Influence of Irrigation Scheduling Using Thermometry on Peach Tree Water Status and Yield under Different Irrigation Systems
Abstract
:1. Introduction
2. Materials and Methods
2.1. Study Site and Irrigation System Descriptions
2.2. Irrigation Treatments and Irrigation Control
2.3. Stem Water Potential
2.4. Soil Water Content
2.5. Fruit Yield
2.6. Statistical Analysis
3. Results
3.1. Climatology
3.2. Irrigation Controlling by ΔT
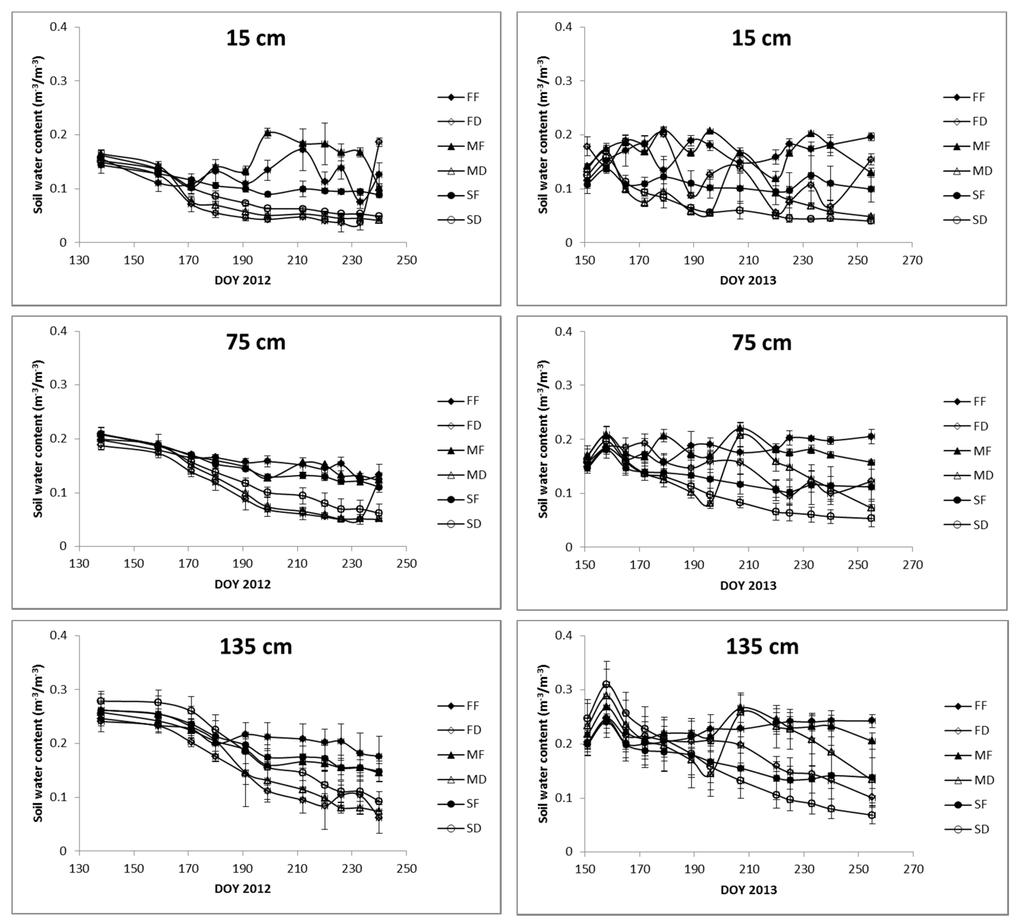
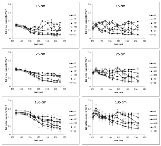
3.3. Soil Water and Irrigations
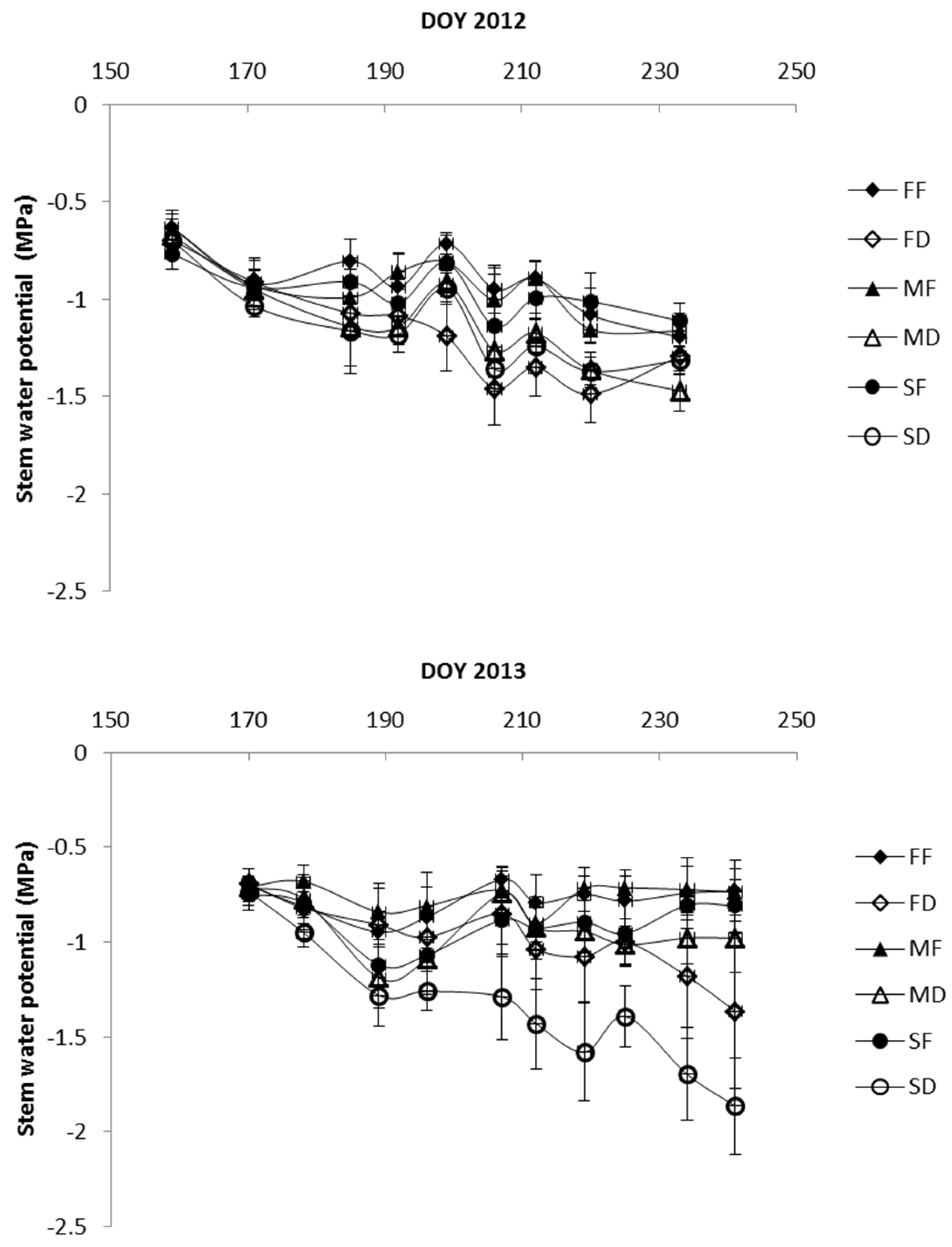
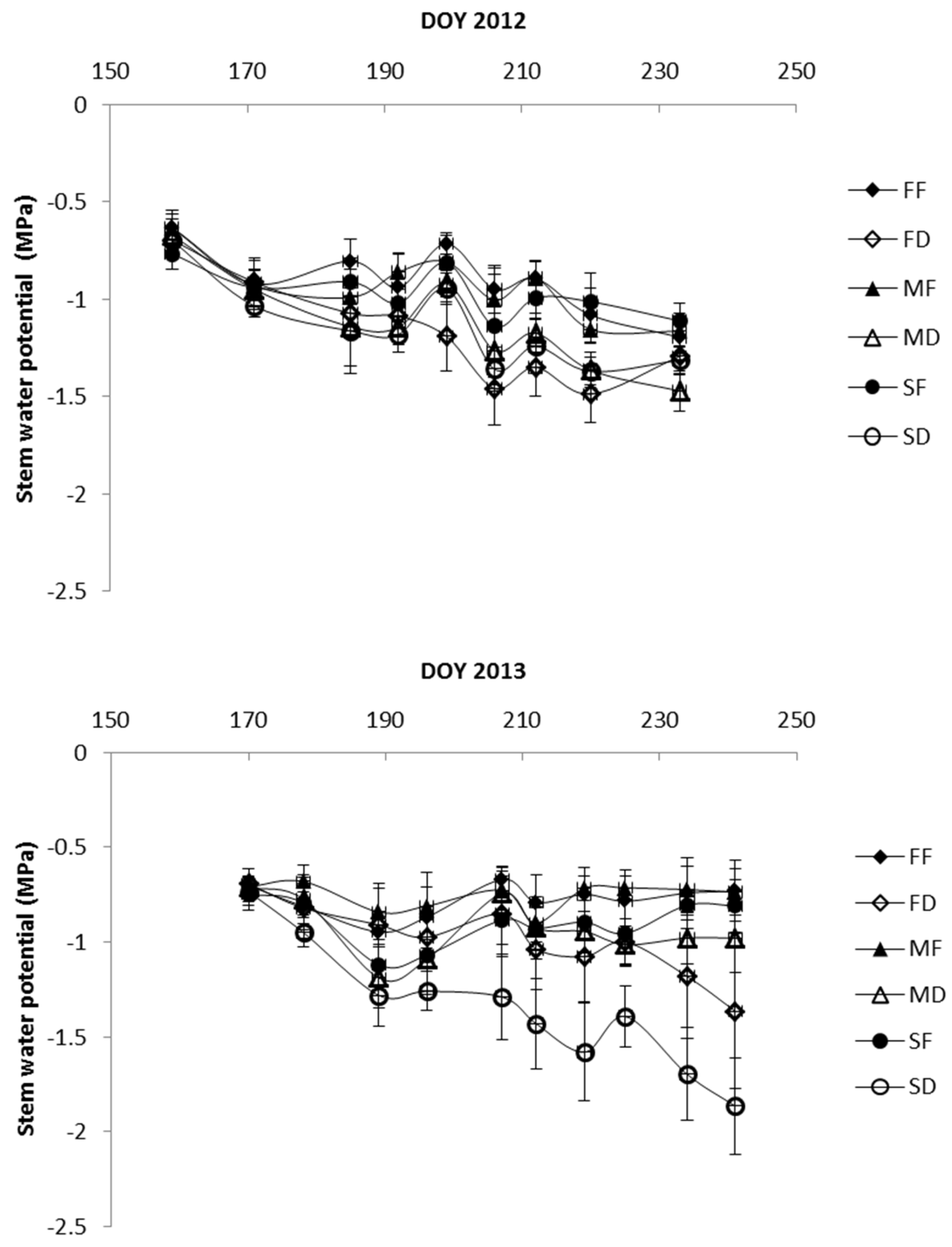
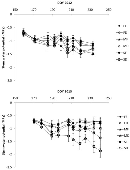
3.4. Stem Water Potential
3.5. Yield and Fruit Quality
4. Discussion
5. Conclusions
Acknowledgments
Author Contributions
Conflicts of Interest
References
- National Agricultural Statistical Service. Non Citrus Fruits and Nuts USDA 2015. Available online: http://usda.mannlib.cornell.edu/usda/current/NoncFruiNu/NoncFruiNu-07-06-2016.pdf (accessed on 23 September 2016).
