Machine Learning-Driven Assessment of Soil Carbon Sequestration and Emission Reduction Potential in Tea Plantations
Abstract
1. Introduction
2. Materials and Methods
2.1. Data Source
2.2. Model Development and Validation
2.3. Model Simulation
3. Results
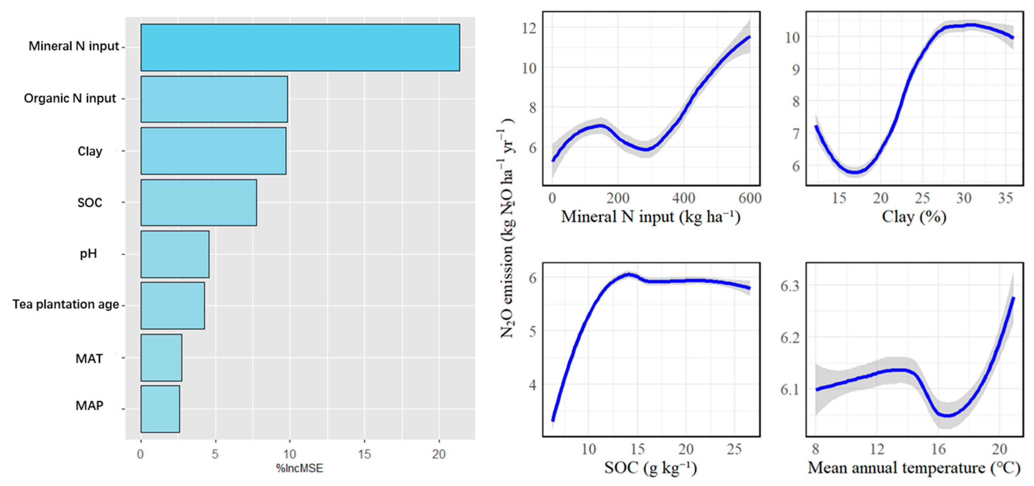
3.1. Model Performance and Variable Importance
3.2. Net GHG Emissions from Tea Plantations in China: Current Status
3.3. Net GHG Emissions from Tea Plantations in China: Mitigation Potential
4. Discussion
4.1. Dominant Controls on Soil N2O Emissions and SOC Dynamics in Tea Plantations
4.2. Current Status and Mitigation Potential of Net Greenhouse Gas Emissions from Tea Plantations in China
4.3. Limitations of This Study
5. Conclusions
Supplementary Materials
Author Contributions
Funding
Data Availability Statement
Conflicts of Interest
References
- World Resources Institute (WRI). Historical GHG Emissions. 2024. Available online: https://www.climatewatchdata.org/ghg-emissions?ap3c=IGatBOL2anIYOIIFAGatBOKBXgX-V3xkue2RkEci_4qxSd2HqA (accessed on 8 February 2026).
- Lal, R. Soil carbon sequestration impacts on global climate change and food security. Science 2024, 304, 1623–1627. [Google Scholar] [CrossRef]
- Smith, P.; Martino, D.; Cai, Z.; Gwary, D.; Janzen, H.; Kumar, P.; McCarl, B.; Ogle, S.; O’Mara, F.; Rice, C.; et al. Greenhouse gas mitigation in agriculture. Philos. Trans. R. Soc. B Biol. Sci. 2018, 363, 789–813. [Google Scholar] [CrossRef]
- FAO. FAOSTAT: Tea Production Data. Food and Agriculture Organization of the United Nations. 2024. Available online: https://www.fao.org/faostat/en/#data/QCL (accessed on 8 February 2026).
