Mechanistic Responses of Summer Maize Growth and Farmland N2O Emissions to Real-Time Water–Fertilizer Synergistic Regulation in the North China Plain
Abstract
1. Introduction
2. Materials and Methods
2.1. Overview of the Test Site
2.2. Experimental Design
2.3. Indicators and Methods
2.3.1. Monitoring of Soil Moisture and Nitrogen Content
2.3.2. Plant Height
2.3.3. Stem Diameter
2.3.4. Leaf Area Index
2.3.5. Total N2O Emissions from Farmland
2.3.6. Summer Maize Yield
2.3.7. Water Use Efficiency (WUE)
2.3.8. Nitrogen Fertilizer Production Function (NPFP)
2.4. Data Processing
3. Results
3.1. Effects of Different Real-Time Water-Fertilizer Synergistic Regulation Strategies on Summer Maize Plant Height
3.2. Analysis of the Impact of Different Real-Time Water-Fertilizer Synergistic Regulation on Summer Maize Stem Diameter
3.3. Analysis of the Impact of Different Real-Time Water-Fertilizer Synergistic Regulation on the Leaf Area Index of Summer Maize
3.4. The Impact of Different Real-Time Water and Fertilizer Coordinated Regulation Methods on N2O Emissions from Summer Corn
3.4.1. Analysis of Variability in Total N2O Emissions
3.4.2. Analysis of Dynamic Changes in N2O Emission Fluxes
3.5. Analysis of the Impact of Different Real-Time Water-Fertilizer Synergistic Regulation on Summer Maize Yield
3.6. Analysis of Crop Growth Indicators and the Relationship Between Farmland N2O Emissions and Yield Response
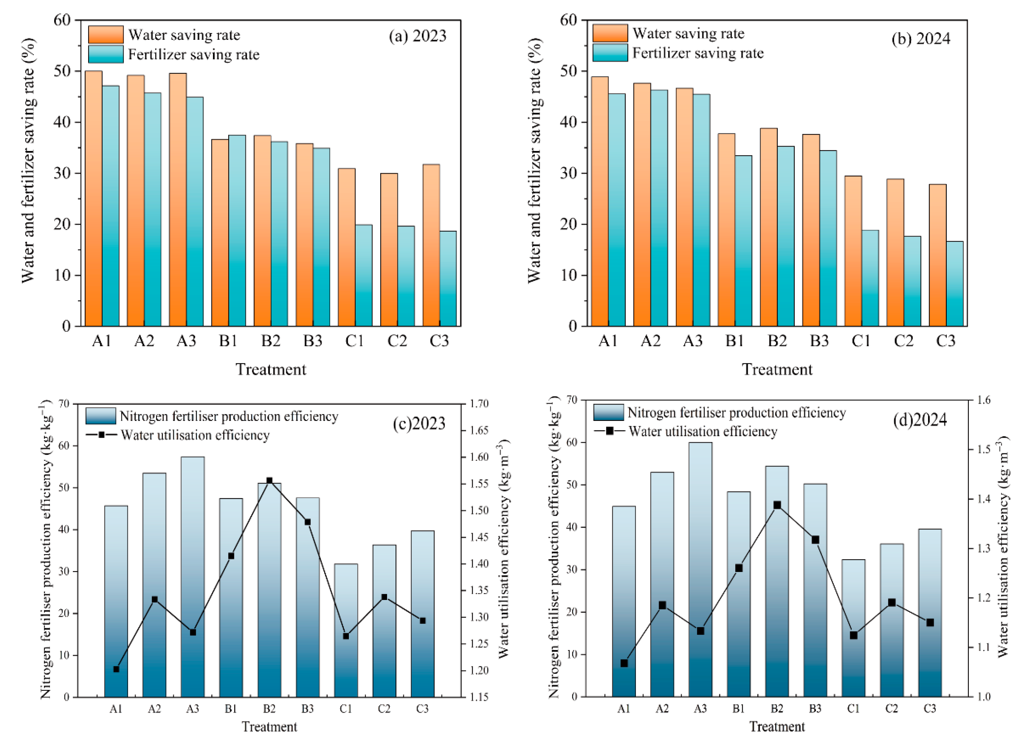
3.7. Analysis of the Impact of Different Real-Time Water-Fertilizer Synergistic Regulation on Water- and Fertilizer-Saving Rates in Summer Maize
3.8. Analysis of Crop Yield Increase and Water- and Fertilizer-Saving Paths
4. Discussion
4.1. The Impact of Real-Time Water−Fertilizer Coordinated Regulation on Crop Growth Characteristics
4.2. Response Analysis of Total N2O Emissions from Summer Maize Fields Under Real-Time Water-Fertilizer Coordinated Regulation
4.3. Analysis of Summer Maize Yield and Changes in Water- and Fertilizer-Saving Rates Under Real-Time Coordinated Regulation of Water and Fertilizer
4.4. The Practical Significance and Research Limitations in Agricultural Production
5. Conclusions
Supplementary Materials
Author Contributions
Funding
Data Availability Statement
Conflicts of Interest
References
- Piao, T.; Shi, H. Consequences of Land Degradation Under Climate Stress in Northern China: Linking Agriculture, Water, and Rural Development. Land Degrad. Dev. 2025, 1085–3278. [Google Scholar] [CrossRef]
- Li, X.; Li, L.; Chen, S.; Shang, Y.; Wu, Y.; Li, D.; Wang, X. Assessment and Driving Factor Analysis of Total Nitrogen Loads: A Case Study of Counties from 2000 to 2020 in Henan Province, China. Stoch. Environ. Res. Risk Assess. 2024, 38, 3377–3392. [Google Scholar] [CrossRef]
