Australian Dryland Wheat Growth and Yield Are Positively Impacted by a Methylobacterium symbioticum Biostimulant Under Reduced Nitrogen Supply
Abstract
1. Introduction
2. Materials and Methods
2.1. Experimental Site and Design
2.2. Crop Establishment and Input Management
2.3. Crop Protection Management, Environmental Conditions, and Harvest
2.4. Bacterial Colonization Verification
2.5. Soil Sampling and Analysis
2.6. Chlorophyll Measurement
2.7. Biomass and Yield Components
2.8. Grain Yield and Quality
2.9. Nitrogen Use Efficiency and Partitioning Indices
2.10. Statistical Analysis
3. Results
3.1. Effect of N Rates and MB Application on Physiological Traits of Wheat
3.1.1. Leaf Chlorophyll Content (mg/g)
3.1.2. Biomass Production (kg/ha)
3.2. Effect of N Rates and MB Application on Agronomic and Yield Traits
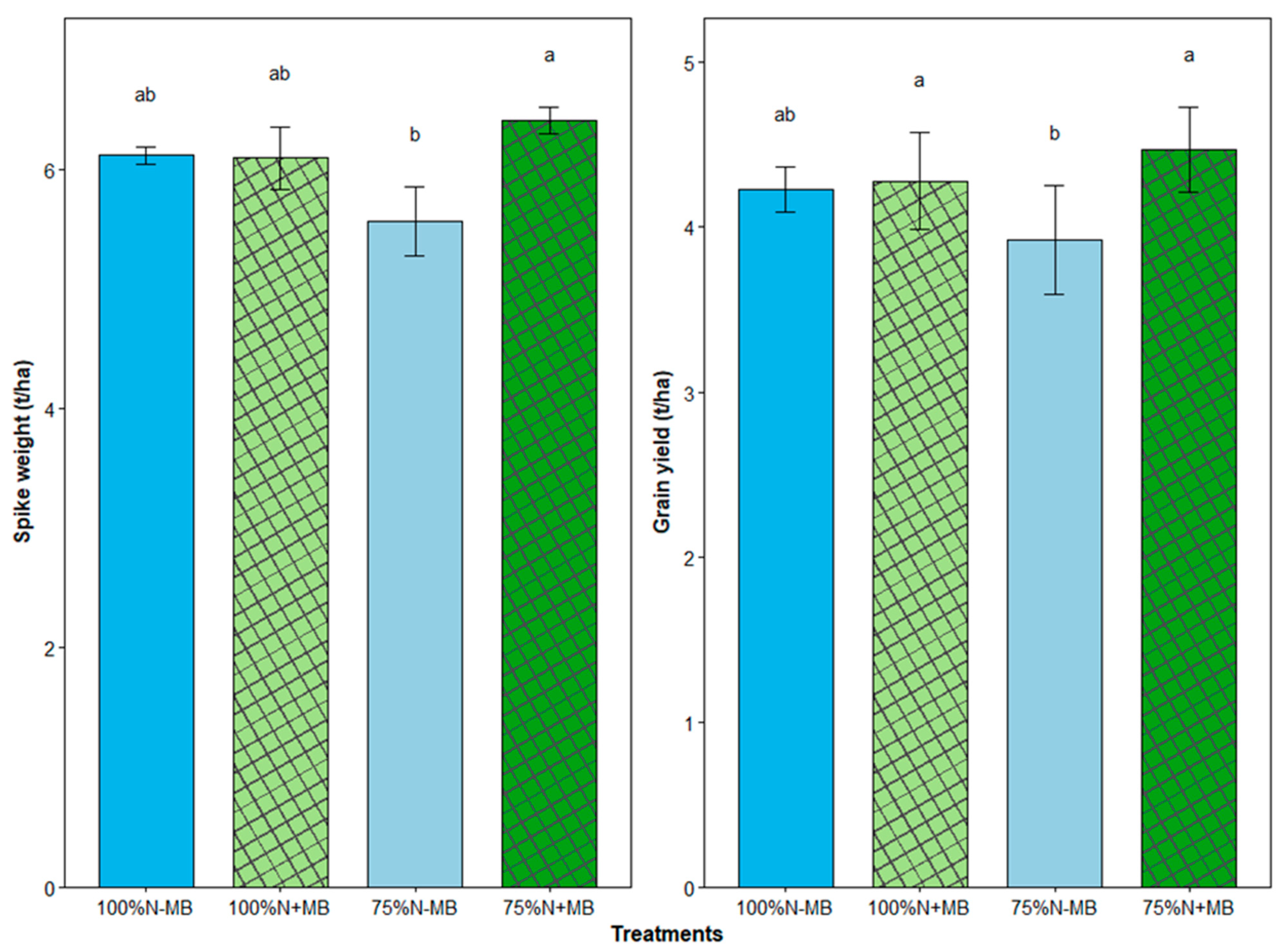
Spike Dry Weight (t ha−1) and Yield (t ha−1)
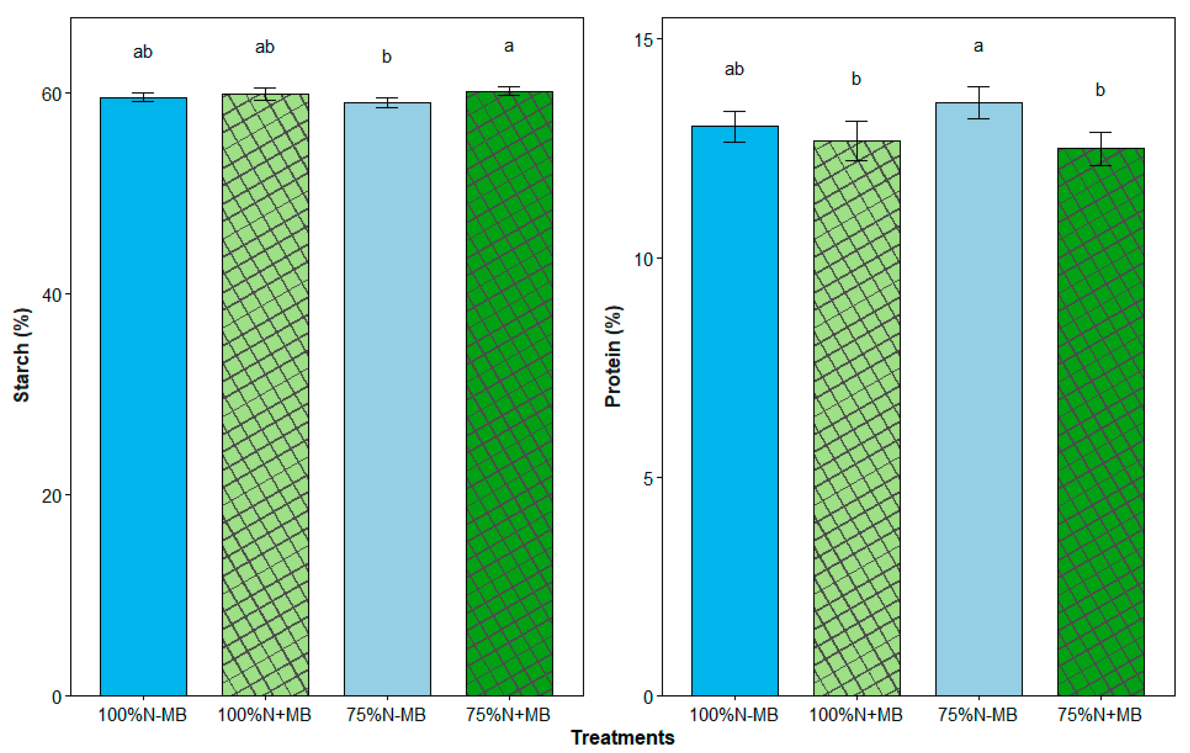
3.3. Effect on Grain Quality
Starch (%) and Crude Protein (%)
3.4. Effect on Biomass Nutrient Accumulation and Nitrogen Partitioning Efficiency
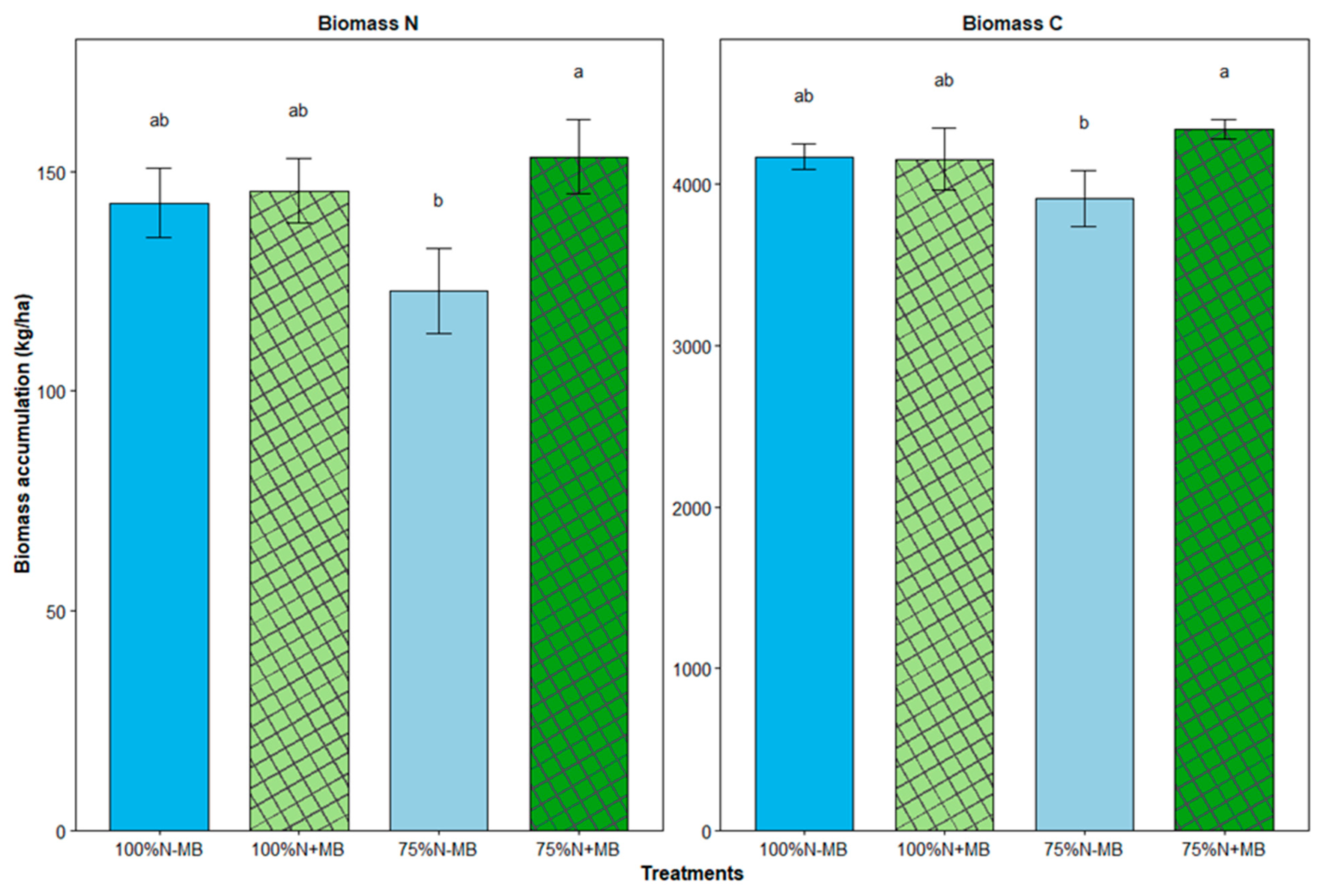
3.4.1. N Accumulation (kg ha−1)
3.4.2. C Accumulation (kg ha−1)
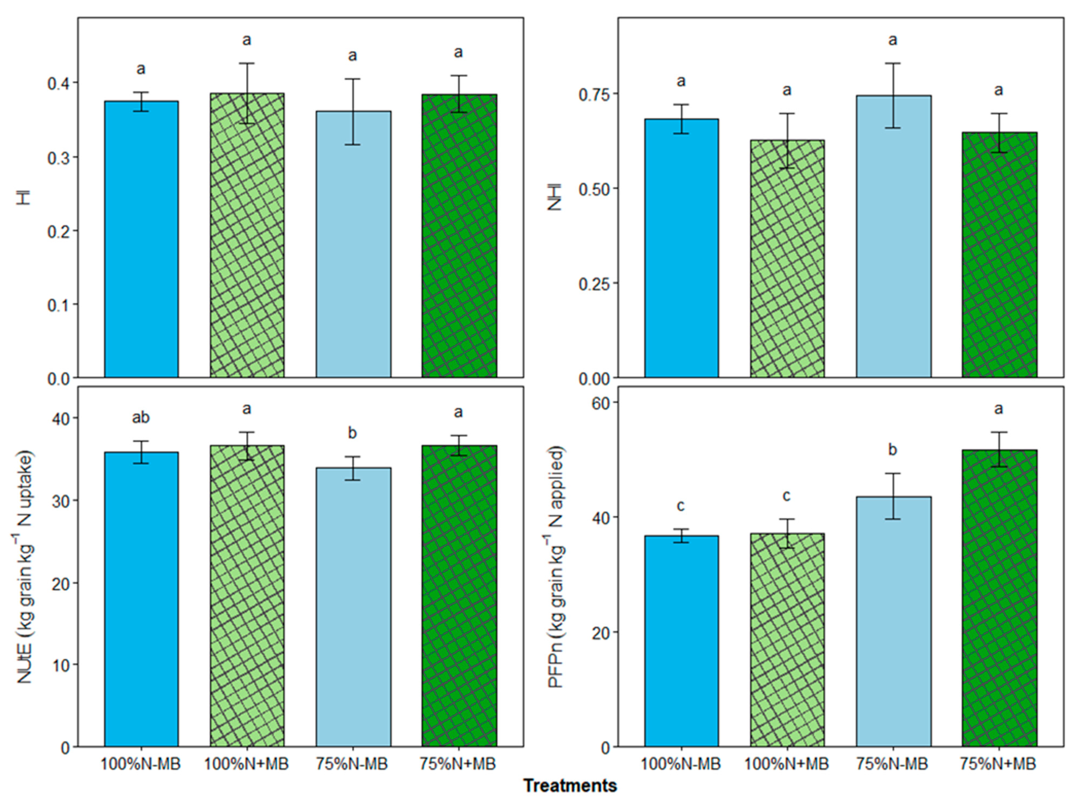
3.4.3. Biomass and Nitrogen Partitioning
3.4.4. Nitrogen Use Efficiency Indices
3.5. Effect on Soil Nutrient Status
3.6. Correlation Matrices Among Physiological, Biomass, and Yield Parameters of Wheat
3.7. Relationship Between Chlorophyll Concentration, Biomass, and Spike Weight
4. Discussion
4.1. Biostimulant Application Improved Physiological Performance
4.2. Yield Response Under Reduced Nitrogen Inputs
4.3. Effects on Grain Quality and Nutrient Accumulation
4.4. Nitrogen Use Efficiency Pathways Under Foliar M. symbioticum Application