- Chalmers, D.J.; Mitchell, P.D.; Heek, L.V. Control of peach tree growth and productivity by regulated water supply, tree density, and summer pruning. J. Am. Soc. Hortic. Sci. 1981, 106, 307–312. [Google Scholar]
- Goldhamer, D.A.; Salinas, M.; Crisosto, C.; Day, K.R.; Soler, M.; Moriana, A. Effects of regulated deficit irrigation and partial root zone drying on late harvest peach tree performance. Acta Hortic. 2002, 592, 343–350. [Google Scholar] [CrossRef]
- Girona, J.; Mata, M.; Arbonès, A.; Alegre, S.; Rufat, J.; Marsal, J. Peach tree response to single and combined regulated deficit irrigation regimes under shallow soils. J. Am. Soc. Hortic. Sci. 2003, 128, 432–440. [Google Scholar]
- Sotiropoulos, T.; Kalfountzos, D.; Aleksiou, I.; Kotsopoulos, S.; Koutinas, N. Response of a clingstone peach cultivar to regulated deficit irrigation. Sci. Agric. 2010, 67, 164–169. [Google Scholar] [CrossRef]
- Girona, J.; Gelly, M.; Mata, M.; Arbonès, A.; Rufat, J.; Marsal, J. Peach tree response to single and combined deficit irrigation regimes in deep soils. Agric. Water Manag. 2005, 72, 97–108. [Google Scholar] [CrossRef]
- Larson, K.; DeJong, T.; Johnson, R. Physiological and growth responses of mature peach trees to postharvest water stress. J. Am. Soc. Hortic. Sci. 1988, 113, 296–300. [Google Scholar]
- Johnson, R.S.; Handley, D.F.; DeJong, T.M. Long-term response of early maturing peach trees to postharvest water deficits. J. Am. Soc. Hortic. Sci. 1992, 117, 881–886. [Google Scholar]
- Falagán, N.; Artés, F.; Gómez, P.A.; Artés-Hernández, F.; Conejero, W.; Aguayo, E. Deficit irrigation strategies enhance health-promoting compounds through the intensification of specific enzymes in early peaches. J. Sci. Food Agric. 2016, 96, 1803–1813. [Google Scholar] [CrossRef] [PubMed]
- Bryla, D.R.; Dickson, E.; Shenk, R.; Johnson, R.S.; Crisosto, C.H.; Trout, T.J. Influence of irrigation method and scheduling on patterns of soil and tree water status and its relation to yield and fruit quality in peach. Hortscience 2005, 40, 2118–2124. [Google Scholar]
- Wang, D.; Gartung, J. Infrared canopy temperature of early-ripening peach trees under postharvest deficit irrigation. Agric. Water Manag. 2010, 97, 1787–1794. [Google Scholar] [CrossRef]
- Johnson, R.S.; Phene, B.C. Fruit quality disorders in an early maturing peach cultivar caused by postharvest water stress. Int. Soc. Hortic. Sci. 2008, 385–390. [Google Scholar] [CrossRef]
- Mirás-Avalos, J.M.; Pérez-Sarmiento, F.; Alcobendas, R.; Alarcón, J.J.; Mounzer, O.; Nicolás, E. Using midday stem water potential for scheduling deficit irrigation in mid–late maturing peach trees under Mediterranean conditions. Irrig. Sci. 2016, 34, 161–173. [Google Scholar] [CrossRef]
