A Case Study of Potential Reasons of Increased Soil Phosphorus Levels in the Northeast United States
Abstract
:1. Introduction
- Do Maine’s soils have sufficient P to support optimum crop yield?
- Were P recommendations developed from responsive sites?
- Is there any gap between average P removal by the crop and application as fertilizer?
- Are appropriate soil testing methods used for P?
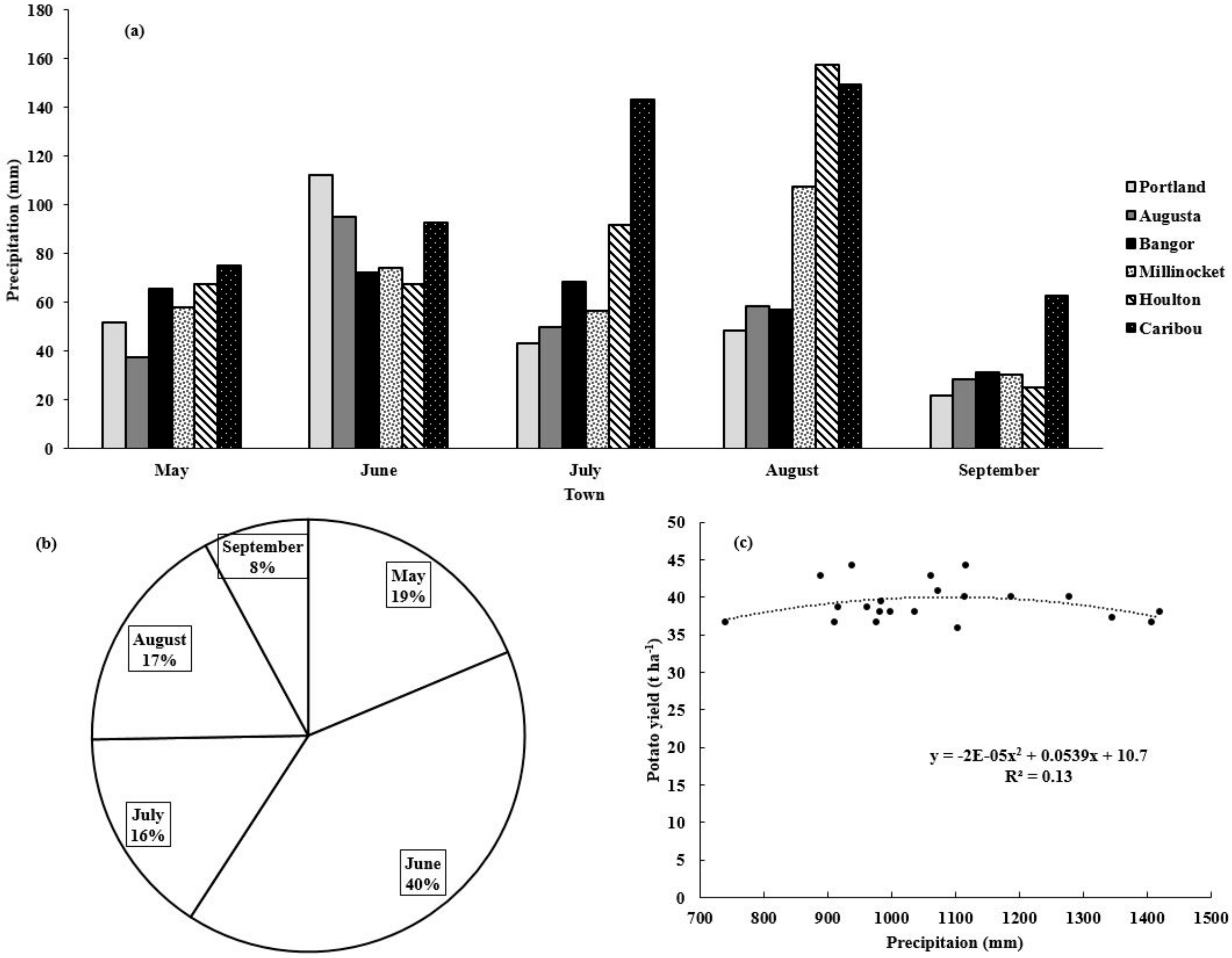
2. Sufficient Soil P and Soil Variability
3. P Recommendations and Soil pH
4. Gap in Fertilizer Application and P Removal
5. Discrepancies in Soil P Testing
6. Conclusions
Acknowledgments
Author Contributions
Conflicts of Interest
References
- IOM (Institute of Medicine); NRC (National Research Council). A Framework for Assessing Effects of the Food System; The National Academies Press: Washington, DC, USA, 2015.
