Next Article in Journal
Spatial Relation of Apparent Soil Electrical Conductivity with Crop Yields and Soil Properties at Different Topographic Positions in a Small Agricultural Watershed
Next Article in Special Issue
A Short Non-Saline Sprinkling Increases the Tuber Weights of Saline Sprinkler Irrigated Potatoes
Previous Article in Journal
Development of a Molecular Breeding Strategy for the Integration of Transgenic Traits in Outcrossing Perennial Grasses
Previous Article in Special Issue
Improvement of Salinity Stress Tolerance in Rice: Challenges and Opportunities
 
 
Font Type:
Arial Georgia Verdana
Font Size:
Aa Aa Aa
Line Spacing:
Column Width:
Background:
Article

Genetic Diversity in Barley and Wheat for Tolerance to Soil Constraints

1
School of Agriculture and Food Sciences, The University of Queensland, Toowoomba 4350, QLD, Australia
2
Queensland Alliance for Agriculture and Food Innovation, The University of Queensland, Toowoomba 4350, QLD, Australia
3
Department of Science, Information Technology and Innovation, Dutton Park 4002, QLD, Australia
*
Author to whom correspondence should be addressed.
Agronomy 2016, 6(4), 55; https://doi.org/10.3390/agronomy6040055
Submission received: 30 August 2016 / Revised: 30 September 2016 / Accepted: 28 October 2016 / Published: 2 November 2016
(This article belongs to the Special Issue Crop Salinity Tolerance)

Abstract

:
Surface soil sodicity as well as subsoil salinity, acidity, and phytotoxic concentrations of chloride (Cl) are major soil constraints to crop production in many soils of sub-tropical, north-eastern Australia. The identification of genotypes tolerant to these soil constraints may be an option to maintain and improve productivity on these soils. We evaluated performance of 11 barley and 17 wheat genotypes grown on two sites <0.5 km apart. Compared to the non-sodic site, the sodic site had significantly higher Cl concentration (>800 mg·Cl·kg−1) in the subsoil (0.9–1.3 m soil depth) and higher exchangeable sodium percentage (ESP) (>6%) in the surface and subsoil. Barley grain yield and plant available water capacity (PAWC) were reduced between 5%–25% and 40%–66%, respectively, for different genotypes at the sodic site as compared to the non-sodic site. For wheat genotypes, grain yield was between 8% and 33% lower at the sodic site compared to the non-sodic site and PAWC was between 3% and 37% lower. Most barley and wheat genotypes grown at the sodic site showed calcium (Ca) deficiency symptoms on younger leaves. Analysis of the youngest fully mature leaf (YML) confirmed that genotypes grown at the sodic site with Ca concentration < 0.2% exhibited deficiency symptoms. Grain yields of both barley and wheat genotypes grown on the sodic and non-sodic sites increased significantly with increasing Ca and K in YML and decreased significantly with increasing Na and Cl concentrations in YML. Sodium (Na) concentrations in YML of wheat genotypes grown at the sodic site were 10-fold higher than those from the non-sodic site whereas this increase was only two-fold in barley genotypes. In step-wise regression, the PAWC of barley and wheat genotypes grown on sodic and non-sodic sites was the principal determinant of variability of barley and wheat grain yield. Including the Ca concentration in the YML of wheat genotypes and K:Na ratio in the YML of barley genotypes significantly improved the prediction of grain yield in the regression analysis. Barley genotypes, Mackay and Kaputar, were relatively susceptible while Baronesse and Grout were relatively more tolerant to sodicity. Wheat genotypes Gregory and Stampede were generally relatively more susceptible to sodicity, and genotypes Baxter, Hume, and the experimental line HSF1-255 were relatively more tolerant than the former group.

1. Introduction

High sodicity in surface and subsoil, high salinity and phytotoxic concentration of chloride (Cl) in subsoil, and alkaline surface soils with acidic subsoil are common soil constraints in many dryland Vertosols of the semi-arid, sub-tropical regions of north-eastern Australia [1,2]. Sodic soils tend to have severe soil structural problems, poor aeration, and restricted water transmission, resulting in reduced root growth [3]. Subsoil constraints, on the other hand, reduce the ability of the crop roots to extract water and nutrients from the deeper layers in the soil, especially from soils high in salt content and Cl concentration [4].
The yield of grain crops grown on Vertosols, which occupy 72% of the cropping soils of the region, is potentially limited by many factors; however, water supply is the dominant factor. Successful dryland crop production depends on utilising soil moisture accumulated in the period preceding sowing [5]. Due to the high clay contents, these soils can potentially store 200–250 mm of water in the soil profile [6]. However, soil constraints, especially in the subsoil, reduce the effective rooting depth and the amount of water and nutrients that plants can obtain from the soil, resulting in reduced crop yield [4,7]. Several soil physiochemical constraints in the surface and subsoil interact with each other to determine the local environment for root growth at a given time. Rarely do the various soil constraints occur independently [3,8,9]. Moreover, variable distribution of soil constraints, both spatially within a field, across the landscape, and with depth in the soil profile, combined with the complex interactions that exist among the various physio-chemical constraints [8,9,10], limit the agronomic and management options. Variability in the impact on the crop growth and yield is compounded by the complex interactions between the physiochemical constraints and environmental factors, particularly the timing and amount of rainfall relative to the crop development cycle.
Several management options, including application of chemical ameliorants, compost, and/or physical amendments such as deep ripping, have been assessed to overcome soil sodicity in the region with variable success [2,11]. Application of amendments generally affects only the surface soil in the short term, and they need to be leached through to the subsoil to have a significant effect in deeper layers. The use of genetic solutions to develop better adapted crops and/or genotypes of crops may provide a long-lasting tangible solution to overcome both surface soil sodicity and underlying subsoil constraints if genotypes tolerant to the multiple and variable subsoil constraints can be identified [12]. Improving salt tolerance of barley (Hordeum vulgare L.) and wheat (Triticum aestivum L.) has been of long term interest, particularly in Australia [13,14]. However, information about the extent of genetic variability for the performance of barley and wheat genotypes in sodic soil with varying subsoil salinity in the soils of north-eastern Australia is limited.
Since sodic soil with high subsoil Cl concentrations induces both physical and chemical stresses, growth depression is related to both soil structural degradation as well as the concentrations of soluble salts in the soil solution. The common soluble cations in the soil solution are sodium (Na+), calcium (Ca2+), magnesium (Mg2+), and potassium (K+). The common anions are chloride (Cl), sulphate (SO42−), and carbonate (CO32−). Na+ and Cl dominate the majority of the sodic soils with varying subsoil constraints in north-eastern Australia. Most studies have used Na+ as an indicator of salt stress with little attention to Cl toxicity [13,14]. However, both Na+ and Cl occur in high concentration and are metabolically toxic to plants, therefore both should be given equal consideration [4,15]. Variation in salt tolerance in crop cultivars has been found to be associated with low rates of Na+ uptake and transport, and a high selectivity for K+ or Ca2+ over Na+ [16] and/or restricted Cl translocation [17]. In sodic and/or saline-sodic soils, high Na+ and Cl concentrations accumulate in plants. This reduces the uptake of essential nutrients [18] such as K+ and Ca2+ in particular [19], which affect the integrity and functioning of the cell membrane [16]. High uptake of Na+ or Cl also leads to deficiencies of other elements such as zinc (Zn2+), copper (Cu2+), and manganese (Mn2+) [18]. Therefore, it is necessary to assess tissue ion concentrations against salt tolerance of crop species in order to identify whether exclusion of Na+ or Cl, or selectivity for K+ or Ca2+, and/or ion imbalances are appropriate selection criteria to identify plants tolerant to sodicity and/or salinity.
Subsoil acidity in soils with N2-fixing brigalow (Acacia harpophylla) as the dominant natural vegetation [1] can result in increased uptake of aluminium (Al3+), Mn2+, and iron (Fe2+), which affects root growth, promotes Al3+ or Mn2+ toxicity in the roots, and/or induces Ca2+ deficiency in the leaves. Accumulation of excess Al3+ can also be due to the presence of anionic aluminate ions [Al(OH)4] in alkaline soils pHw > 9.0 [20].
There were two major aims of this study. Firstly, to investigate any potential genetic variability between barley and wheat genotypes in their tolerance to sodic soils with variable subsoil constraints. Secondly, to identify the potential to use tissue ion concentrations as selection criteria for barley and wheat genotypes better adapted to sodic soils. The study also examined the extent of Na+ and Cl ion toxicity and/or Na+ and Cl induced ion deficiencies in barley and wheat genotypes with variation in adaptation to these soils.