4.5. Soil Nutrient Dynamics
4.6. Cost Benefits of Biostimulant Application with M. symbioticum
5. Conclusions
Supplementary Materials
Author Contributions
Funding
Data Availability Statement
Acknowledgments
Conflicts of Interest
Abbreviations
| General and Study Design | |
| Bt | Billion Tonnes |
| Mt | Million Tonnes |
| AUD | Australian Dollar |
| APH | Australian Prime Hard |
| DBS | Deep Blade System |
| RCBD | Randomized complete block design |
| ANOVA | Analysis of variance |
| LSD | Least significant difference (post hoc mean separation) |
| BOM | Australian Bureau of Meteorology |
| AGRF | Australian Genome Research Facility |
| Nitrogen, Biostimulants and Physiology | |
| N | Nitrogen |
| NUE | Nitrogen use efficiency |
| BNF | Biological nitrogen fixation |
| MB | Microbial biostimulant (Methylobacterium symbioticum SB23) |
| SB23 | Methylobacterium symbioticum strain SB0023/3T (commercial: Utrisha N™/BlueN) |
| ACC | 1-Aminocyclopropane-1-carboxylate (in “ACC-deaminase”) |
| Treatments and Rates | |
| N1 | 100% of locally recommended N rate (high-yield goal) |
| N2 | 75% of locally recommended N rate (optimum-yield goal) |
| MB+ | With biostimulant application |
| MB− | Without biostimulant |
| 100%N × MB− | (100% recommended N, no biostimulant) |
| 100%N+MB | (100% recommended N, with biostimulant) |
| 75%N × MB− | (75% recommended N, no biostimulant) |
| 75%N+MB | (75% recommended N, with biostimulant) |
| Timing and Sampling | |
| DAS | Days after sowing |
| DAA | Days after application |
| Measurements and Instruments | |
| NIR | Near-infrared (spectroscopy/sensor) |
| TSW | Thousand-seed weight |
| CFU | Colony-forming unit (microbiology) |
| CNS | Carbon–Nitrogen–Sulfur (analyzer) |
