Rice Cultivation Alters Soil Aggregates by Changing the Distribution of Humic Substances in Saline–Sodic Soils
Abstract
1. Introduction
2. Materials and Methods
2.1. Study Area and Soil Sampling
2.1.1. Site Description
2.1.2. Experimental Design and Field Management
2.1.3. Soil Sampling Procedure
2.2. Soil Property Analysis
2.2.1. Soil Salinization and Alkalinization Characteristics
2.2.2. Soil Aggregate Stability
2.2.3. Soil Carbon Fractions
2.3. Statistical Analysis
3. Results
3.1. Soil Aggregate Distribution and Stability
3.2. Effects of Rice Reclamation on Soil Salinization and Alkalinization
3.3. Soil Carbon Pools and Aggregate-Associated Organic Carbon
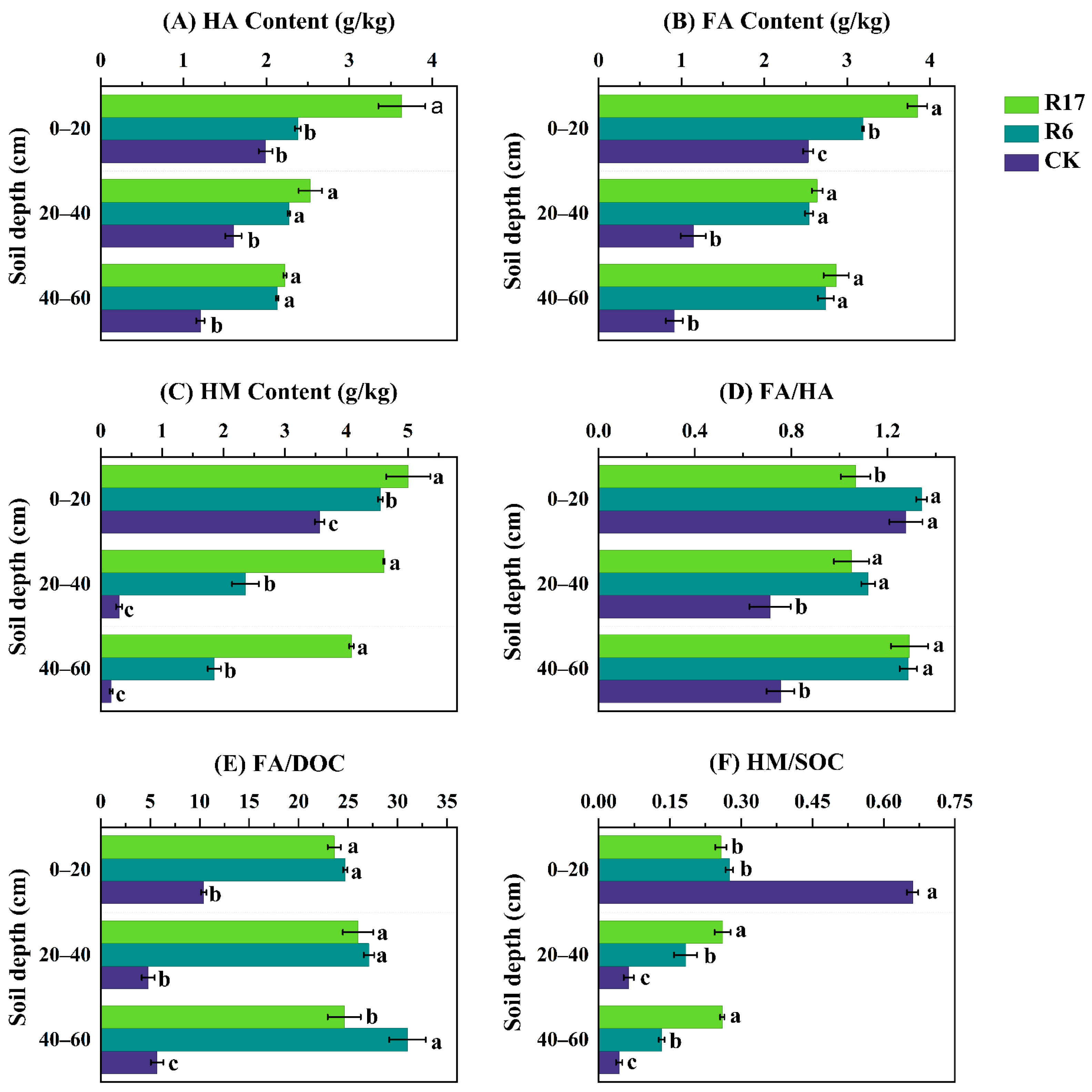
3.4. Vertical Distribution of Humus Content
3.5. Relationships Between Soil Properties and Carbon Content
4. Discussion
4.1. Soil Carbon Pool Redistribution Under Rice-Based Reclamation
4.2. Vertical Transformation and Stabilization of Humic Substances in Saline–Sodic Paddy Fields
4.3. Aggregate Stabilization Mechanisms Under Rice-Based Reclamation
4.4. Implications for Management and Study Limitations
5. Conclusions
Author Contributions
Funding
Data Availability Statement
Acknowledgments
Conflicts of Interest
Abbreviations
| Ca2+ | Calcium ions |
| DIC | Dissolved inorganic carbon |
| DOC | Dissolved organic carbon |
| EC | Electrical conductivity |
| ESP | Exchangeable sodium percentage |
| FA | Fulvic acid |
| GMD | Geometric mean diameter |
| HA | Humic acid |
| HM | Humin acid |
| Mg2+ | Magnesium ions |
| MWD | Mean weight diameter |
| Na+ | Sodium ions |
| POC | Particulate organic carbon |
| SAR | Sodium adsorption ratio |
| SIC | Soil inorganic carbon |
| SOC | Soil organic carbon |
| SOM | Soil organic matter |
| WSA | Water-stable aggregates |
References
- Kumar, P.; Sharma, P.K. Soil Salinity and Food Security in India. Front. Sustain. Food Syst. 2020, 4, 533781. [Google Scholar] [CrossRef]
- Mwesige, F.F. The Extent and Distribution of Salt-Affected Soils in Sub-Saharan Africa from 1970 to the Present: A Review of the Current State of Knowledge. Front. Soil Sci. 2025, 5, 1571243. [Google Scholar] [CrossRef]
- Arora, S.; Singh, A.K.; Singh, Y.P. Bioremediation of Salt Affected Soils: An Indian Perspective; Springer: Berlin/Heidelberg, Germany, 2017; ISBN 9783319482576. [Google Scholar]
- Beyene, S.; Regassa, A.; Mishra, B.B.; Haile, M. The Soils of Ethiopia; Springer: Berlin/Heidelberg, Germany, 2023; ISBN 9783031170119. [Google Scholar]
- Amini, S.; Ghadiri, H.; Chen, C.; Marschner, P. Salt-Affected Soils, Reclamation, Carbon Dynamics, and Biochar: A Review. J. Soils Sediments 2016, 16, 939–953. [Google Scholar] [CrossRef]