- Cui, X.; Bo, Y.; Adalibieke, W.; Winiwarter, W.; Zhang, X.; Davidson, E.A.; Sun, Z.; Tian, H.; Smith, P.; Zhou, F. The Global Potential for Mitigating Nitrous Oxide Emissions from Croplands. One Earth 2024, 7, 401–420. [Google Scholar] [CrossRef]
- Xu, W.; Yu, Y.; Zhu, S.; Liu, Y.; Sun, A. The Role of Precise Management in Mitigating Non-Point Source Nitrogen Pollution of a Reservoir Region: Environmental Profits and Economic Benefits. J. Clean. Prod. 2023, 418, 138190. [Google Scholar] [CrossRef]
- Liu, X.; Dai, H.; Wada, Y.; Kahil, T.; Ni, J.; Chen, B.; Chen, Y.; Guo, C.; Pan, C.; Liu, X.; et al. Achieving Carbon Neutrality Enables China to Attain Its Industrial Water-Use Target. One Earth 2022, 5, 188–200. [Google Scholar] [CrossRef]
- Nsoh, B.; Katimbo, A.; Guo, H.; Heeren, D.M.; Nakabuye, H.N.; Qiao, X.; Ge, Y.; Rudnick, D.R.; Wanyama, J.; Bwambale, E.; et al. Internet of Things-Based Automated Solutions Utilizing Machine Learning for Smart and Real-Time Irrigation Management: A Review. Sensors 2024, 24, 7480. [Google Scholar] [CrossRef] [PubMed]
- Gupta, N.; Singh, Y.; Jat, H.S.; Singh, L.K.; Choudhary, K.M.; Sidhu, H.S.; Gathala, M.K.; Jat, M.L. Precise Irrigation Water and Nitrogen Management Improve Water and Nitrogen Use Efficiencies under Conservation Agriculture in the Maize-Wheat Systems. Sci. Rep. 2023, 13, 12060. [Google Scholar] [CrossRef] [PubMed]
- Ding, Y.; Wang, M.; Jin, J.; Sun, Z.; Zhang, J.; Zhu, L. Risk of Real-Time Irrigation Decision-Making System for Farmland in Arid Irrigation Districts: Methodology and Case Study. Agric. Water Manag. 2025, 320, 109851. [Google Scholar] [CrossRef]
- Jamal, A.; Cai, X.; Qiao, X.; Garcia, L.; Wang, J.; Amori, A.; Yang, H. Real-Time Irrigation Scheduling Based on Weather Forecasts, Field Observations, and Human-Machine Interactions. Water Resour. Res. 2023, 59, e2023WR035810. [Google Scholar] [CrossRef]
- Liao, R.; Zhang, S.; Zhang, X.; Wang, M.; Wu, H.; Zhangzhong, L. Development of Smart Irrigation Systems Based on Real-Time Soil Moisture Data in a Greenhouse: Proof of Concept. Agric. Water Manag. 2021, 245, 106632. [Google Scholar] [CrossRef]
- Xing, Y.; Wang, X. Precise Application of Water and Fertilizer to Crops: Challenges and Opportunities. Front. Plant Sci. 2024, 15, 1444560. [Google Scholar] [CrossRef] [PubMed]
- Mao, J.; Ahmad, H.; Tung, S.A.; Abbas, H.; Li, Z.; Tan, X.; Zhou, X. Optimizing Controlled-Release Nitrogen Fertilizer Through Long-Term Straw Return to Enhance Photosynthesis, Nutrient Use, and Yield in Spring Maize. Land Degrad. Dev. 2026. [Google Scholar] [CrossRef]
- Kumar, K.; Parihar, C.M.; Nayak, H.S.; Sena, D.R.; Godara, S.; Dhakar, R.; Patra, K.; Sarkar, A.; Bharadwaj, S.; Ghasal, P.C.; et al. Modeling Maize Growth and Nitrogen Dynamics Using CERES-Maize (DSSAT) under Diverse Nitrogen Management Options in a Conservation Agriculture-Based Maize-Wheat System. Sci. Rep. 2024, 14, 11743. [Google Scholar] [CrossRef] [PubMed]