- Wang, D.; Wu, B.S.; Li, F.; Li, X.; Wang, Z.; Hou, J.; Cao, R.; Yang, W. Soil organic carbon stock in China’s tea plantations and their great potential of carbon sequestration. J. Clean. Prod. 2023, 421, 138485. [Google Scholar] [CrossRef]
- Paustian, K.; Lehmann, J.; Ogle, S.; Reay, D.; Robertson, G.P.; Smith, P. Climate-smart soils. Nature 2016, 532, 49–57. [Google Scholar] [CrossRef] [PubMed]
- Franzluebbers, A.J. Soil organic carbon sequestration and agricultural greenhouse gas emissions in the southeastern USA. Soil Tillage Res. 2005, 83, 120–147. [Google Scholar] [CrossRef]
- Pang, J.; Li, H.; Tang, X.; Geng, J. Carbon dynamics and environmental controls of a hilly tea plantation in southeast China. Ecol. Evol. 2019, 9, 9723–9735. [Google Scholar] [CrossRef]
- Zuo, R.; Ma, Y.; Tang, M.; Luo, H.; Li, J.; Liao, T.; Gong, Y.; Zhang, S.; Gong, J.; Yi, Y. Regional carbon storage dynamics driven by tea plantation expansion: Insights from Meitan County, China. Land 2025, 14, 227. [Google Scholar] [CrossRef]
- Butterbach-Bahl, K.; Baggs, E.M.; Dannenmann, M.; Kiese, R.; Zechmeister-Boltenstern, S. Nitrous oxide emissions from soils: How well do we understand the processes and their controls? Philos. Trans. R. Soc. B Biol. Sci. 2013, 368, 20130122. [Google Scholar] [CrossRef]
- Ni, K.; Liao, W.; Yi, X.; Niu, S.; Ma, L.; Shi, Y.; Zhang, Q.; Liu, M.; Ruan, J. Fertilization status and reduction potential in tea gardens of China. J. Plant Nutr. Fertil. 2019, 25, 421–432, (In Chinese in English Summary). [Google Scholar]
- Zhou, Z.; Liu, Y.; Zhu, Q.; Lai, X.; Liao, K. Comparing the variations and controlling factors of soil N2O emissions and NO3–-N leaching on tea and bamboo hillslopes. CATENA 2020, 188, 104463. [Google Scholar] [CrossRef]
- Yao, Z.; Wei, Y.; Liu, C.; Zheng, X.; Xie, B. Organically fertilized tea plantation stimulates N2O emissions and lowers NO fluxes in subtropical China. Biogeosciences 2015, 12, 5915–5928. [Google Scholar] [CrossRef]
- Hou, M.; Ohkama-Ohtsu, N.; Suzuki, S.; Tanaka, H.; Schmidhalter, U.; Bellingrath-Kimura, S.D. Nitrous oxide emission from tea soil under different fertilizer managements in Japan. CATENA 2015, 135, 304–312. [Google Scholar] [CrossRef]
- Zhang, W.; Yao, Z.; Zheng, X.; Liu, C.; Wang, R.; Wang, K.; Li, S.; Han, S.; Zuo, Q.; Shi, J. Effects of fertilization and stand age on N2O and NO emissions from tea plantations: A site-scale study in a subtropical region using a modified biogeochemical model. Atmos. Chem. Phys. 2020, 20, 6903–6919. [Google Scholar] [CrossRef]
- Wu, Z.; Hua, W.; Ni, K.; Yang, X.; Jiang, F. Effects of long-term organic substitution on soil nitrous oxide emissions in a tea (Camellia sinensis L.) plantation in China. Agronomy 2025, 15, 288. [Google Scholar] [CrossRef]
- Yu, H.; Han, X.; Zhang, X.; Meng, X.; Yue, Z.; Liu, X.; Zheng, N.; Li, Y.; Yu, Y.; Yao, H. Fertilizer-induced N2O and NO emissions in tea gardens and the main controlling factors: A recent three-decade data synthesis. Sci. Total Environ. 2023, 871, 162054. [Google Scholar] [CrossRef]
- Yao, Z.; Wang, Y.; Wang, R.; Liu, C.; Zheng, X. Nitrous oxide emissions and controlling factors of tea plantations in China. J. Agro-Environ. Sci. 2020, 39, 715–725, (In Chinese with English Summary). [Google Scholar]
- Liang, L.; Ridoutt, B.G.; Wang, L.; Xie, B.; Li, M.; Li, Z. China’s tea industry: Net greenhouse gas emissions and mitigation potential. Agriculture 2021, 11, 363. [Google Scholar] [CrossRef]
- Wang, Y.; Yao, Z.; Pan, Z.; Wang, R.; Yan, G.; Liu, C.; Su, Y.; Zheng, X.; Butterbach-Bahl, K. Tea-planted soils as global hotspots for N2O emissions from croplands. Environ. Res. Lett. 2020, 15, 104018. [Google Scholar] [CrossRef]