- Chang, C.; Tian, L.; Tian, Z.; McLaughlin, N.; Tian, C. Change of Soil Microorganism Communities under Saline-Sodic Land Degradation on the Songnen Plain in Northeast China#. J. Plant Nutr. Soil Sci. 2022, 185, 297–307. [Google Scholar] [CrossRef]
- Zhao, D.; Wang, Z.; Yang, F.; Zhu, W.; An, F.; Ma, H.; Tóth, T.; Liao, X.; Yang, H. Amendments to Saline-Sodic Soils Showed Long-Term Effects on Improving Growth and Yield of Rice (Oryza sativa L.). PeerJ 2020, 8, e8726. [Google Scholar] [CrossRef]
- Ezeokoli, O.T.; Nuaila, V.N.A.; Obieze, C.C.; Muetanene, B.A.; Fraga, I.; Tesinde, M.N.; Ndayiragije, A.; Coutinho, J.; Melo, A.M.P.; Adeleke, R.A.; et al. Assessing the Impact of Rice Cultivation and Off-Season Period on Dynamics of Soil Enzyme Activities and Bacterial Communities in Two Agro-Ecological Regions of Mozambique. Agronomy 2021, 11, 694. [Google Scholar] [CrossRef]
- Lv, H.; Huang, L.; Liang, Z.; Yang, H.-Y.; Lv, B.-S. Effects of Cultivation Patterns on Rice (Oryza sativa L.). J. Food Agric. Environ. 2013, 11, 2472–2477. [Google Scholar]
- Xu, Z.; Shao, T.; Lv, Z.; Yue, Y.; Liu, A.; Long, X.; Zhou, Z.; Gao, X.; Rengel, Z. The Mechanisms of Improving Coastal Saline Soils by Planting Rice. Sci. Total Environ. 2020, 703, 135529. [Google Scholar] [CrossRef]
- Kalisz, B.; Łachacz, A.; Giełwanowska, I.; Olech, M.; Chwedorzewska, K.J.; Kellmann-Sopyła, W. Labile and Stable Carbon Pools in Antarctic Soils of the Arctowski Region, King George Island. Sustainability 2025, 2, 7221. [Google Scholar] [CrossRef]
- Du, X.; Hu, H.; Wang, T.; Zou, L.; Zhou, W.; Gao, H.; Ren, X.; Wang, J.; Hu, S. Long-Term Rice Cultivation Increases Contributions of Plant and Microbial-Derived Carbon to Soil Organic Carbon in Saline-Sodic Soils. Sci. Total Environ. 2023, 904, 166713. [Google Scholar] [CrossRef]
- Bhullar, R.S.; Mavi, M.S.; Choudhary, O.P. Analysis Adverse Impact of Sodicity on Soil Functions Can Be Alleviated Through Addition of Rice Straw Biochar. Commun. Soil Sci. Plant 2019, 50, 2369–2383. [Google Scholar] [CrossRef]
- Mcdonald, G.K.A.; Tavakkoli, E.A.; Cozzolino, D.C.; Banas, K.D.; Derrien, M.E. A Survey of Total and Dissolved Organic Carbon in Alkaline Soils of Southern Australia. Soil Res. 2017, 55, 617–629. [Google Scholar] [CrossRef]
- Kuzyakov, Y.; Peng, Q.; Lin, S.; Hu, R. Enzyme Activities and Organic Matter Mineralization in Response to Application of Gypsum, Manure and Rice Straw in Saline and Sodic Soils. Environ. Res. 2023, 224, 115393. [Google Scholar] [CrossRef] [PubMed]