- He, Y.; Zhang, F.; Yang, M.; Luo, J.; Su, Z. Erosion Reduces Soil Nitrogen and Regulates Its Physical Fraction Proportions in Long-Term Cultivated Sloping Farmlands of Northeast China’s Black Soil Region. Land Degrad. Dev. 2025. [Google Scholar] [CrossRef]
- Andrews, H.M.; Homyak, P.M.; Oikawa, P.Y.; Wang, J.; Jenerette, G.D. Water-Conscious Management Strategies Reduce per-Yield Irrigation and Soil Emissions of CO2, N2O, and NO in High-Temperature Forage Cropping Systems. Agric. Ecosyst. Environ. 2022, 332, 107944. [Google Scholar] [CrossRef]
- Carbonell-Bojollo, R.M.; Veroz-González, Ó.; González-Sánchez, E.J.; Ordóñez-Fernández, R.; Moreno-García, M.; Repullo-Ruibérriz de Torres, M.A. Soil Management, Irrigation and Fertilisation Strategies for N2O Emissions Mitigation in Mediterranean Agricultural Systems. Agronomy 2022, 12, 1349. [Google Scholar] [CrossRef]
- Wang, P.; Wu, D.; Yang, J.; Ma, Y.; Feng, R.; Huo, Z. Summer Maize Growth under Different Precipitation Years in the Huang-Huai-Hai Plain of China. Agric. For. Meteorol. 2020, 285–286, 107927. [Google Scholar] [CrossRef]
- Ling, M.; Han, H.; Hu, X.; Xia, Q.; Guo, X. Drought Characteristics and Causes during Summer Maize Growth Period on Huang-Huai-Hai Plain Based on Daily Scale SPEI. Agric. Water Manag. 2023, 280, 108198. [Google Scholar] [CrossRef]
- Hu, T.; Li, K.; Xiong, K.; Wang, J.; Yang, S.; Wang, Z.; Gao, A.; Yu, X. Research Progress on Water–Fertilizer Coupling and Crop Quality Improvement and Its Implication for the Karst Rock Desertification Control. Agronomy 2022, 12, 903. [Google Scholar] [CrossRef]
- Yang, Z.; Kong, T.; Xie, J.; Yang, T.; Jiang, Y.; Feng, Z.; Zhang, Z. Appropriate Water and Fertilizer Supply Can Increase Yield by Promoting Growth While Ensuring the Soil Ecological Environment in Melon Production. Agric. Water Manag. 2023, 289, 108561. [Google Scholar] [CrossRef]
- Zhou, M.; Li, Y.; Zhang, K.; Wang, J.; Li, J.; Gao, K.; Wang, B. Mycorrhizal Associations and Root Morphology Shape Mechanical Performance in Woody Plants from Cold Regions. Sci. Rep. 2025, 15, 17926. [Google Scholar] [CrossRef]
- Ojeda-Rivera, J.O.; Barnes, A.C.; Ainsworth, E.A.; Angelovici, R.; Basso, B.; Brindisi, L.J.; Brooks, M.D.; Busch, W.; Buttelmann, G.L.; Castellano, M.J.; et al. Designing a Nitrogen-Efficient Cold-Tolerant Maize for Modern Agricultural Systems. Plant Cell 2025, 37, koaf139. [Google Scholar] [CrossRef] [PubMed]
- He, L.; Li, H.; He, J.; Han, D.; Li, R.; Wang, H. Irrigation at Appearance of Top 2nd or Flag Leaf Could Improve Canopy Photosynthesis by Regulating Light Distribution and LAI at Each Leaf Layer. Field Crops Res. 2023, 295, 108883. [Google Scholar] [CrossRef]
