Next Article in Journal
Genome-Wide Association Study Identifies OsWRKY102 as a Positive Regulator of Culm Mechanical Strength in Rice
Previous Article in Journal
Chinese Cabbage (Brassica rapa L.) Parameters Describing Agronomic Performances of Fall and Summer Cabbage Ecotypes
 
 
Due to scheduled maintenance work on our servers, there may be short service disruptions on this website between 11:00 and 12:00 CEST on March 28th.
Font Type:
Arial Georgia Verdana
Font Size:
Aa Aa Aa
Line Spacing:
Column Width:
Background:
Article

Global Warming Potential Induced by Albedo and Greenhouse Gases Across Different Land Uses of the Saline-Alkaline Agropastoral Ecotone in the Songnen Plain

1
State Key Laboratory of Efficient Utilization of Arable Land in China, National Hulunber Grassland Ecosystem Observation and Research Station, Institute of Agricultural Resources and Regional Planning, Chinese Academy of Agricultural Sciences, Beijing 100081, China
2
Key Laboratory of Grassland Ecology, School of Ecology and Environment, Inner Mongolia University, Hohhot 010021, China
3
School of Life Science, Shanxi University, Taiyuan 030006, China
4
Key Laboratory of Vegetation Ecology, Ministry of Education, Northeast Normal University, Changchun 130024, China
5
Department of Soil, Plant and Food Sciences (DISSPA), University of Bari, 70199 Bari, Italy
*
Authors to whom correspondence should be addressed.
Agronomy 2026, 16(7), 705; https://doi.org/10.3390/agronomy16070705 (registering DOI)
Submission received: 20 February 2026 / Revised: 20 March 2026 / Accepted: 26 March 2026 / Published: 27 March 2026
(This article belongs to the Section Grassland and Pasture Science)

Abstract

Land-use change contributes significantly to climate change mitigation through biophysical changes (albedo, α) and biogeochemical (greenhouse gases, GHG) emissions (here refers to methane, CH4, and nitrous oxide, N2O). While the impact of grassland–cropland conversion on global warming potential (GWP) is well-documented globally, research remains scarce in the saline-alkaline agropastoral transition zone (APTZ) of the western Songnen Plain, Northeast China, an ecotone uniquely characterized by soil-crusting and seasonal inundation. We conducted in situ bi-weekly measurements of N2O and CH4 fluxes (June–September) to acquire growing season GWP N 2 O and GWP C H 4 , alongside α. The study compared an undisturbed fenced meadow (FMD) with three adjacent land-use types, clipped meadow (CMD), saline-alkaline meadow (SAL), and paddy rice field (PDY), converted from FMD from 2018 to 2022. Annual α-induced GWP (GWPΔα) was positive across all converted sites (CMD, SAL, and PDY), indicating a warming effect due to lower α compared to FMD. The PDY exhibited the highest CH4 emission (5.04 kg CO2 m−2 yr−1), exceeding other land uses by three orders of magnitude (p < 0.05). Conversely, N2O emissions remained consistently minimal and stable across all sites. When integrating the net ecosystem exchange of CO2 (NEE), the PDY functioned as a net warming source. In contrast, the warming effects of α and non-CO2 GHGs were effectively offset by the NEE in other land uses. Machine learning identified soil water content (SWC) as the dominant predictor of α across all land uses in growing season. However, a mechanistic divergence was observed, i.e., α in low saline-alkali ecosystems (FMD, CMD and PDY) was shaped by coupled biotic and soil moisture controls, whereas in the degraded SAL ecosystem, α is almost exclusively abiotic-driven. These findings demonstrate that land-use conversion in the Songnen Plain governs complex land-surface feedbacks through distinct pathways. This study provides a quantitative framework for integrating biophysical and biogeochemical impacts to optimize land management for climate resilience in saline-alkaline agropastoral ecotones.

1. Introduction

Land-use changes in the agropastoral sector usually feed back on the climate by altering greenhouse gas (GHG) emissions, surface vegetation cover, hydrological conditions, etc. [1]. With the global expansion of rice cultivation, rice paddies alone contributed approximately 48% of total GHG emissions from croplands, 22% of agricultural CH4 and 11% of N2O emissions, projected to increase with the stimulation of climate change under elevated CO2 conditions [2]. The contribution of China’s paddy fields to the global rice-cultivation CH4 budget has reached 22~38%, with a marked increasing trend in the northeast [3,4]. Moreover, grassland intensification, such as increased grazing pressure and high nitrogen inputs from fertilizers, significantly enhances N2O emissions [5,6]. Beyond GHG emissions, these processes substantially alter the surface energy balance and albedo (α) through changes in vegetation, which are key to biophysical functions [7,8,9,10,11]. According to the IPCC AR6, anthropogenic radiative forcing (RF) induced by land-use change has resulted in a global cooling of −0.20 W/m2 during the industrial era (1750–2019) [12]. However, the contribution from agropastoral land use remains highly uncertain due to complex fluctuations in climate, cultivation patterns and management regimes. Among them, the intensification of grasslands and rice cultivation contributed a great proportion in China’s CH4 emissions.
The significance of α in global terrestrial ecosystems and carbon-mitigation strategies is increasingly recognized [13,14,15], as α-induced RF can offset the benefits of carbon sequestration or the cooling effects of evaporation [16,17,18]. For instance, a decrease in surface α following vegetation restoration can exert a warming effect that partially counteracts the climatic benefit of atmospheric CO2 reduction. Given the joint influence of α and GHGs (e.g., CO2, CH4, N2O) on climate [12,18], a comprehensive assessment of the biophysical effect of land-use changes is essential for scientific land planning and achieving carbon neutrality goals.
As a critical region for grain and livestock production in northern China, the agropastoral transition zone (APTZ) in Northeast China is pivotal to regional food security and climate. Historically dominated by meadows, this region now has over 3 million hectares of saline-alkaline land, primarily in the western Songnen Plain [19]. Driven by overgrazing and overall westward-sloping terrain, over 43.7% of the land is severely salinized [20,21]. The unique physical characteristic of saline soil, i.e., the formation of a hard crust after rainfall, hinders water infiltration and plant root growth, while poor aeration easily creates anaerobic environments that stimulate CH4 and N2O emissions [22]. Under the dual pressures of intensive management and accelerating salinization, native undisturbed meadows are being widely converted to croplands (e.g., paddy rice fields), clipped meadows and degraded saline-alkaline meadows. These transitions are expected to amplify the spatial heterogeneity of carbon storage and surface α, reshaping regional biophysical features and carbon-energy budgets under the same climatic conditions [23,24,25,26].
In the complex framework of land-atmosphere interactions, different land-use types modulate climate through both vegetation-driven α changes and the altered net ecosystem exchange of CO2 (NEE). During the growing seasons, the sparsely vegetated saline soils generally exhibit higher α than dense fenced meadows or crop canopies, enhancing net radiation absorption while reducing surface energy partitioning towards latent heat. Moreover, α is susceptible to changes in environmental drivers (such as soil moisture, snow cover, and atmospheric conditions) and exhibits strong seasonal heterogeneity in its response to the environment [23,27]. However, these biophysical effects are often intertwined with biogeochemical processes; for example, reclaiming degraded saline-alkali lands for rice cultivation may enhance evaporative cooling but introduce anaerobic conditions that create hotspots for CH4 emissions. Furthermore, waterlogged meadow habitats may stimulate higher GHG emissions compared to drier steppes [28]. Currently, the extent to which α-induced RF and GHG-driven warming offset each other lacks systematic quantification, which constrains the formulation of climate-smart land management strategies for saline-alkali and waterlogging-prone regions.
Existing research is limited by satellite-based estimates (e.g., MODIS), which often suffer from biases in spatial representativeness across inhomogeneous landscapes like the Songnen Plain [29,30,31]. Moreover, the seasonal dynamics of α and GHG fluxes are driven by complex factors such as soil moisture, snow cover, and plant phenology, with potentially distinct mechanisms operating between waterlogging-prone growing seasons and snow-covered non-growing seasons [32]. Due to the sparse geographic coverage of ground stations in the Northeast China APTZ, synchronized, long-term in situ monitoring of α and GHG emissions across land-use types remains scarce, leading to large uncertainties in our understanding of net climatic impacts.
To address these gaps, this study proposes two hypotheses based on the unique saline-alkali environment of the Songnen Plain: (a) Land-use conversion from undisturbed fenced meadows to anthropogenically managed ecosystems (CMD and PDY) increases the net warming effect. Specifically, we hypothesize that these conversions lead to a decrease in surface α and an increase in CH4 emissions, resulting in a positive seasonal RF compared to FMD. (b) The sensitivity of α to environmental drivers is governed by threshold effects that differ between seasons. We hypothesize that during the growing season, α is primarily regulated by coupled biotic (vegetation indices) and abiotic factors (soil moisture), whereas in the snow-covered non-growing season, the response is dominated by temperature-induced snow-masking effects, leading to significantly different magnitudes of climate feedback.
In light of the above, we utilized a long-term eddy covariance (EC) system to observe ecosystem CO2 flux and α, combined with periodic field sampling of CH4 and N2O across four typical land uses. By constructing a comprehensive GWP assessment framework, we systematically quantify the integrated impacts of major land uses on the net radiative balance. We employ machine learning to resolve the seasonal response mechanisms of α to key environmental drivers. The specific objectives of this research are: (1) to quantify the magnitude and direction of intra-annual α-induced RF (RFΔα) in converted land uses relative to undisturbed FMD; (2) to determine the net climate impact (warming or cooling) by estimating the extent to which RFΔα offsets or amplifies the GWP of CO2, CH4 and N2O by CO2 equivalent, CO2eq, in growing seasons; and (3) to evaluate the seasonal shifts in the regulatory mechanisms of α, specifically identifying the dominant biophysical predictors between growing and non-growing seasons. This work aims to clarify how the mechanisms of land-use transitions contribute to regional warming or cooling, providing critical data support for land governance and sustainable agricultural development in Northeast China under a warming climate.