- EPA. 2015. Available online: https://www.epa.gov/aboutepa/epa-region-1-new-england (accessed on 17 December 2017).
- USDA-NASS. 2016. Available online: https: (accessed on 1 April 2017).
- Almazan, J.A.; Pickett, R.L. Water temperature. In IFYGL Atlas Lake Ontario Summary Data; Jenkins, C.F., Ed.; Great Lakes Environmental Research Laboratory: Ann Arbor, MI, USA, 1980; pp. 200–244. [Google Scholar]
- Assel, R.A.; Boyce, D.E.; DeWitt, B.H.; Wartha, J.H.; Keyes, F.A. Summary of Great Lakes Weather and Ice Conditions, Winter 1977–78; NOAA Technical Memorandum ERL GLERL-26; Great Lakes Environmental Research Laboratory: Ann Arbor, MI, USA, 1979. [Google Scholar]
- Bell, G.L. Lake Erie Chemical and Physical Characteristics Data for 1967; NOAA Data Report ERL GLERL-4; Great Lakes Environmental Research Laboratory: Ann Arbor, MI, USA, 1980; p. 9. [Google Scholar]
- Pack, J.E.; Hutchinson, C.M.; Simonne, E.H. Evaluation of Controlled-Release Fertilizers for Northeast Florida Chip Potato Production. J. Plant Nutr. 2006, 29, 1301–1313. [Google Scholar] [CrossRef]
- Smith, V.H.; Tilman, G.D.; Nekola, J.C. Eutrophication: Impacts of excess nutrient inputs on freshwater, marine, and terrestrial ecosystems. Environ. Pollut. 1999, 100, 179–196. [Google Scholar] [CrossRef]
- Maine Department of Environmental Protection (Maine DEP). Integrated Water Quality Monitoring and Assessment Report; Bureau of Land and Water Quality: Augusta, ME, USA, 2012.
- Stark, J.C.; Westermann, D.T.; Hopkins, B.G. Nutrient Management Guidelines for Russet Burbank Potatoes; University of Idaho: Moscow, ID, USA, 2004. [Google Scholar]
- Van der Zaag, P. Soil Fertility Requirements for Potato Production; Technical Information Bulletin 14; International Potato Center (CIP): Lima, Peru, 1981. [Google Scholar]
- Flanagan, S.M.; Nielsen, M.G.; Robinson, K.W.; Coles, J.F. Water-Quality Assessment of the New England Coastal Basins in Maine, Massachusetts, New Hampshire, and Rhode Island: Environmental Settings and Implications for Water Quality and Aquatic Biota; Water-Resources Investigations Report 98–4249; U.S. Geological Survey: Pembroke, NH, USA, 1999. [Google Scholar]
- Sharpley, A.N.; Smith, S.J.; Jones, O.R.; Berg, W.A.; Coleman, G.A. The transport of bioavailable phosphorus in agricultural runoff. J. Environ. Qual. 1992, 21, 30–35. [Google Scholar] [CrossRef]
- Sharpley, A.N. Bioavailable phosphorus in soil. In Methods for Phosphorus Analysis for Soils, Sediments, Residuals, and Water; Pierzynski, G.M., Ed.; Southern Cooperative Series Bulletin; North Carolina State University: Raleigh, NC, USA, 2000; pp. 38–43. [Google Scholar]
- McGuire, P. Analysis: Belgrade Lake’s water quality down. Portland Press Herald, 27 July 2015. [Google Scholar]
- Peech, M. Nutrient Status of Soils in Commercial Potato-Producing Areas of the Atlantic and Gulf Coast: Part II. Chemical Data on the Soils1. Soil Sci. Soc. Am. J. 1946, 10, 245. [Google Scholar] [CrossRef]
- Pizzeghello, D.; Berti, A.; Nardi, S.; Morari, F. Relationship between soil test phosphorus and phosphorus release to solution in three soils after long-term mineral and manure application. Agric. Ecosyst. Environ. 2016, 233, 214–223. [Google Scholar] [CrossRef]
- Rhue, R.D.; Hensel, D.R.; Yuan, T.L.; Robertson, W.K. Response of potatoes to soil and fertilizer phosphorus in northeast Florida. Soil Crop Sci. Soc. Fla. Proc. 1981, 40, 58–61. [Google Scholar]