| NDVI | Normalized Difference Vegetation Index |
| SPAD | Soil–Plant Analysis Development (chlorophyll index) |
| Chemicals, Fertilizers and Formulations | |
| MAP | Mono-ammonium phosphate fertilizer |
| EC | Emulsifiable concentrate (formulation) |
| SC | Suspension concentrate (formulation) |
| WG | Water-dispersible granules (formulation) |
| Variables used in Figures/Correlation Plots | |
| Chl60 | Total chlorophyll at 60 DAA |
| Bio60 | Biomass at 60 DAA |
| Bio90 | Biomass at 90 DAA |
| Bio120 | Biomass at 120 DAA |
| Spike Wt | Spike dry weight at harvest |
| Yield | Grain yield (t/ha) |
| Protein | Grain protein concentration (%) |
| Starch | Grain starch concentration (%) |
| BioN120 | Biomass N accumulation at 120 DAA (kg/ha) |
| BioC120 | Biomass C accumulation at 120 DAA (kg/ha) |
| Units and Conventions | |
| ha | Hectare |
| kg/ha, t/ha, g/L, mg/g | Kilograms per hectare, tonnes per hectare, grams per liter, milligrams per gram |
References
- Desa, U. World Population Prospects 2022: Summary of Results; UN DESA/POP/2021/TR/NO. 3; United Nations Department of Economic and Social Affairs, Population Division: New York, NY, USA, 2022. [Google Scholar]
- Rob, V.; Giovanni, B.L.; Kostas, S.; Boyd, H.; Aysen, T.; Martin, P.; Linda, A.; Aikaterini, K.; Marc, M.; Dominik, W. The Future of Food and Agriculture; Food and Agriculture Organization of the United Nations (FAO): Rome, Italy, 2017. [Google Scholar]
- Hundloe, T.J.A.; Blagrove, S.; Hundloe, T.; Ditton, H. Australia’s Role in Feeding the World: The Future of Australian Agriculture; Csiro Publishing: Victoria, Australia, 2016. [Google Scholar]
- ABARES. Snapshot—Australian Wheat Exports; Australian Bureau of Agricultural and Resource Economics and Sciences (ABARES): Canberra, Australia, 2023.