- Yang, L.; Nie, S.; Zhong, J.; Sheng, H.; Zhan, Y.U. Nitrous oxide emission from soil of tea plantation and its influencing factors: A meta-analysis. Soil Fertil. Sci. China 2023, 54, 1484–1492, (In Chinese in English Summary). [Google Scholar]
- Li, S.; Wu, X.; Xue, H.; Gu, B.; Cheng, H.; Zeng, J.; Peng, C.; Ge, Y.; Chang, J. Quantifying carbon storage for tea plantations in China. Agric. Ecosyst. Environ. 2011, 141, 390–398. [Google Scholar] [CrossRef]
- Hassan, M.U.; Aamer, M.; Mahmood, A.; Awan, M.I.; Barbanti, L.; Seleiman, M.F.; Bakhsh, G.; Alkharabsheh, H.M.; Babur, E.; Shao, J.; et al. Management strategies to mitigate N2O emissions in agriculture. Life 2020, 12, 439. [Google Scholar] [CrossRef]
- Padarian, J.; Minasny, B.; McBratney, A.B. Machine learning and soil sciences: A review aided by machine learning tools. Soil 2020, 6, 35–52. [Google Scholar] [CrossRef]
- Yu, Z.; Jiao, W.; Min, Q. Carbon footprints of tea production in smallholder plantations: A case study of Fenghuang Dancong tea in China. Ecol. Indic. 2024, 158, 111305. [Google Scholar] [CrossRef]
- Breiman, L. Random Forests. Mach. Learn. 2001, 45, 5–32. [Google Scholar] [CrossRef]
- Veisi, H. Introduction to SVM. In Learning with Fractional Orthogonal Kernel Classifiers in Support Vector Machines: Theory, Algorithms and Applications; Springer Nature: Singapore, 2023; pp. 3–18. [Google Scholar]
- Wu, C.L.; Chau, K.W.; Li, Y.S. Methods to improve neural network performance in daily flows prediction. J. Hydrol. 2009, 372, 80–93. [Google Scholar] [CrossRef]
- Zounemat-Kermani, M. Hourly predictive Levenberg–Marquardt ANN and multi linear regression models for predicting of dew point temperature. Meteorol. Atmos. Phys. 2012, 117, 181–192. [Google Scholar] [CrossRef]
- R Core Team. R: A Language and Environment for Statistical Computing; R Foundation for Statistical Computing: Vienna, Austria, 2022. [Google Scholar]
- Breiman, L.; Cutler, A.; Liaw, A.; Wiener, M. Breiman and Cutlers Random Forests for Classification and Regression. 2024. Available online: https://cran.r-project.org/web/packages/randomForest/randomForest.pdf (accessed on 8 February 2026).
- Meyer, D.; Dimitriadou, E.; Hornik, K.; Weingessel, A.; Leisch, F.; Chang, C.; Lin, C. Misc Functions of the Department of Statistics (e1071), TU Wien. 2025. Available online: https://cran.r-project.org/web/packages/e1071/e1071.pdf (accessed on 8 February 2026).
- Fritsch, S.; Guenther, F.; Wright, M.N.; Suling, M.; Mueller, S.M. Training of Neural Networks. 2019. Available online: https://cran.r-project.org/web/packages/neuralnet/neuralnet.pdf (accessed on 8 February 2026).
- Smith, P.; Smith, J.U.; Powlson, D.; McGill, W.; Arah, J.; Chertov, O.; Coleman, K.; Franko, U.; Frolking, S.; Jenkinson, D.; et al. A comparison of the performance of nine soil organic matter models using datasets from seven long-term experiments. Geoderma 1997, 81, 153–225. [Google Scholar] [CrossRef]
- Nash, J.E.; Sutcliffe, J.V. River flow forecasting through conceptual models part I—A discussion of principles. J. Hydrol. 1970, 10, 282–290. [Google Scholar] [CrossRef]
- IPCC. Climate Change 2022: Mitigation of Climate Change. Contribution of Working Group III to the Sixth Assessment Report of the Intergovernmental Panel on Climate Change; Cambridge University Press: Cambridge, UK, 2024. [Google Scholar]
- Wickham, H.; François, R.; Henry, L.; Müller, K.; Vaughan, D. A Grammar of Data Manipulation. 2026. Available online: https://cran.r-project.org/web/packages/dplyr/dplyr.pdf (accessed on 8 February 2026).