- Maier, N.A.; Potocky-Pacay, K.A.; Dahlenburg, A.P.; William, C.M.J. Effect of phosphorus on the specific gravity of potato tubers (Solanum tuberosum L.) of the cultivars Kennebec and Coliban. Aust. J. Exp. Agric. 1989, 29, 869–874. [Google Scholar] [CrossRef]
- Pierzynski, G.M.; Logan, T.I. Crop, soil, and management effects on phosphorus soil test levels. J. Prod. Agric. 1993, 6, 513–520. [Google Scholar] [CrossRef]
- Sharpley, A.N. Dependence of runoff phosphorus on extractable soil phosphorus. J. Environ. Qual. 1995, 24, 920–926. [Google Scholar] [CrossRef]
- Porter, G.A.; McBurnic, J.C. Crop and soil research. In The Ecology, Economics, and Management of Potato Cropping Systems: A Report of the First Four Years of the Maine Potato Ecosystem Project; Alford, A.R., Drummond, F.A., Gallandt, E.R., Groden, E., Lambert, D.A., Liebman, M., Marra, M.C., McBurnie, J.C., Porter, G.A., Salas, B., Eds.; Maine Agricultural and Forest Experiment Station: Orono, ME, USA, 1996. [Google Scholar]
- Sharma, L.; Bali, S.; Dwyer, J.; Plant, A.; Bhowmik, A. A case study of improving yield prediction and sulfur deficiency detection using optical sensors and relationship of historical potato yield with weather data in maine. Sensors 2017, 17, 1095. [Google Scholar] [CrossRef] [PubMed]
- Fitzgerald, C. Soil phosphorus in Aroostook County (Maine) Potato Cropping Systems: Organic Matter Effects and Residual Phosphorus Contributions. Master’s Thesis, University of Maine, Orono, ME, USA, 1998. [Google Scholar]
- Bruulsema, B.T.W. Soil Fertility in the Northeast Region. Better Crops 2006, 90, 8–10. [Google Scholar]
- Hochmuth, G.; Weingartner, P.; Hutchinson, C.; Tilton, A.; Jesseman, D. Potato yield and tuber quality did not respond to phosphorus fertilization of soils testing high in phosphorus content. HortTechnology 2002, 12, 420–423. [Google Scholar]
- Campbell, C.A.; Zentner, R.P.; Selles, F.; Jefferson, P.G.; McConkey, B.G.; Lemke, R.; Blomert, B.G. Long-term effect of cropping system and nitrogen and phosphorus fertilizer on production and nitrogen economy of grain crops in a Brown Chernozem. Can. J. Plant Sci. 2005, 85, 81–93. [Google Scholar] [CrossRef]
- McKenzie, R.H.; Roberts, T.L. Soil and fertilizer phosphorus update Alberta Soil Sci. In Proceedings of the Workshop Coast Terrace, Edmonton, AB, Canada, 20–22 February 1990. [Google Scholar]
- Carpenter, P.N.; Murphy, H.I. Effects of AccullIulaLecl Fertilizer Nutrients in a Maine Soil upon the Yield, Quality and Nutrient Content or Potato Plants; Maine Agricultural Experiment Station: Orono, ME, USA, 1965. [Google Scholar]
- Murphy, H.I.; Carpenter, P.N. Effect of Differential Rates of Phosphorus, Potassium and Lime on Yield, Specific Gravity, and Nutrient Uptake of the Katahdin and Russet Burbank; Maine Agricultural Experiment Station: Orono, ME, USA, 1967. [Google Scholar]
- Locascio, S.J.; Breland, H.L. Irish potato yield and leaf composition as affected by dolomite and phosphorus. Soil Crop Sci. Soc. Fla. Proc. 1963, 23, 95–99. [Google Scholar]
- Hochmuth, G.; Maynard, D.; Vavrina, C.; Hanlon, E. Plant Tissue Analysis and Interpretation for Vegetable Crops in Florida. 1991. Available online: http://edis.ifas.ufl.edu/ep081 (accessed on 17 December 2017).