- Zhang, W.; Zhang, W.; Wang, S.; Sun, Z.; Liu, J.; Li, Y.; Zhuo, Y.; Xu, L.; Zhao, Y. A Quantitative Assessment of the Dynamic Process and Potential Capacity of Using Gypsum to Reclaim Sodic Soil. J. Soils Sediments 2023, 23, 3082–3095. [Google Scholar] [CrossRef]
- Zhang, S.; Hu, W.; Zhang, J.; Yu, G.; Liu, Y.; Kong, Z.; Wu, L. Long-Term Cultivation Reduces Soil Carbon Storage by Altering Microbial Network Complexity and Metabolism Activity in Macroaggregates. Sci. Total Environ. 2024, 930, 172788. [Google Scholar] [CrossRef]
- Moro, D.; Pellegrini, E.; Contin, M.; Zuccaccia, D.; Khakbaz, A.; De Nobili, M. The Potential Role of Humic Substances in the Amelioration of Saline Soils and Its Affecting Factors. Sustainability 2025, 17, 8621. [Google Scholar] [CrossRef]
- Wang, S.; Sun, N.; Liang, S.; Zhang, S.; Meersmans, J.; Colinet, G.; Xu, M.; Wu, L. SOC Sequestration Affected by Fertilization in Rice-Based Cropping Systems over the Last Four Decades. Front. Environ. Sci. 2023, 11, 1152439. [Google Scholar] [CrossRef]
- Liu, M.; Han, G. Effects of Soil Aggregate Stability on Soil Organic Carbon and Nitrogen Under Land Use Change in an Erodible Region in Southwest China. Int. J. Environ. Res. Public Health 2019, 16, 3809. [Google Scholar] [CrossRef]
- Nakhavali, M.; Lauerwald, R.; Regnier, P.; Guenet, B.; Chadburn, S.; Friedlingstein, P. Leaching of Dissolved Organic Carbon from Mineral Soils Plays a Significant Role in the Terrestrial Carbon Balance. Glob. Change Biol. 2021, 27, 1083–1096. [Google Scholar] [CrossRef]
- Xu, C.; Zhang, P.; Chen, L.; Wang, W.; Yang, X.; Liu, Z.; Mi, Y. Effects of Dissolved Organic Carbon Leaching and Soil Carbon Fractions Under Intercropping Dactylis glomerata L.—Medicago Sativa L. in Response to Extreme Rainfall. Agronomy 2025, 15, 1485. [Google Scholar] [CrossRef]
- WRB-IUSS. World Reference Base for Soil Resources 2014; World Soil Resources Reports No. 106; FAO: Rome, Italy, 2015; pp. 1–191. [Google Scholar]
- Peng, W.; Zhu, X.; Zheng, W.; Xie, Q.; Wang, M. Rice Cultivation Can Mitigate Soil Salinization and Alkalization by Modifying the Macropore Structure in Saline—Sodic Paddy Fields. Agric. Water Manag. 2025, 313, 109473. [Google Scholar] [CrossRef]
- Kemper, W.D.; Chepil, W.S. Size Distribution of Aggregates. In Methods of Soil Analysis: Part 1 Physical and Mineralogical Properties, Including Statistics of Measurement and Sampling, 9.1; American Society of Agronomy (ASA): Madison, WI, USA, 1965; Volume 9, pp. 499–510. [Google Scholar] [CrossRef]
- Yoder, R.E. A Direct Method of Aggregate Analysis of Soils and a Study of the Physical Nature of Erosion Losses. Agron. J. 1936, 28, 337–351. [Google Scholar] [CrossRef]