- Federation, N.F. 2030 Roadmap: Australian Agriculture’s Plan for a $100 Billion Industry; National Farmers’ Federation: Barton, Australia, 2019. [Google Scholar]
- IFASTAT. Comparative Scope of the Supply and Consumption Data Sets; International Fertilizer Association: Paris, France, 2023. [Google Scholar]
- Norton, R.; Gourley, C.; Grace, P. Nitrogen Fertiliser Use and Greenhouse Gases, An Australian Assessment: Challenges and Opportunities; Fertilizer Australia: Canberra, Australia, 2023. [Google Scholar]
- Angus, J.; Grace, P. Nitrogen balance in Australia and nitrogen use efficiency on Australian farms. Soil Res. 2017, 55, 435–450. [Google Scholar] [CrossRef]
- Barton, L.; Hoyle, F.; Grace, P.; Schwenke, G.; Scanlan, C.; Armstrong, R.; Bell, M. Soil nitrogen supply and N fertilizer losses from Australian dryland grain cropping systems. Adv. Agron. 2022, 174, 1–52. [Google Scholar]
- Hochman, Z.; Horan, H. Causes of wheat yield gaps and opportunities to advance the water-limited yield frontier in Australia. Field Crops Res. 2018, 228, 20–30. [Google Scholar] [CrossRef]
- Aarons, S.; Angus, J.; Gourley, C. Efficient use of reactive nitrogen for productive agroecosystems. Soil Res. 2017, 55, 413–416. [Google Scholar] [CrossRef][Green Version]
- Kroon, F.J.; Thorburn, P.; Schaffelke, B.; Whitten, S. Towards protecting the Great Barrier Reef from land-based pollution. Glob. Change Biol. 2016, 22, 1985–2002. [Google Scholar] [CrossRef]
- Rouphael, Y.; Lucini, L.; Miras-Moreno, B.; Colla, G.; Bonini, P.; Cardarelli, M. Metabolomic responses of maize shoots and roots elicited by combinatorial seed treatments with microbial and non-microbial biostimulants. Front. Microbiol. 2020, 11, 664. [Google Scholar] [CrossRef]
- Bonini, P.; Rouphael, Y.; Miras-Moreno, B.; Lee, B.; Cardarelli, M.; Erice, G.; Cirino, V.; Lucini, L.; Colla, G. A microbial-based biostimulant enhances sweet pepper performance by metabolic reprogramming of phytohormone profile and secondary metabolism. Front. Plant Sci. 2020, 11, 567388. [Google Scholar] [CrossRef]
- Utgés-Minguell, L.; Sierras-Serra, N.; Marín, C.; Pintó-Marijuan, M. Enhanced production by terra-sorb® symbiotic biostimulant in two model species under nitrogen stress. Plants 2025, 14, 1087. [Google Scholar] [CrossRef]
- Kaushal, P.; Ali, N.; Saini, S.; Pati, P.K.; Pati, A.M. Physiological and molecular insight of microbial biostimulants for sustainable agriculture. Front. Plant Sci. 2023, 14, 1041413. [Google Scholar] [CrossRef]
- Lephatsi, M.; Nephali, L.; Meyer, V.; Piater, L.A.; Buthelezi, N.; Dubery, I.A.; Opperman, H.; Brand, M.; Huyser, J.; Tugizimana, F. Molecular mechanisms associated with microbial biostimulant-mediated growth enhancement, priming and drought stress tolerance in maize plants. Sci. Rep. 2022, 12, 10450. [Google Scholar] [CrossRef]
- Shahrajabian, M.H.; Petropoulos, S.A.; Sun, W. Survey of the influences of microbial biostimulants on horticultural crops: Case studies and successful paradigms. Horticulturae 2023, 9, 193. [Google Scholar] [CrossRef]
- Shukla, D.; Shukla, P.; Tandon, A.; Singh, P.C.; Johri, J.K. Role of microorganism as new generation plant bio-stimulants: An assessment. In New and Future Developments in Microbial Biotechnology and Bioengineering; Elsevier: Amsterdam, The Netherlands, 2022; pp. 1–16. [Google Scholar]
- Madhaiyan, M.; Alex, T.H.H.; Ngoh, S.T.; Prithiviraj, B.; Ji, L. Leaf-residing Methylobacterium species fix nitrogen and promote biomass and seed production in Jatropha curcas. Biotechnol. Biofuels 2015, 8, 222. [Google Scholar] [CrossRef]
- Zhang, L.; Zhang, M.; Huang, S.; Li, L.; Gao, Q.; Wang, Y.; Zhang, S.; Huang, S.; Yuan, L.; Wen, Y. A highly conserved core bacterial microbiota with nitrogen-fixation capacity inhabits the xylem sap in maize plants. Nat. Commun. 2022, 13, 3361. [Google Scholar] [CrossRef]
- Sawada, H.; Kuykendall, L.D.; Young, J.M. Changing concepts in the systematics of bacterial nitrogen-fixing legume symbionts. J. Gen. Appl. Microbiol. 2003, 49, 155–179. [Google Scholar] [CrossRef]
- Rosenblueth, M.; Ormeño-Orrillo, E.; López-López, A.; Rogel, M.A.; Reyes-Hernández, B.J.; Martínez-Romero, J.C.; Reddy, P.M.; Martínez-Romero, E. Nitrogen fixation in cereals. Front. Microbiol. 2018, 9, 1794. [Google Scholar] [CrossRef]
- Fukami, J.; Nogueira, M.A.; Araujo, R.S.; Hungria, M. Accessing inoculation methods of maize and wheat with Azospirillum brasilense. AMB Express 2016, 6, 3. [Google Scholar] [CrossRef] [PubMed]
