Biosynthesis of Silver Nanoparticles in Prunella vulgaris L. Extracts and Evaluation of the Bioactivity of Nanoformulations with Importance in Plant Protection
Abstract
1. Introduction
2. Materials and Methods
2.1. Obtaining P. vulgaris Crude Extracts
2.2. High-Performance Liquid Chromatography (HPLC) Characterization of Prunella vulgaris L. Crude Extracts
2.3. Biosynthesis of AgNPs Using Prunella vulgaris L. Extracts
- –
- classically, by mixing the selected extracts (ES) with the silver nitrate solution (P) in a ratio of 1:1 (ES+P), followed by magnetic stirring at 500 RPM for 30 min, at room temperature, in the dark (25 °C) [21];
- –
- by microwave, where ES+P was subjected to the action of electromagnetic waves for 30 s, at a power of 300 W, in the Milestone NEOS GR system (Brøndby, Denmark);
- –
- via ultrasound, where ES+P was ultrasonically treated using the UP200St ultrasound system (Hielscher Ultrasonics GmbH, Teltow, Germany) at the following parameters: 50% amplitude, with pulsed delivery of ultrasonic energy for 5 min of effective exposure, followed by a 5 min break, and then resumed for another 5 min of acoustic cavitation.
2.4. UV-Vis Analysis
2.5. FTIR
2.6. X-Ray Diffraction (XRD) Analysis
2.7. BFSTEM-EDS Analysis of Prunella vulgaris L. Extracts with AgNPs
2.8. Analysis of the AgNPs Size Distribution
2.9. Determination of Total Polyphenol Content (TPC) of Prunella vulgaris L. Extracts with AgNPs
2.10. Determination of the Antioxidant Activity of Prunella vulgaris L. Extracts with AgNPs
2.11. Evaluation of the Antifungal Activity of Prunella vulgaris L. Extracts with AgNPs
2.12. Evaluation of the Antibacterial Activity of Prunella vulgaris L. Extracts with AgNPs
2.13. Phytotoxicity Evaluation of Prunella vulgaris L. Extracts with AgNPs
3. Results
3.1. The Content of Phenolic Compounds of the Crude Extracts
3.2. UV-Vis Spectroscopy of Prunella vulgaris L. Extracts with AgNPs
3.3. FTIR Analysis
3.4. XRD Analysis
3.5. Total Polyphenol Content (TPC) and Antioxidant Activity of Prunella vulgaris L. Extracts with AgNPs
3.6. BFSTEM-EDS Analysis of Prunella vulgaris L. Extracts with AgNPs
3.7. Analysis of the AgNPs Size Distribution
3.8. Antifungal Activity of Nanostructured Extracts Obtained from Prunella vulgaris L., Against Fusarium oxysporum MUCL 791
3.9. Antimicrobial Activity of Nanostructured Extracts Obtained from Prunella vulgaris L.
3.10. Effects Induced by Nanostructured Extracts of Prunella vulgaris L. on the Growth and Fresh Weight of Triticum aestivum L. Seedlings
4. Discussion
4.1. Obtaining Prunella vulgaris L. Extracts, Phytochemical Analysis, Biosynthesis and Characterization of Nanoparticles
4.2. Polyphenol Content, Antioxidant, Antimicrobial Activity and Phytotoxicity of Nanoformulations Obtained from Prunella vulgaris L. Extracts
5. Conclusions
Supplementary Materials
Author Contributions
Funding
Data Availability Statement
Conflicts of Interest
Abbreviations
| BF-STEM | bright-field scanning transmission electron microscopy |
| UPLC-ESI-MS | ultra-performance liquid chromatography–electrospray ionization–tandem mass spectrometry |