- Ghrab, M.; Masmoudi, M.M.; Ben Mimoun, M.; Ben Mechlia, N. Plant- and climate-based indicators for irrigation scheduling in mid-season peach cultivar under contrasting watering conditions. Sci. Hortic. 2013, 158, 59–67. [Google Scholar] [CrossRef]
- Conejero, W.; Mellisho, C.D.; Ortuño, M.F.; Moriana, A.; Moreno, F.; Torrecillas, A. Using trunk diameter sensors for regulated deficit irrigation scheduling in early maturing peach trees. Environ. Exp. Bot. 2011, 71, 409–415. [Google Scholar] [CrossRef]
- Jackson, R.D.; Idso, S.B.; Reginato, R.J.; Pinter, P.J. Canopy temperature as a crop water stress indicator. Water Resour. Res. 1981, 17, 1133–1138. [Google Scholar] [CrossRef]
- O’Shaughnessy, S.A.; Evett, S.R.; Colaizzi, P.D.; Howell, T.A. A crop water stress index and time threshold for automatic irrigation scheduling of grain sorghum. Agric. Water Manag. 2012, 107, 122–132. [Google Scholar] [CrossRef]
- Baker, J.T.; Mahan, J.R.; Gitz, D.C.; Lascano, R.J.; Ephrath, J.E. Comparison of deficit irrigation scheduling methods that use canopy temperature measurements. Plant Biosyst. 2013, 147, 40–49. [Google Scholar] [CrossRef]
- Clawson, K.L.; Blad, B.L. Infrared thermometry for scheduling irrigation of corn1. Agron. J. 1982, 74, 311–316. [Google Scholar] [CrossRef]
- Wanjura, D.F.; Upchurch, D.R. Accounting for humidity in canopy-temperature-controlled irrigation scheduling. Agric. Water Manag. 1997, 34, 217–231. [Google Scholar] [CrossRef]
- Glenn, D.; Worthington, J.; Welker, W.; McFarland, M. Estimation of peach tree water use using infrared thermometry. J. Am. Soc. Hortic. Sci. 1989, 114, 737–741. [Google Scholar]
- Sepulcre-Cantó, G.; Zarco-Tejada, P.J.; Jiménez-Muñoz, J.C.; Sobrino, J.A.; Miguel, E.D.; Villalobos, F.J. Detection of water stress in an olive orchard with thermal remote sensing imagery. Agric. For. Meteorol. 2006, 136, 31–44. [Google Scholar] [CrossRef]
- Bryla, D.R.; Trout, T.J.; Ayars, J.E.; Johnson, R.S. Growth and production of young peach trees irrigated by furrow, microjet, surface drip, or subsurface drip systems. HortScience 2003, 38, 1112–1116. [Google Scholar]
- Johnson, R.; Williams, L.; Ayars, J.; Trout, T. Weighing lysimeters aid study of water relations in tree and vine crops. Calif. Agric. 2005, 59, 133–136. [Google Scholar] [CrossRef]
- Zhang, H.; Wang, D. Management of postharvest deficit irrigation of peach trees using infrared canopy temperature. Vadose Zone J. 2013, 12. [Google Scholar] [CrossRef]
- Andrews, P.K.; Chalmers, D.J.; Moremong, M. Canopy-air temperature differences and soil water as predictors of water stress of apple trees grown in a humid, temperate climate. J. Am. Soc. Hortic. Sci. 1992, 117, 453–458. [Google Scholar]
