Agrobiological Evaluation of Microbiologically Processed Cattle Manure on Soil Properties and Spring Wheat Productivity in Northern Kazakhstan
Abstract
1. Introduction
2. Materials and Methods
2.1. Research Conditions
2.2. Study Object and Agronomic Conditions
2.3. Preparation and Application of Microbiologically Processed Cattle Manure
2.4. Agrochemical Analyses
2.5. Microbiological Studies
2.6. Structural Analysis of the Wheat Crop
2.7. Statistical Data Processing
3. Results
3.1. Meteorological Conditions During the Study Years
3.2. Agrochemical and Microbiological Characteristics of Microbiologically Processed Cattle Manure
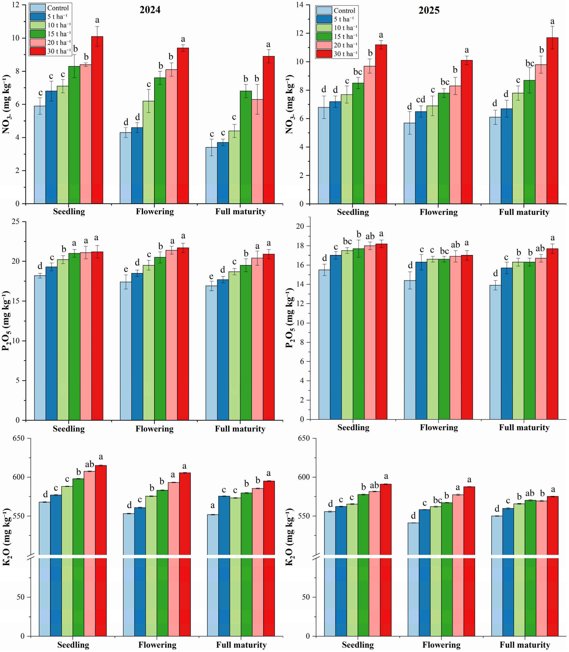
3.3. Dynamics of Mineral Nutrient Elements in Soil
3.4. Soil Microbiological Status
3.4.1. Starch–Ammonium Agar (SAA)
3.4.2. Meat-Peptone Agar (MPA)
3.4.3. Gause Medium
3.4.4. Hutchinson Medium
3.4.5. Ashby Medium
3.4.6. Czapek–Dox Medium
3.5. Yield Structure Formation
3.6. Effect of Microbiologically Processed Cattle Manure on Spring Wheat Yield
3.7. Relationship Between Manure Application Rate and Productivity
4. Discussion
4.1. Role of Climatic Factors in the Realization of Organic Fertilizer Effects
4.2. Influence of Manure Application on the Soil Agrochemical Regime
4.3. Soil Microbial Activity and Biogeochemical Processes
4.4. Formation of Yield Structure and Crop Productivity
4.5. Relationships Between Soil Nutrients, Microbial Activity, and Yield Formation
4.6. Practical Implications and Agroecological Aspects
5. Conclusions
Author Contributions
Funding
Data Availability Statement
Acknowledgments
Conflicts of Interest
References
- Beddington, J. Food Security: Contributions from Science to a New and Greener Revolution. Philos. Trans. Biol. Sci. 2010, 365, 61–71. [Google Scholar] [CrossRef]
- FAO. FAOSTAT Statistical Database; FAO: Rome, Italy, 2021. [Google Scholar]
- Tilman, D.; Balzer, C.; Hill, J.; Befort, B.L. Global food demand and the sustainable intensification of agriculture. Proc. Natl. Acad. Sci. USA 2011, 108, 20260–20264. [Google Scholar] [CrossRef]
- Karatayev, M.; Clarke, M.; Salnikov, V.; Bekseitova, R.; Nizamova, M. Monitoring climate change, drought conditions and wheat production in Eurasia: The case study of Kazakhstan. Heliyon 2022, 8, e08660. [Google Scholar] [CrossRef] [PubMed]
- Ryssaliyeva, L.; Salnikov, V.; Lin, Z.; Raimbekova, Z. Seasonal Sensitivity of Drought Indices in Northern Kazakhstan: A Comparative Evaluation and Selection of Optimal Indicators. Sustainability 2025, 17, 9413. [Google Scholar] [CrossRef]
- Pretty, J.; Zareen, P.B. Sustainable agriculture. Nat. Sustain. 2018, 1, 441–446. [Google Scholar] [CrossRef]
- Gattinger, A.; Muller, A.; Haeni, M.; Skinner, C.; Fliessbach, A.; Buchmann, N.; Mäder, P.; Stolze, M.; Smith, P.; Scialabba, N.E.-H.; et al. Enhanced top soil carbon stocks under organic farming. Proc. Natl. Acad. Sci. USA 2012, 109, 18226–18231. [Google Scholar] [CrossRef]
- Lal, R. Restoring Soil Quality to Mitigate Soil Degradation. Sustainability 2015, 7, 5875–5895. [Google Scholar] [CrossRef]
- Montgomery, D.R. Soil erosion and agricultural sustainability. Proc. Natl. Acad. Sci. USA 2007, 104, 13268–13272. [Google Scholar] [CrossRef]