- Walkley, A.; Black, I.A. An Examination of the Degtjareff Method for Determining Soil Organic Matter, and a Proposed Modification of the Chromic Acid Titration Method. Soil Sci. 1934, 37, 29–38. [Google Scholar] [CrossRef]
- Garten, C.T.; Post, W.M.; Hanson, P.J.; Cooper, L.W. Forest Soil Carbon Inventories and Dynamics along an Elevation Gradient in the Southern Appalachian Mountains. Biogeochemistry 1999, 45, 115–145. [Google Scholar] [CrossRef]
- Jones, D.L.; Willett, V.B. Experimental Evaluation of Methods to Quantify Dissolved Organic Nitrogen (DON) and Dissolved Organic Carbon (DOC) in Soil. Soil Biol. Biochem. 2006, 38, 991–999. [Google Scholar] [CrossRef]
- Wright, A.F.; Bailey, J.S. Organic Carbon, Total Carbon, and Total Nitrogen Determinations in Soils of Variable Calcium Carbonate Contents Using a Leco CN-2000 Dry Combustion Analyzer. Commun. Soil Sci. Plant Anal. 2001, 32, 3243–3258. [Google Scholar] [CrossRef]
- Li, Y.; Brandle, J.; Awada, T.; Chen, Y.; Han, J.; Zhang, F.; Luo, Y. Accumulation of Carbon and Nitrogen in the Plant-Soil System After Afforestation of Active Sand Dunes in China’s Horqin Sandy Land. Agric. Ecosyst. Environ. 2013, 177, 75–84. [Google Scholar] [CrossRef]
- Chellappa, J.; Sagar, K.L.; Sekaran, U.; Kumar, S.; Sharma, P. Soil Organic Carbon, Aggregate Stability and Biochemical Activity Under Tilled and No-Tilled Agroecosystems. J. Agric. Food Res. 2021, 4, 100139. [Google Scholar] [CrossRef]
- Schnitzer, M. Humic-Fulvic Acid Relationships in Organic Soils and Humification of the Organic Matter in These Soils. Can. J. Soil Sci. 1967, 47, 245–250. [Google Scholar] [CrossRef]
- Zhao, H.; Li, B.; Wang, C.; Long, S.; Li, B.; Xian, S.; Zeng, L.; Xiao, M.; Liu, Q. The Effects of Biochars on Humus Composition in Acidic Purplish Soil. Chin. J. Eco-Agric. 2022, 28, 1949–1957. [Google Scholar]
- Zhao, Z.; Mao, Y.; Gao, S.; Lu, C.; Pan, C.; Li, X. Organic Carbon Accumulation and Aggregate Formation in Soils Under Organic and Inorganic Fertilizer Management Practices in a Rice–Wheat Cropping System. Sci. Rep. 2023, 13, 3665. [Google Scholar] [CrossRef] [PubMed]
- Rathi, A.; Kumar, P.; Nangla, S. Soil Restoration Strategies for Sustaining Soil Productivity: A Review. Asian Res. J. Agric. 2024, 17, 33–48. [Google Scholar] [CrossRef]
- Gikonyo, F.N.; Dong, X.; Mosongo, P.S.; Guo, K.; Liu, X. Long-Term Impacts of Different Cropping Patterns on Soil Physico-Chemical Properties and Enzyme Activities in the Low Land Plain of North China. Agronomy 2022, 12, 471. [Google Scholar] [CrossRef]