2. Methods

2.1. Eddy Covariance Tower Cluster on the Songnen Plain

The experiment was conducted on a saline-alkali-affected agropastoral transition zone of the Songnen Plain, Northeast China. The climate is temperate monsoon, with a mean annual precipitation of 400~600 mm. In 2018, a long-term eddy covariance measurement cluster of dominant land uses, two Leymus chinensis meadows, one Chloris virgata meadow, and rice fields, was established. This cluster provided data on α, micrometeorological variables, and carbon fluxes. Four EC towers were installed over an undisturbed fenced meadow (FMD), a clipped meadow (CMD), a saline-alkaline-affected meadow (SAL), and a paddy rice field (PDY) (Figure 1). The observation period spanned 5 consecutive years from 2018 to 2022 at all four sites. At each site, carbon fluxes were measured at half-hourly intervals using a LI-COR® LI-7500 open path CO2/H2O analyzer (Lincoln, NE, USA) and a CSAT3 (Campbell Scientific, Logan, UT, USA) sonic anemometer. Net radiometers measured incoming and outgoing longwave and shortwave radiation. α was calculated as the ratio of outgoing to incoming shortwave radiation. EddyPro (Version 7.0.8) software was used to process high-frequency (10 Hz) raw data obtained from the EC systems into 30 min averages. Post-processing steps included de-spike, 2D-coordinate rotation, and time lag corrections [33]. The planar fit coordinate rotation [34], WPL density correction [35] and surface heating correction [36] were applied to the flux calculations. Friction velocity thresholds of the 30 min fluxes (u*) were used site-specifically to remove periods with poorly developed turbulent mixing at night [37]. On average, ~82% of Changling NEE data passed these quality checks and controls, and the rest was filled by a standardized gap-filling algorithm [38]. The detailed information are shown in Table 1 and Table 2 for all the sites, with energy balance closure ranging from 0.75~0.85.
Meteorological variables measured included relative humidity (RH), precipitation (P), downward shortwave radiation (DSR), net radiation (Rn), photosynthesis active radiation (PAR), air temperature (Ta), soil temperature (Ts), wind speed (WS), soil water content (SWC), and vapor pressure deficit (VPD). Vegetation indices (leaf area index, LAI, MODIS 4-Day 500 m v061, MCD15A3H; normalized difference vegetation index, NDVI, calculated daily from v061 MOD09GA) and snow cover (NDSI, MODIS/Aqua daily L3 500 m v061, MYD10A1) were obtained from the LAADS DAAC (Level 1 and Atmosphere Archive & Distribution System) and NSIDC (National Snow and Ice Data Center). The LAI time series was first screened using quality control flags, then linearly interpolated and smoothed for machine learning monitoring with the Savitzky–Golay filter method to a daily resolution to suppress noise while preserving seasonal dynamics. To capture the most scientifically significant period of abrupt shifts in GHG- and α-induced GWP after soil thaw, while maintaining temporal consistency, we defined the growing season as June–September and the non-growing season as January–May and October–December.
FMD was selected as the reference ecosystem for this study primarily because it has been under continuous protection with the longest fencing history (since the 2000s, see Table 2) in the region. This site represents the climax vegetation and the potential natural state of the saline-alkaline agropastoral ecotone in the Songnen Plain. Historically, the other three land-use types (CMD, SAL and PDY) shared similar initial ecological and soil conditions with the FMD. While the FMD was preserved through fencing, the other sites transitioned into their current states through varying intensities of anthropogenic activities, such as long-term overgrazing (CMD), subsequent soil degradation (SAL), or agricultural reclamation (PDY). Therefore, FMD serves as a robust baseline for quantifying the biogeochemical and biophysical shifts caused by land-use changes.

2.2. GWP Computation

2.2.1. GWP for GHG

Global Warming Potential (GWP) is a climate change metric standardized to compare the cumulative effect of different GHGs in absorbing and retaining energy in the atmosphere over a specific period (usually 20- and 100-year time horizons) relative to an equivalent mass of CO2. The relative strength of each gas depends on its unique atmospheric chemistry, radiation absorption characteristics and atmospheric lifetime (residence time). Bi-weekly GHG sampling of N2O and CH4 fluxes in the growing season was collected (at 0, 10, 20, 30, 40 and 60 min) using vented static chambers during the nonfrozen (June–September) period and then analyzed using a gas chromatograph. GHG samples were subsequently analyzed for concentration before N2O and CH4 fluxes were calculated with the assistance of temperature, pressure and volume parameters. The CO2-eq values of N2O and CH4 fluxes were computed using 100-year average GWP of 298 for N2O and 25 for CH4.
The RF of every GHG ( R F G H G ) at a certain concentration is calculated as follows:
R F GHG = a · ln C C 0
C0 and C are the initial and final CO2 concentrations of the GHG, respectively. “a” represents the radiative efficiency. GWP is the ratio of the integral of the RF of the target GHG to that of CO2 over the same time scale. The formula is as follows:
G W P GHG = 0 T R F GHG dt 0 T R F C O 2 dt
where T is the time scale, which is 100 years in this paper; R F G H G is the RF of the target gas; and R F C O 2 is the RF of CO2.

2.2.2. RF for α

Although most existing studies focused on GHG emissions, the urgent need to integrate the changes in α and RF into a comprehensive assessment of GWP has been emphasized for appropriate policy measures. Several methods have been proposed and applied for calculating RF∆α and GWP of an ecosystem in the form of CO2-equivalent [39,40]. The positive or negative values of RF indicate whether more energy is absorbed at the top of the atmosphere or released to the space, ultimately contributing to global warming or cooling, respectively [32].
RF Δ α = 1 N · N = 1 N R S _ IN · Δ α · T k
The α difference ( Δ α ) is the difference between the target ecosystem and a representative reference ecosystem, i.e., the undisturbed fenced meadow, at the same time. R S _ IN is the pyranometer-measured incoming solar radiation at the top of the canopy. T k is the atmospheric transmittance, referring to the capacity of the atmosphere to allow electromagnetic radiation to pass through it, and is measured as the ratio of the transmitted intensity to the incident intensity. T k is approximately expressed as the square root of the ratio of incoming solar radiation ( R S _ IN ) to the instantaneous shortwave at the top of the atmosphere ( R S _ TOA ) [39]. N is the number of samplings of the integration period (e.g., days). The value of R S _ TOA is a theoretically based calculation result of the solar constant (1.37 kW m−2), latitude, longitude and local time [41].
α-induced GWP of CO2 equivalent is calculated as:
G W P Δ α = RF Δ α · S AF · R F CO 2 · 1 TH
where S (m2) is the local area subjected to α change, AF is the percentage of emitted CO2 that remains in the atmosphere (e.g., 0–100 years) [42], R F CO 2 (W m−2 kg−1) is the RF from 1 kg of CO2 increase and TH is the time horizon to quantify GWP (e.g., 100 years). Further explanation for RF Δ α and GWP Δ α can be found in [41].

2.2.3. Sign Convention and Offset Calculation

To ensure clarity in the climate impact assessment, we adopted a consistent sign convention throughout the study. For the NEE, negative values represent net CO2 uptake by the ecosystem (acting as a carbon sink), while positive values indicate net CO2 release (a carbon source). Accordingly, for GWP metrics (including GWP GHG and GWP Δ α ), positive values indicate a net warming effect on the atmosphere, whereas negative values indicate a cooling effect. The “offset (%)” of α-induced GWP relative to the NEE was calculated as follows:
o f f s e t = GWP Δ α NEE · 100 %
This metric quantifies the extent to which the GWP Δ α cooling (or warming) compensates for ecosystem CO2 sequestration effects.
Considering the disparate datasets of GHGs and α in measurement, we only selected data from the overlapping periods when integrating the NEE, GWP induced by GHG and α ( G W P t o t a l in Equation (6)) at the same time. These data are based on overlapping years (2020~2022) and are restricted to the growing season (June–September) to ensure temporal consistency. Positive values indicate warming, negative values (net CO2 uptake) indicate cooling. For the seasonal comparison of only α-induced GWP and the NEE, however, year-round data in 2020~2022 are used in order to clearly quantify the seasonal differences.
G W P t o t a l = G W P Δ α + G W P C H 4 + G W P N 2 O + N E E

2.3. Statistical Analysis

A one-way Analysis of Variance (ANOVA) was performed to test for significant differences in GHG and α among different sites. If significant differences were detected (p < 0.05), Tukey’s Honestly Significant Difference (HSD) post hoc test was applied for pairwise comparisons. Uncertainty propagation for the net GWP was estimated using a Monte Carlo simulation (n = 10,000 iterations). For each component, CH4, N2O, and α-induced RF, random values were drawn from normal distributions based on the observed means and standard errors. This approach accounts for the cumulative error resulting from the combination of high-frequency α measurements and periodic GHGs flux sampling.
The machine learning (ML) approach Random Forest was used to identify the most critical explanatory factors for α [43,44]. A total of 20% of the data was split into random subsets for prediction after training, and the remaining 4/5 of the data was used with 5-fold cross-validation. The model is used to predict the observed α and RF Δ α for each 1/5 testing slice. We repeated the process for the growing and non-growing seasons of four land uses. To ensure model reliability, we optimized the hyperparameters (e.g., the number of trees n_estimators = 500, and the maximum features considered at each split). The predictive performance was evaluated using the metrics of coefficient of determination (R2, where a value closer to 1 indicates a better fit), root mean square error (RMSE, lower values representing higher precision), mean absolute error (MAE, the average absolute difference between observed and predicted values, offering a robust assessment of model accuracy) Feature selection was performed based on the Gini importance, and the stability of the model was further confirmed using out-of-bag error estimates. We applied the Shapley additive explanation (SHAP) method to calculate the weighted average marginal contribution of each feature across all combinations, assigning each predictor an importance value in the ML model [45,46]. All statistical analyses were conducted using Python v3.12, with packages such as “sklearn”. The responses of α to environmental drivers are assumed to frequently exhibit nonlinear patterns due to complex interference of waterlogged circumstances.