- Qiao, L.; Gao, D.; Zhao, R.; Tang, W.; An, L.; Li, M.; Sun, H. Improving Estimation of LAI Dynamic by Fusion of Morphological and Vegetation Indices Based on UAV Imagery. Comput. Electron. Agric. 2022, 192, 106603. [Google Scholar] [CrossRef]
- Ahmed, Z.; Gui, D.; Murtaza, G.; Yunfei, L.; Ali, S. An Overview of Smart Irrigation Management for Improving Water Productivity under Climate Change in Drylands. Agronomy 2023, 13, 2113. [Google Scholar] [CrossRef]
- Kuang, W.; Gao, X.; Gui, D.; Tenuta, M.; Flaten, D.N.; Yin, M.; Zeng, F. Effects of Fertilizer and Irrigation Management on Nitrous Oxide Emission from Cotton Fields in an Extremely Arid Region of Northwestern China. Field Crops Res. 2018, 229, 17–26. [Google Scholar] [CrossRef]
- Mehmood, F.; Wang, G.; Gao, Y.; Liang, Y.; Chen, J.; Si, Z.; Ramatshaba, T.S.; Zain, M.; Rahman, S.U.; Duan, A. Nitrous Oxide Emission from Winter Wheat Field as Responded to Irrigation Scheduling and Irrigation Methods in the North China Plain. Agric. Water Manag. 2019, 222, 367–374. [Google Scholar] [CrossRef]
- Tian, D.; Zhang, Y.; Mu, Y.; Zhou, Y.; Zhang, C.; Liu, J. The Effect of Drip Irrigation and Drip Fertigation on N2O and NO Emissions, Water Saving and Grain Yields in a Maize Field in the North China Plain. Sci. Total Environ. 2017, 575, 1034–1040. [Google Scholar] [CrossRef]
- Tian, D.; Zhang, Y.; Zhou, Y.; Mu, Y.; Liu, J.; Zhang, C.; Liu, P. Effect of Nitrification Inhibitors on Mitigating N2O and NO Emissions from an Agricultural Field under Drip Fertigation in the North China Plain. Sci. Total Environ. 2017, 598, 87–96. [Google Scholar] [CrossRef]
- Ji, M.; Tian, H.; Wu, X.; Li, J.; Zhu, Y.; Wu, G.; Xu, T.; Wang, J.; Zhang, X. Enhanced N2O Emission Rate in Field Soil Undergoing Conventional Intensive Fertilization Is Attributed to the Shifts of Denitrifying Guilds. Pedosphere 2021, 31, 145–156. [Google Scholar] [CrossRef]
- Zhu, Y.; Li, Z.; Zhao, D.; Zhang, B.; Zhu, B.; Yao, Z.; Kiese, R.; Butterbach-Bahl, K.; Zhou, M. Effects of Conservation Agriculture on Soil N2O Emissions and Crop Yield in Global Cereal Cropping Systems. Glob. Change Biol. 2025, 31, e70048. [Google Scholar] [CrossRef] [PubMed]
- Gopal, R.; Singh, N.K.; Ashoka, P.; Yadav, V.; Mohanty, L.K.; Panotra, N.; Shashidhar, K.S.; Kumar, J.; Anand, P.; Pathania, D. Precision Irrigation Techniques for Optimizing Water Use Efficiency in Agriculture. Arch. Curr. Res. Int. 2025, 25, 347–362. [Google Scholar] [CrossRef]
- Wu, J.; Wang, L.; Long, H.; Li, X.; Guo, W.; Omrani, H. Anticipatory Management for Sustainable Cultivated Land Transitions: Aligning Multifunctional Trajectories with Adaptive Zoning Guidance. J. Geogr. Sci. 2026, 36, 16–44. [Google Scholar] [CrossRef]
- Xue, J.; Gou, L.; Shi, Z.; Zhao, Y.; Zhang, W. Effect of Leaf Removal on Photosynthetically Active Radiation Distribution in Maize Canopy and Stalk Strength. J. Integr. Agric. 2017, 16, 85–96. [Google Scholar] [CrossRef]