- Karimi, N.; Zarea, M.J.; Mehnaz, S. Endophytic Azospirillum for enhancement of growth and yield of wheat. Environ. Sustain. 2018, 1, 149–158. [Google Scholar] [CrossRef]
- Bageshwar, U.K.; Srivastava, M.; Pardha-Saradhi, P.; Paul, S.; Gothandapani, S.; Jaat, R.S.; Shankar, P.; Yadav, R.; Biswas, D.R.; Kumar, P.A.; et al. An Environmentally Friendly Engineered Strain That Replaces a Substantial Amount of Urea Fertilizer while Sustaining the Same Wheat Yield. Appl. Environ. Microbiol. 2017, 83, e00590-17. [Google Scholar] [CrossRef] [PubMed]
- Nida, K.; Siddiqui, Z.S.; Siddiqui, M.H.; Salman, Z.A.; Umar, M. Azotobacter Modulate Nitrogen Assimilation, Sustain Light Harvesting Efficiency and Photosynthetic Performance of Maize Cultivar in a Saline Soil. J. Soil Sci. Plant Nutr. 2024, 24, 4624–4640. [Google Scholar] [CrossRef]
- Oyaizu-Masuchi, Y.; Komagata, K. Isolation of free-living nitrogen-fixing bacteria from the rhizosphere of rice. J. Gen. Appl. Microbiol. 1988, 34, 127–164. [Google Scholar] [CrossRef]
- Torres Vera, R.; Bernabé García, A.J.; Carmona Álvarez, F.J.; Martínez Ruiz, J.; Fernández Martín, F. Application and effectiveness of Methylobacterium symbioticum as a biological inoculant in maize and strawberry crops. Folia Microbiol. 2024, 69, 121–131. [Google Scholar] [CrossRef]
- Valente, F.; Panozzo, A.; Bozzolin, F.; Barion, G.; Bolla, P.K.; Bertin, V.; Potestio, S.; Visioli, G.; Wang, Y.; Vamerali, T. Growth, Photosynthesis and Yield Responses of Common Wheat to Foliar Application of Methylobacterium symbioticum under Decreasing Chemical Nitrogen Fertilization. Agriculture 2024, 14, 1670. [Google Scholar] [CrossRef]
- Knief, C.; Frances, L.; Vorholt, J.A. Competitiveness of diverse Methylobacterium strains in the phyllosphere of Arabidopsis thaliana and identification of representative models, including M. extorquens PA1. Microb. Ecol. 2010, 60, 440–452. [Google Scholar] [CrossRef]
- Kumar, M.; Tomar, R.S.; Lade, H.; Paul, D. Methylotrophic bacteria in sustainable agriculture. World J. Microbiol. Biotechnol. 2016, 32, 120. [Google Scholar] [CrossRef]
- Tani, A.; Sahin, N.; Matsuyama, Y.; Enomoto, T.; Nishimura, N.; Yokota, A.; Kimbara, K. High-throughput identification and screening of novel Methylobacterium species using whole-cell MALDI-TOF/MS analysis. PLoS ONE 2012, 7, e40784. [Google Scholar] [CrossRef]
- Omer, Z.S.; Tombolini, R.; Gerhardson, B. Plant colonization by pink-pigmented facultative methylotrophic bacteria (PPFMs). FEMS Microbiol. Ecol. 2004, 47, 319–326. [Google Scholar] [CrossRef] [PubMed]
- Bolla, P.K.; Panozzo, A.; Minozzi, E.; Valente, F.; Potestio, S.; Visioli, G.; Martinez-Sañudo, I.; Vamerali, T. Effects of foliar-sprayed bio-fertilizer with N-fixing Methylobacterium symbioticum on morpho-physiological traits of maize under varying N fertilization rates. Front. Plant Sci. 2025, 16, 1661290. [Google Scholar] [CrossRef] [PubMed]
- Tsoumanis, D.; Katsenios, N.; Monokrousos, N. Enhancing Peach Tree Fertilization: Investigating Methylobacterium symbioticum SB23 as Game-Changing Agent. Agronomy 2025, 15, 521. [Google Scholar] [CrossRef]
- Palberg, D.; Kisiała, A.; Jorge, G.L.; Emery, R.N. A survey of Methylobacterium species and strains reveals widespread production and varying profiles of cytokinin phytohormones. BMC Microbiol. 2022, 22, 49. [Google Scholar] [CrossRef]
- Jorge, G.L.; Kisiala, A.; Morrison, E.; Aoki, M.; Nogueira, A.P.O.; Emery, R.N. Endosymbiotic Methylobacterium oryzae mitigates the impact of limited water availability in lentil (Lens culinaris Medik.) by increasing plant cytokinin levels. Environ. Exp. Bot. 2019, 162, 525–540. [Google Scholar] [CrossRef]
- Gamit, H.A.; Naik, H.; Chandarana, K.A.; Chandwani, S.; Amaresan, N. Secondary metabolites from methylotrophic bacteria: Their role in improving plant growth under a stressed environment. Environ. Sci. Pollut. Res. 2023, 30, 28563–28574. [Google Scholar] [CrossRef]
- Ayyamuthu Rajarathinam Uma, P.; Rathinasamy, P.d.; Thanakkan, R.; Dhashnamurthi, V.; Murugaiyan, S. Pink powerhouses: Insights into the multifaceted role of Methylobacterium in climate-resilient farming. Folia Microbiol. 2025, 70, 1241–1266. [Google Scholar] [CrossRef]
- Pascual, J.A.; Ros, M.; Martínez, J.; Carmona, F.; Bernabé, A.; Torres, R.; Lucena, T.; Aznar, R.; Arahal, D.R.; Fernández, F. Methylobacterium symbioticum sp. nov., a new species isolated from spores of Glomus iranicum var. tenuihypharum. Curr. Microbiol. 2020, 77, 2031–2041. [Google Scholar] [CrossRef] [PubMed]