2. Materials and Methods

2.1. Sites Description and Experimental Design

Experiments were conducted at two sites in two seasons on a farm near Goondiwindi in southern Queensland, Australia (28.13° S; 150.28° E). The soils at both the sites (<0.5 km apart) are Grey Vertosols. At both sites, a Geonics EM38® instrument in vertical dipole mode, was used to measure the apparent electrical conductivity (ECa) of the soil as described in detail by Dang et al. [21]. Based on the map of ECa, the most uniform area of each field was selected for the experiments. The experiments were set up on <1% slope and sown to 11 barley and 17 wheat genotypes on 11 June in 2008 and 28 May in 2009. Genotypes were chosen to represent cultivars that were available to growers in the region as well as cultivars known to vary in adaptation to water-limited environments [22]. Gypsum (2.5 t/ha) had been applied by the grower at the sodic site after the completion of trials in 2008 and five months before the sowing in 2009. The long-term average rainfall for the area is 617 mm·year−1. The in-crop rain recorded for the sites during 2008 and 2009 were 137 mm and 76 mm, respectively. At each site, crops were sown in 6 m × 2 m plots with row spacing of 0.25 m and a target population density of 100 plants·m−2. Three replicate plots of each genotype were planted in a complete randomised block design. The crops were harvested at maturity in October in both years.

2.2. Soil Sampling and Analysis

Within the selected area of the field, a minimum of five locations were selected for soil sampling. A hydraulic soil sampling rig was used to extract a 50-mm diameter core at each selected location to a depth of 1.5 m. Soil samples were extruded onto a plastic liner and then sectioned at 0.0–0.1 m, then successively at 0.2 m intervals to 1.5 m. Sectioned soil samples from the five locations were composited for each corresponding depth. Samples were dried at 40 °C, then ground to pass through a < 2 mm sieve for analysis.
Soil pH, EC, NO 3 -N, and Cl content were determined in a 1:5 soil: water suspension. Electrical conductivity of saturated extract was calculated from EC1:5 and clay content relationship [23]. Exchangeable cations (Ca2+, K+, Mg2+, Na+) and cation exchange capacity were determined using a 1 M NH4Cl (pH 8.5) extracting solution [24]. Prior to extraction, soluble salts were removed by pre-washing with 60% aqueous alcohol. The extracts were analysed for the exchangeable cations on an inductively coupled plasma-optical emission spectrometer (ICP). Exchangeable sodium percentage (ESP) was calculated from the amount of exchangeable Na+ relative to the cation exchange capacity.

2.3. Plant Available Water Capacity (PAWC)

The PAWC is the difference between drained upper limit (DUL) and crop lower limit (CLL). Briefly, DUL was determined by wetting an area of soil until it reached saturation, allowing time for drainage, and then sampling for soil water content. The DUL and bulk density for both the sites were measured in 2005 [6]. For determining CLL, soil samples were taken from each crop genotype close to harvesting using a 50 mm diameter tube and a hydraulic sampling rig. Soil samples were extruded onto a plastic liner and sectioned at 0.0–0.1 m, then successively at 0.2-m intervals to 1.5 m. The soil samples were dried at 105 °C in order to enable the measurements of gravimetric moisture content. Volumetric moisture content was computed by multiplying gravimetric moisture content by bulk density. The 1.5 m profile was chosen in order to be deeper than the maximum rooting depth of 1.0–1.3 m measured for annual winter crops in southwest Queensland in the presence of the potential root-limiting subsoil factors [7].

2.4. Plant Analysis

At anthesis, about 50 youngest fully mature leaves (YML) were obtained randomly from each replicate plot of each genotype and carefully rinsed with distilled deionized water and then dried at 70 °C for 48 h. Dried plant samples were ground into a fine powder to pass a 0.5-mm sieve. To determine concentrations of Na, K, Ca, Mg, S, Zn, P, Al, B, Cu, Fe, and Mn, plant material was digested in a di-acid mixture of nitric and perchloric acid. Concentrations of ions were measured on ICP. For Cl, ground samples of YML were extracted in hot water at 80 °C for 4 h. The Cl concentration was determined using an auto-analyser [24].

2.5. Statistical Analyses

Analysis of variance for data on soil water and grain yield for each site was done using Genstat 16. The effect of sites and genotypes was analysed in a two-way factorial design. Significant differences between treatments were assessed using Fisher’s l.s.d. (p = 0.05). We used a paired t-test to examine whether, at a particular depth in the profile, the mean of a soil attribute differed significantly between the sodic site and non-sodic site.

3. Results

3.1. Soil Constraints

The depth-wise distribution of physicochemical soil constraints at both the sites are given in Table 1. The sodic site had significantly higher ESP > 6% up to 0.6 m soil depth. A value of ESP ≥ 6% in the surface soil would result in poor germination and water intake in soil [2,25]. The sodic site had Cl concentrations > 800 mg·kg−1 approximately below 0.9 m soil depth, a threshold that generally results in reduced water and nutrient uptake and yield reduction in barley, and more so in bread wheat [4]. However, the non-sodic site had significantly higher electrical conductivity (ECse) between 0.6 and 1.1 m soil depths due to the presence of sulphate salts (>500 mg SO 4 2 -S kg−1). The presence of gypsum does not affect crop productivity unless other salts are also present since it has been shown to have either a slightly negative or an ameliorative effect on the adverse effect of Cl [26,27]. The non-sodic site had significantly higher soil pH compared to sodic site. Sodic site had soil pH <5.5 below 0.9 m soil depth. Acidic subsoils at the sodic site containing toxic levels of aluminium (Al3+) or deficient amounts of calcium (Ca2+) also restrict root proliferation [28]. At both sites the drained upper limit (0.39–0.45 mm·mm−1), bulk density (1.32–1.48 g·cc−1), and clay contents (41%–61%) at the 0–1.3 m soil depth were similar.

3.2. Visual Symptoms

Most of the barley and wheat genotypes grown at the sodic site during 2008 showed Ca deficiency symptoms on the leaves three to four weeks after sowing (Figure 1). The symptoms included chlorotic patches on the leaf top as well as in the middle of the leaf blade. Symptoms of Ca-deficiency were severe for barley genotypes Mackay, Kaputar, and Grimmett and for wheat genotypes Carinya and Kidman. These symptoms gradually reduced over time and had largely disappeared by the tillering stage. No deficiency symptoms were observed in barley and wheat genotypes grown on the non-sodic site in 2008 or on either soil type in 2009.

3.3. Seasonal Water Availability and Site Mean Yields Varied with Species and Season

Barley grain yield varied from 175 g·m−2 in 2009 to 349 g·m−2 in 2008 at the non-sodic site (Table 2). Barley grain yield was significantly higher at the non-sodic site as compared to the sodic site in 2008, whereas the differences between the sites were not significant during 2009. For wheat, site mean yield varied greatly from a minimum of 147 g·m−2 at the non-sodic site in 2009 to 341 g·m−2 at the non-sodic site in 2008. Wheat grain yield was significantly higher at the non-sodic site as compared to the sodic site in 2008, whereas in 2009 significantly higher yields were recorded at the sodic site (Table 2). Barley and wheat grain yields were lower in 2009 than 2008 at both sites, which was most likely due to low in-crop rainfall in 2009 compared to 2008 (76 mm versus 137 mm). The heritability of yield performance was high for both crops at both the sites ranging from h2 = 0.45 to 0.84 for barley and from h2 = 0.65 to 0.76 for wheat. There was a significant difference between the yields of barley genotypes at both sites in both years. There was a significant difference in the grain yields between wheat genotypes at both sites during 2009 (p < 0.001) but not during 2008 (p < 0.07; Table 2). The specific differences between genotypes within each species were, therefore, investigated further where they were significant.