| HPLC-UV/M | high-performance liquid chromatography coupled with both ultraviolet (UV) detection and mass spectrometry (MS) |
| HPLC | high-performance liquid chromatography |
| AgNPs | silver nanoparticles |
| CG-MS | gas chromatography–mass spectrometry |
| AgONPs | silver oxide nanoparticles |
| AuNPs | gold nanoparticles |
| PtNPs | platinum nanoparticles |
| CuONPs | cooper-oxide nanoparticles |
| DPPH | 2,2-diphenyl-1-picrylhydrazyl |
| GAE | gallic acid equivalent |
| MAE | microwave-assisted extraction |
| UAE | ultrasound-assisted extraction |
| EDS | energy-dispersive X-ray spectroscopy |
| PDA | potato dextrose agar |
| MIC | minimum inhibitory concentration |
| CGA | chlorogenic acid |
| ROS | reactive oxygen species |
| ES | selected extracts |
| dw | dry weight |
| fw | fresh weight |
| P | precursor |
References
- Sârbu, I.; Ştefan, N.; Oprea, A. Vascular Plants from Romania. Illustrated Field Guide; VictorBVictor Publisher: Bucharest, Romania, 2013. [Google Scholar]
- Council of Europe. European Pharmacopoeia, 10th ed.; Deutscher Apotheker: Stuttgart, Germany, 2019. [Google Scholar]
- Chinese Pharmacopoeia Committee. The 2020 Edition of Pharmacopoeia of the People’s Republic of China, 11th ed.; Chemical Industry Press: Beijing, China, 2020; Volume 1. [Google Scholar]
- Pan, J.; Wang, H.; Chen, Y. Prunella vulgaris L.—A Review of its Ethnopharmacology, Phytochemistry, Quality Control and Pharmacological Effects. Front. Pharmacol. 2022, 13, 903171. [Google Scholar] [CrossRef] [PubMed]
- Zholdasbayev, M.E.; Atazhanova, G.A.; Musozoda, S.; Poleszak, E. Prunella vulgaris L.: An Updated Overview of Botany, Chemical Composition, Extraction Methods, and Biological Activities. Pharmaceuticals 2023, 16, 1106. [Google Scholar] [CrossRef] [PubMed]
- Parolin Trindade, G.; Perez Pinheiro, G.; Silva, A.A.R.; Porcari, A.M.; Sawaya, A.C.H.F. Sources of variation of the chemical composition of Lippia origanoides Kunth (Verbenaceae). Nat. Prod. Res. 2025, 1–10. [Google Scholar] [CrossRef] [PubMed]
- Groșan, A.; Vari, C.E.; Ștefănescu, R.; Danciu, C.; Pavel, I.Z.; Dehelean, C.; Man, A.; David, R.E.; Vlase, L.; Muntean, D.L. Antibacterial and antitumor activity of the species Prunella vulgaris L. Rev. Romana De Med. De Lab. 2020, 28, 405–417. [Google Scholar] [CrossRef]
- Özbek, O.; Saglam, B.; Usta, N.C.; Budak, Y. GC–MS analysis and antimicrobial activity of Prunella vulgaris L. extracts. J. Indian Chem. Soc. 2022, 99, 100460. [Google Scholar] [CrossRef]
- Yoon, M.-Y.; Choi, G.J.; Choi, Y.H.; Jang, K.S.; Park, M.S.; Cha, B.; Kim, J.-C. Effect of polyacetylenic acids from Prunella vulgaris on various plant pathogens. Lett. Appl. Microbiol. 2010, 51, 511–517. [Google Scholar] [CrossRef]
- Nayak, A.; Khan, M.A.; Sharma, P.; Mishra, R.M. Phytochemical screening, antioxidant and antimicrobial activities of Prunella vulgaris for oral thrush. J. Drug Deliv. Therapeut. 2018, 8, 251–258. [Google Scholar] [CrossRef]
- Lawson, S.K.; Sharp, L.G.; Satyal, P.; Setzer, W.N. Volatile components of the aerial parts of Prunella vulgaris L. (Lamiaceae). Am. J. Essent. Oils Nat. Prod. 2020, 8, 17–19. [Google Scholar]