- Kumar, A.; Naresh, R.K.; Singh, S.; Mahajan, N.C.; Singh, O. Soil Aggregation and Organic Carbon Fractions and Indices in Conventional and Conservation Agriculture Under Vertisol Soils of Sub-Tropical Ecosystems: A Review. Int. J. Curr. Microbiol. Appl. Sci. 2019, 8, 2236–2253. [Google Scholar] [CrossRef]
- Mavi, M.S.; Marschner, P.; Chittleborough, D.J.; Cox, J.W.; Sanderman, J. Salinity and Sodicity Affect Soil Respiration and Dissolved Organic Matter Dynamics Differentially in Soils Varying in Texture. Soil Biol. Biochem. 2012, 45, 8–13. [Google Scholar] [CrossRef]
- Setia, R.; Gottschalk, P.; Smith, P.; Marschner, P.; Baldock, J.; Setia, D.; Smith, J. Soil Salinity Decreases Global Soil Organic Carbon Stocks. Sci. Total Environ. 2013, 465, 267–272. [Google Scholar] [CrossRef]
- Morrissey, E.M.; Gillespie, J.L.; Morina, J.C.; Franklin, R.B. Salinity Affects Microbial Activity and Soil Organic Matter Content in Tidal Wetlands. Glob. Change Biol. 2014, 20, 1351–1362. [Google Scholar] [CrossRef] [PubMed]
- Xiao, L.; Chen, S.; Han, F.; Wang, T.; Li, Y.; Li, W.; Yuan, G.; Wu, J. Unveiling Carbon Dynamics in Year-Round Waterlogged Pond Fields: Insights into Soil Organic Carbon Accumulation and Sustainable Management. Carbon Res. 2025, 4, 14. [Google Scholar] [CrossRef]
- Sarker, R.R.; Rashid, M.H.; Islam, M.A.; Jahiruddin, M.; Islam, K.R.; Jahangir, M.M.R. Conservation Agriculture’s Impact on Total and Labile Organic Carbon Pools in Calcareous and Non-Calcareous Floodplain Soils Under a Subtropical Rice-Based System. PLoS ONE 2023, 18, e0293257. [Google Scholar] [CrossRef]
- Suarez, D.L. Sodic Soil Reclamation: Modelling and Field Study. Aust. J. Soil Res. 2001, 39, 1225–1246. [Google Scholar] [CrossRef]
- Ethan, S. Effect of Flooding on Chemistry of Paddy Soils: A Review. Int. J. Innov. Sci. Eng. Technol. 2015, 2, 414–420. [Google Scholar]
- Fan, H.Z.; Chen, Q.R.; Qin, Y.S.; Chen, K.; Tu, S.H.; Xu, M.G.; Zhang, W.J. Soil Carbon Sequestration Under Long-Term Rice-Based Cropping Systems of Purple Soil in Southwest China. J. Integr. Agric. 2015, 14, 2417–2425. [Google Scholar] [CrossRef]
- Terajima, T.; Moriizumi, M. Temporal and Spatial Changes in Dissolved Organic Carbon Concentration and Fluorescence Intensity of Fulvic Acid like Materials in Mountainous Headwater Catchments. J. Hydrol. 2013, 479, 1–12. [Google Scholar] [CrossRef]
- Guggenberger, G.; Zech, W. Dissolved Organic Carbon Control in Acid Forest Soils of the Fichtelgebirge (Germany) as Revealed by Distribution Patterns and Structural Composition Analyses. Geoderma 1993, 59, 109–129. [Google Scholar] [CrossRef]