3.4. Yield Rankings for Genotypes Varied with Soil Constraints

Barley genotypes grown at the sodic site in 2008 exhibited substantial yield reductions (11%–39%; x ¯ = 25%) as compared to the non-sodic site (Figure 2a). Barley genotype Baronesse was highly ranked at both the sites but with substantial yield reduction when grown at the sodic site compared to the non-sodic site. In general, the ranking of barley genotypes grown at the non-sodic site was not a good predictor of performance at the sodic site in the presence of subsoil constraints. Barley genotype Mackay was highly ranked at the non-sodic site but low ranked at the sodic site, exhibiting the greatest yield reduction between sites. On the other hand, Grout which ranked highly at the sodic site was ranked low at the non-sodic site. Following gypsum application at the sodic site, barley grain yield during 2009 (Figure 2b) was better correlated with the yield at the non-sodic site (R2 = 0.22, non-significant) as compared to the yield during 2008 (R2 = 0.04, non-significant). Thus, the gypsum treatment at the sodic site may have led to a more similar yield ranking for genotypes between sites, suggesting that the effect of sodicity may have been reduced.
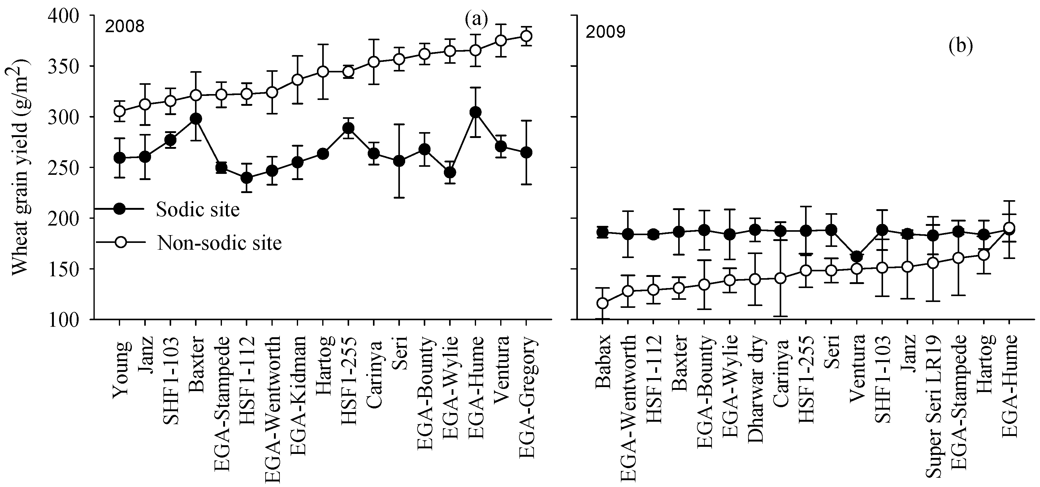
Even though the differences between wheat genotypes were not significant during 2008 (p < 0.07), comparing yield rankings for wheat genotypes between sites shows similar trends to those observed in barley. Similar to barley, wheat genotype yield rankings at the non-sodic site do not give a good indication of rankings at the sodic site in 2008 (Figure 3a). The ranking of certain wheat genotypes changed significantly in the presence of soil constraints. The cultivars EGA-Gregory, Ventura, EGA-Hume, and EGA-Wylie ranked highly at the non-sodic site. Most genotypes exhibited >30% reduction at the sodic site compared to non-sodic site, except for Baxter with only an 8% reduction and EGA-Hume with a 17% reduction. However, EGA-Hume was highly ranked at both the sodic and non-sodic sites in 2008, but the other genotypes exhibited little correlation in rank between sites. Baxter and HSF1-255 were highly ranked at the sodic site, and Baxter exhibited the lowest reduction in grain yield on sodic soil as compared to the non-sodic site. Several wheat genotypes, such as HSF1-112, EGA-Wylie, EGA-Wentworth, and EGA-Stampede, ranked low at the sodic site and exhibited large reductions in grain yield compared to the non-sodic site. Wheat grain yield at the sodic site in 2009 (Figure 3b) was significantly correlated with wheat grain yield at the non-sodic site (R2 = 0.23, p < 0.05), which was not observed for the 2008 wheat crops (R2 = 0.02, non-significant). Genotype yield rankings of wheat in 2009 were changed as compared to 2008 at both the sodic and non-sodic sites. However, wheat genotype EGA-Hume remained highly ranked as in 2009 while HSF1-112 retained a relatively low yield rank.

3.5. Relationship between Grain Yield and Plant Available Water Capacity

Plant available water capacity (PAWC) in 2008 was significantly higher at the non-sodic site as compared to sodic site for both barley (p = 0.001) and wheat (p = 0.001). However, the differences in PAWC between the genotypes were significant only in barley (p = 0.04). On average, the PAWC for barley (Figure 4a) and wheat (Figure 4b) was 30–35 mm higher on non-sodic soil as compared to the sodic site.
Grain yields of wheat and barley grown at the sodic site were significantly positively correlated with increasing PAWC for barley (R2 = 0.40; p = 0.01, Figure 5a) and for wheat (R2 = 0.33; p = 0.01, Figure 5b). However, this relationship was not significant for wheat and barley grown at the non-sodic site. When crop yields from both sites were considered together, the grain yields were significantly and positively correlated with increasing PAWC for barley (R2 = 0.57; p = 0.0001) and wheat (R2 = 0.64; p = 0.0001), respectively (Figure 5).

3.6. Relationship between Grain Yield and Element Concentration in Young Mature Leaf

Calcium concentration in the YML was significantly (p = 0.001) greater at the non-sodic site as compared to the sodic site for both barley (Table 3) and wheat (Table 4) genotypes; however, the differences between the genotypes were significant only in the case of barley (p = 0.001). On average, the Ca concentration in YML for wheat was almost 50% higher on the non-sodic site as compared to the sodic site, whereas in the case of barley this increase was almost 250%. Despite the differences between Ca concentrations of species on the non-sodic site, mean Ca concentration in YML of wheat and barley genotypes grown at the sodic site was similar ( x ¯ = 0.23%). Grain yield across sites for both barley and wheat grown on both sodic and non-sodic sites was significantly positively correlated with increasing Ca concentration in YML of barley (R2 = 0.20; p = 0.02; Figure 6a) and wheat (R2 = 0.46; p = 0.0001; Figure 7a), respectively.
Potassium concentration in the YML was significantly (p = 0.001) higher for both barley (Table 3) and wheat (Table 4) grown on the non-sodic site as compared to the sodic site. Although differences in the K concentration for barley and wheat genotypes grown on the sodic site compared to the non-sodic site were small, these differences between different genotypes of barley (p = 0.01) and wheat (p = 0.05) were significant. The grain yield across sites for both barley and wheat genotypes grown on sodic and non-sodic sites was significantly positively correlated with increasing K concentration in YML of barley (R2 = 0.39; p = 0.0001; Figure 6b) and wheat (R2 = 0.18; p = 0.01; Figure 7b), respectively.
In contrast to Ca and K, the concentrations of both Na and Cl in the YML were significantly higher for both barley (Table 3) and wheat (Table 4) genotypes grown on the sodic soil as compared to the non-sodic soil. The concentration of Na in the YML of all wheat genotypes was almost 10-fold higher when grown on the sodic site as compared to the non-sodic site (Table 4). For barley, there was almost a two-fold increase at the sodic site compared to the non-sodic site. Despite the substantially higher Na concentration in YML of wheat, the differences among different genotypes were non-significant. Sodium concentration in YML of wheat grown on the non-sodic site was not a reliable indicator of sodicity tolerance, as most genotypes had Na concentration < 0.005, which is below the detection limit of ICP. The results were skewed by the large number of very low values at the non-sodic site and therefore were not used to obtain a relationship between grain yield and Na concentration in the YML of wheat. Most wheat genotypes grown at the sodic site had Na concentrations in the YML < 0.1%. In barley, the differences between genotypes were highly significant (p = 0.001) and grain yield of barley grown on combined sodic and non-sodic sites was significantly negatively correlated with increasing concentration of Na in the YML (Figure 6c).
The differences in Cl concentration in the YML of both barley (Table 3) and wheat (Table 4) genotypes were significant (p = 0.001), but the differences between sites and genotypes were generally small. The increasing concentration of Cl in the YML of both barley and wheat were significantly negatively correlated with grain yield of both barley (Figure 6d) and wheat (Figure 7d), respectively.
The K:Na concentration ratio in the YML of barley varied from 2 to 13 ( x ¯ = 5.9) when grown on the sodic site (Figure 8a). In contrast, the corresponding K:Na concentration ratio in the YML of barley genotypes grown on the non-sodic site ranged between 8 and 18 ( x ¯ = 13.6). The K:Na concentration ratio in the YML of barley genotypes grown on the sodic and the non-sodic sites was positively related to grain yield of barley across the two sites, but not within each site (Figure 9). Due to very low concentrations of Na in the YML of wheat genotypes grown on the non-sodic site, the K:Na ratio was not a reliable indicator of sodicity tolerance.
In step-wise regression analysis, PAWC for both wheat and barley genotypes grown on sodic and non-sodic sites was the principal determinant of the variation in the grain yield of both wheat and barley genotypes, respectively.
Y(barley grain yield) = −43.5 + 2.58 PAWC; R2 = 0.47, p = 0.001
Y(wheat grain yield) = 55.1 + 1.79 PAWC; R2 = 0.66, p = 0.001
For wheat, Ca concentrations in the YML significantly improved the variation in wheat grain yield (Figure 8b), whereas K:Na concentration ratio in the YML significantly improved variation in barley grain yield (Figure 8a).
Y(barley grain yield) = 92.1 + 1.30 PAWC + 4.02 K:Na; R2 = 0.52, p = 0.001
Y(wheat grain yield) = 59.7 + 1.37 PAWC + 174 Ca; R2 = 0.67, p = 0.0001
On an average, concentrations of phosphorus, sulphur, zinc, and iron were significantly higher in the YML of barley genotypes grown on the non-sodic site as compared to the sodic site, but the differences among genotypes were non-significant (Table 3). However, boron concentrations in the YML barley genotypes grown on the sodic site were significantly higher as compared to genotypes grown on non-sodic soil. The differences between genotypes were also significant, but there was no-significant relationship with grain yield of barley genotypes grown on both sodic and non-sodic sites. Similar to barley, the concentration of phosphorus, sulphur, zinc, iron, and manganese was significantly higher in the YML of wheat genotypes grown on the non-sodic site compared to the sodic site (Table 4), but the differences among genotypes were non-significant. The differences between boron and magnesium concentrations in the YML of wheat genotypes were non-significant in non-sodic and sodic sites.