- Wickham, H.; Chang, W.; Henry, L.; Pedersen, T.L.; Takahashi, K.; Wilke, C.; Woo, K.; Yutani, H.; Dunnington, D.; van den Brand, T. Create Elegant Data Visualisations Using the Grammar of Graphics. 2026. Available online: https://cran.r-project.org/web/packages/ggplot2/ggplot2.pdf (accessed on 8 February 2026).
- Chen, D.; Li, Y.; Wang, C.; Fu, X.; Liu, X.; Shen, J.; Wang, Y.; Xiao, R.; Liu, D.L.; Wu, J. Measurement and modeling of nitrous and nitric oxide emissions from a tea field in subtropical central China. Nutr. Cycl. Agroecosyst. 2017, 107, 157–173. [Google Scholar] [CrossRef]
- Jarecki, M.K.; Parkin, T.B.; Chan, A.S.; Hatfield, J.L.; Jones, R. Greenhouse gas emissions from two soils receiving nitrogen fertilizer and swine manure slurry. J. Environ. Qual. 2008, 37, 1432–1438. [Google Scholar] [CrossRef]
- Weitz, A.M.; Linder, E.; Frolking, S.; Crill, P.M.; Keller, M. N2O emissions from humid tropical agricultural soils: Effects of soil moisture, texture and nitrogen availability. Soil Biol. Biochem. 2001, 33, 1077–1093. [Google Scholar] [CrossRef]
- Mei, K.; Wang, Z.; Huang, H.; Zhang, C.; Shang, X.; Dahlgren, R.A.; Zhang, M.; Xia, F. Stimulation of N2O emission by conservation tillage management in agricultural lands: A meta-analysis. Soil Tillage Res. 2018, 182, 86–93. [Google Scholar] [CrossRef]
- Cui, P.; Fan, F.; Yin, C.; Song, A.; Huang, P.; Tang, Y.; Zhu, P.; Peng, C.; Li, T.; Wakelin, S.A.; et al. Long-term organic and inorganic fertilization alters temperature sensitivity of potential N2O emissions and associated microbes. Soil Biol. Biochem. 2016, 93, 131–141. [Google Scholar] [CrossRef]
- Liu, H.; Zheng, X.; Li, Y.; Yu, J.; Ding, H.; Sveen, T.R.; Zhang, Y. Soil moisture determines nitrous oxide emission and uptake. Sci. Total Environ. 2022, 822, 153566. [Google Scholar] [CrossRef] [PubMed]
- Six, J.; Conant, R.T.; Paul, E.A.; Paustian, K. Stabilization mechanisms of soil organic matter: Implications for C-saturation of soils. Plant Soil 2002, 241, 155–176. [Google Scholar] [CrossRef]
- Kallenbach, C.M.; Grandy, A.S.; Frey, S.D.; Diefendorf, A.F. Microbial physiology and necromass regulate agricultural soil carbon accumulation. Soil Biol. Biochem. 2015, 91, 279–290. [Google Scholar] [CrossRef]
- Khan, S.A.; Mulvaney, R.L.; Ellsworth, T.R.; Boast, C.W. The myth of nitrogen fertilization for soil carbon sequestration. J. Environ. Qual. 2007, 36, 1821–1832. [Google Scholar] [CrossRef]
- Wang, S.; Li, T.; Zheng, Z.; Zhang, X.; Chen, H.Y. Soil organic carbon and nutrients associated with aggregate fractions in a chronosequence of tea plantations. Ecol. Indic. 2019, 101, 444–452. [Google Scholar] [CrossRef]
- Manzoni, S.; Schimel, J.P.; Porporato, A. Responses of soil microbial communities to water stress: Results from a meta-analysis. Ecology 2012, 93, 930–938. [Google Scholar] [CrossRef]
- Keiluweit, M.; Nico, P.S.; Kleber, M.; Fendorf, S. Are oxygen limitations under recognized regulators of organic carbon turnover in upland soils? Biogeochemistry 2016, 127, 157–171. [Google Scholar] [CrossRef]