- Almendros, G.; González-Pérez, J.A. Soil Organic Carbon Sequestration Mechanisms and the Chemical Nature of Soil Organic Matter—A Review. Sustainability 2025, 17, 6689. [Google Scholar] [CrossRef]
- Pereira, D.G.C.; de Alencar, G.V.; Escobar, M.E.O.; Mendonça, E.D.S.; de Oliveira, T.S. Effect of Organic Farming on Soil Carbon Reserves and Quality in Citrus Groves in the Brazilian Semi-Arid Region. Soil Use Manag. 2025, 41, e70080. [Google Scholar] [CrossRef]
- Krüger, N.; Finn, D.R.; Don, A. Soil Depth Gradients of Organic Carbon-13—A Review on Drivers and Processes. Plant Soil 2024, 495, 113–136. [Google Scholar] [CrossRef]
- Lee, S.B.; Lee, C.H.; Jung, K.Y.; Do Park, K.; Lee, D.; Kim, P.J. Changes of Soil Organic Carbon and Its Fractions in Relation to Soil Physical Properties in a Long-Term Fertilized Paddy. Soil Tillage Res. 2009, 104, 227–232. [Google Scholar] [CrossRef]
- Mandal, M.; Rout, K.K.; Panda, N.; Singh, M. Stabilization of Functional Soil Organic Matter Fractions in Response to Long-Term Fertilization in Tropical Rice–Rice Cropping System. Commun. Soil Sci. Plant Anal. 2020, 51, 136–148. [Google Scholar] [CrossRef]
- Mi, W.; Sun, Y.; Gao, Q.; Liu, M.; Wu, L. Changes in Humus Carbon Fractions in Paddy Soil Given Different Organic Amendments and Mineral Fertilizers. Soil Tillage Res. 2019, 195, 104421. [Google Scholar] [CrossRef]
- Raiesi, F. The Quantity and Quality of Soil Organic Matter and Humic Substances Following Dry-Farming and Subsequent Restoration in an Upland Pasture. Catena 2021, 202, 105249. [Google Scholar] [CrossRef]
- Rumpel, C.; Kögel-Knabner, I.; Bruhn, F. Vertical Distribution, Age, and Chemical Composition of Organic Carbon in Two Forest Soils of Different Pedogenesis. Org. Geochem 2002, 33, 1131–1142. [Google Scholar] [CrossRef]
- Chaopricha, N.T.; Marín-Spiotta, E. Soil Burial Contributes to Deep Soil Organic Carbon Storage. Soil Biol. Biochem. 2014, 69, 251–264. [Google Scholar] [CrossRef]
- Bronick, C.J.; Lal, R. Soil Structure and Management: A Review. Geoderma 2005, 124, 3–22. [Google Scholar] [CrossRef]
- Dang, A.; Bennett, J.M.L.; Marchuk, A.; Biggs, A.; Raine, S.R. Quantifying the Aggregation-Dispersion Boundary Condition in Terms of Saturated Hydraulic Conductivity Reduction and the Threshold Electrolyte Concentration. Agric. Water Manag. 2018, 203, 172–178. [Google Scholar] [CrossRef]
- Yan, J.; Lazouskaya, V.; Jin, Y. Soil Colloid Release Affected by Dissolved Organic Matter and Redox Conditions. Vadose Zone J. 2016, 15, vzj2015. [Google Scholar] [CrossRef]
