef]
- Chikoye, D.; Schulz, S.; Ekeleme, F. Evaluation of integrated weed management practices for maize in the northern Guinea savanna of Nigeria. Crop Prot. 2004, 23, 895–900. [Google Scholar] [CrossRef]
- Ishaya, D.B.; Dadari, S.A.; Shebayan, J.A.Y. Evaluation of herbicides for weed control in sorghum (Sorghum bicolour) in Nigeria. Crop Prot. 2007, 26, 1697–1701. [Google Scholar] [CrossRef]
- Johnson, D.E.; Wopereis, M.C.S.; Mbodj, D.; Diallo, S.; Powers, S.; Haefele, S.M. Timing of weed management and yield losses due to weeds in irrigated rice in the Sahel. Field Crops Res. 2004, 85, 31–42. [Google Scholar] [CrossRef]
- Vissoh, P.V.; Gbèhounou, G.; Ahanchédé, A.; Kuyper, T.W.; Röling, N.G. Weeds as agricultural constraint to farmers in Benin: Results of a diagnostic study. NJAS 2004, 52, 305–329. [Google Scholar] [CrossRef]
- Kent, R.; Johnson, D.E.; Becker, M. The influences of cropping system on weed communities of rice in Côte d'Ivoire, West Africa. Agric. Ecosyst. Environ. 2001, 87, 299–307. [Google Scholar] [CrossRef]
- Rohr, J.R.; McCoy, K.A. A qualitative meta-analysis reveals consistent effects of atrazine on freshwater fish and amphibians. Environ. Health Persp. 2010, 118, 20–32. [Google Scholar] [CrossRef] [PubMed]
- Narushima, T.; Sato, T.; Goto, Y.; Takahashi, Y. Pesticides in river and tap water in rice production area of Niigata, Japan. Water Air Soil Pollut. 2014, 225, 2229. [Google Scholar] [CrossRef]
- Boutin, C.; Stranberg, B.; Carpenter, D.; Mathiassen, S.K.; Thomas, P.J. Herbicide impact on non-target plant reproduction: What are the toxicological and ecological implications? Environ. Pollut. 2014, 185, 295–306. [Google Scholar] [CrossRef] [PubMed]
- Owen, M.J.; Martinez, N.J.; Powles, S.B. Multiple herbicide-resistant Lolium rigidum (annual ryegrass) now dominates across the Western Australia grain belt. Weed Res. 2014, 54, 314–324. [Google Scholar] [CrossRef]
- Ward, S.M.; Webster, T.M.; Steckel, L.E. Palmer amaranth (Amaranthus palmerii): A review. Weed Tech. 2013, 27, 12–27. [Google Scholar] [CrossRef]
- Harker, K.N.; Mallory-Smith, C.; Maxwell, B.D.; Mortensen, D.A.; Smith, R.G. Another view. Weed Sci. 2017, 65, 203–205. [Google Scholar] [CrossRef]
- Davis, A.S.; Hill, J.D.; Chase, C.A.; Johanns, A.M.; Liebmann, M. Increasing cropping system diversity balances productivity, profitability and environmental health. PLoS ONE 2012, 7, e47149. [Google Scholar] [CrossRef]
- Liebman, M.; Baraibar, B.; Buckley, Y.; Childs, D.; Christensen, S.; Cousens, R.; Eizenberg, H.; Heijting, S.; Loddo, D.; Merotto, A., Jr.; et al. Ecologically sustainable weed management: How do we get from proof-of-concept to adoption? Ecol. Appl. 2016, 26, 1352–1369. [Google Scholar] [CrossRef]
- Neve, P.; Barney, J.N.; Buckley, Y.; Cousens, R.D.; Graham, S.; Jordan, N.R.; Lawton-Rauh, A.; Liebman, M.; Mesgaran, M.B.; Schut, M.; et al. Reviewing research priorities in weed ecology, evolution and management: A horizon scan. Weed Res. 2018, 58, 250–258. [Google Scholar] [CrossRef]
- Berti, A.; Sattin, M.; Baldoni, G.; Del Pino, A.M.; Ferrero, A.; Montemurro, P.; Tei, F.; Viggiani, P.; Zanin, G. Relationships between crop yield and weed time of emergence/removal: Modelling and parameter stability across environments. Weed Res. 2008, 48, 378–388. [Google Scholar] [CrossRef]
- Riemens, M.M.; Van der Weide, R.Y.; Bleeker, P.O.; Lotz, L.A.P. Effect of stale seedbed preparations and subsequent weed control in lettuce (cv. Iceboll) on weed densities. Weed Res. 2007, 47, 149–156. [Google Scholar] [CrossRef]
- Schutte, B.J.; Tomasek, B.J.; Andersson, L.; Andersson, L.; Benoit, D.L.; Cirujeda, A.; Dekker, J.; Forcella, F.; Gonzalez-Andujar, J.L.; Graziani, F.; et al. An investigation to enhance understanding of the stimulation of weed seedling emergence by soil disturbance. Weed Res. 2014, 54, 1–12. [Google Scholar] [CrossRef]