- Yang, X.; Ni, K.; Shi, Y.; Yi, X.; Zhang, Q.; Fang, L.; Ma, L.; Ruan, J. Effects of long-term nitrogen application on soil acidification and solution chemistry of a tea plantation in China. Agric. Ecosyst. Environ. 2018, 252, 74–82. [Google Scholar] [CrossRef]
- Rousk, J.; Brookes, P.C.; Bååth, E. The microbial PLFA composition as affected by pH in an arable soil. Soil Biol. Biochem. 2010, 42, 516–520. [Google Scholar] [CrossRef]
- Li, T.; Li, Y.; Cheng, W.; Zheng, J.; Li, L.; Cheng, K. Predicting nitrous oxide emissions from China’s upland fields under climate change scenarios with machine learning. Agronomy 2025, 15, 1447. [Google Scholar] [CrossRef]
- Sun, J.; Chen, L.; Ogle, S.; Cheng, K.; Xu, X.; Li, Y.; Pan, G. Future climate change may pose pressures on greenhouse gas emission reduction in China’s rice production. Geoderma 2023, 440, 116732. [Google Scholar] [CrossRef]
- Gao, B.; Huang, T.; Ju, X.; Gu, B.; Huang, W.; Xu, L.; Rees, R.M.; Powlson, D.S.; Smith, P.; Cui, S. Chinese cropping systems are a net source of greenhouse gases despite soil carbon sequestration. Glob. Change Biol. 2018, 24, 5590–5606. [Google Scholar] [CrossRef] [PubMed]
- Yue, Q.; Wu, H.; Sun, J.; Cheng, K.; Smith, P.; Hillier, J.; Xu, X.; Pan, G. Deriving emission factors and estimating direct nitrous oxide emissions for crop cultivation in China. Environ. Sci. Technol. 2019, 53, 10246–10257. [Google Scholar] [CrossRef]
- Yue, Q.; Ledo, A.; Cheng, K.; Albanito, F.; Lebender, U.; Sapkota, T.B.; Brentrup, F.; Stirling, C.M.; Smith, P.; Sun, J.; et al. Re-assessing nitrous oxide emissions from croplands across mainland China. Agric. Ecosyst. Environ. 2018, 268, 70–78. [Google Scholar] [CrossRef]




| Models | R2 | RMSE | EF | t-Test | |
|---|---|---|---|---|---|
| ∆SOC | MRL | 0.22 | 0.88 | 0.07 | NS |
| RF | 0.67 | 0.55 | 0.64 | NS | |
| SVM | 0.36 | 0.73 | 0.36 | NS | |
| ANN | 0.36 | 0.73 | 0.36 | NS | |
| N2O | MRL | 0.61 | 2.81 | 0.49 | NS |
| RF | 0.68 | 2.62 | 0.59 | NS | |
| SVM | 0.60 | 3.37 | 0.60 | NS | |
| ANN | 0.36 | 3.28 | 0.36 | NS | |
| Regions | N2O | ∆SOC | GHGnet | |||
|---|---|---|---|---|---|---|
| kg N2O ha−1 | t N2O | t C ha−1 | Gg C | t CO2-eq ha−1 | GgCO2-eq | |
| NE | 9.04 | 29.62 | 1.68 | 5.52 | −3.71 | −12.16 |
| IMGW | 9.14 | 0.14 | 1.61 | 0.03 | −3.42 | −0.05 |
| HHH | 9.41 | 237.63 | 1.81 | 45.84 | −4.09 | −103.22 |
| LP | 9.42 | 33.21 | 2.21 | 7.78 | −5.52 | −19.45 |
| YR | 8.79 | 11,058.58 | 0.80 | 1003.89 | −0.53 | −661.94 |
| SW | 9.84 | 13,436.01 | 0.96 | 1311.31 | −0.84 | −1140.10 |
| S | 7.66 | 4781.51 | 0.83 | 515.79 | −0.94 | −585.88 |
| GX | 9.34 | 1.85 | 1.38 | 0.27 | −2.50 | −0.5 |
| QT | 14.06 | 41.14 | 1.22 | 3.57 | −0.64 | −1.87 |
| National | 9.03 | 29,619.71 | 0.88 | 2894.01 | −0.77 | −2525.18 |
| Regions | N2O | ∆SOC | GHGnet | |||
|---|---|---|---|---|---|---|
| kg N2O ha−1 | t N2O | t C ha−1 | Gg C | t CO2-eq ha−1 | Gg CO2-eq | |