- Akhtar, R.; Dharumadurai, D.; Kumar, T.S. Novel antifungal compound from Prunella vulgaris: An in-silico approach towards the discovery of potent inhibitor to combat phytopathogenic fungi. Biocatal. Agric. Biotechnol. 2024, 58, 103187. [Google Scholar] [CrossRef]
- Moges-Tsegaye, M.; Kumar, M.; Pandey, S.P.; Fentie-Tasew, M.; Yadav, P.; Chouhan, G. Characterization and Antibacterial Activity of Plant-Mediated Silver Oxide Nanoparticles. Macromol. Symp. 2023, 407, 2200084. [Google Scholar] [CrossRef]
- Ahn, E.Y.; Lee, Y.J.; Park, J.; Chun, P.; Park, Y. Antioxidant Potential of Artemisia capillaris, Portulaca oleracea, and Prunella vulgaris Extracts for Biofabrication of Gold Nanoparticles and Cytotoxicity Assessment. Nanoscale Res. Lett. 2018, 13, 348. [Google Scholar] [CrossRef]
- Marvi, P.K.; Ahmed, S.R.; Das, P.; Ghosh, R.; Srinivasan, S.; Rajabzadeh, A.R. Prunella vulgaris-phytosynthesized platinum nanoparticles: Insights into nanozymatic activity for H2O2 and glutamate detection and antioxidant capacity. Talanta 2024, 274, 125998. [Google Scholar] [CrossRef] [PubMed]
- Moges-Tsegaye, M.; Chouhan, G.; Kumar, M.; Pandey, S.P.; Fentie, M.; Yadav, P. Green Synthesis of Copper-oxide Nanopar-ticles and Evaluation of Its Therapeutic Efficacy. Macromol. Symp. 2023, 407, 2200080. [Google Scholar] [CrossRef]
- Bucăloiu, C. Characterization of Prunella vulgaris L. extracts in terms of polyphenol total content (TPC). Muzeul Olteniei Craiova. Oltenia. Studii şi comunicări. Ştiinţele Nat. 2025, 41, 46–51. [Google Scholar]
- Alowaiesh, B.F.; Alhaithloul, H.A.S.; Saad, A.M.; Hassanin, A.A. Green Biogenic of Silver Nanoparticles Using Polyphenolic Extract of Olive Leaf Wastes with Focus on Their Anticancer and Antimicrobial Activities. Plants 2023, 12, 1410. [Google Scholar] [CrossRef]
- Malik, M.A.; Batterjee, M.G.; Kamli, M.R.; Alzahrani, K.A.; Danish, E.Y.; Nabi, A. Polyphenol-Capped Biogenic Synthesis of Noble Metallic Silver Nanoparticles for Antifungal Activity against Candida auris. J. Fungi 2022, 8, 639. [Google Scholar] [CrossRef]
- Lite, M.C.; Constantinescu, R.; Tănăsescu, E.C.; Kuncser, A.; Romanițan, C.; Mihaiescu, D.E.; Lacatusu, I.; Badea, N. Phyto-chemical Synthesis of Silver Nanoparticles and Their Antimicrobial Investigation on Cotton and Wool Textiles. Materials 2023, 16, 3924. [Google Scholar] [CrossRef]
- Şuţan, N.A.; Fierăscu, I.; Fierăscu, R.C.; Manolescu, D.Ş.; Soare, L.C. Comparative analytical characterization and in vitro cytogenotoxic activity of Asplenium scolopendrium L., leaves and rhizome extracts prior to and after Ag nanoparticles phytosynthesis. Ind. Crops Prod. 2016, 83, 379–386. [Google Scholar] [CrossRef]
- Singleton, V.L.; Rossi, J.A. Colorimetry of Total Phenolics with Phosphomolybdic-Phosphotungstic Acid Reagents. Am. J. Enol. Vitic. 1965, 16, 144–158. [Google Scholar] [CrossRef]
- ISO 14502-1:2005; Determination of Substances Characteristic of Green and Black Tea—Part 1: Content of Total Polyphenols in Tea-Colorimetric Method Using Folin-Ciocalteu Reagent. International Organization for Standardization: Geneva, Switzerland, 2005.