- Primo, N.J.A.Q.R. Efeito da Bactéria Methylobacterium symbioticum na Adubação Azotada em Laranjeiras. Master’s Thesis, Instituto Politecnico de Santarem, Santarém, Portugal, 2023. [Google Scholar]
- João, A.C. A Pegada de Azoto na Produção Agrícola de Tomate Indústria em Portugal. Master’s Thesis, Instituto Superior de Agronomia, Universidade de Lisboa, Tapada da Ajuda, Lisboa, 2023. [Google Scholar]
- Moreno, A.M. Utilización de Diferentes Dosis de Nitrógeno y Bacterias Fijadoras de Nitrógeno (Methylobacterium symbioticum) Atmosférico en Maíz (Zea mays) en san Miguel Chapultepec, Estado de México. Bachelor’s Thesis, Universidad Autonoma del Estado de México, Toluca, Mexico, 2024. [Google Scholar]
- Waldner, A.; Dallago, G.; Porro, D. Un approccio innovativo alla nutrizione del melo. L’informatore Agrar. 2024, 12, 43–46. [Google Scholar]
- Berg, S.; Dennis, P.G.; Paungfoo-Lonhienne, C.; Anderson, J.; Robinson, N.; Brackin, R.; Royle, A.; DiBella, L.; Schmidt, S. Effects of commercial microbial biostimulants on soil and root microbial communities and sugarcane yield. Biol. Fertil. Soils 2020, 56, 565–580. [Google Scholar] [CrossRef]
- Arora, N.K.; Khare, E.; Maheshwari, D.K. Plant growth promoting rhizobacteria: Constraints in bioformulation, commercialization, and future strategies. In Plant Growth and Health Promoting Bacteria; Springer: Berlin/Heidelberg, Germany, 2011; pp. 97–116. [Google Scholar]
- Bashan, Y.; de-Bashan, L.E.; Prabhu, S.; Hernandez, J.-P. Advances in plant growth-promoting bacterial inoculant technology: Formulations and practical perspectives (1998–2013). Plant Soil 2014, 378, 1–33. [Google Scholar] [CrossRef]
- Gouda, S.; Kerry, R.G.; Das, G.; Paramithiotis, S.; Shin, H.-S.; Patra, J.K. Revitalization of plant growth promoting rhizobacteria for sustainable development in agriculture. Microbiol. Res. 2018, 206, 131–140. [Google Scholar] [CrossRef]
- Trivedi, P.; Schenk, P.M.; Wallenstein, M.D.; Singh, B.K. Tiny microbes, big yields: Enhancing food crop production with biological solutions. Microb. Biotechnol. 2017, 10, 999–1003. [Google Scholar] [CrossRef]
- Sincero, F. Methylobacterium symbioticum in Risaia: Analisi Degli Effetti Qualitativi e Quantitativi Conseguenti Alla Sua Applicazione in Agricoltura. Master’s Thesis, Università di Pavia, Pavia, Italy, 2022. [Google Scholar]
- Amato, G.; Cardone, L.; Cicco, N.; Denora, M.; Perniola, M.; Casiello, D.; De Martino, L.; De Feo, V.; Candido, V. Morphological traits, yield, antioxidant activity and essential oil composition of oregano as affected by biostimulant foliar applications. Ind. Crops Prod. 2024, 222, 119702. [Google Scholar] [CrossRef]
- Arrobas, M.; Correia, C.M.; Rodrigues, M.Â. Methylobacterium symbioticum Applied as a Foliar Inoculant Was Little Effective in Enhancing Nitrogen Fixation and Lettuce Dry Matter Yield. Sustainability 2024, 16, 4512. [Google Scholar] [CrossRef]
- Arrobas, M.; Roque, J.; Martins, S.; Brito, C.; Correia, C.M.; Rodrigues, M.Â. Effect of Foliar Application of Nitrogen-Fixing Microorganisms and Algae Extracts on Nutritional Status and Yield of Hazelnut and Walnut Trees. Nitrogen 2025, 6, 2. [Google Scholar] [CrossRef]
- Bero, N.J.; Soldat, D.J. Effect of biological additives to a putting green with low plant-available phosphorus. Int. Turfgrass Soc. Res. J. 2024, 15, 212–222. [Google Scholar] [CrossRef]
- Pappalettere, L.; Bartolini, S.; Toffanin, A. Enhancement of Tomato Seed Germination and Growth Parameters through Seed Priming with Auxin-Producing Plant Growth Promoting Bacteria Strains. Seeds 2024, 3, 479–492. [Google Scholar] [CrossRef]
- Rodrigues, M.Â.; Raimundo, S.; Correia, C.M.; Arrobas, M. Nitrogen Fixation and Growth of Potted Olive Plants through Foliar Application of a Nitrogen-Fixing Microorganism. Horticulturae 2024, 10, 604. [Google Scholar] [CrossRef]
- Ángel, R.N.N. Efecto de Bacteria Fijadora de Nitrógeno (Methylobacterium simbioticum), en dos Variedades de Arroz, Cantón Daule Provincia del Guayas. Ph.D. Thesis, Universidad Agraria del Ecuador, Guayaquil, Ecuador, 2024. [Google Scholar]
- Corteva. Available online: https://www.corteva.com.au/products-and-solutions/crop-protection/Utrisha-N.html (accessed on 20 March 2025).
- De Sangosse. Available online: https://desangosse.com.au/produit/n-leaf/ (accessed on 2 January 2025).