- Gonzalez-Dugo, V.; Zarco-Tejada, P.; Berni, J.A.J.; Suárez, L.; Goldhamer, D.; Fereres, E. Almond tree canopy temperature reveals intra-crown variability that is water stress-dependent. Agric. For. Meteorol. 2012, 154–155, 156–165. [Google Scholar] [CrossRef]
- Vera, J.; Abrisqueta, I.; Abrisqueta, J.M.; Ruiz-Sánchez, M.C. Effect of deficit irrigation on early-maturing peach tree performance. Irrig. Sci. 2013, 31, 747–757. [Google Scholar] [CrossRef]
- Layne, R.E.C.; Tan, C.S.; Hunter, D.M.; Cline, R.A. Irrigation and fertilizer application methods affect performance of high-density peach orchards. HortScience 1996, 31, 370–375. [Google Scholar]




| Month | Min RH (%) | Max RH (%) | Min Air (°C) | Max Air (°C) | Total Monthly Precipitation (mm) | Wind Speed (m/s) | Average Daily ET0 (mm·day−1) |
|---|---|---|---|---|---|---|---|
| June 2012 | 26 | 79 | 14.6 | 31.9 | 0 | 2.4 | 6.95 |
| July 2012 | 28 | 83 | 16.9 | 34.1 | 0.1 | 1.8 | 6.6 |
| August 2012 | 25 | 84 | 17.9 | 36.9 | 0 | 1.6 | 5.99 |
| June 2013 | 32 | 78 | 16.7 | 33.6 | 1 | 2.1 | 6.89 |
| July 2013 | 24 | 77 | 18.8 | 39.6 | 0 | 1.7 | 6.65 |
| August 2013 | 24 | 78 | 16.2 | 35.2 | 0.3 | 1.7 | 6.1 |
| Month | ET0 (mm) | ETc (mm) | Irrigation Amount (mm) | |||||
|---|---|---|---|---|---|---|---|---|
| FF | FD | MF | MD | SF | SD | |||
| 2012 | ||||||||
| June | 208 | 207 | 228 | 2 | 106 | 27 | 107 | 27 |
| July | 205 | 240 | 225 | 0 | 200 | 50 | 149 | 37 |
| August | 186 | 227 | 250 | 100 | 210 | 51 | 164 | 41 |
| Total | 599 | 674 | 703 | 102 | 516 | 128 | 420 | 105 |
| 2013 | ||||||||
| June | 207 | 205 | 229 | 225 | 239 | 93 | 189 | 95 |
| July | 206 | 242 | 301 | 150 | 472 | 401 | 175 | 44 |
| August | 189 | 231 | 301 | 75 | 220 | 51 | 175 | 44 |
| Total | 602 | 678 | 831 | 450 | 931 | 545 | 539 | 183 |
| Treatment | 2012–2013 | 2013–2014 | ||||
|---|---|---|---|---|---|---|
| Fruit number per Tree | Fruit Weight (kg) per Tree | Fruit Weight (g/fruit) | Fruit Number per Tree | Fruit Weight (kg) per Tree | Fruit Weight (g/fruit) | |
| FF | 155 ± 5.6 a | 20.5 ± 0.7 a | 137 ± 4.4 | 105 ± 3.2 a | 13.2 ± 0.4 a | 125 ± 1.1 a |
| FD | 138 ± 4.7 ab | 18.0 ± 0.7 ab | 136 ± 4.0 | 74 ± 3.2 c | 8.8 ± 0.4 c | 120 ± 1.4 b |
| MF | 114 ± 5.9 c | 15.2 ± 0.7 cd | 137 ± 3.4 | 101 ± 3.4 a | 12.2 ± 0.4 a | 119 ± 1.2 b |
| MD | 107 ± 4.5 c | 14.3 ± 0.6 d | 135 ± 1.7 | 90 ± 4.1 b | 10.7 ± 0.5 b | 119 ± 1.0 b |
| SF | 129 ± 5.7 bc | 17.9 ± 0.7 abc | 144 ± 3.4 | 76 ± 3.4 c | 9.1 ± 0.4 c | 119 ± 1.2 b |
| SD | 122 ± 5.2 bc | 16.2 ± 0.5 acd | 136 ± 2.4 | 58 ± 3.0 d | 6.9 ± 0.4 d | 118 ± 1.6 b |
| p-value | <0.0001 | <0.0001 | 0.4423 | <0.0001 | <0.0001 | 0.0018 |
| Treatment | 2012–2013 | 2013–2014 | ||||
|---|---|---|---|---|---|---|
| TSS (%) | Firmness (N) | pH | TSS (%) | Firmness (N) | pH | |