- Shimamura, T.; Sumikura, Y.; Yamazaki, T.; Tada, A.; Kashiwagi, T.; Ishikawa, H.; Matsui, T.; Sugimoto, N.; Akiyama, H.; Ukeda, H. Applicability of the DPPH assay for evaluating the antioxidant capacity of food additives − inter-laboratory eva-luation study. Anal. Sci. 2014, 30, 717–721. [Google Scholar] [CrossRef]
- Radji, M.; Agustama, R.A.; Elya, B.; Tjampakasari, C.R. Antimicrobial activity of green tea extract against isolates of methicil-lin-resistant Staphylococcus aureus and multi-drug resistant Pseudomonas aeruginosa. Asian Pac. J. Trop. Biomed. 2013, 3, 663–667. [Google Scholar] [CrossRef]
- Kowalska-Krochmal, B.; Dudek-Wicher, R. The Minimum Inhibitory Concentration of Antibiotics: Methods, Interpretation, Clinical Relevance. Pathogens 2021, 10, 165. [Google Scholar] [CrossRef]
- Pisculungeanu, S.E.; Soare, L.C.; Lutu, O.A.; Păunescu, A.; Cirstea, G.; Negrea, A.D.; Dobrescu, C.M.; Ionescu, N.A. Integrated Assessment of Silver Nanoparticles on Plant Growth and Cytogenotoxicity Using Triticum and Allium Bioassays. J. Xenobiot. 2025, 15, 147. [Google Scholar] [CrossRef] [PubMed]
- Groșan, D.A. Biologically Active Compounds with Therapeutic Benefits from the Species Prunella vulgaris L. Analytical and Pharmacological Approaches. Doctoral Dissertation, University of Medicine, Pharmacy, Sciences and Technology “George Emil Palade” of Târgu Mureş, Târgu Mureş, Romania, 2020. [Google Scholar]
- Bold, B.-E.; Urnukhsaikhan, E.; Mishig-Ochir, T. Biosynthesis of silver nanoparticles with antibacterial, antioxidant, anti-inflammatory properties and their burn wound healing efficacy. Front. Chem. 2022, 10, 972534. [Google Scholar] [CrossRef] [PubMed]
- Xing, Y.; Liao, X.; Liu, X.; Li, W.; Huang, R.; Tang, J.; Xu, Q.; Li, X.; Yu, J. Characterization and Antimicrobial Activity of Silver Nanoparticles Synthesized with the Peel Extract of Mango. Materials 2021, 14, 5878. [Google Scholar] [CrossRef] [PubMed]
- Ganaie, A.S.; Zahoor, I.; Singh, R. Prunella vulgaris leaf extract assisted green synthesis of silver nanoparticles: Antimicrobial activity. Mater. Today Proc. 2023, 79, 107–112. [Google Scholar] [CrossRef]
- Sastry, M.; Mayya, K.S.; Bandyopadhyay, K. pH Dependent changes in the optical properties of carboxylic acid derivatized silver colloidal particles. Colloids Surf. A Physicochem. Eng. Asp. 1997, 127, 221–228. [Google Scholar] [CrossRef]
- Jakimińska, A.; Macyk, W. Photochemical transformations of AgCl in the context of its eventual photocatalytic applications. J. Photochem. Photobiol. A Chem. 2023, 445, 115048. [Google Scholar] [CrossRef]