3. Results

3.1. GWP Induced by Methane (CH4) and Nitrous Oxide (N2O) Emissions

CH4 emissions differed significantly across land-use types (One-way ANOVA, p < 0.001), with the PDY surpassing all other sites by three orders of magnitude (Figure 2a). Fluxes at the PDY averaged 92.5 ± 9.1 nmol/m2/s (mean ± SE) during the late vegetative and reproductive stages (June–September), and peaked at 136.8 ± 17.9 nmol/m2/s. Conversely, CH4 fluxes in the FMD, CMD, and SAL were persistently low, ranging from −0.1 to 0.0 nmol/m2/s, with no statistically significant difference between these three meadow types (p > 0.05). Such nominal uptake in the FMD and CMD points to a minor potential for atmospheric cooling.
N2O fluxes remained negligible and statistically similar across all sites (p = 0.057, F = 2.516). The PDY and CMD sites exhibited low-level N2O emissions, averaging 0.018 ± 0.004 and 0.012 ± 0.007 nmol/m2/s respectively, with sporadic peaks observed in June (0.047 nmol/m2/s for PDY) and August (0.41 nmol/m2/s for CMD). Exceedingly stagnant and low N2O fluxes were found in the SAL and FMD, averaging below 0.002 nmol/m2/s in growing seasons (0.002 ± 0.005 and 0.002 ± 0.002 nmol/m2/s, respectively).
Growing season GWP C H 4 of the FMD, CMD, SAL and PDY were −0.0062 ± 0.0004, −0.0101 ± 0.0004, −0.0021 ± 0.0003 and 5.0402 ± 0.1314 kg CO2 m−2 yr−1, respectively, while GWP N 2 O of the FMD, CMD, SAL and PDY were 0.0033 ± 0.0007, 0.0122 ± 0.0024, 0.0037 ± 0.0017, 0.0214 ± 0.0013 kg CO2 m−2 yr−1, respectively.

3.2. α Change-Induced GWP

3.2.1. Temporal Variations in α, Δα, DSR and RF

A pronounced seasonal hierarchy in α was observed across all land uses (p < 0.01, Figure 3), characterized by significantly higher values during the non-growing seasons (0.342 ± 0.041) compared to the growing seasons (0.173 ± 0.012). This seasonality was driven by the ecological transition from vegetation-mediated absorption (summer) to snow-induced reflectance (winter). During the winter time (January–March), a significant “snow-masking” reversal occurred, i.e., α in the FMD was lower than other sites (p < 0.05) because the tall standing litter of undisturbed Leymus chinensis trapped radiation, whereas the clipped (CMD) or degraded (SAL) sites allowed for a continuous, reflective snowpack. In summer, α dropped as a result of the high absorptivity of the canopy and the moisture-darkening effect of soil. Annual mean α remained relatively consistent across sites, following the sequence of PDY (0.270) < CMD (0.282) < SAL (0.289) < FMD (0.301). Notably, the FMD consistently exhibited the highest growing or non-growing season average α, while the PDY remained the lowest.

3.2.2. Temporal Variations in Climatic Factors and Vegetation Index

Among the observed environmental metrics, only the NDSI exhibited winter peaks; all other variables reached the peak in growing season (Figure 4). Rn, PAR and Ta were spatially uniform across sites. The intra-year variation in Ts was clear with the FMD being less variable, whereas the SAL site recorded the highest summer peaks, a likely consequence of high bare-soil exposure and attenuated evaporative cooling by sparser vegetation. Growing season vegetation indices (NDVI and LAI) followed a clear hierarchy of FMD > CMD > SAL > PDY, because the initial LAI was lower in the PDY due to wide transplanting spacing, while the low LAI in the SAL stems mainly from sparse vegetation coverage characteristic of saline-alkaline degradation.
Distinct hydraulic regimes were observed across sites. The PDY maintained a near-saturated RH (~90%) and suppressed VPD year-round due to intensive irrigation management. In contrast, the other three sites reached their annual RH minima in April/May before peaking in late summer (August/September), with VPD peaking at ~1.5 kPa in early June; SWC exhibited the highest spatio-temporal variability. The SAL and PDY maintained higher SWC than the CMD and FMD. High interannual variability in SWC was particularly pronounced during August and September across all sites, driven by a regime of high-intensity, low-frequency rainfall. Notably, the unique phenomenon of soil crusting in the SAL helps the SAL to maintain a minimal seasonal SWC variation from April to October compared to other land uses (SWC > 0.6 m3 m−3) due to obstructed water infiltration. However, extreme precipitation events can be detrimental to SAL ecosystems, because they not only exacerbated soil surface crusting but also potentially increased surface runoff and erosion, further degrading the saline-alkaline environment. On an annual scale, α showed an inverse relationship with temperature, SWC, and vegetation indices, and a strong positive correlation with NDSI due to the drastically high fresh snow reflectivity (0.8–1.0) that overrides vegetation and soil signals.

3.3. Total Effect of GWP and CO2 Sequestration

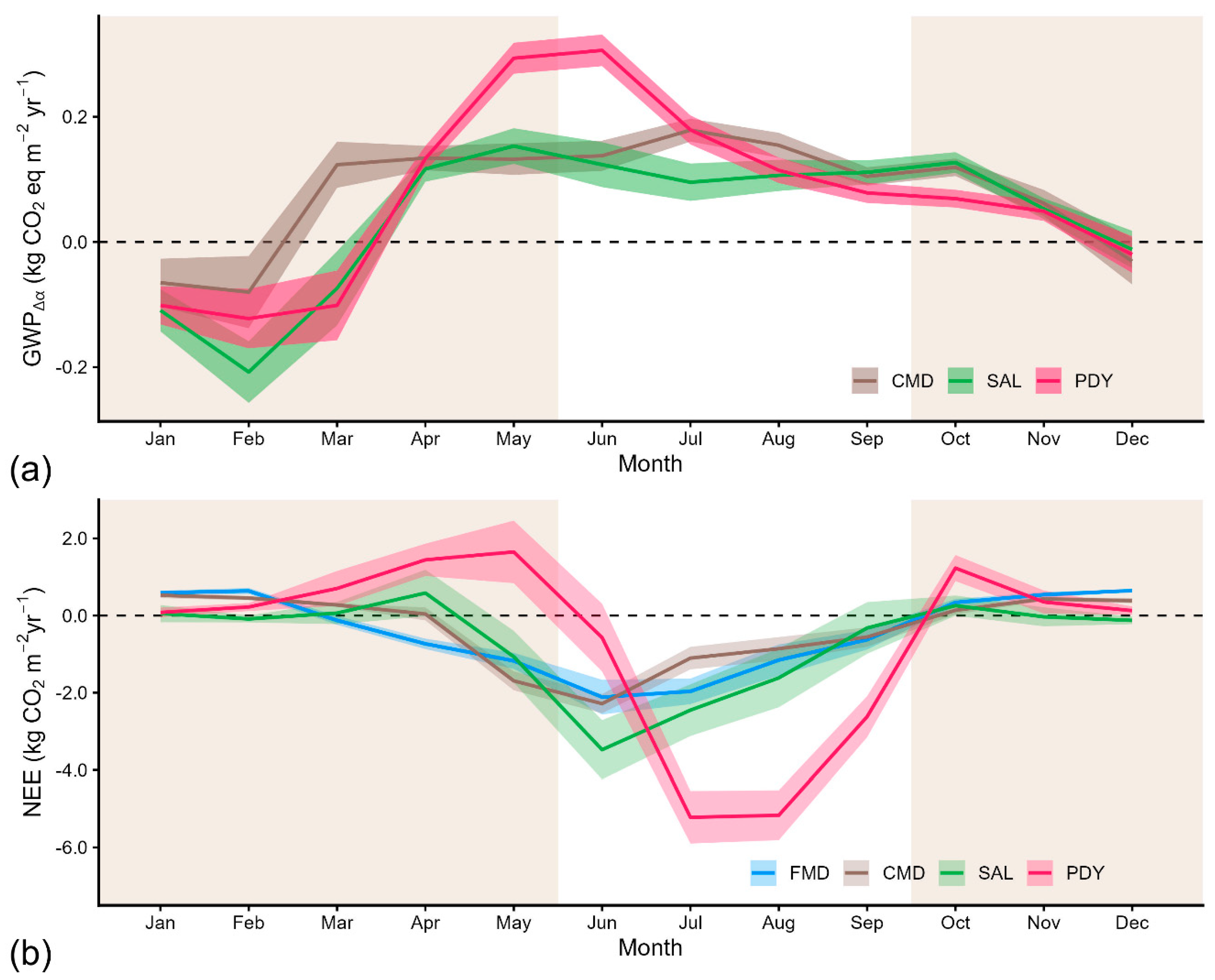
The reduced annual mean α in converted land uses (CMD, SAL, and PDY) and positive GWP∆α indicated that the conversion of native FMDs to intensified or degraded ecosystems would exert a distinct biophysical warming effect. And the α-induced GWP (GWP∆α) yields positive forcing equivalents of 0.083, 0.041, and 0.073 kg CO2 eq m−2 yr−1 for the CMD, SAL, and PDY, respectively (Table 2). These α-driven warming effects, however, were limited, with GWP∆α offsetting less than 5% of the annual CO2 sequestration across all land-use types. Seasonal variations in RF were characterized by a shift from transient cooling to sustained warming for all land uses, exhibiting negative RF (cooling) from January–March (with the SAL being an exception, whose cooling effect ceased one month earlier) and positive RF (warming) in April–December In terms of GWP∆α intra-annual variability, the PDY displayed the highest variability, with GWP∆α peaking sharply in May and June, while the CMD and SAL showed prolonged plateaus, signaling a more stable warming effect throughout the year (Figure 5).
The studied grassland sites functioned as a minor source of CH4 and N2O but a significant sink for CO2 in the growing seasons of 2020~2022 (Figure 6). Compared to the CO2 sequestration in original land-use FMD, mowing (CMD) slightly reduced it and the SAL exhibited higher interannual variability, but none of the differences were statistically significant. When integrating biophysical (α) and biogeochemical (GHG) GWP, a clear divergence in net climatic impact emerged. The net climatic impacts (after uncertainty propagation) of GWP∆α, G W P C H 4 , G W P N 2 O and the NEE are −1.690 ± 0.262, −1.151 ± 0.271, −1.861 ± 0.360, 1.897 ± 1.639 kg CO2 m−2 yr−1 for the FMD, CMD, SAL and PDY, respectively. In the CMD and SAL, the synergistic warming effects of α reduction and CH4/N2O emissions were readily offset by robust carbon sinks. But this offsetting capacity failed in the PDY. The transition to PDYs could result in the highest net positive GWP (p < 0.001), primarily driven by disproportionately high CH4 emissions, which exceeded the magnitude of their NEE by twofold, transforming the system into a potent net warming source.