4. Discussion

The aim of the current study was to investigate any potential genetic variation for performance on sodic soils with variable subsoil constraints in barley and wheat genotypes either available to growers in the region or with known adaptation to water-limitation, and to identify any potential selection criteria to select genotypes better adapted to these conditions.
Considerable variation between genotypes was found, and some potential selection criteria were identified using measurements of leaf element concentrations.

4.1. Genetic Variation Indicates that the Crop Performance under Non-Sodic Conditions Is Not a Good Indicator of Crop Performance in the Presence of Sodic Soils

Experiments in 2008 indicated substantial differences between genotypes of both barley and wheat for yield performance under sodic soil conditions with subsoil constraints. Results indicated that performance under non-sodic conditions were not a good indicator of performance in the presence of sodic soils with variable sub-soil constraints. Comparing the grain yields of both barley and wheat genotypes grown at the sodic site to the grain yields at the non-sodic site, significantly higher ESP to a depth of 0.6 m in the sodic soil resulted in reduced grain yields of both barley and wheat genotypes. It has been shown that ESP > 6% in the surface soil [25] and >19% in the subsoil [9] reduces the grain yield of most crops. Grain yield on sodic soils is often less than 50% of the potential yield [29]. Dalal et al. [30] found that wheat yield in north-eastern Australia decreased from 3.5 t/ha to <2 t/ha as a result of sodicity (expressed as ESP) increasing from 4% to 16% in the topsoil (0–0.1 m soil depth). In southern Australia, Rengasamy [3] reported a nearly linear decline in grain yield with increasing ESP in the surface soil for 30 different crop and pasture types.
The non-sodic site in the present study had high ECse between 0.50 and 1.1 m soil depth due to the presence of gypsum, suggesting that the calculated high ECse due to gypsum in the subsoil had little effect on water uptake and yields of wheat and barley genotypes. Generally, evidence in the literature points to gypsum either having a slightly negative or an ameliorative effect on the adverse impact of Cl [16].
It is important to note that although all genotypes of wheat and barley had reduced grain yield when grown at the sodic site compared to the non-sodic site, the ranking of different genotypes of both wheat and barley varied at the different sites. In general, wheat experimental line HSF1-112 ranked low and EGA-Hume ranked high at both the sites. Similar to wheat, barley yield rankings differed markedly between sites. For example, Mackay and Kaputar ranked high at the non-sodic site but low at the sodic site. These results suggest that selection and recommendation of wheat and barley genotypes for sodic sites needs to be based on testing done in the presence of soil constraints. The decrease in grain yield of wheat and barley genotypes in the present study, besides other factors, is likely due to a combination of factors that include decreases in PAWC, and Ca and K concentrations and/or increases in the concentrations of Na and Cl in the plant tissues in the sodic soil.
Substantially higher grain yields of both barley and wheat genotypes grown on sodic and non-sodic soils in 2008 were due the higher in-crop rainfall (137 mm) received in 2008 as compared to 2009 (76 mm). Experiments in 2008 showed clear differences between the yield performance of wheat and barley under non-sodic versus sodic soil conditions, which agrees with observations for a different set of wheat genotypes at these trial sites during 2007 [31]. However, after gypsum application, crops grown in 2009 exhibited considerably less variation between performance under sodic versus non-sodic conditions. It is likely that this reduced difference was influenced by at least two factors. Firstly, the potential ameliorative effects of gypsum application on performance under soil constraints. Secondly, reduced in-crop rainfall would have reduced the yield of all genotypes and the differences in yield between genotypes. These factors most probably contributed to the finding that results in 2009 did not give the clear differentiation of genotypic variation in adaptation to soil constraints versus those under non-sodic conditions that was as observed in 2008 (Figure 3 and Figure 4). Thus, in order to determine factors that likely indicate differential adaptation to soil constraints, the data for 2008 was examined in more detail.

4.2. Differences in Soil Moisture Extraction (PAWC) Were the Major Determinant of Performance Differences in the Face of Sodic Soils with Sub-Soil Constraints

All genotypes of wheat and barley grown at the sodic site had reduced PAWC as compared to the non-sodic site in 2008. Shaw [23] showed a strong negative relationship between the effect of exchangeable Na in the root zone on measured PAWC over the rooting depth of a crop in clay soils. Dalal et al. [30] reported decreased PAWC from 120 mm to 80 mm with increasing ESP from 5% to 30% in the top 0.6 m soil depth in clay soils from north-eastern Australia. In the present study, the presence of high Cl concentrations in the subsoil (below 0.90 m soil depth) at the sodic site likely further restricted water extraction, resulting in further reduction in PAWC. Dang et al. [4] showed that subsoil Cl concentrations had a greater effect in reducing soil water extraction and grain yields of five crop species studied than did salinity or sodicity, per se. Subsoil Cl in the 0.90–1.10 m soil depth layers at >850 mg/kg for wheat and >1000 mg for barley has been shown to reduce grain yield by 10% [4]. In the present study, the Cl concentration in the subsoil at the sodic site was well above this threshold Cl concentration. It was interesting to note that grain yields of wheat and barley genotypes grown at the sodic and non-sodic sites had a strong linear relationship with PAWC for wheat and barley genotypes, but the relationships between grain yields of wheat and barley genotypes grown on the non-sodic site was not significant. The relationship between grain yields of wheat and barley grown at the sodic site with variable subsoil constraints with PAWC was significant for wheat (R2 = 0.36) and barley (R2 = 0.36) genotypes. This further suggests the importance of surface sodicity and subsoil Cl in restricting the ability of the roots to extract water [4,32].