- Oenema, O.; Oudendag, D.; Velthof, G.L. Nutrient losses from manure management in the European Union. Livest. Sci. 2007, 112, 261–272. [Google Scholar] [CrossRef]
- Shi, Z.; Sun, X.; Lu, Y.; Xi, L.; Zhao, X. Emissions of ammonia and hydrogen sulfide from typical dairy barns in central China and major factors influencing the emissions. Sci. Rep. 2019, 9, 13821. [Google Scholar] [CrossRef]
- Wang, Y.; Dong, H.; Zhu, Z.; Gerber, P.J.; Xin, H.; Smith, P.; Opio, C.; Steinfeld, H.; Chadwick, D. Mitigating Greenhouse Gas and Ammonia Emissions from Swine Manure Management: A System Analysis. Environ. Sci. Technol. 2017, 51, 4503–4511. [Google Scholar] [CrossRef] [PubMed]
- Reay, D.S.; Davidson, E.A.; Smith, K.A.; Smith, P.; Melillo, J.M.; Dentener, F.; Crutzen, P.J. Global agriculture and nitrous oxide emissions. Nat. Clim. Change 2012, 2, 410–416. [Google Scholar] [CrossRef]
- Schilling, T.; Hoelzle, K.; Philipp, W.; Hoelzle, L.E. Survival of Salmonella Typhimurium, Listeria monocytogenes, and ESBL Carrying Escherichia coli in Stored Anaerobic Biogas Digestates in Relation to Different Biogas Input Materials and Storage Temperatures. Agriculture 2022, 12, 67. [Google Scholar] [CrossRef]
- Sharma, M.; Reynnells, R. Importance of Soil Amendments: Survival of Bacterial Pathogens in Manure and Compost Used as Organic Fertilizers. Microbiol. Spectr. 2016, 4, PFS-0010-2015. [Google Scholar] [CrossRef]
- Blackshaw, R.E.; Rode, L.M. Effect of Ensiling and Rumen Digestion by Cattle on Weed Seed Viability. Weed Sci. 1991, 39, 104–108. [Google Scholar] [CrossRef]
- Rahimi, S.; Mashhadi, H.R.; Banadaky, M.D.; Mesgaran, M.B. Variation in Weed Seed Fate Fed to Different Holstein Cattle Groups. PLoS ONE 2016, 11, e0154057. [Google Scholar] [CrossRef]
- Weed Science Society of America. Weed Seed Facts: Weed Seed Longevity and Management; WSSA Fact Sheet; Weed Science Society of America: Champaign, IL, USA, 2026. [Google Scholar]
- Brady, N.C.; Weil, R.R. The Nature and Properties of Soils, 15th ed.; Pearson Education: Upper Saddle River, NJ, USA, 2016. [Google Scholar]
- Diacono, M.; Montemurro, F. Long-term effects of organic amendments on soil fertility. A review. Agron. Sustain. Dev. 2010, 30, 401–422. [Google Scholar] [CrossRef]
- Tisdale, S.L.; Nelson, W.L.; Beaton, J.D.; Havlin, J.L. Soil Fertility and Fertilizers, 5th ed.; Macmillan College Division: New York, NY, USA, 1993. [Google Scholar]
- Lori, M.; Symnaczik, S.; Mäder, P.; De Deyn, G.; Gattinger, A. Organic farming enhances soil microbial abundance and activity—A meta-analysis and meta-regression. PLoS ONE 2017, 12, e0180442. [Google Scholar] [CrossRef]
- Paul, E.A. Soil Microbiology, Ecology, and Biochemistry; Elsevier: Amsterdam, The Netherlands, 2015. [Google Scholar]
- Stevenson, F.J. Humus Chemistry: Genesis, Composition, Reactions, Second Edition. J. Chem. Educ. 1995, 72, A93. [Google Scholar] [CrossRef]
- Sylvia, M.D.; JefFry, J.F.; Peter, G.H.; David, A.Z. Principles and Applications of Soil Microbiology; Pearson: Upper Saddle River, NJ, USA, 2005. [Google Scholar]
- Al Seadi, T.; Drosg, B.; Fuchs, W.; Rutz, D.; Janssen, R. Biogas digestate quality and utilization. In The Biogas Handbook; Wellinger, A., Murphy, J., Baxter, D., Eds.; Woodhead Publishing: Cambridge, UK, 2013; pp. 267–301. [Google Scholar]