3.4. Machine Learning Analysis of α Drivers

Using Random Forest algorithms, we modeled the dynamic responses of growing season and non-growing season surface α across four land uses in the saline-alkaline agropastoral ecotone, Changling. Results showed that the drivers of α were highly land use-specific and season-specific (Figure 7). In growing seasons, soil moisture (SWC) emerged as a dominant predictor of α across all four land uses (Figure 7, left panels); meanwhile, vegetation indices (NDVI and LAI) played a primary role in determining α for the FMD and PDY (Figure 7a,g), but their relative importance was lower in the degraded (SAL) and managed (CMD) sites; the effects of temperature and radiation are relatively minor. In non-growing seasons, the importance of SWC diminished significantly except in the undisturbed site FMD, while the snow-cover-related NDSI became the decisive factor of α for the CMD and SAL.
To further elucidate the non-linear coupling of drivers during the growing season, SHAP force plots were employed to decompose individual contributions under varying soil moisture regimes (Figure 8).
SWC stood out in determining that the effects of biophysical drivers on α show a bifurcated response contingent upon SWC thresholds in the FMD and CMD. When SWC was above the average (hydric state, Figure 7a,b), positive SWC anomalies significantly attenuated α through enhanced surface absorption (darkening effect), while when SWC was below the average (xeric state, Figure 7e,f), increases in SWC contribute to an elevation in α. In contrast, the PDY exhibited an opposite response regime to that of the FMD and CMD, where SWC increased α at hydric condition (Figure 7d), a phenomenon potentially attributed to the increasing obstruction of water body energy absorption by the denser rice canopy. This suggests that while SWC acts as a universal “biophysical balancer”, its specific influence on α deviation is modulated by ecosystem-specific surface properties across landscapes. In the subsets divided by high/low SWC, variables like Rn and Ts slightly enhanced α, possibly because of the soil surface drying out and warming up, induced by increasing Rn, which lit up the surface and made soil more reflective.
Our analysis revealed ecosystem-specific heterogeneity of α, i.e., the distinct divergent sensitivities to environmental drivers across land uses. For meadow steppes and agroecosystems (FMD, CMD, and PDY), a profound sensitivity of α to biotic indices, specifically NDVI and LAI, alongside SWC, addressed the vital role of biophysical regulation, i.e., canopy structure and moisture availability, on α for well-vegetated or managed landscapes. In contrast, the SAL exhibited a heightened dependence of α on abiotic radiative drivers, i.e., Rn and Ts, but an attenuated response to NDVI and LAI. This suggests that abiotic factors dominate the RF regime over biological regulation in degraded or high-salinity systems.

4. Discussion

4.1. Land-Use Impact on GWP: Balancing GHG and α-Induced Radiative Forcing

GHG variations across land-use types are primarily driven by distinct hydro-thermal conditions and microbial activity. In this study, the PDY was the predominant CH4 source, as prolonged flooding creates anaerobic environments that hinder CH4 oxidation while providing optimal condition for rhizosphere methanogens [47]. This thermally enhanced methanogenesis, coupled with biological CH4 release via rice aerenchyma, explains why rice cultivation accounts for ~40.1% of China’s agricultural CH4 emission. The aerobic conditions in the meadow systems (FMD, CMD, and SAL) result in negligible or negative CH4 fluxes. These well-aerated soils suppress anaerobic methanogens while facilitating atmospheric CH4 oxidation by robust methanotrophs. Consequently, in the absence of rice vascular pathways, these meadows often function as CH4 sinks. Critically, the saline-alkali nature of the soil in the Songnen Plain acts as a fundamental constraint on these biogeochemical processes. In the degraded SAL site, where pH (10.7) and electrical conductivity (1143.28 us/cm, Table 2) were the highest among land uses, CH4 fluxes remained negligible. High salinity restricts methanogen and methanotroph diversity, with CH4 emissions often decreasing due to reduced activity of methanogenesis (mcrA) and methanotrophy (pmoA) genes [48]. Another reason might be the osmotic stress of high salinity [49]. Elevated Na+ concentrations increase environmental osmotic pressure, leading to the dehydration of methanogenic archaea or the diversion of metabolic energy toward maintaining intracellular ionic balance, thereby directly inhibiting their methanogenic activity [50]. Thus, the high salinity and alkalinity in the SAL, coupled with soil-crusting-driven obstructed water infiltration, suppress primary productivity and limit organic substrate availability. This restricts the carbon “fuel” necessary for microbial methane metabolism, effectively neutralizing the warming potential from CH4 in degraded saline lands. In contrast, N2O fluxes remained negligible across all studied sites, a phenomenon largely attributable to the absence of intensive nitrogen fertilization compared to high-input systems like maize fields. Unlike in high-input maize fields, N2O emissions in these ecosystems are constrained by low nitrogen availability and cooler temperatures (particularly FMD and SAL), creating conditions unfavorable for the microbial processes typically driving N2O production. Our results are consistent with findings from other agro-pastoral ecotones in China, indicating that N2O emissions remain at extremely low levels in grassland systems with low nitrogen inputs and well-aerated soils, as microbial processes are constrained by low temperatures and limited organic substrate availability [51].
Our observed CH4 fluxes from rice paddies and grasslands are consistent with the ranges reported for the Songnen Plain and Northeast China [52]. In this study, the seasonal average CH4 emission from the PDY was 5.03 kg CO2 m−2 yr−1, which falls within the typical range of 1.26~7.154 kg CO2 m−2 yr−1 observed in a previous study [53] but is higher than the 0.78 kg CO2 m−2 yr−1 reported by [3]. Compared to natural ecosystems, the methane emission in our PDY site is higher than the values reported for degraded saline-alkaline grasslands of ~0.02 kg CO2 m−2 yr−1 in the Songnen Plain [54], attributable to its long-term flooded conditions and high organic carbon input. For the grassland sites (FMD and CMD), our findings of weak methane uptake or near-zero flux align with the regional characteristics of semi-arid agropastoral ecotones, where soil moisture limits methanogenic activity [55]. These comparisons confirm that while the paddy fields in this region represent a significant local methane source, the values recorded in our study are representative of the regional land-use conversion impact rather than an overestimation.
The significant difference in α between sites, despite similar microclimatic forcing, highlights the decisive role of land management. During the growing seasons, the PDY’s low α is driven by the high absorptivity of the water canopy. Conversely, sparse vegetation at the CMD and SAL exposes dark soil surfaces, resulting in lower α than densely vegetated FMD. The slightly higher α at the SAL relative to the CMD likely reflects the presence of reflective saline-alkaline crusts. During the non-growing season, the FMD becomes the least reflective site, with its tall standing litter exerting a “snow-masking effect” and creating a darker surface than the uniform snowpacks at more heavily managed sites. These findings suggest that grazing exclusion (FMD) modulates the local energy balance through these distinct biophysical feedbacks, alongside its impacts on carbon sequestration.
Land-use divergence in the Songnen Plain influences GWP through two primary pathways: altering surface α and modulating GHG emissions. The conversion of native FMDs to managed (CMD) or degraded (SAL) grasslands triggers a persistent biophysical warming, as the reduction in α generates a positive RF. Specifically, clipping manipulations can reduce NDVI by up to 0.2, resulting in a warming RF range from 4.6~15.9 W m−2. While the CH4 -induced GWP in the PDY remains orders of magnitude greater, the α-driven warming at the CMD and SAL is a critical, yet often overlooked component of the net climatic impact. While this α-driven warming is largely offset by robust carbon sinks (NEP), the efficiency of this trade-off is highly sensitive to regional biophysical characteristics, for instance, vegetation structure and soil moisture. These findings align with a concerning global trend where intensification, e.g., fertilization and high-density grazing, transitions managed grasslands from climate coolers to warmers. To mitigate this, sustainable management practices, such as optimized grazing and the restoration of degraded pastures (e.g., SAL) are essential to preserve surface α and maximize carbon sequestration, ensuring the long-term efficiency of grasslands in global climate mitigation [56].