- Possinger, A.R.; Bailey, S.W.; Inagaki, T.M.; Kögel-Knabner, I.; Dynes, J.J.; Arthur, Z.A.; Lehmann, J. Organo-Mineral Interactions and Soil Carbon Mineralizability with Variable Saturation Cycle Frequency. Geoderma 2020, 375, 114483. [Google Scholar] [CrossRef]
- Zhang, Z.; Furman, A. Soil Redox Dynamics Under Dynamic Hydrologic Regimes—A Review. Sci. Total Environ. 2021, 763, 143026. [Google Scholar] [CrossRef]
- Jennings, E.; Järvinen, M.; Allott, N.; Arvola, L.; Moore, K.; Naden, P.; Aonghusa, C.N.; Nõges, T. The Impact of Climate Change on European Lakes; Springer: Berlin/Heidelberg, Germany, 2010. [Google Scholar] [CrossRef]
- Vidon, P.G.; Hubbard, H.A.; Cuadra, P.E.; Hennessy, M.L. Storm Dissolved Organic Carbon Dynamics in an Artificially Drained Watershed of the US Midwest. Air Soil Water Res. 2012, 5, 103–115. [Google Scholar] [CrossRef]
- Park, S.; Lee, J. Green Manure Improves Humification and Aggregate Stability in Paddy Soils. Soil Biol. Biochem. 2025, 206, 109796. [Google Scholar] [CrossRef]
- Sarker, T.C.; Incerti, G.; Spaccini, R.; Piccolo, A.; Mazzoleni, S.; Bonanomi, G. Linking Organic Matter Chemistry with Soil Aggregate Stability: Insight from 13C NMR Spectroscopy. Soil Biol. Biochem. 2018, 117, 175–184. [Google Scholar] [CrossRef]
- Ahamadou, B. Composition and Structure of Humic Substances in Long-Term Fertilization Experimental Soils of Southern China. J. Soil Sci. Environ. Manag. 2013, 4, 77–86. [Google Scholar] [CrossRef]
- Beamlaku, A.; Habtemariam, T. Soil Colloids, Types and Their Properties: A Review. Open J. Bioinform. Biostat. 2021, 5, 008–013. [Google Scholar] [CrossRef]
- Fulton-Smith, S.; Even, R.; Cotrufo, M.F. Depth Impacts on the Aggregate-Mediated Mechanisms of Root Carbon Stabilization in Soil: Trade-off Between MAOM and POM Pathways. Geoderma 2024, 452, 117078. [Google Scholar] [CrossRef]







| Soil Depth | Treatment | >2 mm (%) | 0.25–2 mm (%) | 0.053–0.25 mm (%) | <0.053 mm (%) | MWD (mm) | GMD (mm) | WSA (%) |
|---|---|---|---|---|---|---|---|---|
| 0–20 cm | R17 | 22.33 ± 6.14 ab | 58.12 ± 5.04 a | 12.53 ± 5.45 b | 7.03 ± 0.56 b | 0.60 ± 0.04 a | 0.64 ± 0.09 a | 80.45 ± 4.93 a |
| R6 | 37.45± 2.67 a | 36.03 ± 2.42 b | 10.87 ± 3.10 b | 15.65 ± 1.29 b | 0.62 ±0.02 a | 0.62 ± 0.07 a | 73.48 ± 3.82 a | |
| CK | 11.69 ± 6.91 b | 9.31 ± 2.24 c | 46.48 ± 3.18 a | 32.53 ± 6.01 a | 0.26 ± 0.05 b | 0.15 ± 0.04 b | 21.00 ± 5.49 b | |
| 20–40 cm | R17 | 95.19 ± 1.41 a | 0.54 ± 0.28 b | 1.96 ± 0.89 b | 2.31 ± 0.38 b | 0.95 ± 0.01 a | 2.39 ± 0.10 a | 95.73 ± 1.15 a |
| R6 | 96.68 ± 0.32 a | 0.24 ± 0.01 b | 0.36 ± 0.05 b | 2.72 ± 0.30 b | 0.97 ± 0.30 a | 2.48 ± 0.03 a | 96.92 ± 0.34 a | |