- Kelleher, B.P.; Leahy, J.J.; Henihan, A.M.; O’Dwyer, T.F.; Sutton, D.; Leahy, M.J. Advances in poultry litter disposal technology—A review. Bioresour. Technol. 2002, 83, 27–36. [Google Scholar] [CrossRef] [PubMed]
- Awasthi, M.K.; Ganeshan, P.; Gohil, N.; Kumar, V.; Singh, V.; Rajendran, K.; Harirchi, S.; Solanki, M.K.; Sindhu, R.; Binod, P.; et al. Advanced approaches for resource recovery from wastewater and activated sludge: A review. Bioresour. Technol. 2023, 384, 129250. [Google Scholar] [CrossRef] [PubMed]
- Insam, H.; Riddech, N.; Klammer, S.H. Microbiology of Composting; Springer: Berlin/Heidelberg, Germany, 2002. [Google Scholar]
- Shu, X.; He, J.; Zhou, Z.; Xia, L.; Hu, Y.; Zhang, Y.; Zhang, Y.; Luo, Y.; Chu, H.; Liu, W.; et al. Organic amendments enhance soil microbial diversity, microbial functionality and crop yields: A meta-analysis. Sci. Total Environ. 2022, 829, 154627. [Google Scholar] [CrossRef] [PubMed]
- Geisseler, D.; Scow, K.M. Long-term effects of mineral fertilizers on soil microorganisms—A review. Soil Biol. Biochem. 2014, 75, 54–63. [Google Scholar] [CrossRef]
- He, H.; Peng, M.; Hou, Z.; Li, J. Unlike chemical fertilizer reduction, organic fertilizer substitution increases soil organic carbon stock and soil fertility in wheat fields. J. Sci. Food Agric. 2024, 104, 2798–2808. [Google Scholar] [CrossRef]
- Ali, N.; Khan, M.N.; Ashraf, M.S.; Ijaz, S.; Saeed-ur-Rehman, H.; Abdullah, M.; Ahmad, N.; Akram, H.M.; Farooq, M. Influence of Different Organic Manures and Their Combinations on Productivity and Quality of Bread Wheat. J. Soil Sci. Plant Nutr. 2020, 20, 1949–1960. [Google Scholar] [CrossRef]
- Wang, F.; He, Z.; Sayre, K.; Li, S.; Si, J.; Feng, B.; Kong, L. Wheat cropping systems and technologies in China. Field Crops Res. 2009, 111, 181–188. [Google Scholar] [CrossRef]
- Kienzler, K.M.; Lamers, J.P.A.; McDonald, A.; Mirzabaev, A.; Ibragimov, N.; Egamberdiev, O.; Ruzibaev, E.; Akramkhanov, A. Conservation agriculture in Central Asia—What do we know and where do we go from here? Field Crops Res. 2012, 132, 95–105. [Google Scholar] [CrossRef]
- Kusainova, A.A.; Mezentseva, O.V.; Tusupbekov, Z.A. Influence of precipitation variability and temperature conditions on the yield of grain crops in Northern Kazakhstan. In IOP Conference Series: Earth and Environmental Science; IOP Publishing: Bristol, UK, 2020; Volume 548. [Google Scholar] [CrossRef]
- Dashkevich, S.M.; Babkenov, A.T.; Utebayev, M.U.; Chilimova, I.V.; Kradetskaya, O.O. Grain quality of spring soft wheat varieties bred by the A. I. Barayev Scientific and Production Center of the Agricultural Plant. Bull. Sci. S. Seifullin Kazakh Agrotech. Univ. 2018, 3, 50–56. [Google Scholar]
- Akashdeep; Kumari, S.; Rani, N. Novel cereal bran based low-cost liquid medium for enhanced growth, multifunctional traits and shelf life of consortium biofertilizer containing Azotobacter chroococcum, Bacillus subtilis and Pseudomonas sp. J. Microbiol. Methods 2024, 222, 106952. [Google Scholar] [CrossRef]
- ISO 11261; Soil Quality—Determination of Total Nitrogen—Modified Kjeldahl Method. International Organization for Standardization: Geneva, Switzerland, 1995.