- Zhu, Y.-G.; Peng, J.; Chen, C.; Xiong, C.; Li, S.; Ge, A.; Wang, E.; Liesack, W. Harnessing biological nitrogen fixation in plant leaves. Trends Plant Sci. 2023, 28, 1391–1405. [Google Scholar] [CrossRef]
- Abadi, V.; Sepehri, M.; Rahmani, H.; Dolatabad, H.; Shamshiripour, M.; Khatabi, B. Diversity and abundance of culturable nitrogen-fixing bacteria in the phyllosphere of maize. J. Appl. Microbiol. 2021, 131, 898–912. [Google Scholar] [CrossRef]
- Fürnkranz, M.; Wanek, W.; Richter, A.; Abell, G.; Rasche, F.; Sessitsch, A. Nitrogen fixation by phyllosphere bacteria associated with higher plants and their colonizing epiphytes of a tropical lowland rainforest of Costa Rica. ISME J. 2008, 2, 561–570. [Google Scholar] [CrossRef] [PubMed]
- Biddulph, B. Frost Identification Guide for Cereals; Grains Research and Development Corporation (GRDC): Canberra, Australia, 2020. [Google Scholar]
- Lane, D. 16S/23S rRNA sequencing. In Nucleic Acid Techniques in Bacterial Systematics; John Wiley and Sons: New York, NY, USA, 1991; p. 115. [Google Scholar]
- Zadoks, J.C.; Chang, T.T.; Konzak, C.F. A decimal code for the growth stages of cereals. Weed Res. 1974, 14, 415–421. [Google Scholar] [CrossRef]
- Wellburn, A.R. The spectral determination of chlorophylls a and b, as well as total carotenoids, using various solvents with spectrophotometers of different resolution. J. Plant Physiol. 1994, 144, 307–313. [Google Scholar] [CrossRef]
- Lichtenthaler, H.K. Chlorophylls and carotenoids: Pigments of photosynthetic biomembranes. In Methods in Enzymology; Elsevier: Amsterdam, The Netherlands, 1987; Volume 148, pp. 350–382. [Google Scholar]
- de Jesus Santos, A.F.; Da Cas Bundt, A. Foliar inoculation with Methylobacterium symbioticum SB23 enhances biological nitrogen fixation and maize yield under contrasting edaphoclimatic conditions. Braz. J. Agric. Sci./Rev. Bras. Ciênc. Agrár. 2025, 20, 1–9. [Google Scholar]
- Rodrigues, M.Â.; Correia, C.M.; Arrobas, M. The Application of a Foliar Spray Containing Methylobacterium symbioticum Had a Limited Effect on Crop Yield and Nitrogen Recovery in Field and Pot-Grown Maize. Plants 2024, 13, 2909. [Google Scholar] [CrossRef]
- Kabbara, S.; Bidon, B.; Kilani, J.; Osman, M.; Hamze, M.; Stock, A.M.; Papon, N. Cytokinin sensing in bacteria. Biomolecules 2020, 10, 186. [Google Scholar] [CrossRef]
- Juma, P.O.; Fujitani, Y.; Alessa, O.; Oyama, T.; Yurimoto, H.; Sakai, Y.; Tani, A. Siderophore for lanthanide and iron uptake for methylotrophy and plant growth promotion in Methylobacterium aquaticum strain 22A. Front. Microbiol. 2022, 13, 921635. [Google Scholar] [CrossRef]
- Yim, W.-J.; Chauhan, P.; Madhaiyan, M.; Tipayno, S.; Sa, T. Plant growth promontory attributes by 1-aminocyclopropane-1-carboxylate (ACC) deaminase producing Methylobacterium oryzae strains isolated from rice. In Proceedings of the 19th World Congress of Soil Science, Soil Solutions for a Changing World, Brisbane, Australia, 1–6 August 2010; International Union of Soil Sciences: Rome, Italy, 2010. [Google Scholar]
- Lee, H.S.; Madhaiyan, M.; Kim, C.W.; Choi, S.J.; Chung, K.Y.; Sa, T.M. Physiological enhancement of early growth of rice seedlings (Oryza sativa L.) by production of phytohormone of N2-fixing methylotrophic isolates. Biol. Fertil. Soils 2006, 42, 402–408. [Google Scholar] [CrossRef]
- Quille, P.; Kacprzyk, J.; O’Connell, S.; Ng, C.K.-Y. The role of an Ascophyllum nodosum extract in lowering the environmental impact and improving nitrogen use efficiency in pasture systems under a reduced nitrogen regime. J. Appl. Phycol. 2024, 36, 1533–1544. [Google Scholar] [CrossRef]
- Di Mola, I.; Cozzolino, E.; Ottaiano, L.; Nocerino, S.; Rouphael, Y.; Colla, G.; El-Nakhel, C.; Mori, M. Nitrogen use and uptake efficiency and crop performance of baby spinach (Spinacia oleracea L.) and Lamb’s Lettuce (Valerianella locusta L.) grown under variable sub-optimal N regimes combined with plant-based biostimulant application. Agronomy 2020, 10, 278. [Google Scholar] [CrossRef]
- Li, C.; Shi, Y.; Yu, Z.; Zhang, Y.; Zhang, Z. Optimizing nitrogen application strategies can improve grain yield by increasing dry matter translocation, promoting grain filling, and improving harvest indices. Front. Plant Sci. 2025, 16, 1565446. [Google Scholar] [CrossRef]
- Gawdiya, S.; Kumar, D.; Shivay, Y.S.; Kour, B.; Kumar, R.; Meena, S.; Saini, R.; Choudhary, K.; Al-Ansari, N.; Alataway, A. Field screening of wheat cultivars for enhanced growth, yield, yield attributes, and nitrogen use efficiencies. Agronomy 2023, 13, 2011. [Google Scholar] [CrossRef]
- van Grinsven, H.J.; Ebanyat, P.; Glendining, M.; Gu, B.; Hijbeek, R.; Lam, S.K.; Lassaletta, L.; Mueller, N.D.; Pacheco, F.S.; Quemada, M. Establishing long-term nitrogen response of global cereals to assess sustainable fertilizer rates. Nat. Food 2022, 3, 122–132. [Google Scholar] [CrossRef] [PubMed]