4.2. Mechanisms Governing α

Our findings highlight that soil moisture is as crucial as vegetation indices in determining surface α among managed land uses (FMD, CMD and PDY) of the saline-alkaline agropastoral ecotone in Northeast China. The observed α variations are underpinned by distinct quantitative relationships between surface biophysical properties and radiative balance. During the growing season, vegetation structure (LAI) and soil moisture serve as primary determinants, exhibiting significant negative correlations with albedo (r = −0.462 and −0.472, respectively). However, the regulatory mechanisms exhibit a clear seasonal threshold between the growing and non-growing seasons. During the growing seasons, α is shaped by a coupled biotic and soil moisture control. In the FMD and CMD, SWC anomalies significantly attenuate α through surface darkening when above the average (hydric state). This mechanism shifts abruptly during the non-growing seasons, where the snow-cover related NDSI becomes the decisive factor. A critical “snow-masking” effect is observed in the FMD (Figure 3 and Figure 5), while other sites (CMD, SAL) maintain a continuous, highly reflective snowpack due to the absence of standing residues; the protruding vegetation structure at the undisturbed FMD site traps more radiation. This reversal, where the FMD’s α drops significantly below other sites during January–March, demonstrates how vegetation–snow interactions create a biophysical threshold that modulates regional climate feedback.
Th coupled biotic-moisture control over α arises from the interplay between canopy structure and soil background. Under xeric conditions, the counterintuitive rise in α with SWC is driven by vegetation expansion masking dark backgrounds. Increasing SWC triggers leaf development and elevates LAI, replacing the dark-toned substrate with green canopy layers that exhibit higher hemispherical reflectance than the soil–litter complex. Conversely, under hydric conditions, moisture saturation reduces α through refractive index shifts that darken the soil. In these environments, the saturated, low-reflectance substrate acts as a “background trap”, where photons penetrating foliage gaps undergo multiple reflections and enhanced absorption rather than being reflected. This synergistic mechanism is supported by quantitative evidence showing that α is significantly sensitive to vegetation index (NDVI) and soil moisture (SWC), which together explain the non-linear dynamics of the soil–vegetation continuum.
The directional divergence in the influence of SWC on α reflects the shifting interplay between vegetation and soil reflectance, governed by an ecosystem’s hydrological state. In drainable ecosystems (FMD, CMD), rising SWC under hydric conditions primarily reduces α through soil darkening and increased optical absorption. Conversely, in inundated agroecosystems (like the PDY), increased SWC drives the canopy closure that shields the highly absorptive water background, causing α to rise via enhanced surface reflectance. Ultimately, the SWC-α feedback hinges on the trade-off between biophysical structure-driven enhancement and optical absorption-driven attenuation.
Furthermore, surface α regulation follows distinct pathways based on land uses: while less saline-alkali ecosystems are shaped by coupled biotic-soil moisture controls, degraded saline-alkali meadows (SALs) are almost exclusively abiotic-driven. In SAL systems, SWC and snowfall regulate seasonal α, with a unique positive feedback where high irradiance triggers rapid evaporation and salt crust accumulation. This “white surface” effect boosts reflectance, highlighting the critical role of land management in dictating surface–atmosphere feedback mechanisms. Quantitative modeling supports this, as soil moisture serves as a significant independent variable in both growing and non-growing seasons, with a total impact on α comparable to that of vegetation greenness.

4.3. Evaluation of Hypotheses

Our findings provided robust evidence to support the two central hypotheses proposed in this study while systematically achieving our research objectives. Regarding the first hypothesis, results demonstrated that anthropogenic interventions, such as clipping and reclamation, along with natural degradation, significantly reshape the seasonal dynamics of RFΔα compared to undisturbed meadows (FMD). Specifically, the CMD, SAL, and PDY all exhibite positive annual GWPΔα values of 0.083, 0.041 and 0.073 kg CO2eq m−2 yr−1, respectively, confirming a distinct biophysical warming effect resulting from reduced α. In quantifying the extent to which RFΔα offsets NEE impacts (Objective 2), we found that α-induced warming typically offset less than 5% of annual CO2 sequestration across most sites (Table 3). Though only an integrated GWP assessment for growing season α, CH4 and N2O values were available due to the constraints of periodic gas sampling, and a profound divergence occurred in the PDY. Driven by CH4 emissions that were three orders of magnitude higher than other land uses (5.04 kg CO2 m−2 yr−1), the biogeochemical warming in the PDY far exceeded its NEE cooling capacity, transforming the ecosystem into a potent net warming source during growing seasons.
Furthermore, the study fully supported the second hypothesis, revealing that α regulation mechanisms were characterized by seasonal thresholds and land-use-specific sensitivities. Machine learning confirmed that the mechanisms regulating α vary significantly by season (Figure 7, Table 4). Soil moisture was identified as the dominant predictor of α across all four land uses during the growing season; however, in the non-growing season, the influence of SWC diminished as snow-related NDSI became the decisive factor for the CMD and SAL. The transition from moisture/biotic dominance in the growing seasons to snow-dominance in the non-growing seasons, evidenced by the “snow-masking” reversal in the FMD, confirms the existence of threshold-driven biophysical feedbacks. This also revealed a fundamental shift from coupled biotic-moisture control in productive ecosystems (FMD, PDY) to a predominantly abiotic-driven regime in degraded saline-alkaline systems (SAL), successfully addressing our third objective regarding seasonal response mechanisms.

4.4. Practical Feasibility and Albedo Trade-Offs in Land Restoration

The conversion of native FMDs to managed (CMD) or degraded (SAL) ecosystems exerts a distinct biophysical warming effect due to reduced annual mean α. Consequently, restoring degraded pastures (e.g., SAL to FMD) through grazing exclusion offers a pathway to climate mitigation.
However, this restoration involves complex α trade-offs. While FMD restoration maximizes carbon sequestration and increases α during the growing season (providing a cooling effect compared to the SAL), it also introduces the aforementioned “snow-masking” warming effect in winter. Despite this winter warming, the annual α of the FMD (0.301) remains higher than that of the SAL (0.289). Thus, the net biophysical impact of restoring the SAL to FMD is a cooling effect that, when combined with robust carbon sinks, enhances the region’s sustainable capability in global climate mitigation. Implementing such management is practically feasible and critical for land governance in the Songnen Plain.
Current rice fertilization and intensive grazing practices present significant challenges to climate change mitigation. In paddy fields (PDYs), organic fertilizer application may reduce CH4 and CO2 emissions but often stimulates N2O production. This trade-off is driven by enhanced organic nitrogen ammonification, where accumulated NH4+-N ultimately increases N2O emissions [51,57]. Furthermore, grazing intensity is a critical driver of emissions; intensive grazing can increase emissions by over 68% compared to ungrazed areas [58]. To mitigate the net warming effect in the PDY, alternate wetting and drying (AWD) irrigation is recommended to suppress CH4 emissions by 40% without compromising yield [59].

4.5. Limitations

While this multi-dimensional analysis yields significant insights into GWP dynamics, certain limitations merit discussion. Primarily, our assessment relies on site-specific observations of both α and GHG fluxes. Due to the inherent constraints of gas sampling intervals, high-frequency observations across the growing season and non-growing season (winter) remained unattainable. Consequently, our quantified GWP contributions are only representative of the growing season GWP. However, given the acknowledged low microbial activity during the winter, this temporal gap likely exerts a negligible influence on the overall trends, while the observed patterns and inter-class variances remain scientifically robust. Since the majority of biogenic flux and vegetation-driven albedo changes occur during this window, the growing season GWP captures the most dynamic component of the ecosystem’s climate impact. However, we noticed the importance of maintaining observations as continuously and completely as possible, because the typical steppe of Inner Mongolia was reported to still hold a 30% CH4 uptake ability in non-growing seasons [55]. Whether freeze–thaw events affect GHG exchange remains inconclusive in different ecosystems [60,61]. It is our future priority to expand our measurements to a year-round scale in future studies once continuous gas-sensing technology becomes more accessible, allowing us to validate whether the growing season trends hold true for the full annual budget.
While automated continuous monitoring is ideal, such equipment for CH4 was not available at our field site during the study period. However, manual static chamber sampling remains a robust and widely adopted standard in field ecology, particularly for comparative studies across multiple land-use types where technical and financial constraints limit the deployment of automated systems. Furthermore, for N2O, automated field-ready measurement systems are currently not mass-produced or widely accessible for large-scale multi-site deployment. Manual static chamber sampling, despite its lower frequency compared to eddy covariance or automated chambers, remains a standardized, reliable, and primary technique in ecosystem ecology for quantifying CH4 and N2O fluxes. It is by no means an outdated approach and is widely accepted for establishing annual budgets and comparing land-use impacts. While some pulse emissions might be underrepresented, the sampling frequency was sufficient with sampling conducted on the same day to ensure the comparability of climatic conditions, and to capture the dominant seasonal trends and the significant disparities between the four land-use types.
From a spatial perspective, the representativeness of α-induced GWP presents ongoing challenges. While incoming solar radiation ( R S _ IN ) can be reasonably extrapolated to larger spatial scales (e.g., several kilometers), temporal extrapolation is difficult due to the high sensitivity of R S _ IN to atmospheric depth. Additionally, the disparate impacts of wind, vegetation, and landscape heterogeneity on α are difficult to resolve via remote sensing, particularly given the dynamic nature of canopy light absorption [42]. While this study used vegetation indices and meteorological factors to elucidate α dynamics, the underlying mechanisms governing the reflectance of the canopy and soil background are multifaceted. Our analysis did not fully decouple the relative contributions of these specific components, nor explore their divergence across critical phenological stages.
Future research should disentangle how non-vegetated components influence radiative transfer, either through shifts in intrinsic physical properties or interactions with vegetation. Moreover, plant physiological traits, such as canopy chlorophyll concentrations, may further modulate α. Incorporating these physiological and mechanical drivers will further refine our understanding of how land-use types in the Songnen Plain govern the complex feedback loops between the land surface and the regional climate.