- ISO 11263; Soil Quality—Determination of Phosphorus—Spectrometric Determination of Phosphorus Soluble in Sodium Hydrogen Carbonate Solution (Olsen Method). International Organization for Standardization: Geneva, Switzerland, 1994; p. 8.
- ISO 11260; Soil Quality—Determination of Effective Cation Exchange Capacity and Base Saturation Level Using Barium Chloride Solution. International Organization for Standardization: Geneva, Switzerland, 2011; p. 12.
- ISO 14235; Soil Quality—Determination of Organic Carbon by Sulfochromic Oxidation. International Organization for Standardization: Geneva, Switzerland, 1998; p. 7.
- ISO 10390; Soil Quality—Determination of pH. International Organization for Standardization: Geneva, Switzerland, 2005; p. 10.
- ISO 11263; Soil Quality—Determination of Phosphorus—Spectrometric Determination of Phosphorus Soluble in Sodium Hydrogen Carbonate Solution. International Organization for Standardization: Geneva, Switzerland, 1994; p. 5.
- Egner, H.; Riehm, H.; Domingo, W.R. Untersuchungen über die chemische Bodenanalyse als Grundlage für die Beurteilung des Nährstoffzustandes der Böden. K. Lantbrukshögskolans Ann. 1960, 26, 199–215. [Google Scholar]
- Li, Y.; Du, S.; Zhong, H.; Chen, Y.; Liu, Y.; He, R.; Ding, Q. A Grain Number Counting Method Based on Image Characteristic Parameters of Wheat Spikes. Agriculture 2024, 14, 982. [Google Scholar] [CrossRef]
- Chernenok, V.G. Diagnostics and optimization of nitrogen nutrition of grain crops in Northern Kazakhstan. Soil Sci. Agrochem. 2012, 3, 53–59. [Google Scholar]
- Chernenok, V.G. Theoretical foundations of diagnostics of mineral nutrition and management of soil fertility in the North of Kazakhstan. Soil Sci. Agrochem. 2008, 1, 84–91. [Google Scholar]
- Barton, L.; Hoyle, F.C.; Stefanova, K.T.; Murphy, D.V. Incorporating organic matter alters soil greenhouse gas emissions and increases grain yield in a semi-arid climate. Agric. Ecosyst. Environ. 2016, 231, 320–330. [Google Scholar] [CrossRef]
- Liu, Q.; Xu, H.; Yi, H. Impact of Fertilizer on Crop Yield and C:N:P Stoichiometry in Arid and Semi-Arid Soil. Int. J. Environ. Res. Public Health 2021, 18, 4341. [Google Scholar] [CrossRef]
- Cannavo, P.; Recous, S.; Valé, M.; Bresch, S.; Paillat, L.; Benbrahim, M.; Guénon, R. Organic Fertilization of Growing Media: Response of N Mineralization to Temperature and Moisture. Horticulturae 2022, 8, 152. [Google Scholar] [CrossRef]
- Xing, Y.; Zhang, X.; Wang, X. Enhancing soil health and crop yields through water-fertilizer coupling technology. Front. Sustain. Food Syst. 2024, 8, 1494819. [Google Scholar] [CrossRef]
- Surówka, E.; Rapacz, M.; Janowiak, F. Climate Change Influences the Interactive Effects of Simultaneous Impact of Abiotic and Biotic Stresses on Plants. In Plant Ecophysiology and Adaptation Under Climate Change: Mechanisms and Perspectives I: General Consequences and Plant Responses; Hasanuzzaman, M., Ed.; Springer: Singapore, 2020; pp. 1–50. [Google Scholar]