- Torres-López, J.L.; Lázaro-Mass, S.; De la Rosa-García, S.; Alvarez-Lemus, M.A.; Gómez-Rivera, A.; López-González, R.; Lobato-García, C.E.; Morales-Mendoza, G.; Gómez-Cornelio, S. Medicinal Plants Extract for the Bio-Assisted Synthesis of Ag/AgCl Nanoparticles with Antibacterial Activity. J. Clust. Sci. 2024, 36, 20. [Google Scholar] [CrossRef]
- Sharifi-Rad, M.; Pohl, P. Synthesis of Biogenic Silver Nanoparticles (AgCl-NPs) Using a Pulicaria vulgaris Gaertn. Aerial Part Extract and Their Application as Antibacterial, Antifungal and Antioxidant Agents. Nanomaterials 2020, 10, 638. [Google Scholar] [CrossRef]
- Yegon, A.K.; Oyetade, J.A.; Mtavangu, S.G.; Rwiza, M.J.; Machunda, R.L. Green synthesis of silver silver chloride (Ag/AgCl) nanoparticles using macadamia nutshell xylan extract, characterization and evaluation of its antibacterial activity. Discov. Nano 2025, 20, 120. [Google Scholar] [CrossRef]
- Groșan, A.; Ștefănescu, R.; Vari, C.E.; Jîtcă, G.; Bătrânu, M.; Muntean, D.L. Phytochemical characterization of Transilvanian Prunella vulgaris. Acta Biol. Marisiensis 2020, 3, 62–69. [Google Scholar] [CrossRef]
- Mei, Y.; Sun, H.; Du, G.; Wang, X.; Lyu, D. Exogenous Chlorogenic Acid Alleviates Oxidative Stress in Apple Leaves by Enhancing Antioxidant Capacity. Sci. Hortic. 2020, 274, 109676. [Google Scholar] [CrossRef]
- Pan, X.R. Thermodynamic Study on the Bacteriostatic Action of Prunella vulgaris and its Triterpenoid Saponins. J. Weifang Univ. 2018, 18, 24–26. [Google Scholar]
- Dar, K.A.; Senthilmurugan, S.; Venkatesan, A. Antibacterial, Antioxidant Potential and Functional Group Analysis of Kashmir Grown Prunella vulgaris L. Root Extract. Int. J. Bot. Stud. 2022, 7, 19–25. [Google Scholar]
- Hu, D.P.; Gu, Y.Z.; Zhao, J.R.; Li, X.X. Antibacterial Activity and Mechanism of Extracts from Prunellae Spica against Pathogenic Organisms of Acne. Chin. J. Pharmacovigil. 2015, 12, 394–397. [Google Scholar] [CrossRef]
- Volpi e Silva, N.; Mazzafera, P.; Cesarino, I. Should I Stay or Should I Go: Are Chlorogenic Acids Mobilized towards Lignin Biosynthesis? Phytochemistry 2019, 166, 112063. [Google Scholar] [CrossRef] [PubMed]
- Li, Y.; Kong, D.; Fu, Y.; Sussman, M.R.; Wu, H. The Effect of Developmental and Environmental Factors on Secondary Metabolites in Medicinal Plants. Plant Physiol. Biochem. 2020, 148, 80–89. [Google Scholar] [CrossRef] [PubMed]
- Singh, P.; Arif, Y.; Bajguz, A.; Hayat, S. The role of quercetin in plants. Plant Physiol. Biochem. PPB 2021, 166, 10–19. [Google Scholar] [CrossRef]