- Duan, M.; Zhang, X.; Wei, Z.; Chen, X.; Zhang, B. Effect of Maize Canopy Structure on Light Interception and Radiation Use Efficiency at Different Canopy Layers. Agronomy 2024, 14, 1511. [Google Scholar] [CrossRef]
- Zhao, B.; Wang, S.; Wang, A.; Liu, T.; Li, K.; Zhang, M.; Yu, Y.; Cao, J. Water and Nitrogen Transport in Wheat and Maize: Impacts of Irrigation, Fertilization, and Soil Management. Agriculture 2025, 15, 2442. [Google Scholar] [CrossRef]










| Number | Upper and Lower Limits of Water Filling | Upper and Lower Limits of Fertilization (mg·kg−1) | Treatment |
|---|---|---|---|
| 1 | 60%θf–70%θf (A) | 550–750 | A1 |
| 2 | 750–950 | A2 | |
| 3 | 950–1150 | A3 | |
| 4 | 60%θf–80%θf (B) | 550–750 | B1 |
| 5 | 750–950 | B2 | |
| 6 | 950–1150 | B3 | |
| 7 | 70%θf–90%θf (C) | 550–750 | C1 |
| 8 | 750–950 | C2 | |
| 9 | 950–1150 | C3 | |
| 10 | 1800 m3/hm2 (D) | 1060 kg/hm2 | D1 |
| 11 | 1260 kg/hm2 | D2 | |
| 12 | 1460 kg/hm2 | D3 |
| Treatment | Plant Height Growth Rate in 2023 (cm·d−1) | Plant Height Growth Rate in 2024 (cm·d−1) |
|---|---|---|
| A1 | 1.672 | 1.693 |
| A2 | 2.012 | 1.900 |
| A3 | 1.893 | 1.791 |
| B1 | 2.121 | 2.062 |
| B2 | 2.300 | 2.251 |
| B3 | 2.100 | 1.996 |
| C1 | 2.000 | 1.893 |
| C2 | 2.861 | 2.012 |
| C3 | 2.060 | 1.973 |
| D1 | 1.672 | 1.592 |
| D2 | 1.891 | 1.800 |
| D3 | 1.861 | 1.811 |
| Treatment | 2023 Stem Diameter (cm) | 2024 Stem Diameter (cm) |
|---|---|---|
| A1 | 3.15 c | 2.77 c |
| A2 | 2.94 c | 2.89 c |
| A3 | 3.02 c | 2.93 c |
| B1 | 3.11 c | 2.90 c |
| B2 | 3.76 a | 3.65 a |
| B3 | 3.53 ab | 3.44 b |
| C1 | 3.44 b | 3.37 b |
| C2 | 3.57 ab | 3.47 b |
| C3 | 3.43 c | 3.34 b |
| D1 | 2.79 d | 2.70 cd |
| D2 | 2.95 c | 2.75 cd |
| D3 | 2.98 c | 2.82 c |
| Treatment | Leaf Area Index in 2023 | Leaf Area Index in 2024 |
|---|---|---|
| A1 | 2.92 c | 2.79 c |
| A2 | 2.70 d | 2.57 d |
| A3 | 2.47 e | 2.43 e |
| B1 | 3.19 b | 3.13 b |
| B2 | 3.79 a | 3.68 a |
| B3 | 2.87 c | 2.83 c |
| C1 | 2.87 c | 3.02 c |
| C2 | 2.70 d | 2.61 d |
| C3 | 2.54 e | 2.50 e |
| D1 | 2.63 de | 2.54 e |
| D2 | 2.57 e | 2.26 f |
| D3 | 2.43 e | 2.04 f |
| Treatment | Production Composition for the Year 2023 | Production Composition for the Year 2024 | ||||
|---|---|---|---|---|---|---|
| Number of Ears (Thousand Ears·hm−2) | Number of Grains per Spike (Grains·Spike−1) | Hundred Grains (g) | Number of Ears (Ten Thousand Ears·hm−2) | Number of Grains per Ear (Grains·Ear−1) | 100-Grain Weight (g) | |
| A1 | 6.32 | 462.4 | 31.8 | 6.25 | 455.2 | 31.6 |
| A2 | 6.48 | 483.5 | 32.9 | 6.4 | 477.5 | 32.6 |
| A3 | 6.4 | 474.2 | 32.4 | 6.32 | 468.2 | 32.2 |
| B1 | 6.6 | 495.6 | 33.6 | 6.52 | 488.5 | 33.4 |
| B2 | 6.78 | 512.4 | 34.8 | 6.7 | 505.5 | 34.2 |
| B3 | 6.68 | 503.2 | 34.2 | 6.62 | 495.2 | 33.9 |