4.3. Concentrations of Ca in Wheat and K:Na Ratio in Barley May Be Good Surrogate Traits to Select for Adaptation to Soil Constraints

In the present study, the concentrations of Ca, K, Na, and Cl in YML of both wheat and barley genotypes were generally different when plants were grown on the sodic versus the non-sodic site. However, the differences in the concentrations of other elements such as P, Al, Mn, Cu, Zn, Mg, and S between the sodic site and non-sodic site were not as pronounced.
The relationship of Ca concentration with grain yield of wheat genotypes grown on the sodic and non-sodic sites was clear. The Ca concentration in YML of both wheat and barley genotypes grown on sodic soil was <0.35%, and most genotypes with Ca concentration ≤0.21% in YML of both wheat and barley exhibited typical Ca deficiency symptoms. The Ca concentration in the YML of wheat and barley at the sodic site in the present study was less than the critical limit (0.25%) for plant growth [33,34]. The ‘Na-induced Ca deficiency’ may possibly be explained on the basis of both the physical condition of the sodic soil and presence of high exchangeable Na in the soils [19]. All wheat and barley genotypes grown at the non-sodic site had Ca concentration >0.4% which was well above the critical Ca concentration in the plant tissue for the normal growth of cereals [33]. Calcium can ameliorate Na toxicity by decreasing Na influx through nonselective cations channels [35] and blocking K loss under high salt concentration [35,36]. High sodicity and high soluble salts other than Ca in soil solution can inhibit uptake and transport of Ca and may induce Ca deficiency [19,34,36]. Results of the present study suggest that Ca concentration in the YML of wheat could be a useful indicator of genotypes with tolerance to sodicity with high subsoil chloride. Further studies to confirm this result using a wider range of genotypes on a range of such sites would be warranted.
Most wheat genotypes grown at the sodic site had Na concentrations <0.05%. Generally, Na becomes physiologically toxic to wheat growth when Na in plant tissues is more than 0.1% (R. Munns, pers. comm.). Most of the wheat genotypes in the present study had Na concentrations <0.1%, which corroborates with an earlier report suggesting that most of the Australian wheat genotypes accumulate Na in the tissue well below the critical level [37]. The Na concentration in the YML of both a non-tolerant genotype such as EGA-Wylie (0.154%) and a tolerant genotype such as EGA-Hume were amongst the highest (0.162%). Therefore, a direct toxic effect of Na in the leaves seems unlikely to be the main causative factor for the growth depression in wheat. However, some effect cannot be excluded since even a low Na concentration in the plant can induce considerable changes in carbohydrate metabolism through its effect on activities of enzymes of carbohydrate metabolism, particularly starch synthetase [16,38]. In contrast to wheat genotypes, barley genotypes grown either on the sodic or non-sodic sites accumulated substantial higher concentration of Na in the YML (>0.15%). However, Munns et al. [14] suggested that although barley accumulates high concentration of Na and Cl in fully expanded leaves, these high concentrations do not determine the growth of barley. Barley has been shown to tolerate high Na concentrations within the leaves, probably by maintaining low levels of Na in the cytoplasm and sequestering the Na in vacuoles, whereas bread wheat has a greater ability to restrict Na uptake [39].
Both wheat and barley accumulated similar concentrations of K in the YML, but the differences between genotypes grown on the sodic site compared to the non-sodic site were small. Potassium concentrations in the YML of both wheat and barley were well above the critical concentration for the growth of both wheat and barley [33]. The K/Na ratio in the YML of barley genotypes grown on the sodic and the non-sodic sites provided a potentially useful indicator of barley genotypes tolerant to sodicity. Barley genotypes with K/Na concentrations <5 were susceptible to high sodicity. A number of studies have shown that maintenance of high K/Na ratios was important for the salt tolerance of cereals [40,41,42]. High concentrations of Na can cause reduction of chlorophyll and inhibit the normal functioning of a large number of enzymes and proteins, resulting from the competition by Na for K binding sites [42,43]. Therefore, the plant’s ability to maintain an optimal K/Na ratio has been long cited as a key feature of salt tolerance [41,42,44]. Both wheat and barley had higher concentrations of Cl than Na in YML. However, the differences in Na concentrations in the YML between the genotypes were greater than Cl. The grain yield reduction corresponded well with the increased Cl concentrations in the YML of wheat and barley.
In the step-wise regression analyses, PAWC for both wheat and barley genotypes grown on the sodic and non-sodic sites was the principal determinant of the variation in the grain yield of both wheat and barley genotypes, respectively, which is related to the ability of the roots to extract soil water. Root system characteristics and architecture traits are of fundamental importance to soil exploration and soil water acquisition [22,45]. Water availability is a key limiting factor in crop production in north-eastern Australia. Genotypes with improved adaption and/or improved ability to explore below-ground resources could potentially improve productivity of sodic soils [46,47]. Further investigation would seem warranted to understand the physiological mechanisms and possible influence of root architecture on cereal tolerance to sodicity. Element concentrations in the YML, in particular Ca in wheat and K:Na in barley, significantly improved the wheat and barley grain yield prediction, respectively.

5. Conclusions

The results from the present study suggest that wheat and barley tolerance to sodicity with variable subsoil Cl is principally governed by the ability of genotypes to extract soil water. The relationship between tolerance to sodic soils, the root morphology, and root architecture awaits further investigation. Sodicity tolerant genotypes of both wheat and barley generally had higher Ca concentration in the YML, whereas most relatively susceptible genotypes exhibited Na-induced Ca-deficiency. The concentration of Ca in YML of wheat and K:Na ratio in the YML of barley were useful predictors of sodicity tolerance of wheat and barley genotypes, respectively. Such proxy traits could potentially be used to select for sodicity tolerant genotypes in large populations prior to expensive yield testing in the field.

Acknowledgments

This work was funded by the Australian Grains Research and Development Corporation, the Queensland Department of Agriculture and Fisheries, and the University of Queensland. The generous support of Neville and Penny Boland in providing sites and managing the experiments is greatly appreciated. Thanks are also due to Denis Orange and Greg Harvey for helping with trial management and data collection, and the Chemistry Centre for tissue and soil analysis.

Author Contributions

Yash Dang conducted field experiments, analyse data, interpreted and prepared first draft. Jack Christopher conducted field experiments, analysed data and provided interpretation of the data. Ram Dalal provided interpretation and editing of the manuscript.

Conflicts of Interest

The authors declare no conflict of interest.