- Grzyb, A.; Wolna-Maruwka, A.; Niewiadomska, A. Environmental Factors Affecting the Mineralization of Crop Residues. Agronomy 2020, 10, 1951. [Google Scholar] [CrossRef]
- Shaji, H.; Chandran, V.; Mathew, L. Chapter 13—Organic fertilizers as a route to controlled release of nutrients. In Controlled Release Fertilizers for Sustainable Agriculture; Lewu, F.B., Volova, T., Thomas, S., Rarhimol, K.R., Eds.; Academic Press: Cambridge, MA, USA, 2021; pp. 231–245. [Google Scholar]
- Shmelev, S.E.; Salnikov, V.; Turulina, G.; Polyakova, S.; Tazhibayeva, T.; Schnitzler, T.; Shmeleva, I.A. Climate Change and Food Security: The Impact of Some Key Variables on Wheat Yield in Kazakhstan. Sustainability 2021, 13, 8583. [Google Scholar] [CrossRef]
- Dhiman, S.; Kumar, S.; Baliyan, N.; Dheeman, S.; Maheshwari, D.K. Cattle Dung Manure Microbiota as a Substitute for Mineral Nutrients and Growth Management Practices in Plants. In Endophytes: Mineral Nutrient Management, Volume 3; Maheshwari, D.K., Dheeman, S., Eds.; Springer International Publishing: Cham, Switzerland, 2021; pp. 77–103. [Google Scholar]
- Priyadi, P.; Rahmadi, R.; Rochman, F.; Dulbari, D.; Sari, E.Y.; Buana, A.S.; Sudrajat, D.; Surahman, S. Enhancing composting efficiency: Impact of microbial consortia on cow manure decomposition. J. Degrad. Min. Lands Manag. 2025, 12, 7659–7671. [Google Scholar] [CrossRef]
- Gousia, J.; Ishfaq, S.; Uqab, B.; Mudasir, S. Actinomycetes as Biofertilisers for Sustainable Agriculture. In Microbiomes for the Management of Agricultural Sustainability; Dar, G.H., Bhat, R.A., Mehmood, M.A., Eds.; Springer Nature Switzerland: Cham, Switzerland, 2023; pp. 183–192. [Google Scholar]
- Khan, M.T.; Supronienė, S.; Žvirdauskienė, R.; Aleinikovienė, J. Climate, Soil, and Microbes: Interactions Shaping Organic Matter Decomposition in Croplands. Agronomy 2025, 15, 1928. [Google Scholar] [CrossRef]
- Chen, Q.; Song, Y.; An, Y.; Lu, Y.; Zhong, G. Soil Microorganisms: Their Role in Enhancing Crop Nutrition and Health. Diversity 2024, 16, 734. [Google Scholar] [CrossRef]
- Zhan, C. Microbial Decomposition and Soil Health: Mechanisms and Ecological Implications. Mol. Soil Biol. 2024, 15, 59–70. [Google Scholar] [CrossRef]
- Iannucci, A.; Canfora, L.; Nigro, F.; De Vita, P.; Beleggia, R. Relationships between root morphology, root exudate compounds and rhizosphere microbial community in durum wheat. Appl. Soil Ecol. 2021, 158, 103781. [Google Scholar] [CrossRef]
- Ma, X.; Ren, B.; Yu, J.; Wang, J.; Bai, L.; Li, J.; Li, D.; Meng, M. Changes in grassland soil types lead to different characteristics of bacterial and fungal communities in Northwest Liaoning, China. Front. Microbiol. 2023, 14, 1205574. [Google Scholar] [CrossRef]
- Rusyn, I.; Malovanyy, M.; Tymchuk, I.; Synelnikov, S. Effect of mineral fertilizer encapsulated with zeolite and polyethylene terephthalate on the soil microbiota, pH and plant germination. Ecol. Quest. 2021, 32, 1–12. [Google Scholar] [CrossRef]