5. Conclusions

This study provides an integrated analysis revealing how different land-use types in the Songnen Plain influence GWP via surface α and GHG (CH4 and N2O), driven by an interplay of meteorological and biotic factors. We evaluated the GWPΔα variations in the CMD, SAL, and PDY relative to the undisturbed, native FMD (serving as the reference site). Our results demonstrate that GHG-induced GWP exhibits significant divergence across ecosystems, primarily regulated by the synergetic effects of climate factors, soil conditions, and vegetation characteristics. Annual GWPΔα remains positive for the CMD, SAL, and PDY, as their decreased α compared to the FMD induces a warming effect. The most prominent CH4 emission is found in the PDY ( GWP C H 4 being 5.03 kg CO2 m−2 yr−1), exceeding that in other land uses by three orders of magnitude. N2O emissions are consistently stable and minimal across land uses. Taking the NEE into consideration, GHG emission and α change result in a net warming effect for the PDY, while GWP of other land uses can be readily offset by the NEE. Machine learning identified SWC as a dominant predictor of α across all four land uses in growing season. Meanwhile, vegetation indices play a critical role in the FMD and PDY. We further found that α in less saline-alkali ecosystems (FMD, CMD and PDY) is shaped by coupled biotic and soil moisture controls, while α in the degraded SAL is almost exclusively abiotic-driven. Beyond the divergent α responses identified here, future studies should focus on the interplay between α and the dynamics of vegetation morphology, photosynthesis, and soil background changes.

Author Contributions

Conceptualization, F.Z., G.D. and C.S.; methodology, F.Z., G.D., C.S. and S.J.; software, F.Z. and G.D.; validation, F.Z., Z.S. and J.C.; formal analysis, F.Z.; investigation, F.Z., Z.S. and J.C.; data curation, F.Z., G.D., Z.S., J.C. and S.J.; writing—original draft preparation, F.Z.; writing—review and editing, C.S., R.L. and Z.X.; visualization, F.Z.; supervision, C.S., Z.X. and R.L.; funding acquisition, C.S. All authors have read and agreed to the published version of the manuscript.

Funding

This study was supported by the National Key Research and Development Program of China (2024YFE0198604, 2021YFD1300500), the Natural Science Foundation of China (32192464).

Data Availability Statement

The data presented in this study are available on request from the corresponding author due to privacy restrictions.

Conflicts of Interest

The authors declare no conflict of interest.