References

  1. Dang, Y.P.; Dalal, R.C.; Routley, R.; Schwenke, G.D.; Daniells, I. Subsoil constraints to grain production in the cropping soils of the north-eastern region of Australia: An overview. Aust. J. Exp. Agric. 2006, 46, 19–35. [Google Scholar] [CrossRef]
  2. Dang, Y.P.; Dalal, R.C.; Buck, S.R.; Harms, B.; Kelly, R.; Hochman, Z.; Schwenke, G.D.; Biggs, A.J.W.; Ferguson, N.J.; Norrish, S.; et al. Diagnosis, extent, impacts, and management of subsoil constraints in the northern grains cropping region of Australia. Aust. J. Soil Res. 2010, 48, 105–119. [Google Scholar] [CrossRef]
  3. Rengasamy, P. Transient salinity and subsoil constrints to dryland farming in Australian sodic soil: An overview. Aust. J. Exp. Agric. 2002, 42, 351–361. [Google Scholar] [CrossRef]
  4. Dang, Y.P.; Dalal, R.C.; Mayer, D.G.; McDonald, M.; Routley, R.; Schwenke, G.D.; Buck, S.R.; Daniells, I.G.; Singh, D.K.; Manning, W.; et al. High subsoil chloride concentrations reduce soil water extraction and crop yield on vertosols in north-eastern Australia. Aust. J. Agric. Res. 2008, 59, 321–330. [Google Scholar] [CrossRef]
  5. Freebairn, D.M.; Littleboy, M.; Smith, G.D.; Coughlan, K.J. Optimising soil surface management in response to climatic risk. In Climatic Risk in Crop Production: Models and Management for Semiarid Tropics and Subtropics; Muchow, R.C., Bellamy, J.A., Eds.; CAB International: Wallingford, UK, 1991; pp. 283–305. [Google Scholar]
  6. Dalgliesh, N.; Foale, M. Soil Matters: Monitoring Soil Water and Nutrients in Dryland Farming; CSIRO/Agricultural Production Systems Research Unit: Toowoomba, QLD, Australia, 1998. [Google Scholar]
  7. Dang, Y.P.; Routley, R.; McDonald, M.; Dalal, R.C.; Singh, D.K.; Orange, D.; Mann, M. Subsoil constraints in vertosols: Crop water use, nutrient concentration, and grain yields of bread wheat, durum wheat, barley, chickpea, and canola. Aust. J. Agric. Res. 2006, 57, 983–998. [Google Scholar] [CrossRef]
  8. Lawes, R.A.; Oliver, Y.M.; Robertson, M.J. Capturing the in-field spatial-temporal dynamic of yield variation. Crop Pasture Sci. 2009, 60, 834–843. [Google Scholar] [CrossRef]
  9. Nuttall, J.G.; Armstrong, R.D.; Connor, D.J. Evaluating physio-chemical constraints of calcarosols on wheat yield in victorian southern Mallee. Aust. J. Agric. Res. 2003, 54, 487–498. [Google Scholar] [CrossRef]
  10. Nuttall, J.G.; Armstrong, R.D. Impact of subsoil physicochemical constraints on crops grown in the wimmera and mallee is reduced during dry seasonal conditions. Aust. J. Soil Res. 2010, 48, 125–139. [Google Scholar] [CrossRef]
  11. Dang, Y.P.; Dalal, R.C.; Pringle, M.J.; Biggs, A.J.W.; Darr, S.; Sauer, B.; Moss, J.; Payne, J.; Orange, D. Electromagnetic induction sensing of soil identifies constraints to the crop yields of north-eastern Australia. Soil Res. 2011, 49, 559–571. [Google Scholar] [CrossRef]
  12. Richards, R. Current and emerging environmental challenges in Australian agriculture—The role of plant breeding. Crop Pasture Sci. 2002, 53, 881–892. [Google Scholar] [CrossRef]
  13. Munns, R.; James, R.A. Screening methods for salinity tolerance: A case study with tetraploid wheat. Plant Soil 2003, 253, 201–218. [Google Scholar] [CrossRef]
  14. Munns, R.; Gardner, P.A.; Tonnet, M.L.; Rawson, H. Growth and development in nacl-treated plants. II. Do Na+ or Cl concentrations in dividing or expanding tissues determine growth in barley? Funct. Plant Biol. 1988, 15, 529–540. [Google Scholar] [CrossRef]
  15. Tavakkoli, E.; Fatehi, F.; Coventry, S.; Rengasamy, P.; McDonald, G.K. Additive effects of Na+ and Cl ions on barley growth under salinity stress. J. Exp. Bot. 2011, 62, 2189–2203. [Google Scholar] [CrossRef] [PubMed]
  16. Marschner, P. Marschner’s Mineral Nutrition of Higher Plants; Academic Press: London, UK, 2012; Volume 3. [Google Scholar]
  17. Teakle, N.L.; Tyerman, S.D. Mechanisms of cl- transport contributing to salt tolerance. Plant Cell Environ. 2010, 33, 566–589. [Google Scholar] [CrossRef] [PubMed]
  18. Naidu, R.; Rengasamy, P. Ion interactions and constraints to plant nutrition in Australian sodic soils. Aust. J. Soil Res. 1993, 31, 801–819. [Google Scholar] [CrossRef]
  19. Dang, Y.P.; Mehla, A.S.; Chhabra, R.; Kumar, S. Sodicity induced yield losses and changes in minerals concentration of sugarcane genotypes. In Proceedings of the XXIII International Society of Sugarcane Technologist Congress, New Delhi, India, 22–26 February 1999; Volume 2, pp. 89–99.
  20. Ma, G.; Rengasamy, P.; Rathjen, A.J. Phytotoxicity of aluminium to wheat plants in high-ph solutions. Aust. J. Exp. Agric. 2003, 43, 497–501. [Google Scholar] [CrossRef]
  21. Dang, Y.P.; Pringle, M.J.; Schmidt, M.; Dalal, R.C.; Apan, A. Identifying the spatial variability of soil constraints using multi-year remote sensing. Field Crops Res. 2011, 123, 248–258. [Google Scholar] [CrossRef]
  22. Christopher, J.; Christopher, M.; Jennings, R.; Jones, S.; Fletcher, S.; Borrell, A.; Manschadi, A.M.; Jordan, D.; Mace, E.; Hammer, G. QTL for root angle and number in a population developed from bread wheats (Triticum aestivum) with contrasting adaptation to water-limited environments. Theor. Appl. Genet. 2013, 126, 1563–1574. [Google Scholar] [CrossRef] [PubMed]
  23. Shaw, R. Salinity and sodicity. In Sustainable Crop Production in the Sub-Tropics: An Australian Perspective; Queensland Department of Primary Industries: Brisbane, Australia, 1997; pp. 79–96. [Google Scholar]
  24. Rayment, G.E.; Lyons, D.J. Soil Chemical Methods: Australasia; CSIRO Publishing: Collingwood, Victoria, Australia, 2011; Volume 3. [Google Scholar]
  25. Northcote, K.H.; Skene, J.K.M. Australian Soils with Saline and Sodic Properties; Csiro Division of Soils, Soil Publication No. 27, Commonwealth Scientific and Industrial Research Organisation: Melbourne, Australia, 1972. [Google Scholar]
  26. Kelly, J.; Rengasamy, P. Diagnosis and Management of Soil Constraints: Transient Salinity, Sodicity and Alkalinity; The University of Adelaide: Adelaide, Australia, 2006. [Google Scholar]
  27. Curtin, D.; Steppuhn, H.; Selles, F. Plant responses to sulfate and chloride salinity: Growth and ionic relations. Soil Sci. Soc. Am. J. 1993, 57, 1304–1310. [Google Scholar] [CrossRef]
  28. Bruce, R.C. Soil acidification. In Sustainable Crop Production in the Sub-Tropics; Clarke, A.L., Wylie, P.B., Eds.; Queensland Department of Primary Industries: Brisbane, Queensland, Australia, 1997; pp. 97–111. [Google Scholar]
  29. Rengasamy, P.; MaKenzie, D.; Armstrong, R.D.; Barrett-Lenard, G.; Bennett, J.; Dalal, R.C.; Dang, Y.P.; Davenport, D.; Fisher, P.; Hall, D.; et al. Dispersive (Sodic and Magnesic) Soils in Australia: The Mechanisms, Distribution and Management; Grains Research Development Corporation Project DAQ 200 Final Report; Grains Research and Development Coroporation: Canberra, Australia, 2016. [Google Scholar]
  30. Dalal, R.; So, B.; Blasi, M. High Sodium Levels in Subsoil Limits Yield and Water Use in Marginal Cropping Areas; Grains Research & Development Corporation, Final Report DNR 6; Grains Research and Development Coroporation: Canberra, Australia, 2002. [Google Scholar]
  31. Christopher, J.T.; Dang, Y.P. Superior performance in the presence of sub-soil constraints and under water constraints is associated in certain wheat genotypes. SABRAO J. Breed. Genet. 2009, 41 Special supplement. ISBN 1029-7073, Society for the Advancement of Breeding Researchers in Asia and Oceania: Bangkok, Thialand. [Google Scholar]