- Nuralykyzy, B.; Nurzhan, A.; Li, N.; Huang, Q.; Zhu, Z.; An, S. Influence of land use types on soil carbon fractions in the Qaidam Basin of the Qinghai-Tibet Plateau. CATENA 2023, 231, 107273. [Google Scholar] [CrossRef]
- Agegnehu, G.; Bass, A.M.; Nelson, P.N.; Bird, M.I. Benefits of biochar, compost and biochar–compost for soil quality, maize yield and greenhouse gas emissions in a tropical agricultural soil. Sci. Total Environ. 2016, 543, 295–306. [Google Scholar] [CrossRef]
- Drinkwater, L.E.; Snapp, S.S. Nutrients in Agroecosystems: Rethinking the Management Paradigm. In Advances in Agronomy; Sparks, D.L., Ed.; Academic Press: Cambridge, MA, USA, 2007; Volume 92, pp. 163–186. [Google Scholar]
- Lal, R. Regenerative agriculture for food and climate. J. Soil Water Conserv. 2020, 75, 123A–124A. [Google Scholar] [CrossRef]






| Treatment | Manure Application (t ha−1) |
|---|---|
| 1 | O—Control (no manure applied) |
| 2 | Cattle manure 5 t ha−1 |
| 3 | Cattle manure 10 t ha−1 |
| 4 | Cattle manure 15 t ha−1 |
| 5 | Cattle manure 20 t ha−1 |
| 6 | Cattle manure 30 t ha−1 |
| Year of Study | Precipitation (mm) | Average Daily Air Temperature (°C) | ||||||||
|---|---|---|---|---|---|---|---|---|---|---|
| May | June | July | August | V–VIII | May | June | July | August | V–VIII | |
| Long-term averages | 32.4 | 39.5 | 57.0 | 39.8 | 168.7 | 12.5 | 18.3 | 19.9 | 17.4 | 17.0 |
| 2024 | 76.9 | 62.3 | 63.3 | 106.6 | 309.1 | 11.2 | 22.6 | 21.7 | 17.3 | 18.2 |
| 2025 | 40 | 35 | 10 | 105 | 190 | 16.3 | 19.7 | 19.7 | 17 | 18.2 |
| Parameter | Value | Interpretation |
|---|---|---|
| Agrochemical properties | ||
| Organic matter | 25.8% | High organic content |
| pH | 6.9 | Near neutral |
| Nitrogen (N) | 2.03% | High |
| Phosphorus (P) | 0.43% | Moderate |
| Potassium (K) | 1.40% | High |
| Microbial groups | ||
| Heterotrophic bacteria (MPA) | 1.7 × 107 CFU g−1 | Utilize organic N |
| Mineral-N-utilizing bacteria (SAA) | 1.4 × 107 CFU g−1 | Mineral N transformers |
| Actinomycetes (Gause medium) | 4.0 × 103 CFU g−1 | Decomposers |
| Actinomycetes (Hutchinson) | 2.8 × 103 CFU g−1 | Cellulose degradation |
| Fungi (Hutchinson) | 2.0 × 103 CFU g−1 | Fungal community |
| Fungi (Czapek–Dox) | 1.0 × 103 CFU g−1 | Minor group |
| Nitrogen-fixing bacteria (Ashby) | 3.2 × 107 CFU g−1 | Biological N fixation |
| Treatment | Stems per Plant | Productive Stems | Plant Height (cm) | Spike Length (cm) | Spikelets (No.) | Grains per Spike (No.) | Grain Weight per Spike (g) | 1000-Grain Weight (g) |
|---|---|---|---|---|---|---|---|---|
| 2024 | ||||||||
| Control | 2.2 ± 0.2c | 2.2 ± 0.2b | 79 ± 0.6c | 5.9 ± 0.3c | 11.2 ± 0.4c | 21 ± 0.6d | 0.92 ± 0.1c | 32.6 ± 0.4c |
| Manure 5 t ha−1 | 2.3 ± 0.2bc | 2.2 ± 0.3b | 81 ± 0.6b | 6.4 ± 0.2c | 11.8 ± 0.2c | 22 ± 0.6c | 1.38 ± 0.0b | 34.2 ± 0.8b |
| Manure 10 t ha−1 | 2.5 ± 0.2b | 2.3 ± 0.3b | 82 ± 0.6b | 7.0 ± 0.3b | 12.1 ± 0.4c | 23 ± 0.6c | 1.35 ± 0.0b | 34.8 ± 0.9b |
| Manure 15 t ha−1 | 2.7 ± 0.3ab | 2.5 ± 0.4ab | 89 ± 0.6a | 7.2 ± 0.3b | 12.8 ± 0.6b | 25 ± 0.6b | 1.42 ± 0.0b | 37.7 ± 0.5a |