| FF | 11.0 ± 0.2 | 37.5 ± 0.7 | 3.41 ± 0.06 | 10.3 ± 0.3 | 39.2 ± 0.8 | 3.23 ± 0.03 |
| FD | 11.2 ± 0.1 | 38.2 ± 0.6 | 3.35 ± 0.06 | 10.8 ± 0.5 | 41.7 ± 0.8 | 3.18 ± 0.04 |
| MF | 11.0 ± 0.1 | 36.9 ± 0.7 | 3.35 ± 0.05 | 10.2 ± 0.5 | 42.9 ± 0.8 | 3.22 ± 0.02 |
| MD | 11.4 ± 0.2 | 36.5 ± 0.6 | 3.42 ± 0.06 | 10.3 ± 0.4 | 41.1 ± 0.9 | 3.28 ± 0.03 |
| SF | 10.8 ± 0.2 | 37.0 ± 0.7 | 3.28 ± 0.05 | 10.2 ± 0.4 | 39.9 ± 0.5 | 3.25 ± 0.02 |
| SD | 11.4 ± 0.2 | 34.3 ± 0.7 | 3.42 ± 0.05 | 10.4 ± 0.4 | 41.6 ± 0.9 | 3.27 ± 0.02 |
| p-value | 0.2480 | 0.0571 | 0.4030 | 0.8817 | 0.8712 | 0.0931 |
| Doubles (%) | Deep sutures (%) | External splits (%) | Dimples (%) | Deformed (%) | Split pit (%) | |
|---|---|---|---|---|---|---|
| Treatment | Fruit quality parameters 2012–2013 | |||||
| FF | 1.53 b | 0.83 | 0.14 b | 0.41 | 0.76 | |
| FD | 1.94 b | 0.14 | 0.55 ab | 1.68 | 0.38 | |
| MF | 1.25 b | 0.70 | 0.69 ab | 0.92 | 0.86 | |
| MD | 5.83 a | 1.81 | 1.25 ab | 0.43 | 1.85 | |
| SF | 0.69 b | 0.69 | 0.28 b | 2.93 | 0.84 | |
| SD | 3.33 ab | 0.56 | 1.53 a | 2.11 | 1.55 | |
| p-value | 0.0005 | 0.2846 | 0.0055 | 0.1984 | 0.423 | |
| Treatment | Fruit quality parameters 2013–2014 | |||||
| FF | 0 b | 0.69 | 0.14 | 1.39 | 1.53 | 0.14 |
| FD | 0.7 b | 1.81 | 0.28 | 5.00 | 0.70 | 0.14 |
| MF | 0 b | 1.39 | 0.14 | 1.11 | 1.25 | 0.28 |
| MD | 0.28 b | 1.94 | 0.00 | 2.64 | 1.95 | 0.14 |
| SF | 0.14 b | 1.25 | 0.00 | 6.81 | 1.39 | 0 |
| SD | 1.67 a | 2.36 | 0.00 | 8.19 | 2.78 | 0.42 |
| p-value | <0.0001 | 0.4283 | 0.6032 | 0.1125 | 0.3319 | 0.5795 |
© 2017 by the authors. Licensee MDPI, Basel, Switzerland. This article is an open access article distributed under the terms and conditions of the Creative Commons Attribution (CC BY) license ( http://creativecommons.org/licenses/by/4.0/).
Share and Cite
Zhang, H.; Wang, D.; Gartung, J.L. Influence of Irrigation Scheduling Using Thermometry on Peach Tree Water Status and Yield under Different Irrigation Systems. Agronomy 2017, 7, 12. https://doi.org/10.3390/agronomy7010012
Zhang H, Wang D, Gartung JL. Influence of Irrigation Scheduling Using Thermometry on Peach Tree Water Status and Yield under Different Irrigation Systems. Agronomy. 2017; 7(1):12. https://doi.org/10.3390/agronomy7010012
Chicago/Turabian StyleZhang, Huihui, Dong Wang, and Jim L. Gartung. 2017. "Influence of Irrigation Scheduling Using Thermometry on Peach Tree Water Status and Yield under Different Irrigation Systems" Agronomy 7, no. 1: 12. https://doi.org/10.3390/agronomy7010012
APA StyleZhang, H., Wang, D., & Gartung, J. L. (2017). Influence of Irrigation Scheduling Using Thermometry on Peach Tree Water Status and Yield under Different Irrigation Systems. Agronomy, 7(1), 12. https://doi.org/10.3390/agronomy7010012