- Loddo, D.; Vasileiadis, V.P.; Masin, R.; Zuin, M.C.; Zanin, G. Inhibiting effect of shallow seed burial on grass weed emergence. Plant Prot. Sci. 2016, 52, 64–69. [Google Scholar] [CrossRef]
- Kruidhof, M.H.; Bastiaans, L.; Kropff, M.J. Cover crop residue management for optimizing weed control. Plant Soil 2009, 318, 169–184. [Google Scholar] [CrossRef]
- Bernstein, E.R.; Stoltenberg, D.E.; Posner, J.L.; Hedtcke, J.L. Weed community dynamics and suppression in tilled and no-tillage transitional organic winter rye-soybean systems. Weed Sci. 2014, 62, 125–137. [Google Scholar] [CrossRef]
- Benech-Arnold, R.L.; Sánchez, R.A.; Forcella, F.; Kruk, B.C.; Ghersa, C.M. Environmental control of dormancy in weed seed banks in soil. Field Crop Res. 2000, 67, 105–122. [Google Scholar] [CrossRef]
- Oreja, F.H.; De la Fuente, E.B.; Fernandez-Duvivier, M.E. Response of Digitaria insularis seed germination to environmental factors. Crop Pasture Sci. 2017, 68, 45–50. [Google Scholar] [CrossRef]
- Thompson, K.; Grime, J.P. A comparative study of germination response to diurnally fluctuating temperatures. J. Appl. Ecol. 1983, 20, 141–156. [Google Scholar] [CrossRef]
- Norsworthy, J.K. Soybean canopy formation effects pitted morningglory (Ipomoea lacunosa), common cocklebur (Xanthium strumarium), and sicklepod (Senna obtusifolia) emergence. Weed Sci. 2004, 52, 954–960. [Google Scholar] [CrossRef]
- Loddo, D.; Masin, R.; Gasparini, V.; Meggio, F.; Pitacco, A.; Zanin, G. Assessing microclimate conditions of surface soil layers to improve weed emergence modelling. Ital. J. Agrometeorol. 2015, 20, 19–26. [Google Scholar]
- Holm, L.G.; Pancho, J.V.; Herberger, J.P.; Plucknett, D.L. A Geographical Atlas of World Weeds, 1st ed.; John Wiley and Sons: New York, NY, USA, 1979; p. 391. ISBN 0471043931. [Google Scholar]
- WIKTROP. Weed Identification and Knowledge in the Tropics. Available online: https://portal.wiktrop.org/ (accessed on 6 March 2019).
- Ngo, T.D.; Krisnan, M.; Boutsalis, P.; Gill, G.; Preston, C. Target-site mutations conferring resistance to glyphosate in feathertop Rhodes grass (Chloris virgata) populations in Australia. Pest Manag. Sci. 2018, 74, 1094–1100. [Google Scholar] [CrossRef] [PubMed]
- Bracamonte, E.R.; Fernández-Moreno, P.T.; Bastida, F.; Osuna, M.D.; Alcántara-de la Cruz, R.; Cruz-Hipolito, H.E.; de Prado, R. Identifying Chloris species from Cuban citrus orchards and determining their glyphosate-resistance status. Front. Plant Sci. 2017, 8, 1977. [Google Scholar] [CrossRef] [PubMed]
- Holm, L.G.; Plucknett, D.L.; Pancho, J.V.; Herberger, J.P. The World’s Worst Weeds. Distribution and Biology, 1st ed.; University Press of Hawaii: Honolulu, HI, USA, 1977; p. 609. ISBN 0824802950. [Google Scholar]
- Kottek, M.; Grieser, J.; Beck, C.; Rudolf, B.; Rubel, F. World Map of the Köppen-Geiger climate classification updated. Meteorol. Z. 2006, 15, 259–263. [Google Scholar] [CrossRef]
- Borza, J.K.; Westerman, P.R.; Liebman, M. Comparing estimates of seed viability in three foxtail (Setaria) species using the imbibed seed crush test with and without additional tetrazolium testing. Weed Tech. 2007, 21, 518–522. [Google Scholar] [CrossRef]
- Bates, D.; Maechler, M.; Bolker, B.; Walker, S. Fitting linear mixed-effects models using lme4. J. Stat Softw. 2015, 67, 1–48. [Google Scholar]
- Lenth, R. Emmeans: Estimated Marginal Means, Aka Least-Squares Means, R Package Version 1.4; 2019. Available online: https://CRAN.R-project.org/package=emmeans (accessed on 10 September 2019).
- Hartig, F. DHARMa: Residual Diagnostics for Hierarchical (Multi-Level/Mixed) Regression Models, R Package Version 0.1.0; 2019. Available online: https://cran.r-project.org/web/packages/DHARMa (accessed on 10 September 2019).
- R Core Team. R: A Language and Environment for Statistical Computing; R Foundation for Statistical Computing: Vienna, Austria, 2017; Available online: http://www.R-project.org/ (accessed on 10 September 2019).