  32. Hochman, Z.; Dang, Y.P.; Schwenke, G.D.; Dalgliesh, N.P.; Routley, R.; McDonald, M.; Daniells, I.G.; Manning, W.; Poulton, P.L. Simulating the effects of saline and sodic subsoils on wheat crops growing on vertosols. Aust. J. Agric. Res. 2007, 58, 802–810. [Google Scholar] [CrossRef]
  33. Reuter, D.J.; Robinson, J.B.; Dutkiewicz, C. Plant Analysis: An Interpretation Manual; CSIRO Publishing: Melbourne, Australia, 1997. [Google Scholar]
  34. Ehret, D.L.; Redmann, R.E.; Harvey, B.L.; Cipywnyk, A. Salinity-induced calcium deficiencies in wheat and barley. Plant Soil 1990, 128, 143–151. [Google Scholar] [CrossRef]
  35. Shabala, S.; Demidchik, V.; Shabala, L.; Cuin, T.A.; Smith, S.J.; Miller, A.J.; Davies, J.M.; Newman, I.A. Extracellular Ca2+ ameliorates nacl-induced k+ loss from arabidopsis root and leaf cells by controlling plasma membrane k +-permeable channels. Plant Physiol. 2006, 141, 1653–1665. [Google Scholar] [CrossRef] [PubMed]
  36. Shabala, S.; Schimanski, L.J.; Koutoulis, A. Heterogeneity in bean leaf mesophyll tissue and ion flux profiles: Leaf electrophysiological characteristics correlate with the anatomical structure. Ann. Bot. 2002, 89, 221–226. [Google Scholar] [CrossRef] [PubMed]
  37. Liu, C.Y.; Paull, J.G.; Rathjen, A.J. Shoot mineral composition and yield of wheat genotypes grown on a soic and non-sodic soil. Aust. J. Exp. Agric. 2000, 40, 69–78. [Google Scholar] [CrossRef]
  38. Kronzucker, H.J.; Coskun, D.; Schulze, L.M.; Wong, J.R.; Britto, D.T. Sodium as nutrient and toxicant. Plant Soil 2013, 369, 1–23. [Google Scholar] [CrossRef]
  39. Gorham, J.; Wyn Jones, R.G. Utilisation of triticeae for improving salt tolerance in wheat. In Towards the Rational Use of High Salinity Tolerant Plants; Lieths, H., Masoom, A., Eds.; Kluwer Academic Publisher: Dordrecht, The Netherlands, 1993; Volume 2, pp. 27–33. [Google Scholar]
  40. Ashraf, M.; O’Leary, J.W. Responses of some newly developed salt-tolerant genotypes of spring wheat to salt stress: 1. Yield components and ion distribution. J. Agron. Crop Sci. 1996, 176, 91–101. [Google Scholar] [CrossRef]
  41. Chhipa, B.; Lal, P. Na/k ratios as the basis of salt tolerance in wheat. Aust. J. Agric. Res. 1995, 46, 533–539. [Google Scholar] [CrossRef]
  42. Zhu, M.; Shabala, S.; Shabala, L.; Fan, Y.; Zhou, M.X. Evaluating predictive values of various physiological indices for salinity stress tolerance in wheat. J. Agron. Crop Sci. 2016, 202, 115–124. [Google Scholar] [CrossRef]
  43. Shabala, S.; Cuin, T.A. Potassium transport and plant salt tolerance. Physiol. Plant. 2008, 133, 651–669. [Google Scholar] [CrossRef] [PubMed]
  44. Wu, H.; Shabala, L.; Zhou, M.; Shabala, S. Durum and bread wheat differ in their ability to retain potassium in leaf mesophyll: Implications for salinity stress tolerance. Plant Cell Physiol. 2014, 55, 1749–1762. [Google Scholar] [CrossRef] [PubMed]
  45. Manschadi, A.; Christopher, J.; DeVoil, P.; Hammer, G. The role of root architecture traits in adaptation of wheat to water-limited environments. Funct. Plant Biol. 2006, 33, 823–837. [Google Scholar] [CrossRef]
  46. Christopher, J.T.; Christopher, M.J.; Borrell, A.K.; Fletcher, S.; Chenu, K. Stay-green traits to improve wheat adaptation in well-watered and water-limited environments. Funct. Plant Biol. 2016. [Google Scholar] [CrossRef] [PubMed]
  47. Christopher, J.T.; Veyradier, M.; Borrell, A.K.; Harvey, G.; Fletcher, S.; Chenu, K. Phenotyping novel stay-green traits to capture genetic variation in senescence dynamics. Funct. Plant Biol. 2014, 41, 1035–1048. [Google Scholar] [CrossRef]
Figure 1. Sodicity–induced calcium-deficiency symptoms in barley genotype Mackay.
Figure 1. Sodicity–induced calcium-deficiency symptoms in barley genotype Mackay.
Figure 2. Grain yields ranking of barley genotypes grown on a sodic site and a non-sodic site in (a) 2008 and (b) 2009 near Goondiwindi in southern Queensland.
Figure 2. Grain yields ranking of barley genotypes grown on a sodic site and a non-sodic site in (a) 2008 and (b) 2009 near Goondiwindi in southern Queensland.
Figure 3. Grain yields ranking of wheat genotypes grown on a sodic site and a non-sodic site in (a) 2008 and (b) 2009 near Goondiwindi in southern Queensland.
Figure 3. Grain yields ranking of wheat genotypes grown on a sodic site and a non-sodic site in (a) 2008 and (b) 2009 near Goondiwindi in southern Queensland.
Figure 4. Plant available water capacity ranking of (a) barley and (b) wheat genotypes grown on a sodic site and a non-sodic site in 2008 at Goondiwindi in southern Queensland.
Figure 4. Plant available water capacity ranking of (a) barley and (b) wheat genotypes grown on a sodic site and a non-sodic site in 2008 at Goondiwindi in southern Queensland.
Figure 5. Relationships between grain yield of (a) wheat and (b) barley genotypes with plant available water capacity of wheat and barley genotypes, respectively, grown on a sodic site and a non-sodic site at Goondiwindi in southern Queensland in 2008.
Figure 5. Relationships between grain yield of (a) wheat and (b) barley genotypes with plant available water capacity of wheat and barley genotypes, respectively, grown on a sodic site and a non-sodic site at Goondiwindi in southern Queensland in 2008.
Figure 6. Relationships between grain yield of barley genotypes with element concentrations of (a) calcium, (b) potassium, (c) sodium, and (d) chloride in young mature leaves of wheat genotypes grown on a sodic site and a non-sodic site at Goondiwindi in southern Queensland in 2008.
Figure 6. Relationships between grain yield of barley genotypes with element concentrations of (a) calcium, (b) potassium, (c) sodium, and (d) chloride in young mature leaves of wheat genotypes grown on a sodic site and a non-sodic site at Goondiwindi in southern Queensland in 2008.
Figure 7. Relationships between grain yield of wheat genotypes element concentrations of (a) calcium, (b) potassium, (c) sodium, and (d) chloride in young mature leaves of barley genotypes grown on a sodic site and a non-sodic site at Goondiwindi in southern Queensland in 2008.
Figure 7. Relationships between grain yield of wheat genotypes element concentrations of (a) calcium, (b) potassium, (c) sodium, and (d) chloride in young mature leaves of barley genotypes grown on a sodic site and a non-sodic site at Goondiwindi in southern Queensland in 2008.
Figure 8. Ranking of (a) potassium/sodium concentration in young mature leaves of barley and (b) calcium concentration in young mature leaves of wheat genotypes grown on a sodic site and a non-sodic site in 2008 at Goondiwindi in southern Queensland.
Figure 8. Ranking of (a) potassium/sodium concentration in young mature leaves of barley and (b) calcium concentration in young mature leaves of wheat genotypes grown on a sodic site and a non-sodic site in 2008 at Goondiwindi in southern Queensland.
Figure 9. Relationships between grain yield of barley genotypes with potassium:sodium concentration ratios in young mature leaves of barley genotypes grown on a sodic site and a non-sodic site at Goondiwindi in southern Queensland in 2008.
Figure 9. Relationships between grain yield of barley genotypes with potassium:sodium concentration ratios in young mature leaves of barley genotypes grown on a sodic site and a non-sodic site at Goondiwindi in southern Queensland in 2008.