References

  1. Abraha, M.; Gelfand, I.; Hamilton, S.K.; Chen, J.; Robertson, G.P. Carbon debt of field-scale conservation reserve program grasslands converted to annual and perennial bioenergy crops. Environ. Res. Lett. 2019, 14, 024019. [Google Scholar] [CrossRef]
  2. Shen, N.; Tan, J.; Wang, W.; Xue, W.; Wang, Y.; Huang, L.; Yan, G.; Song, Y.; Li, L. Long-term changes of methane emissions from rice cultivation during 2000–2060 in China: Trends, driving factors, predictions and policy implications. Environ. Int. 2024, 191, 108958. [Google Scholar] [CrossRef]
  3. Qian, H.; Zhu, X.; Huang, S.; Linquist, B.; Kuzyakov, Y.; Wassmann, R.; Minamikawa, K.; Martinez-Eixarch, M.; Yan, X.; Zhou, F.; et al. Greenhouse gas emissions and mitigation in rice agriculture. Nat. Rev. Earth Environ. 2023, 4, 716–732. [Google Scholar] [CrossRef]
  4. Guo, F.; Dai, F.; Gong, P.; Zhou, Y. CHN-CH4: A gridded (0.1°  ×  0.1°) anthropogenic methane emission inventory of China from 1990 to 2020. Earth Syst. Sci. Data 2025, 17, 4799–4819. [Google Scholar] [CrossRef]
  5. Rivera, J.E.; Chará, J. CH4 and N2O emissions from cattle excreta: A review of main drivers and mitigation strategies in grazing systems. Front. Sustain. Food Syst. 2021, 5, 657936. [Google Scholar] [CrossRef]
  6. Cheng, M.; McCarl, B.; Fei, C. Climate change and livestock production: A literature review. Atmosphere 2022, 13, 140. [Google Scholar] [CrossRef]
  7. Sy, S.; Quesada, B. Anthropogenic land cover change impact on climate extremes during the 21st century. Environ. Res. Lett. 2020, 15, 034002. [Google Scholar] [CrossRef]
  8. Liang, S.; Ziegler, A.D.; Reich, P.B.; Zhu, K.; Wang, D.; Jiang, X.; Chen, D.; Ciais, P.; Zeng, Z. Climate mitigation potential for targeted forestation after considering climate change, fires, and albedo. Sci. Adv. 2025, 11, eadn7915. [Google Scholar] [CrossRef] [PubMed]
  9. Hasler, N.; Williams, C.A.; Denney, V.C.; Ellis, P.W.; Shrestha, S.; Terasaki Hart, D.E.; Wolff, N.H.; Yeo, S.; Crowther, T.W.; Werden, L.K.; et al. Accounting for albedo change to identify climate-positive tree cover restoration. Nat. Commun. 2024, 15, 2275. [Google Scholar] [CrossRef]
  10. Ouyang, Z.; Sciusco, P.; Jiao, T.; Feron, S.; Lei, C.; Li, F.; John, R.; Fan, P.; Li, X.; Williams, C.A.; et al. Albedo changes caused by future urbanization contribute to global warming. Nat. Commun. 2022, 13, 3800. [Google Scholar] [CrossRef] [PubMed]
  11. Zhang, M.; Gao, Y.; Ting, M.; Yu, Y.; Wang, G. Land-use induced changes in extreme temperature predominantly influenced by downward longwave radiation. Commun. Earth Environ. 2024, 5, 758. [Google Scholar] [CrossRef]
  12. Forster, P.; Storelvmo, T.; Armour, K.; Collins, W.; Dufresne, J.-L.; Frame, D.; Lunt, D.J.; Mauritsen, T.; Palmer, M.D.; Watanabe, M.; et al. The Earth’s energy budget, climate feedbacks and climate sensitivity. In Climate Change 2021—The Physical Science Basis: Working Group I Contribution to the Sixth Assessment Report of the Intergovernmental Panel on Climate Change; Intergovernmental Panel on Climate Change, Ed.; Cambridge University Press: Cambridge, UK, 2023; pp. 923–1054. [Google Scholar]
  13. Creutzig, F.; Ravindranath, N.H.; Berndes, G.; Bolwig, S.; Bright, R.; Cherubini, F.; Chum, H.; Corbera, E.; Delucchi, M.; Faaij, A.; et al. Bioenergy and climate change mitigation: An assessment. GCB Bioenergy 2015, 7, 916–944. [Google Scholar] [CrossRef]
  14. Bright, R.M. Metrics for biogeophysical climate forcings from land use and land cover changes and their inclusion in life cycle assessment: A critical review. Environ. Sci. Technol. 2015, 49, 3291–3303. [Google Scholar] [CrossRef]
  15. Smith, C.J.; Kramer, R.J.; Myhre, G.; Forster, P.M.; Soden, B.J.; Andrews, T.; Boucher, O.; Faluvegi, G.; Fläschner, D.; Hodnebrog, Ø.; et al. Understanding rapid adjustments to diverse forcing agents. Geophys. Res. Lett. 2018, 45, 12023–12031. [Google Scholar] [CrossRef] [PubMed]
  16. Arora, V.K.; Montenegro, A. Small temperature benefits provided by realistic afforestation efforts. Nat. Geosci. 2011, 4, 514–518. [Google Scholar] [CrossRef]
  17. Bonan, G.B. Forests and climate change: Forcings, feedbacks, and the climate benefits of forests. Science 2008, 320, 1444–1449. [Google Scholar] [CrossRef] [PubMed]
  18. Loarie, S.R.; Lobell, D.B.; Asner, G.P.; Mu, Q.; Field, C.B. Direct impacts on local climate of sugar-cane expansion in Brazil. Nat. Clim. Change 2011, 1, 105–109. [Google Scholar] [CrossRef]
  19. Wang, Z.; Li, Q.; Li, X.; Song, C.; Zhang, G. Sustainable agriculture development in saline-alkali soil area of Songnen Plain, Northeast China. Chin. Geogr. Sci. 2003, 13, 171–174. [Google Scholar] [CrossRef]
  20. Wang, Z.; Li, Q.; Li, X.; Song, C.; Zhang, G. Saline-alkali land management and countermeasures of sustainable agricultural development in Songnen Plain. Chin. J. Eco-Agric. 2004, 12, 161–163. [Google Scholar]
  21. Sun, Z.; Ding, T.; Sun, C.; Gao, P.; Li, Y.; Li, Y.; Wei, Y.; Zhou, K.; Yao, Z.; Lai, Q. Assessment of saline-alkaline water quality and rice-crab co-culture improvement effects in the Songnen Plain. Sci. Rep. 2026, 16, 7053. [Google Scholar] [CrossRef]
  22. Fagodiya, R.K.; Malyan, S.K.; Singh, D.; Kumar, A.; Yadav, R.K.; Sharma, P.C.; Pathak, H. Greenhouse gas emissions from salt-affected soils: Mechanistic understanding of interplay factors and reclamation approaches. Sustainability 2022, 14, 11876. [Google Scholar] [CrossRef]
  23. Chen, C.; Li, Y.; Wang, X.; Luo, X.; Li, Y.; Cheng, Y.; Zhu, Z. Biophysical effects of croplands on land surface temperature. Nat. Commun. 2024, 15, 10901. [Google Scholar] [CrossRef]
  24. Ma, J.; Feng, X.; Wang, S.; Liu, F.; Li, Y. Drivers and reduction potential of carbon emissions from cultivated land use. Catena 2024, 247, 108508. [Google Scholar] [CrossRef]
  25. Yang, Y.; Wang, K.; Liu, D.; Zhao, X.; Fan, J.; Li, J.; Zhai, X.; Zhang, C.; Zhan, R. Spatiotemporal variation characteristics of ecosystem service losses in the agro-pastoral ecotone of Northern China. Int. J. Environ. Res. Public Health 2019, 16, 1199. [Google Scholar] [CrossRef]
  26. Li, W.; Hu, B.; Yan, Z.; Liu, S.; Shi, P.; Zhu, Y.; Li, H. The socio-ecological implications of shifting patterns of cropland use in northeast China. J. Clean. Prod. 2024, 443, 141050. [Google Scholar] [CrossRef]
  27. Lobell, D.B.; Asner, G.P. Moisture effects on soil reflectance. Soil Sci. Soc. Am. J. 2002, 66, 722–727. [Google Scholar] [CrossRef]
  28. Jiao, K.; Liu, Z.; Wang, W.; Yu, K.; McGrath, M.J.; Xu, W. Carbon cycle responses to climate change across China’s terrestrial ecosystem: Sensitivity and driving process. Sci. Total Environ. 2024, 915, 170053. [Google Scholar] [CrossRef]
  29. Chrysoulakis, N.; Mitraka, Z.; Gorelick, N. Exploiting satellite observations for global surface albedo trends monitoring. Theor. Appl. Climatol. 2019, 137, 1171–1179. [Google Scholar] [CrossRef]
  30. Zheng, L.; Zhao, G.; Dong, J.; Ge, Q.; Tao, J.; Zhang, X.; Qi, Y.; Doughty, R.B.; Xiao, X. Spatial, temporal, and spectral variations in albedo due to vegetation changes in China’s grasslands. ISPRS J. Photogramm. Remote Sens. 2019, 152, 1–12. [Google Scholar] [CrossRef]
  31. Tian, L.; Zhang, Y.; Zhu, J. Decreased surface albedo driven by denser vegetation on the Tibetan Plateau. Environ. Res. Lett. 2014, 9, 104001. [Google Scholar] [CrossRef]
  32. Hou, Z.; Zhang, L.; Peng, J.; Forzieri, G.; Jia, A.; Xiao, Z.; Qu, Y.; Lin, J.; Ji, D.; Zhu, Z.; et al. Radiative forcing reduced by early twenty-first century increase in land albedo. Nature 2025, 641, 1162–1171. [Google Scholar] [CrossRef]
  33. McMillen, R.T. An eddy correlation technique with extended applicability to non-simple terrain. Bound.-Layer Meteorol. 1988, 43, 231–245. [Google Scholar] [CrossRef]
  34. Wilczak, J.M.; Oncley, S.P.; Stage, S.A. Sonic anemometer tilt correction algorithms. Bound.-Layer Meteorol. 2001, 99, 127–150. [Google Scholar] [CrossRef]
  35. Webb, E.K.; Pearman, G.I.; Leuning, R. Correction of flux measurements for density effects due to heat and water vapour transfer. Q. J. R. Meteorol. Soc. 1980, 106, 85–100. [Google Scholar] [CrossRef]
  36. Burba, G.G.; McDermitt, D.K.; Grelle, A.; Anderson, D.J.; Xu, L. Addressing the influence of instrument surface heat exchange on the measurements of CO2 flux from open-path gas analyzers. Glob. Change Biol. 2008, 14, 1854–1876. [Google Scholar] [CrossRef]
  37. Foken, T.; Wichura, B. Tools for quality assessment of surface-based flux measurements. Agric. For. Meteorol. 1996, 78, 83–105. [Google Scholar] [CrossRef]
  38. Reichstein, M.; Falge, E.; Baldocchi, D.; Papale, D.; Aubinet, M.; Berbigier, P.; Bernhofer, C.; Buchmann, N.; Gilmanov, T.; Granier, A.; et al. On the separation of net ecosystem exchange into assimilation and ecosystem respiration: Review and improved algorithm. Glob. Change Biol. 2005, 11, 1424–1439. [Google Scholar] [CrossRef]
  39. Bright, R.M.; Lund, M.T. CO2-equivalence metrics for surface albedo change based on the radiative forcing concept: A critical review. Atmos. Chem. Phys. 2021, 21, 9887–9907. [Google Scholar] [CrossRef]
  40. Betts, R.A. Offset of the potential carbon sink from boreal forestation by decreases in surface albedo. Nature 2000, 408, 187–190. [Google Scholar] [CrossRef]
  41. Chen, J. Biophysical Models and Applications in Ecosystem Analysis; Michigan State University Press: East Lansing, MI, USA, 2021. [Google Scholar]
  42. Sciusco, P.; Chen, J.; Giannico, V.; Abraha, M.; Lei, C.; Shirkey, G.; Yuan, J.; Robertson, G.P. Albedo-induced global warming impact at multiple temporal scales within an upper midwest USA watershed. Land 2022, 11, 283. [Google Scholar] [CrossRef]
  43. Chen, T.; Guestrin, C. XGBoost: A scalable tree boosting system. In Proceedings of the 22nd ACM SIGKDD International Conference on Knowledge Discovery and Data Mining, San Francisco, CA, USA, 13–17 August 2016; pp. 785–794. [Google Scholar]
  44. Breiman, L. Random forests. Mach. Learn. 2001, 45, 5–32. [Google Scholar] [CrossRef]
  45. Carlsson, L.S.; Samuelsson, P.B.; Jönsson, P.G. Interpretable Machine Learning—Tools to interpret the predictions of a Machine Learning model predicting the electrical energy consumption of an electric arc furnace. Steel Res. Int. 2020, 91, 2000053. [Google Scholar] [CrossRef]
  46. Lundberg, S.M.; Lee, S.-I. A unified approach to interpreting model predictions. In Proceedings of the Neural Information Processing Systems, Long Beach, CA, USA, 4–9 December 2017. [Google Scholar]
  47. Dalal, R.C.; Allen, D.E. Greenhouse gas fluxes from natural ecosystems. Aust. J. Bot. 2008, 56, 369–407. [Google Scholar] [CrossRef]
  48. Yang, C.; Chen, Y.; Zhang, Q.; Qie, X.; Chen, J.; Che, Y.; Lv, D.; Xu, X.; Gao, Y.; Wang, Z.; et al. Mechanism of microbial regulation on methane metabolism in saline–alkali soils based on metagenomics analysis. J. Environ. Manag. 2023, 345, 118771. [Google Scholar] [CrossRef]
  49. Yang, W.; Yang, M.; Wen, H.; Jiao, Y. Global warming potential of CH4 uptake and N2O emissions in saline–alkaline soils. Atmos. Environ. 2018, 191, 172–180. [Google Scholar] [CrossRef]
  50. Rath, K.M.; Rousk, J. Salt effects on the soil microbial decomposer community and their role in organic carbon cycling: A review. Soil Biol. Biochem. 2015, 81, 108–123. [Google Scholar] [CrossRef]
  51. Cui, H.; Zhu, H.; Zhang, F.-M.; Wang, X.-Y.; Hou, S.-N.; Feng, W.-D. Soil amendments reduce CH4 and CO2 but increase N2O and NH3 emissions in saline-alkali paddy fields. Sci. Total Environ. 2024, 924, 171673. [Google Scholar] [CrossRef] [PubMed]
  52. Ouyang, Z.; Jackson, R.B.; McNicol, G.; Fluet-Chouinard, E.; Runkle, B.R.K.; Papale, D.; Knox, S.H.; Cooley, S.; Delwiche, K.B.; Feron, S.; et al. Paddy rice methane emissions across Monsoon Asia. Remote Sens. Environ. 2023, 284, 113335. [Google Scholar] [CrossRef]
  53. Cao, M.; Dent, J.B.; Heal, O.W. Methane emissions from China’s paddyland. Agric. Ecosyst. Environ. 1995, 55, 129–137. [Google Scholar] [CrossRef]
  54. Ren, R.; Xu, W.; Zhao, M.; Sun, W. Grazing offsets the stimulating effects of nitrogen addition on soil CH4 emissions in a meadow steppe in Northeast China. PLoS ONE 2019, 14, e0225862. [Google Scholar] [CrossRef]
  55. Chen, W.; Wolf, B.; Yao, Z.; Brüggemann, N.; Butterbach-Bahl, K.; Liu, C.; Han, S.; Han, X.; Zheng, X. Annual methane uptake by typical semiarid steppe in Inner Mongolia. J. Geophys. Res. Atmos. 2010, 115. [Google Scholar] [CrossRef]
  56. Godde, C.M.; Boone, R.B.; Ash, A.J.; Waha, K.; Sloat, L.L.; Thornton, P.K.; Herrero, M. Global rangeland production systems and livelihoods at threat under climate change and variability. Environ. Res. Lett. 2020, 15, 044021. [Google Scholar] [CrossRef]
  57. Liu, W.; Yuan, W.; Xu, S.; Shao, C.; Hou, L.; Xu, W.; Shi, H.; Pan, Q.; Li, L.; Kardol, P. Spatiotemporal patterns and drivers of methane uptake across a climate transect in Inner Mongolia Steppe. Sci. Total Environ. 2021, 757, 143768. [Google Scholar] [CrossRef]
  58. Yin, M.; Gao, X.; Tenuta, M.; Li, L.; Gui, D.; Li, X.; Zeng, F. Enhancement of N2O emissions by grazing is related to soil physicochemical characteristics rather than nitrifier and denitrifier abundances in alpine grassland. Geoderma 2020, 375, 114511. [Google Scholar] [CrossRef]
  59. Xuan, T.D.; Minh, T.T.N.; Rayee, R.; Dong, N.D.; Chien, N.X. Advances in mitigating methane emissions from rice cultivation: Past, present, and future strategies. Environ. Sci. Pollut. Res. Int. 2025, 32, 20232–20247. [Google Scholar] [CrossRef] [PubMed]
  60. Mastepanov, M.; Sigsgaard, C.; Dlugokencky, E.J.; Houweling, S.; Ström, L.; Tamstorf, M.P.; Christensen, T.R. Large tundra methane burst during onset of freezing. Nature 2008, 456, 628–630. [Google Scholar] [CrossRef] [PubMed]
  61. Qi, Y.; Dong, Y.; Yang, X.; Geng, Y.; Liu, L.; Li, M. Effects of grazing on carbon dioxide and methane fluxes in typical temperate grassland in Inner Mongolia, China. Resour. Sci. 2005, 27, 103–109. [Google Scholar]
Figure 1. Study area and EC tower locations (red pins in bottom left map) in Changling (red polygon).
Figure 1. Study area and EC tower locations (red pins in bottom left map) in Changling (red polygon).
Agronomy 16 00705 g001
Figure 2. Monthly CH4 (a) and N2O (b) emission fluxes of the four land uses in Changling.
Figure 2. Monthly CH4 (a) and N2O (b) emission fluxes of the four land uses in Changling.
Agronomy 16 00705 g002
Figure 3. EC tower-based multi-year average daily α (a), Δα relative to reference site FMD (b), DSR (c) and RF (d) of the four representative land uses in Changling during 2018–2022.
Figure 3. EC tower-based multi-year average daily α (a), Δα relative to reference site FMD (b), DSR (c) and RF (d) of the four representative land uses in Changling during 2018–2022.
Agronomy 16 00705 g003
Figure 4. Multi-year daily average of climatic factors and vegetation indices from 2018 to 2022. Rn (a), PAR (b), Ts (c), Ta (d), RH (e), SWC (f), VPD (g), NDSI (h), NDVI (i) and LAI (j).
Figure 4. Multi-year daily average of climatic factors and vegetation indices from 2018 to 2022. Rn (a), PAR (b), Ts (c), Ta (d), RH (e), SWC (f), VPD (g), NDSI (h), NDVI (i) and LAI (j).
Agronomy 16 00705 g004
Figure 5. Monthly average GWP∆α (a) and NEE (b) of the whole studied years (2020~2022). Positive values indicate warming, negative values indicate cooling.
Figure 5. Monthly average GWP∆α (a) and NEE (b) of the whole studied years (2020~2022). Positive values indicate warming, negative values indicate cooling.
Agronomy 16 00705 g005
Figure 6. Growing season GWP induced by GHG and α, in comparison with CO2 NEE. All data are based on overlapping years (2020–2022) and are restricted to the growing season (June–September) to ensure temporal consistency. Positive values indicate warming, negative values (net CO2 uptake) indicate cooling. (Patterns represent different sources, while colors represent studied sites).
Figure 6. Growing season GWP induced by GHG and α, in comparison with CO2 NEE. All data are based on overlapping years (2020–2022) and are restricted to the growing season (June–September) to ensure temporal consistency. Positive values indicate warming, negative values (net CO2 uptake) indicate cooling. (Patterns represent different sources, while colors represent studied sites).
Agronomy 16 00705 g006
Figure 7. SHAP summary plot of Random Forest model for predicting α in different land uses and between growing seasons (a,c,e,g) and non-growing seasons (b,d,f,h). The features are ranked in descending order of their overall importance (mean |SHAP value|). Each point on the plot represents an individual sample. The x-axis indicates the SHAP value, where a positive value denotes an increase in the α prediction and a negative value denotes a decrease. The color gradient represents the feature value, ranging from low (blue) to high (white).
Figure 7. SHAP summary plot of Random Forest model for predicting α in different land uses and between growing seasons (a,c,e,g) and non-growing seasons (b,d,f,h). The features are ranked in descending order of their overall importance (mean |SHAP value|). Each point on the plot represents an individual sample. The x-axis indicates the SHAP value, where a positive value denotes an increase in the α prediction and a negative value denotes a decrease. The color gradient represents the feature value, ranging from low (blue) to high (white).
Agronomy 16 00705 g007
Figure 8. Comparison of SHAP force plots predicting α for SWC > SWCavg (Left) and SWC < SWCavg (Right) samples of different land uses during growing seasons only. While both samples share the same base value, the specific feature contributions lead to divergent outcomes.
Figure 8. Comparison of SHAP force plots predicting α for SWC > SWCavg (Left) and SWC < SWCavg (Right) samples of different land uses during growing seasons only. While both samples share the same base value, the specific feature contributions lead to divergent outcomes.
Agronomy 16 00705 g008
Table 1. Information of the four eddy covariance flux towers.
Table 1. Information of the four eddy covariance flux towers.
Site IDLand UseLatitude (N)Longitude (E)GHG Data Spanα Data SpanDominant SpeciesManagement
CJL-FMDFenced meadow44.5968123.53002020~2024June 2018~December 2024Leymus chinensis
CJL-CMDClipped meadow44.6597123.56972020~2022June 2018~December 2022Leymus chinensisClipped in September
CJL-SALSaline-alkaline meadow44.6730123.59102020~2022June 2018~December 2022Chloris virgata
CJL-PDYPaddy rice field44.6064123.47442020~2024June 2018~December 2024Oryza sativa L.
Table 2. Soil characteristics of the four eddy covariance flux towers (sampled during the growing season of 2021, mean ± SE).
Table 2. Soil characteristics of the four eddy covariance flux towers (sampled during the growing season of 2021, mean ± SE).
Site IDpHSoil TypeElectrical Conductivity (us/cm)Soil Total Carbon (g/100 g)Soil Organic Carbon (g/100 g)Total Salt Content (g/kg)Altitude (m)TopographyHistorical Management
CJL-FMD10.5saline-alkali soil469.29 ± 48.041.31 ± 0.170.43 ± 0.081.20 ± 0.11141flat alluvial plainFormer meadows fenced since 2000s
CJL-CMD10.3626.59 ± 56.872.33 ± 0.100.76 ± 0.131.57 ± 0.13139Intensive clipping since 2010s
CJL-SAL10.71143.28 ± 87.671.98 ± 0.100.50 ± 0.062.79 ± 0.21140Natural degradation driven by salinization
CJL-PDY10.5669.12 ± 82.790.96 ± 0.080.40 ± 0.031.67 ± 0.20143Reclamation since 2010s
Table 3. Mean GWP and offset rates of major land uses in Changling during growing and non-growing seasons in 2020~2022. Positive values indicate warming, negative values indicate cooling (net CO2 uptake). Unit: g CO2 eq m−2 yr−1.
Table 3. Mean GWP and offset rates of major land uses in Changling during growing and non-growing seasons in 2020~2022. Positive values indicate warming, negative values indicate cooling (net CO2 uptake). Unit: g CO2 eq m−2 yr−1.
SiteGrowing SeasonNon-Growing SeasonWhole Year
NEEGWP∆αOffsetNEEGWP∆αOffsetNEEGWP∆αOffset
FMD−1796.2 210.3 −1586.6
CMD−1436.0146.910.2%210.346.9−22.3%−1338.983.06.2%
SAL−2432.3108.04.4%−53.83.97.3%−2705.541.11.5%
PDY−4396.7161.93.7%1756.121.4−1.2%−2854.273.32.6%
Table 4. Random Forest model performance metrics R2, RMSE, MAE and OOB for α modeling.
Table 4. Random Forest model performance metrics R2, RMSE, MAE and OOB for α modeling.
SeasonsSiteR2 ScoreRMSEMAEOOB Score
Growing seasonFMD0.50380.01800.01150.4654
CMD0.03500.06260.01200.7443
SAL0.45970.04360.01860.0143
PDY0.76830.01020.00770.7830
Non-growing seasonFMD0.93250.04480.02600.9321
CMD0.93090.06120.03020.8786
SAL0.05591.17780.10920.9016
PDY0.38240.24010.04360.9080
Disclaimer/Publisher’s Note: The statements, opinions and data contained in all publications are solely those of the individual author(s) and contributor(s) and not of MDPI and/or the editor(s). MDPI and/or the editor(s) disclaim responsibility for any injury to people or property resulting from any ideas, methods, instructions or products referred to in the content.