- Chauhan, B.S.; Manalil, S.; Florentine, S.; Jha, P. Correction: Germination ecology of Chloris truncata and its implication for weed management. PLoS ONE 2018, 13, e0206870. [Google Scholar] [CrossRef] [PubMed]
- Ngo, T.; Boutsalis, P.; Preston, C.; Gurjeet, G. Plant development and seed biology of windmillgrass (Chloris truncata) in Southern Australia. Weed Sci. 2017, 65, 395–405. [Google Scholar] [CrossRef]
- Ngo, T.; Boutsalis, P.; Preston, C.; Gill, G. Growth, development, and seed biology of feather fingergrass (Chloris virgata) in Southern Australia. Weed Sci. 2017, 65, 413–425. [Google Scholar] [CrossRef]
- Ahring, R.M.; Todd, G.W. Seed size and germination of hulled and unhulled bermudagrass seeds. Agron. J. 1978, 70, 667–670. [Google Scholar] [CrossRef]
- Evers, G.W.; Parsons, M.J. Temperature influence on seeded bermudagrass germination. Tex. J. Agric. Nat. Resour. 2009, 22, 74–80. [Google Scholar]
- Veenendaal, E.M.; Ernst, W.H.O. Dormancy patterns in accessions of caryopses from savanna grass species in South Eastern Botswana. Acta Bot. Neerl. 1991, 40, 297–309. [Google Scholar] [CrossRef]
- Thullen, R.; Keeley, P. Seed production and germination in Cyperus esculentus and C. rotundus. Weed Sci. 1979, 27, 502–505. [Google Scholar] [CrossRef]
- Benvenuti, S.; Macchia, M.; Miele, S. Quantitative analysis of emergence of seedlings from buried weed seeds with increasing soil depth. Weed Sci. 2001, 49, 528–535. [Google Scholar] [CrossRef]
- Chauhan, B.S.; Singh, R.G.; Mahajan, G. Ecology and management of weeds under conservation agriculture: A review. Crop Prot. 2012, 38, 57–65. [Google Scholar] [CrossRef]
- Nwosisi, S.; Nandwani, D.; Hui, D. Mulch Treatment effect on weed biomass and yields of organic sweetpotato cultivars. Agronomy 2019, 9, 190. [Google Scholar] [CrossRef]
- Kruidhof, H.M.; Gallandt, E.R.; Haramoto, E.R.; Bastiaans, L. Selective weed suppression by cover crop residues: Effects of seed mass and timing of species’ sensitivity. Weed Res. 2011, 51, 177–186. [Google Scholar] [CrossRef]
- Royo-Esnal, A.; Recasens, J.; Garrido, J.; Torra, J. Rigput Brome (Bromus diandrus Roth.) management in a no-till field in Spain. Agronomy 2018, 8, 251. [Google Scholar] [CrossRef]
- Rey-Caballero, J.; Royo-Esnal, A.; Recasens, J.; González, I.; Torra, J. Management options for multiple herbicide–resistant corn poppy (Papaver rhoeas) in Spain. Weed Sci. 2017, 65, 295–304. [Google Scholar] [CrossRef]




| Term | Chi Sq. | df | P Value |
|---|---|---|---|
| Species | 272,102 | 14 | <0.001 |
| Incubation temperature | 127,326 | 17 | <0.001 |
| Thermal mode | 197,095 | 10 | <0.001 |
| Species: Incubation temperature | 91,447 | 12 | <0.001 |
| Species: Thermal mode | 164,258 | 6 | <0.001 |
| Incubation temperature: Thermal mode | 80,546 | 8 | <0.001 |
| Species: Incubation temperature: Thermal mode | 76,001 | 8 | <0.001 |
© 2019 by the authors. Licensee MDPI, Basel, Switzerland. This article is an open access article distributed under the terms and conditions of the Creative Commons Attribution (CC BY) license (http://creativecommons.org/licenses/by/4.0/).
Share and Cite
Loddo, D.; Carlesi, S.; Pais da Cunha, A.T. Germination of Chloris barbata, Cynodon dactylon, and Cyperus rotundus from Angola at Constant and Alternate Temperatures. Agronomy 2019, 9, 615. https://doi.org/10.3390/agronomy9100615
Loddo D, Carlesi S, Pais da Cunha AT. Germination of Chloris barbata, Cynodon dactylon, and Cyperus rotundus from Angola at Constant and Alternate Temperatures. Agronomy. 2019; 9(10):615. https://doi.org/10.3390/agronomy9100615
Chicago/Turabian StyleLoddo, Donato, Stefano Carlesi, and Adérito Tomás Pais da Cunha. 2019. "Germination of Chloris barbata, Cynodon dactylon, and Cyperus rotundus from Angola at Constant and Alternate Temperatures" Agronomy 9, no. 10: 615. https://doi.org/10.3390/agronomy9100615
APA StyleLoddo, D., Carlesi, S., & Pais da Cunha, A. T. (2019). Germination of Chloris barbata, Cynodon dactylon, and Cyperus rotundus from Angola at Constant and Alternate Temperatures. Agronomy, 9(10), 615. https://doi.org/10.3390/agronomy9100615