- Hasan, M.; Mehmood, K.; Mustafa, G.; Zafar, A.; Tariq, T.; Hassan, S.G.; Loomba, S.; Zia, M.; Mazher, A.; Mahmood, N.; et al. Phytotoxic Evaluation of Phytosynthesized Silver Nanoparticles on Lettuce. Coatings 2021, 11, 225. [Google Scholar] [CrossRef]
- Tymoszuk, A. Silver Nanoparticles Effects on In Vitro Germination, Growth, and Biochemical Activity of Tomato, Radish, and Kale Seedlings. Materials 2021, 14, 5340. [Google Scholar] [CrossRef] [PubMed]
- Yan, A.; Chen, Z. Impacts of Silver Nanoparticles on Plants: A Focus on the Phytotoxicity and Underlying Mechanism. Int. J. Mol. Sci. 2019, 20, 1003. [Google Scholar] [CrossRef] [PubMed]
- Alfosea-Simón, F.J.; Burgos, L.; Alburquerque, N. Silver Nanoparticles Help Plants Grow, Alleviate Stresses, and Fight Against Pathogens. Plants 2025, 14, 428. [Google Scholar] [CrossRef] [PubMed]















| Sample Code | Extraction Parameters | Final Temperature (°C) |
|---|---|---|
| PV_M_1 | 5 min, 310 W (2 min 250 W, 3 min 310 W) | 68 |
| PV_M_2 | 5 min, 500 W (2 min 250 W, 3 min 500 W) | 76 |
| PV_M_3 | 10 min, 310 W (4 min 250 W, 6 min 310 W) | 79 |
| PV_M_4 | 10 min, 500 W (4 min 350 W, 6 min 500 W) | 82 |
| PV_M_5 | 20 min, 310 W (8 min 250 W, 12 min 310 W) | 84 |
| PV_M_6 | 20 min, 500 W (8 min 350 W, 12 min 500 W) | 89 |
| Sample Code | Extraction Parameters | Maximum Power (W/h) | Final Temperature (°C) |
|---|---|---|---|
| PV_U_1 | 5 min, 310 W | 6.596 | 42 |
| PV_U_2 | 5 min, 500 W | 8.963 | 50 |
| PV_U_3 | 10 min, 310 W | 13.059 | 56 |
| PV_U_4 | 10 min, 500 W | 16.284 | 64 |
| No | Coding Experimental Variants | Method of Obtaining | Parameters |
|---|---|---|---|
| 1 | PV_U_2_AgNPs_c | magnetic stirring | 30 min, 500 RPM |
| 2 | PV_U_2_AgNPs_MAE | microwave | 30 s, 300 W |
| 3 | PV_U_2_AgNPs_US | ultrasound | Amplitude 50%, 5 min impulse |
| 4 | PV_M_6_AgNPs_c | magnetic stirring | 30 min, 500 RPM |
| 5 | PV_M_6_AgNPs_MAE | microwave | 30 s, 300 W |
| 6 | PV_M_6_AgNPs_US | ultrasound | Amplitude 50%, 5 min impulse |
| Compound mg/L | Prunella vulgaris L. Crude Extracts | |||||||||
|---|---|---|---|---|---|---|---|---|---|---|
| PV M 1 | PV M 2 | PV M 3 | PV M 4 | PV M 5 | PV M 6 | PV U 1 | PV U 2 | PV U 4 | PV U 9 | |
| Tannic acid | 0.9037 | 1.1354 | 0 | 0 | 0.8231 | 1.5707 | 0.4130 | 0.8773 | 0.8928 | 0.5006 |
| Gallic acid | 0.1042 | 0.0609 | 0 | 0 | 0.1226 | 0.1120 | 0 | 0.0891 | 0.0707 | 0 |
| Protocatechuic acid | 0.1434 | 0.2020 | 0 | 0 | 0.1823 | 0.2781 | 0 | 0.1565 | 0.1572 | 0 |
| Catechin | 0 | 0 | 0 | 0 | 0.4481 | 0 | 0.4616 | 0 | 0 | 0 |
| Vanillic acid | 0.0712 | 0 | 0 | 0 | 0 | 0.1871 | 0.2262 | 0.0949 | 0.0897 | 0 |