| C1 | 6.42 | 472.5 | 32.4 | 6.35 | 465.4 | 32.1 |
| C2 | 6.52 | 485.6 | 32.8 | 6.45 | 478.2 | 32.6 |
| C3 | 6.46 | 476.5 | 32.5 | 6.4 | 469.5 | 32.3 |
| D1 | 5.92 | 412.5 | 30.2 | 5.85 | 405.2 | 29.8 |
| D2 | 6.22 | 442.8 | 31.2 | 6.15 | 435.5 | 30.9 |
| D3 | 5.98 | 416.5 | 30.4 | 5.92 | 408.5 | 29.9 |
| Trails | Indirect Impact Factor |
|---|---|
| Fertilization level → LAI | 0.596 |
| Fertilization level→ N2O | 0.332 |
| Fertilization level →> Plant height | 0.269 |
| Fertilization level → Stem diameter | 0.311 |
| Irrigation level → LAI | −0.199 |
| Irrigation level → N2O | −0.324 |
| Irrigation level → Plant height | 0.284 |
| Irrigation level → Stem diameter | 0.237 |
| LAI → Yield | −0.057 |
| LAI → Water- and Fertilizer-Saving Rate | −0.032 |
| N2O → Yield | −0.108 |
| N2O → Water- and Fertilizer-Saving Rate | −0.274 |
| Plant height → Yield | 0.571 |
| Plant height → Water- and Fertilizer-Saving Rate | 0.015 |
| Stem diameter → Yield | 0.259 |
| Stem diameter → Water- and Fertilizer-Saving Rate | −0.053 |
Disclaimer/Publisher’s Note: The statements, opinions and data contained in all publications are solely those of the individual author(s) and contributor(s) and not of MDPI and/or the editor(s). MDPI and/or the editor(s) disclaim responsibility for any injury to people or property resulting from any ideas, methods, instructions or products referred to in the content. |
© 2026 by the authors. Licensee MDPI, Basel, Switzerland. This article is an open access article distributed under the terms and conditions of the Creative Commons Attribution (CC BY) license.
Share and Cite
Ma, J.; Ding, Y.; Cui, B.; Hao, X.; Bai, Y.; Zhang, J.; Lu, Z.; Ding, B. Mechanistic Responses of Summer Maize Growth and Farmland N2O Emissions to Real-Time Water–Fertilizer Synergistic Regulation in the North China Plain. Agronomy 2026, 16, 746. https://doi.org/10.3390/agronomy16070746
Ma J, Ding Y, Cui B, Hao X, Bai Y, Zhang J, Lu Z, Ding B. Mechanistic Responses of Summer Maize Growth and Farmland N2O Emissions to Real-Time Water–Fertilizer Synergistic Regulation in the North China Plain. Agronomy. 2026; 16(7):746. https://doi.org/10.3390/agronomy16070746
Chicago/Turabian StyleMa, Jianqin, Yu Ding, Bifeng Cui, Xiuping Hao, Yungang Bai, Jianghui Zhang, Zhenlin Lu, and Bangxin Ding. 2026. "Mechanistic Responses of Summer Maize Growth and Farmland N2O Emissions to Real-Time Water–Fertilizer Synergistic Regulation in the North China Plain" Agronomy 16, no. 7: 746. https://doi.org/10.3390/agronomy16070746
APA StyleMa, J., Ding, Y., Cui, B., Hao, X., Bai, Y., Zhang, J., Lu, Z., & Ding, B. (2026). Mechanistic Responses of Summer Maize Growth and Farmland N2O Emissions to Real-Time Water–Fertilizer Synergistic Regulation in the North China Plain. Agronomy, 16(7), 746. https://doi.org/10.3390/agronomy16070746