Table 1. Soil pH, electrical conductivity of saturated extracts (ECse), chloride concentration (Cl), nitrogen as NO3, bulk density (BD), volumetric moisture content (VMC), exchangeable cations (Ca++, Mg++, K+, Na+) cation exchange capacity (CEC), and sodium percentage (ESP) for a sodic site and a non-sodic site near Goondiwindi in south-east Queensland.
Table 1. Soil pH, electrical conductivity of saturated extracts (ECse), chloride concentration (Cl), nitrogen as NO3, bulk density (BD), volumetric moisture content (VMC), exchangeable cations (Ca++, Mg++, K+, Na+) cation exchange capacity (CEC), and sodium percentage (ESP) for a sodic site and a non-sodic site near Goondiwindi in south-east Queensland.
pHECseClNO3-NClayBDVMCEx CaEx MgEx KEx NaCECESP
(m)1:5 H2OdS·m−1mg·kg−1mg·kg−1(%)g·cc−1mm·mm−1cmol (+) kg−1%
Non-Sodic Site
0–0.18.30.48344.2461.320.461450.561.4244.2
0.1–0.39.00.794818531.390.471790.293.3308.9
0.3–0.59.12.041703.7521.430.4615100.224.43114.2
0.5–077.98.442703.0571.470.4615100.285.33017.9
0.7–0.97.68.395481.8571.440.4513110.256.13120.9
0.9–1.16.85.427591.1611.470.4511110.246.23023.0
1.1–1.36.64.215893.9611.480.451190.276.32922.5
Sodic Site
0–0.17.60.165216411.390.391180.753.42712.5
0.1–0.38.20.192612511.340.3914100.406.03517.2
0.3–0.57.72.934515561.360.4113110.357.43521.1
0.5–077.63.3520121561.470.4111100.347.83224.5
0.7–0.97.43.0961022561.460.39890.377.33123.7
0.9–1.15.53.28147016581.470.39880.367.13023.7
1.1–1.34.52.48216010581.480.36780.377.23123.0
Table 2. Site mean grain yield, probability that genotypes differed within the experimental site (p), least significance difference between genotypes (LSD), genetic variance, and heritability (h2) for wheat and barley grown at a sodic and a non-sodic site near Goondiwindi in southern Queensland in 2008 and 2009.
Table 2. Site mean grain yield, probability that genotypes differed within the experimental site (p), least significance difference between genotypes (LSD), genetic variance, and heritability (h2) for wheat and barley grown at a sodic and a non-sodic site near Goondiwindi in southern Queensland in 2008 and 2009.
CropYearSiteYield (g/m2)pLSDGenetic Varianceh2
Barley2008Sodic266 a0.001501070.45
349 b2590.64
2009Non-sodic184 c0.001319600.84
175 c3480.72
Wheat2008Sodic265 a0.077 1560.72
341 a3940.65
2009Non-sodic185 c0.001321500.72
147 d3090.76
Site means for a crop given the same symbol are not significantly different in that year at p < 0.05.
Table 3. Plant available water capacity (PAWC) and nutrient concentrations in barley genotypes grown at a non-sodic site and sodic site in 2008.
Table 3. Plant available water capacity (PAWC) and nutrient concentrations in barley genotypes grown at a non-sodic site and sodic site in 2008.
GenotypesPAWCCaKNaClMgPSBZnCuMnFe
(mm)(%)(mg·kg−1)
Non-Sodic Site
ND19110-51540.392.770.361.380.180.350.417.630.511.666121
Grout1470.322.690.311.460.190.350.409.130.69.760115
Shepherd1270.592.630.221.290.160.320.409.826.79.855125
Kaputar1570.462.670.201.270.170.350.428.125.910.756121
Grimmett1460.562.520.121.020.140.320.387.336.48.744126
Gairdner1370.612.850.221.220.170.340.388.425.610.161111
Cameo1510.563.010.201.320.180.370.429.731.910.260118
Fitzroy1590.413.100.171.160.160.350.396.328.610.344107
Kuro1600.442.630.191.180.160.340.4011.325.310.146112
Mackay1520.802.600.181.220.170.360.396.227.89.855115
Baronesse1490.432.690.181.320.170.340.369.125.210.255118
Mean1490.512.740.211.250.170.350.398.428.610.155117
Sodic Site
ND19110-51390.212.120.752.000.130.230.2910.915.49.48076
Grout1260.232.590.391.870.110.250.289.216.510.55389
Shepherd1230.242.520.461.470.110.270.3016.117.012.45387
Kaputar1260.192.330.461.440.130.260.287.920.910.565102
Grimmett1150.202.320.611.910.150.250.3215.014.610.67991
Gairdner1150.252.190.451.350.110.290.299.621.913.57988
Cameo1100.222.080.832.010.130.270.347.319.212.18984
Fitzroy1270.242.310.311.560.100.260.277.817.310.46377
Kuro1260.202.650.321.410.120.280.3011.016.09.962100
Mackay1280.292.170.401.470.130.260.3010.919.09.96585
Baronesse890.192.640.471.820.110.300.3112.318.615.65893
Mean1200.222.350.501.660.120.260.3010.717.811.36888
LSD (p < 0.05)
Site9.40.030.120.080.12NS0.010.011.41.7NS53
Genotype22.90.08NSNS0.29NSNSNS3.3NSNSNSNS
Table 4. Plant available water capacity (PAWC) and nutrient concentrations in wheat genotypes grown at a non-sodic site and sodic site in 2008.
Table 4. Plant available water capacity (PAWC) and nutrient concentrations in wheat genotypes grown at a non-sodic site and sodic site in 2008.
GenotypesPAWCCaKNaClMgPSBZnCuMnFe
(mm)(%)(mg·kg−1)
Non-Sodic Site
Baxter1740.313.060.0070.780.160.250.346.324.77.6109120
Carinya1490.332.760.0050.880.150.250.3311.831.88.2127115
EGA-Bounty1600.373.020.0361.140.150.250.324.325.28.2125118
EGA-Gregory1380.392.850.0060.680.180.250.298.723.911.3124107
EGA-Hume1660.372.640.0050.920.190.240.308.925.810.3132170
EGA-Kidman1570.302.280.0050.710.160.260.336.229.310.210596
EGA-Stampede1530.362.970.0050.740.160.280.336.626.69.5108123
EGA-Wentworth1590.382.840.0050.960.160.240.359.927.37.8126110
EGA-Wylie1480.252.580.0050.740.130.260.359.126.710.6106240
Hartog1610.272.790.0221.170.150.310.297.323.98.094117
HSF1-1121710.363.410.0060.930.150.290.295.429.98.3124106
HSF1-2551380.352.300.0060.960.150.240.307.524.18.289140
Janz1550.332.530.0050.780.140.220.306.425.89.8110118
Seri1490.412.790.0051.210.140.260.3411.525.77.6112108
SHF1-1031490.362.570.0051.060.150.250.307.322.47.9114309
Ventura1630.372.810.0060.970.160.280.317.027.78.4109161
Young1400.302.340.0050.550.130.260.317.725.29.686129
Mean1550.342.730.0080.890.150.260.317.726.28.9112140
Sodic Site
Baxter1280.182.490.0361.200.140.340.384.315.67.848117
Carinya1160.182.480.0120.990.160.350.375.119.68.06095
EGA-Bounty1210.192.700.0361.280.160.330.3810.815.88.255101
EGA-Gregory1200.222.310.0250.920.200.330.407.516.47.87395
EGA-Hume1420.222.170.1621.270.160.330.357.915.67.956108
EGA-Kidman1210.312.380.1941.010.160.320.388.618.08.659102
EGA-Stampede1210.212.340.0111.000.210.350.417.716.97.97096
EGA-Wentworth1130.182.570.0070.940.160.340.385.916.67.86292
EGA-Wylie1320.232.640.1541.020.140.340.4014.417.88.561104
Hartog1200.222.660.0421.300.170.320.378.218.47.85397
HSF1-1121090.232.450.0431.230.180.390.375.017.67.351111
HSF1-2551350.322.430.0471.140.190.320.417.315.07.18897
Janz1240.352.190.1371.100.160.330.408.514.97.35285
Seri1270.182.820.0100.970.160.340.354.717.77.662117
SHF1-1031220.322.400.0351.120.160.270.377.418.27.66797
Ventura1110.262.240.0481.070.190.340.389.817.97.664104
Young1040.292.510.1470.980.150.300.417.816.77.761117
Mean1210.242.450.0671.090.170.330.387.717.07.861102
LSD (p < 0.05)
Site10.20.030.110.030.06NS0.010.01NS1.00.66.617
GenotypeNSNS0.16NS0.18NSNSNSNSNSNSNSNS

Share and Cite

MDPI and ACS Style

Dang, Y.P.; Christopher, J.T.; Dalal, R.C. Genetic Diversity in Barley and Wheat for Tolerance to Soil Constraints. Agronomy 2016, 6, 55. https://doi.org/10.3390/agronomy6040055

AMA Style

Dang YP, Christopher JT, Dalal RC. Genetic Diversity in Barley and Wheat for Tolerance to Soil Constraints. Agronomy. 2016; 6(4):55. https://doi.org/10.3390/agronomy6040055

Chicago/Turabian Style

Dang, Yash P., Jack T. Christopher, and Ram C. Dalal. 2016. "Genetic Diversity in Barley and Wheat for Tolerance to Soil Constraints" Agronomy 6, no. 4: 55. https://doi.org/10.3390/agronomy6040055

APA Style

Dang, Y. P., Christopher, J. T., & Dalal, R. C. (2016). Genetic Diversity in Barley and Wheat for Tolerance to Soil Constraints. Agronomy, 6(4), 55. https://doi.org/10.3390/agronomy6040055

Note that from the first issue of 2016, this journal uses article numbers instead of page numbers. See further details here.

Article Metrics

Back to TopTop