- Kumanan, V.; Kukal, M.S.; Cibin, R.; Irmak, S.; Van Meter, K.; Dhillon, J.; Dharni, J.S. Systems-Level Response of Crop Nitrogen Removal to Nitrogen Inputs in US Agriculture. J. ASABE 2025, 68, 451–463. [Google Scholar] [CrossRef]
- O’Callaghan, M.; Ballard, R.A.; Wright, D. Soil microbial inoculants for sustainable agriculture: Limitations and opportunities. Soil Use Manag. 2022, 38, 1340–1369. [Google Scholar] [CrossRef]
- Velez, P.C. Effect of Microbial Inoculation on Nitrogen Plant Uptake and Nitrogen Losses from Soil and Plant-Soil Systems. Ph.D. Thesis, Auburn University, Auburn, Alabama, 2013. [Google Scholar]
- Ali, A.; Jabeen, N.; Farruhbek, R.; Chachar, Z.; Laghari, A.A.; Chachar, S.; Ahmed, N.; Ahmed, S.; Yang, Z. Enhancing nitrogen use efficiency in agriculture by integrating agronomic practices and genetic advances. Front. Plant Sci. 2025, 16, 1543714. [Google Scholar] [CrossRef] [PubMed]












| Treatments | Plant Height (cm) | Spike Length (cm) | Leaf Sheath wt. (kg ha−1) | Leaf Blade wt. (kg ha−1) | Stem wt. (kg ha−1) | 1000-Seed wt. (g) |
|---|---|---|---|---|---|---|
| Factor 1 (N Rates) | ||||||
| 100%N | 75.1 ns | 9.4 ns | 895.0 ns | 798.7 ns | 2027.3 ns | 46.3 ns |
| 75%N | 75.3 ns | 9.3 ns | 877.8 ns | 743.2 ns | 2026.4 ns | 45.7 ns |
| Factor 2 (Microbial biostimulant) | ||||||
| MB− | 72.8 b | 9.0 b | 900.1 ns | 760.8 ns | 2027 ns | 44.6 b |
| MB+ | 77.6 a | 9.7 a | 827.6 ns | 781.1 ns | 2074.2 ns | 47.5 a |
| LSD (5%) | 4.3 | 0.6 | 111.2 | 67.3 | 284.9 | 2.7 |
| Interaction (Factor 1 × 2) | ||||||
| 100%N-MB | 73.3 ab | 9.0 ns | 919.9 ns | 813.2 a | 1982.6 ns | 45.1 ns |
| 100%N+MB | 76.8 ab | 9.7 ns | 875.2 ns | 784.1 ab | 2070.2 ns | 47.4 ns |
| 75%-MB | 72.3 b | 8.9 ns | 880.4 ns | 708.36 b | 2071.9 ns | 44.0 ns |
| 75%+MB | 78.3 a | 9.7 ns | 870.0 ns | 778.08 ab | 2078.2 ns | 47.5 ns |
| LSD (5%) | 6.0 | 0.8 | 157.3 | 95.2 | 402.9 | 3.8 |
| Treatment Combinations | Ammonium N (kg ha−1) | Nitrate N (kg ha−1) | Phosphorus (kg ha−1) | Potassium (kg ha−1) | Sulfur (kg ha−1) | Organic Carbon (%) |
|---|---|---|---|---|---|---|
| 100%N-MB | 12.8 ns | 60.9 ns | 92.0 ns | 742.2 ns | 18.3 ns | 1.13 ns |
| 100%N+MB | 12.1 ns | 59.3 ns | 123.3 ns | 817.5 ns | 19.4 ns | 1.15 ns |
| 75%N-MB | 11.3 ns | 56.2 ns | 104.9 ns | 715.7 ns | 13.9 ns | 1.01 ns |
| 75%N+MB | 10.9 ns | 56.9 ns | 85.8 ns | 799.1 ns | 16.5 ns | 0.91 ns |
| Treatment Comparison | Grain Yield Difference (t ha−1) | Yield Change (%) | Gross Value of Additional Grain (A$ ha−1) | Fertilizer N Saving (kg Urea ha−1) | Value of Fertilizer Saving (A$ ha−1) | Biostimulant Cost (A$ ha−1) | Net Economic Benefit (A$ ha−1) |
|---|---|---|---|---|---|---|---|
| 75%N+MB vs. 75%N-MB | +0.56 | +14.4 | 196 | 0 | 0 | 27 | 169 |
| 75%N-MB vs. 100%N-MB | +0.24 | +6.1 | 84 | 62 | 43 | 27 | 127 |
Disclaimer/Publisher’s Note: The statements, opinions and data contained in all publications are solely those of the individual author(s) and contributor(s) and not of MDPI and/or the editor(s). MDPI and/or the editor(s) disclaim responsibility for any injury to people or property resulting from any ideas, methods, instructions or products referred to in the content. |
© 2026 by the authors. Licensee MDPI, Basel, Switzerland. This article is an open access article distributed under the terms and conditions of the Creative Commons Attribution (CC BY) license.
Share and Cite
Fakir, O.A.; Haque, K.M.S.; Wilson, A.; Barrow, R.A.; Ashnest, J.R.; Schmidtke, L.M.; Weston, L.A. Australian Dryland Wheat Growth and Yield Are Positively Impacted by a Methylobacterium symbioticum Biostimulant Under Reduced Nitrogen Supply. Agronomy 2026, 16, 808. https://doi.org/10.3390/agronomy16080808
Fakir OA, Haque KMS, Wilson A, Barrow RA, Ashnest JR, Schmidtke LM, Weston LA. Australian Dryland Wheat Growth and Yield Are Positively Impacted by a Methylobacterium symbioticum Biostimulant Under Reduced Nitrogen Supply. Agronomy. 2026; 16(8):808. https://doi.org/10.3390/agronomy16080808
Chicago/Turabian StyleFakir, Oli A., K. M. Shamsul Haque, Andrew Wilson, Russell A. Barrow, Joanne R. Ashnest, Leigh M. Schmidtke, and Leslie A. Weston. 2026. "Australian Dryland Wheat Growth and Yield Are Positively Impacted by a Methylobacterium symbioticum Biostimulant Under Reduced Nitrogen Supply" Agronomy 16, no. 8: 808. https://doi.org/10.3390/agronomy16080808
APA StyleFakir, O. A., Haque, K. M. S., Wilson, A., Barrow, R. A., Ashnest, J. R., Schmidtke, L. M., & Weston, L. A. (2026). Australian Dryland Wheat Growth and Yield Are Positively Impacted by a Methylobacterium symbioticum Biostimulant Under Reduced Nitrogen Supply. Agronomy, 16(8), 808. https://doi.org/10.3390/agronomy16080808