- Schultz, E.E.; DeSutter, T.; Sharma, L.K.; Enders, G.; Ashley, R.; Bu, H.; Markell, S.; Kraklau, A.; Franzen, D.W. Response of sunflower to nitrogen and phosphorus in North Dakota. Agron. J. 2017, in press. [Google Scholar]
- Baligar, V.C.; Fageria, N.K.; He, Z.L. Nutrient use efficiency in plants. Commun. Soil Sci. Plant Anal. 2001, 32, 921–950. [Google Scholar] [CrossRef]
- Thom, W.O.; Dollarhide, J.E. Phosphorus Soil Test Change Following the Addition of Phosphorus Fertilizer to 16 Kentucky Soils. Agron. Notes 2002, 34, 1–4. [Google Scholar]
- Reddy, A. Phosphorus Transport and Distribution in Kentucky Soils Prepared Using Various Biochar Types. Master’s Thesis, Western Kentucky University, Bowling Green, KY, USA, 2012; pp. 1–49. [Google Scholar]
- Hurst, L.A.; Knobel, E.W.; Hendrickson, B.H. Soil Survey of Aroostook Area, Maine; United States Department of Agriculture: Washington, DC, USA, 1917. [Google Scholar]
- Johnston, A.E.; Poulton, P.R.; White, R.P. Plant-available soil phosphorus. Part II: The response of arable crops to Olsen P on a sandy clay loam and a silty clay loam. Soil Use Manag. 2013, 29, 12–21. [Google Scholar] [CrossRef]
- Rosen, C.J.; Kelling, K.A.; Stark, J.C.; Porter, G.A. Optimizing phosphorus fertilizer management in potato production. Am. J. Potato Res. 2014, 91, 145–160. [Google Scholar] [CrossRef]
- Echeverría, H.E.; Giletto, C.M. Papa. In Soil Fertility and Crop Fertilization; Echeverría, H.E., García, F.O., Eds.; Editorial INTA: Buenos Aires, Argentina, 2015; pp. 585–608. [Google Scholar]
- Hegney, M.A.; McPharlin, I.R.; Jeffery, R.C. Using soil testing and petiole analysis to determine phosphorus fertiliser requirements of potatoes (Solanum tuberosum L. cv. Delaware) in the Manjimup-Pemberton region of Western Australia. Aust. J. Exp. Agric. 2000, 40, 107. [Google Scholar] [CrossRef]
- Mac Kerron, D.K.L.; Young, M.W.; Davies, H.V. A critical assessment of the value of petiole sap analysis in optimizing the nitrogen nutrition of potato crop. Plant Soil 1995, 172, 247–260. [Google Scholar] [CrossRef]
- Zamuner, E.C.; Lloveras, J.; Echeverria, H. Comparison of Phosphorus Fertilization Diagnostic Methods of Potato in Mollisols. Agron. J. 2016, 108, 1237–1245. [Google Scholar] [CrossRef]
- Beegle, D.; Durst, P.T. Managing phosphorus for crop production. Penn. State Ext. Agron. Facts 2014, 13, 1–6. [Google Scholar]
- Payton, F.V.; Rhue, R.D.; Hensel, D.R. Mitscherlich–Bray equation used to correlate soil phosphorus and potato yields. Agron. J. 1989, 81, 571–576. [Google Scholar] [CrossRef]
- Truog, E. The determination of readily available phosphorus in soils. I. Am. Soc. Agron. 1930, 22, 874–882. [Google Scholar]
- Jenkins, P.D.; Ali, H. Phosphorus supply and progeny tuber numbers in potato crops. Ann. App. Biol. 2000, 136, 41–46. [Google Scholar] [CrossRef]