| NE | 9.04 | 29.62 | 1.68 | 5.52 | −3.71 | −12.16 |
| IMGW | 9.14 | 0.14 | 1.61 | 0.03 | −3.42 | −0.05 |
| HHH | 6.09 | 153.81 | 2.01 | 50.89 | −5.73 | −144.61 |
| LP | 9.42 | 33.21 | 2.22 | 7.85 | −5.59 | −19.70 |
| YR | 8.72 | 10,963.21 | 0.96 | 1201.50 | −1.12 | −1412.54 |
| SW | 9.73 | 13,273.87 | 1.15 | 1575.77 | −1.58 | −2154.04 |
| S | 7.65 | 4776.38 | 0.82 | 513.77 | −0.93 | −579.88 |
| GX | 9.34 | 1.85 | 1.38 | 0.27 | −2.50 | −0.50 |
| QT | 13.94 | 40.78 | 1.54 | 4.50 | −1.83 | −5.35 |
| National | 8.92 | 29,272.89 | 1.02 | 3360.09 | −1.32 | −4328.84 |
| Regions | N2O | ∆SOC | GHGnet | |||
|---|---|---|---|---|---|---|
| kg N2O ha−1 | t N2O | t C ha−1 | Gg C | t CO2-eq ha−1 | Gg CO2-eq | |
| NE | 8.77 | 28.76 | 1.81 | 5.93 | −4.23 | −13.88 |
| IMGW | 8.81 | 0.14 | 1.75 | 0.03 | −4.01 | −0.06 |
| HHH | 6.06 | 152.95 | 2.66 | 67.12 | −8.09 | −204.36 |
| LP | 8.49 | 29.95 | 2.66 | 9.40 | −7.45 | −26.29 |
| YR | 7.48 | 9408.76 | 1.21 | 1527.41 | −2.41 | −3031.90 |
| SW | 7.69 | 10,497.83 | 1.43 | 1946.76 | −3.13 | −4272.23 |
| S | 7.56 | 4715.36 | 0.97 | 604.42 | −1.49 | −928.91 |
| GX | 8.88 | 1.76 | 1.50 | 0.30 | −3.08 | −0.61 |
| QT | 10.06 | 29.43 | 1.52 | 4.44 | −2.82 | −8.24 |
| National | 7.58 | 24,864.95 | 1.27 | 4165.80 | −2.59 | −8486.48 |
Disclaimer/Publisher’s Note: The statements, opinions and data contained in all publications are solely those of the individual author(s) and contributor(s) and not of MDPI and/or the editor(s). MDPI and/or the editor(s) disclaim responsibility for any injury to people or property resulting from any ideas, methods, instructions or products referred to in the content. |
© 2026 by the authors. Licensee MDPI, Basel, Switzerland. This article is an open access article distributed under the terms and conditions of the Creative Commons Attribution (CC BY) license.
Share and Cite
Wang, T.; Si, Y.; Shen, X.; Cao, M.; Cheng, W.; Zeng, H.; Li, T.; Cheng, K. Machine Learning-Driven Assessment of Soil Carbon Sequestration and Emission Reduction Potential in Tea Plantations. Agronomy 2026, 16, 632. https://doi.org/10.3390/agronomy16060632
Wang T, Si Y, Shen X, Cao M, Cheng W, Zeng H, Li T, Cheng K. Machine Learning-Driven Assessment of Soil Carbon Sequestration and Emission Reduction Potential in Tea Plantations. Agronomy. 2026; 16(6):632. https://doi.org/10.3390/agronomy16060632
Chicago/Turabian StyleWang, Tinghao, Yiming Si, Xiang Shen, Ming Cao, Wenxin Cheng, Huiming Zeng, Tong Li, and Kun Cheng. 2026. "Machine Learning-Driven Assessment of Soil Carbon Sequestration and Emission Reduction Potential in Tea Plantations" Agronomy 16, no. 6: 632. https://doi.org/10.3390/agronomy16060632
APA StyleWang, T., Si, Y., Shen, X., Cao, M., Cheng, W., Zeng, H., Li, T., & Cheng, K. (2026). Machine Learning-Driven Assessment of Soil Carbon Sequestration and Emission Reduction Potential in Tea Plantations. Agronomy, 16(6), 632. https://doi.org/10.3390/agronomy16060632