| Ellagic acid | 0 | 0 | 0 | 0 | 0 | 0.0722 | 0 | 0 | 0 | 0 |
| Chlorogenic acid | 1.1781 | 1.7114 | 0 | 0 | 1.4014 | 2.1411 | 0 | 1.3592 | 1.2448 | 0.0797 |
| Isoquercetin | 10.2551 | 18.9093 | 0 | 0 | 0 | 0 | 6.1425 | 11.3874 | 14.9685 | 0.6161 |
| Rutin | 0 | 0 | 0 | 0 | 29.0252 | 91.3443 | 0 | 0 | 18.9485 | 0 |
| Luteolin glycoside | 0 | 2.9305 | 0 | 0 | 3.3813 | 36.7609 | 0 | 0 | 0 | 0 |
| Hyperoside | 0 | 6.4897 | 0 | 0 | 0 | 0 | 0 | 0 | 0 | 0 |
| Naringina | 1.1189 | 0 | 0 | 0 | 1.0890 | 1.8575 | 0.3112 | 0.4767 | 1.1961 | 0 |
| Kaemferol glycoside | 0 | 3.3729 | 0 | 0 | 0 | 112.1659 | 0 | 0 | 0 | 0 |
| Rosmarinic acid | 33.2958 | 47.1081 | 1.0219 | 1.0031 | 36.6000 | 61.8287 | 13.6958 | 26.7244 | 39.2521 | 2.3725 |
| Quercetin | 0 | 4.8798 | 0 | 0 | 0 | 6.3155 | 0 | 4.4314 | 5.3768 | 0 |
| Luteolin | 1.1058 | 1.5465 | 0 | 0 | 1.0696 | 1.7473 | 0.8548 | 0.7864 | 1.0110 | 0 |
| Samples (cm−1) | Attribution | |||||
|---|---|---|---|---|---|---|
| PV_U_2_AgNPs_c | PV_U_2_AgNPs_MAE | PV_U_2_AgNPs_US | PV_M_6_AgNPs_c | PV_M_6_AgNPs_MAE | PV_M_6_AgNPs_US | |
| 3262 | 3262 | 3261 | 3262 | 3275 | 3265 | O–H and N–H stretching vibrations |
| 1635 | 1635 | 1636 | 1636 | 1636 | 1636 | C=O and C=C vibrations of amide groups, flavonoids, and aromatic compounds |
| 1540 | 1540 | 1540 | 1540 | 1540 | 1540 | amide II |
| 1396 | 1396 | 1396 | 1396 | 1396 | 1396 | C–N and COO− vibrations |
| 1077 1045 | 1078 1046 | 1077 1045 | 1078 | 1078 | 1149 | C–O stretching |
| No | Sample Coding | TPC (mg GAE g dw−1) |
|---|---|---|
| 1 | PV_U_2_AgNPs_c | 31.63 |
| 2 | PV_U_2_AgNPs_MAE | 32.04 |
| 3 | PV_U_2_AgNPs_US | 26.52 |
| 4 | PV_M_6_AgNPs_c | 58.74 |
| 5 | PV_M_6_AgNPs_MAE | 77.98 |
| 6 | PV_M_6_AgNPs_US | 65.28 |
| No | Sample Coding | Sample Concentration (mg Plant/mL Solvent) | Inhibition Ratio (%) |
|---|---|---|---|
| 1 | PV_U_2_AgNPs_c | 33 mg/mL | 65.31 |
| 2 | PV_U_2_AgNPs_MAE | 33 mg/mL | 69.47 |
| 3 | PV_U_2_AgNPs_US | 33 mg/mL | 63.70 |
| 4 | PV_M_6_AgNPs_c | 33 mg/mL | 75.53 |
| 5 | PV_M_6_AgNPs_MAE | 33 mg/mL | 74.75 |
| 6 | PV_M_6_AgNPs_US | 33 mg/mL | 71.91 |
| Trolox | 0.07 mg/mL | 95.27 |
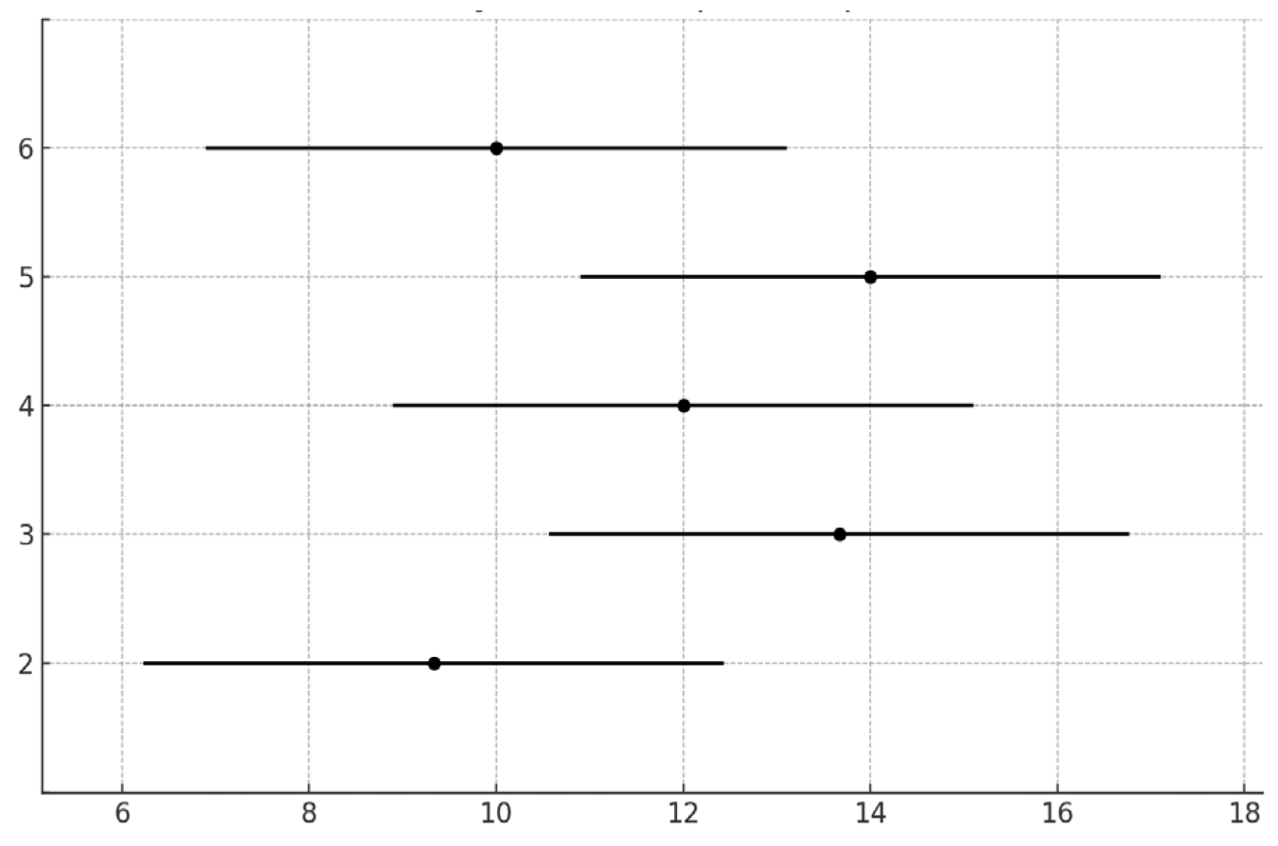
| No | Sample | Inhibition Zone (mm) |
|---|---|---|
| 1 | PV_U_2_AgNPs_c | - |
| 2 | PV_U_2_AgNPs_MAE | 9.33 ± 0.58 |
| 3 | PV_U_2_AgNPs_US | 13.67 ± 4.51 |
| 4 | PV_M_6_AgNPs_c | 12.00 ± 2.00 |
| 5 | PV_M_6_AgNPs_MAE | 14.00 ± 1.00 |
| 6 | PV_M_6_AgNPs_US | 10.00 ± 1.00 |
| No | Treatment | E. coli | B. subtilis | S. aureus |
|---|---|---|---|---|
| A | Antibiotic | 28.3 ± 0.6 | 30.0 ± 0.0 * | 24.7 ± 0.6 |