- Ali, H.; Khan, M.A.; Shakeel, A.; Randhawa, A. Interactive Effect of Seed Inoculation and Phosphorus Application on Growth and Yield of Chickpea (Cicer arietinum L.). Int. J. Agric. Biol. 2004, 6, 110–112. [Google Scholar]
- Bray, R.H.; Kurtz, L.T. Determination of total, organic and available phosphorus in Soil. Soil Sci. 1945, 59, 39–45. [Google Scholar] [CrossRef]
- Mehlich, A. Mehlich 3 soil test extractant: A modification of Mehlich 2 extractant. Commun. Soil Sci. Plant Anal. 1984, 15, 1409–1416. [Google Scholar] [CrossRef]
- Olsen, S.R.; Cole, C.V.; Watanabe, F.S.; Dean, L.A. Circular. In Estimation of Available Phosphorus in Soils by Extraction with Sodium Bicarbonate; US Department of Agriculture: Washington, DC, USA, 1954; Volume 939, p. 19. [Google Scholar]
- McIntosh, J.L. Bray and Morgan soil test extractants modified for testing acid soils from different parent materials. Agron. J. 1969, 61, 259–265. [Google Scholar] [CrossRef]
- Sharma, L.K.; Franzen, D.W. Use of Corn Height to Improve the Relationship between Active Optical Sensor Readings and Yield Estimates. Precis. Agric. 2014, 15, 331–345. [Google Scholar] [CrossRef]
- Franzen, D.W.; Sharma, L.K.; Bu, H.; Dentond, A. Evidence for the ability of active-optical sensors to detect sulfur deficiency in corn. Agron. J. 2016, 108, 2158–2162. [Google Scholar] [CrossRef]
- Sharma, L.K.; Bu, H.G.; Denton, A.; Franzen, D.W. Active-Optical Sensors Using Red NDVI Compared to Red Edge NDVI for Prediction of Corn Grain Yield in North Dakota, U.S.A. Sensors 2015, 15, 27832–27853. [Google Scholar] [CrossRef] [PubMed]
- Bu, H.; Sharma, L.K.; Denton, A.; Franzen, D.W. Sugarbeet root yield and quality prediction at multiple harvest dates using active-optical sensors. Agron. J. 2016, 108, 273–284. [Google Scholar] [CrossRef]
- Bu, H.; Sharma, L.K.; Denton, A.; Franzen, D.W. Comparison of Satellite Imagery and Ground-Based Active Optical Sensors as Yield Predictors in Sugar Beet, Spring Wheat, Corn, and Sunflower. Agron. J. 2017, 109, 299–308. [Google Scholar] [CrossRef]
- Franzen, D.W.; Sharma, L.K.; Bu, H. Active Optical Sensor Algorithms for Corn Yield Prediction and a Corn Side-Dress Nitrogen Rate Aid; North Dakota State University Extension Service: Fargo, ND, USA, 2014. [Google Scholar]
- Sharma, L.K. Evaluation of Active Optical Ground-Based Sensors to Detect Early Nitrogen Deficiencies in Corn. Ph.D. Thesis, North Dakota State University, Fargo, ND, USA, 2014. [Google Scholar]
- Sharma, L.K.; Bu, H.; Franzen, D.W. Comparison of two ground-based active-optical sensors for in-season estimation of corn (Zea mays, L.) yield. J. Plant Nutr. 2016, 39, 957–966. [Google Scholar] [CrossRef]
- Sharma, L.K.; Bu, H.; Franzen, D.W.; Denton, A. Use of corn height measured with an acoustic sensor improves yield estimation with ground based active optical sensors. Comput. Electron. Agric. 2016, 124, 254–262. [Google Scholar] [CrossRef]








| Parent Material | Mapping Unit |
|---|---|
| Soils in Basal Till | Monson-Elliottsville-Ricker-Telos |