| Manure 20 t ha−1 | 2.6 ± 0.2ab | 2.6 ± 0.2ab | 87 ± 0.6ab | 7.4 ± 0.5b | 13.1 ± 0.4b | 27 ± 0.6a | 1.51 ± 0.0ab | 35.0 ± 0.3b |
| Manure 30 t ha−1 | 2.9 ± 0.5a | 2.7 ± 0.3a | 88 ± 0.6a | 9.3 ± 0.3a | 15.2 ± 0.2a | 27 ± 0.6a | 1.62 ± 0.1a | 34.0 ± 1.0b |
| LSD0.05 | 0.46 | 0.44 | 2.05 | 0.73 | 0.89 | 1.42 | 0.27 | 1.63 |
| 2025 | ||||||||
| Control | 1.8 ± 0.4a | 1.7 ± 0.4a | 75.1 ± 0.3b | 7.2 ± 0.6b | 12.2 ± 0.2b | 23 ± 0.6b | 0.97 ± 0.1c | 25.2 ± 0.3c |
| Manure 5 t ha−1 | 2.2 ± 0.2a | 2.1 ± 0.1a | 75.3 ± 0.7b | 7.2 ± 0.4b | 12.6 ± 0.2ab | 23 ± 0.6b | 1.34 ± 0.1b | 26.0 ± 0.5c |
| Manure 10 t ha−1 | 1.9 ± 0.2a | 1.8 ± 0.2a | 76 ± 1.0ab | 7.3 ± 0.2b | 12.7 ± 0.7a | 24 ± 0.6b | 1.43 ± 0.1ab | 27.5 ± 0.9b |
| Manure 15 t ha−1 | 1.7 ± 0.1a | 1.7 ± 0.1a | 76.7 ± 0.8a | 7.4 ± 0.7ab | 12.6 ± 0.8ab | 25 ± 1.0b | 1.54 ± 0.9a | 27.9 ± 0.4ab |
| Manure 20 t ha−1 | 1.9 ± 0.2a | 1.9 ± 0.2a | 77 ± 0.5a | 7.5 ± 0.6ab | 12.8 ± 0.8a | 26 ± 1.0ab | 1.57 ± 0.8a | 28.9 ± 0.8a |
| Manure 30 t ha−1 | 1.8 ± 0.2a | 1.8 ± 0.2a | 77 ± 1.0a | 7.7 ± 0.3a | 13.0 ± 0.2a | 28 ± 0.6a | 1.62 ± 0.0a | 28.8 ± 0.8a |
| LSD0.05 | 0.71 | 0.43 | 1.39 | 0.62 | 0.86 | 1.94 | 0.75 | 1.22 |
Disclaimer/Publisher’s Note: The statements, opinions and data contained in all publications are solely those of the individual author(s) and contributor(s) and not of MDPI and/or the editor(s). MDPI and/or the editor(s) disclaim responsibility for any injury to people or property resulting from any ideas, methods, instructions or products referred to in the content. |
© 2026 by the authors. Licensee MDPI, Basel, Switzerland. This article is an open access article distributed under the terms and conditions of the Creative Commons Attribution (CC BY) license.
Share and Cite
Algozhina, A.; Nauanova, A.; Daribek, A.; Serikbay, G.; Sergebayeva, A.; Elansky, S.; Nuralykyzy, B. Agrobiological Evaluation of Microbiologically Processed Cattle Manure on Soil Properties and Spring Wheat Productivity in Northern Kazakhstan. Agronomy 2026, 16, 742. https://doi.org/10.3390/agronomy16070742
Algozhina A, Nauanova A, Daribek A, Serikbay G, Sergebayeva A, Elansky S, Nuralykyzy B. Agrobiological Evaluation of Microbiologically Processed Cattle Manure on Soil Properties and Spring Wheat Productivity in Northern Kazakhstan. Agronomy. 2026; 16(7):742. https://doi.org/10.3390/agronomy16070742
Chicago/Turabian StyleAlgozhina, Assiya, Ainash Nauanova, Adina Daribek, Guljanat Serikbay, Assem Sergebayeva, Sergey Elansky, and Bayan Nuralykyzy. 2026. "Agrobiological Evaluation of Microbiologically Processed Cattle Manure on Soil Properties and Spring Wheat Productivity in Northern Kazakhstan" Agronomy 16, no. 7: 742. https://doi.org/10.3390/agronomy16070742
APA StyleAlgozhina, A., Nauanova, A., Daribek, A., Serikbay, G., Sergebayeva, A., Elansky, S., & Nuralykyzy, B. (2026). Agrobiological Evaluation of Microbiologically Processed Cattle Manure on Soil Properties and Spring Wheat Productivity in Northern Kazakhstan. Agronomy, 16(7), 742. https://doi.org/10.3390/agronomy16070742