Share and Cite

MDPI and ACS Style

Zhao, F.; Dong, G.; Shi, Z.; Chen, J.; Jiang, S.; Xu, Z.; Lafortezza, R.; Shao, C. Global Warming Potential Induced by Albedo and Greenhouse Gases Across Different Land Uses of the Saline-Alkaline Agropastoral Ecotone in the Songnen Plain. Agronomy 2026, 16, 705. https://doi.org/10.3390/agronomy16070705

AMA Style

Zhao F, Dong G, Shi Z, Chen J, Jiang S, Xu Z, Lafortezza R, Shao C. Global Warming Potential Induced by Albedo and Greenhouse Gases Across Different Land Uses of the Saline-Alkaline Agropastoral Ecotone in the Songnen Plain. Agronomy. 2026; 16(7):705. https://doi.org/10.3390/agronomy16070705

Chicago/Turabian Style

Zhao, Fangyuan, Gang Dong, Zhenning Shi, Jingyan Chen, Shicheng Jiang, Zhuwen Xu, Raffaele Lafortezza, and Changliang Shao. 2026. "Global Warming Potential Induced by Albedo and Greenhouse Gases Across Different Land Uses of the Saline-Alkaline Agropastoral Ecotone in the Songnen Plain" Agronomy 16, no. 7: 705. https://doi.org/10.3390/agronomy16070705

APA Style

Zhao, F., Dong, G., Shi, Z., Chen, J., Jiang, S., Xu, Z., Lafortezza, R., & Shao, C. (2026). Global Warming Potential Induced by Albedo and Greenhouse Gases Across Different Land Uses of the Saline-Alkaline Agropastoral Ecotone in the Songnen Plain. Agronomy, 16(7), 705. https://doi.org/10.3390/agronomy16070705

Note that from the first issue of 2016, this journal uses article numbers instead of page numbers. See further details here.

Article Metrics

Article metric data becomes available approximately 24 hours after publication online.
Back to TopTop