| Telos-Monarda-Monson-Elliottsville | |
| Aurelie-Daigle-Perham-Burnham | |
| Plaisted-Penquis-Thorndike-Howland | |
| Dixfield-Colonel-Lyman-Brayton | |
| Skerry-Hermon-Monadnock-Colonel | |
| Lyman-Tunbridge-Dixfield | |
| Soils in Loose Till | Danforth-Masardis-Shirley |
| Dixmont-Thorndike-Monarda-Burnham | |
| Caribou-Mapleton-Conant | |
| Hermon-Brayton-Dixfield | |
| Enchanted-Saddleback-Ricker | |
| Soils in Glaciofluvial Materials | Colton-Adams-Sebago |
| Adams-Croghan-Naumburg | |
| Masardis-Stetson-Adams | |
| Soils in Glaciolacustrine or Glaciomarine Materials | Swanville-Boothbay-Biddeford |
| Scantic-Lamoine-Buxton-Lyman | |
| Nicholville-Buxton-Dixfield-Scantic | |
| Soils in Recent Alluvium | Cornish-Fryeburg-Podunk-Ondawa |
| Soils in Organic Materials | Vassalboro-Sebago-Wonsqueak |
| Soils in Organic Materials and Sandy Materials | Sulfihemist-Beaches-Adams-Dune land |
| County Name | Soil Type |
|---|---|
| Aroostook County | Caribou stony team |
| Caribou shale loam | |
| Caribou gravelly loam | |
| Caribou fine sandy loam | |
| Caribou loam | |
| Caribou silt loam | |
| Washburn loam | |
| Chapman loam | |
| Easton loam | |
| Linneus silt loam | |
| Van Buren sandy loam | |
| Van Buren silt loam | |
| Keegan silt loam | |
| Aroostook silt loam | |
| Muck |
| Researcher Name | Year | Amount of P Removed | Potato Variety |
|---|---|---|---|
| Porter and McBurnie [22] | 1999 | 12 kg ha−1 | cv. Superior and Atlantic |
| Fitzgerald et al. [23] | 1995 | 11–19 kg ha−1 | cv. Atlantic |
| Fitzgerald et al. [23] | 1996 | 12–22 kg ha−1 | cv. Atlantic |
| Carpenter and Murphy [29] | 1965 | 14.4 kg ha−1 | cv. Katahdin |
| Murphy and Carpenter [30] | 1967 | 20 kg ha−1 | cv. Kennebec |
| Stark et al. [10] | 2004 | 28 kg ha−1 | cv. Russet Burbank |
© 2017 by the authors. Licensee MDPI, Basel, Switzerland. This article is an open access article distributed under the terms and conditions of the Creative Commons Attribution (CC BY) license (http://creativecommons.org/licenses/by/4.0/).
Share and Cite
Sharma, L.K.; Bali, S.K.; Zaeen, A.A. A Case Study of Potential Reasons of Increased Soil Phosphorus Levels in the Northeast United States. Agronomy 2017, 7, 85. https://doi.org/10.3390/agronomy7040085
Sharma LK, Bali SK, Zaeen AA. A Case Study of Potential Reasons of Increased Soil Phosphorus Levels in the Northeast United States. Agronomy. 2017; 7(4):85. https://doi.org/10.3390/agronomy7040085
Chicago/Turabian StyleSharma, Lakesh K., Sukhwinder K. Bali, and Ahmed A. Zaeen. 2017. "A Case Study of Potential Reasons of Increased Soil Phosphorus Levels in the Northeast United States" Agronomy 7, no. 4: 85. https://doi.org/10.3390/agronomy7040085
APA StyleSharma, L. K., Bali, S. K., & Zaeen, A. A. (2017). A Case Study of Potential Reasons of Increased Soil Phosphorus Levels in the Northeast United States. Agronomy, 7(4), 85. https://doi.org/10.3390/agronomy7040085