| 1 | PV_U_2_AgNPs_c | 10.0 ± 1.0 | 9.0 ± 0.0 | 10.0 ± 0.0 |
| 2 | PV_U_2_AgNPs_MAE | 10.0 ± 0.0 | 8.3 ± 0.6 | 11.0 ± 1.0 |
| 3 | PV_U_2_AgNPs_US | 10.3 ± 0.6 | 9.0 ± 0.0 | 8.7 ± 0.6 |
| 4 | PV_M_6_AgNPs_c | 10.5 ± 0.6 | 10.7 ± 0.6 * | 7.3 ± 0.6 |
| 5 | PV_M_6_AgNPs_MAE | 8.7 ± 0.6 | 9.0 ± 0.0 | 7.3 ± 0.6 |
| 6 | PV_M_6_AgNPs_US | 10.5 ± 0.6 | 10.0 ± 0.0 | 8.7 ± 0.6 |
Disclaimer/Publisher’s Note: The statements, opinions and data contained in all publications are solely those of the individual author(s) and contributor(s) and not of MDPI and/or the editor(s). MDPI and/or the editor(s) disclaim responsibility for any injury to people or property resulting from any ideas, methods, instructions or products referred to in the content. |
© 2026 by the authors. Licensee MDPI, Basel, Switzerland. This article is an open access article distributed under the terms and conditions of the Creative Commons Attribution (CC BY) license.
Share and Cite
Bucăloiu, C.; Soare, L.C.; Fierăscu, R.C.; Fierăscu, I.; Avramescu, S.M.; Ungureanu, C.; Deliu, I.; Păunescu, A.; Șuțan, N.A.; Luțu, O.A.; et al. Biosynthesis of Silver Nanoparticles in Prunella vulgaris L. Extracts and Evaluation of the Bioactivity of Nanoformulations with Importance in Plant Protection. Agronomy 2026, 16, 566. https://doi.org/10.3390/agronomy16050566
Bucăloiu C, Soare LC, Fierăscu RC, Fierăscu I, Avramescu SM, Ungureanu C, Deliu I, Păunescu A, Șuțan NA, Luțu OA, et al. Biosynthesis of Silver Nanoparticles in Prunella vulgaris L. Extracts and Evaluation of the Bioactivity of Nanoformulations with Importance in Plant Protection. Agronomy. 2026; 16(5):566. https://doi.org/10.3390/agronomy16050566
Chicago/Turabian StyleBucăloiu, Constanța, Liliana Cristina Soare, Radu Claudiu Fierăscu, Irina Fierăscu, Sorin Marius Avramescu, Camelia Ungureanu, Ionica Deliu, Alina Păunescu, Nicoleta Anca Șuțan, Oana Alexandra Luțu, and et al. 2026. "Biosynthesis of Silver Nanoparticles in Prunella vulgaris L. Extracts and Evaluation of the Bioactivity of Nanoformulations with Importance in Plant Protection" Agronomy 16, no. 5: 566. https://doi.org/10.3390/agronomy16050566
APA StyleBucăloiu, C., Soare, L. C., Fierăscu, R. C., Fierăscu, I., Avramescu, S. M., Ungureanu, C., Deliu, I., Păunescu, A., Șuțan, N. A., Luțu, O. A., Topală, C. M., Negrea, A. D., Moga, S. G., & Cîrstea, G. (2026). Biosynthesis of Silver Nanoparticles in Prunella vulgaris L. Extracts and Evaluation of the Bioactivity of Nanoformulations with Importance in Plant Protection. Agronomy, 16(5), 566. https://doi.org/10.3390/agronomy16050566