| CK | 24.23 ± 5.61 b | 14.80 ± 5.82 b | 32.96 ± 9.28 a | 28.00 ± 3.75 a | 0.39 ± 0.07 b | 0.26 ± 0.08 b | 39.04 ± 10.58 b | |
| 40–60 cm | R17 | 97.34 ± 0.11 a | 0.16 ± 0.06 a | 0.52 ± 0.10 b | 1.98 ± 0.10 b | 0.97 ± 0.00 a | 2.55 ± 0.01 b | 97.50 ± 0.08 a |
| R6 | 97.75 ± 0.01 a | 0.75 ± 0.12 a | 0.54 ± 0.09 b | 0.95 ± 0.16 b | 0.98 ± 0.00 a | 2.64 ± 0.01 a | 98.50 ± 0.12 a | |
| CK | 16.01 ± 8.60 b | 18.41 ± 11.80 a | 29.79 ± 1.75 a | 35.78 ± 6.86 a | 0.34 ± 0.03 b | 0.18 ± 0.03 c | 34.43 ± 5.28 b |
| Soil Depth | Treatments | pH | EC (mS cm−1) | SAR |
|---|---|---|---|---|
| 0–20 cm | R17 | 8.47 ± 0.02 Cb | 0.51 ± 0.11 Ab | 15.71 ± 0.45 Bc |
| R6 | 8.43 ± 0.14 Bb | 0.60 ± 0.14 Ab | 19.66 ± 0.38 Ab | |
| CK | 9.55 ± 0.03 Aa | 3.28 ± 0.34 Aa | 29.07 ± 0.16 Ca | |
| 20–40 cm | R17 | 8.87 ± 0.11 Bb | 0.37 ± 0.03 Bb | 17.15 ± 0.82 Bb |
| R6 | 8.85 ± 0.06 Ab | 0.51 ± 0.07 Ab | 13.90± 0.54 Bc | |
| CK | 9.42 ± 0.01 Ba | 1.90 ± 0.03 Ba | 44.14 ± 1.12 Ba | |
| 40–60 cm | R17 | 9.13 ± 0.01 Ab | 0.50 ± 0.02 Ab | 27.43 ± 0.50 Ac |
| R6 | 8.99 ± 0.03 Ac | 0.63 ± 0.02 Ab | 30.00± 0.05 Cb | |
| CK | 9.46 ± 0.01 Ba | 2.04 ± 0.06 Ba | 51.16 ± 0.24 Aa |
| Depth | Carbon Quantity | Carbon Quality | Carbon Mobility | Inorganic Carbon | Soil Structure |
|---|---|---|---|---|---|
| 0–20 cm | 0.977 | 0.930 | 0.974 | 0.969 | 0.988 |
| 20–40 cm | 0.891 | 0.969 | 0.990 | 0.850 | 0.999 |
| 40–60 cm | 0.970 | 0.994 | 0.978 | 0.982 | 0.998 |
Disclaimer/Publisher’s Note: The statements, opinions and data contained in all publications are solely those of the individual author(s) and contributor(s) and not of MDPI and/or the editor(s). MDPI and/or the editor(s) disclaim responsibility for any injury to people or property resulting from any ideas, methods, instructions or products referred to in the content. |
© 2026 by the authors. Licensee MDPI, Basel, Switzerland. This article is an open access article distributed under the terms and conditions of the Creative Commons Attribution (CC BY) license.
Share and Cite
Gikonyo, F.N.; Wu, Y.; Zhu, K.; Ju, Z.; Guo, K.; Liu, X. Rice Cultivation Alters Soil Aggregates by Changing the Distribution of Humic Substances in Saline–Sodic Soils. Agronomy 2026, 16, 448. https://doi.org/10.3390/agronomy16040448
Gikonyo FN, Wu Y, Zhu K, Ju Z, Guo K, Liu X. Rice Cultivation Alters Soil Aggregates by Changing the Distribution of Humic Substances in Saline–Sodic Soils. Agronomy. 2026; 16(4):448. https://doi.org/10.3390/agronomy16040448
Chicago/Turabian StyleGikonyo, Florence Nyambura, Yujie Wu, Kexin Zhu, Zhaoqiang Ju, Kai Guo, and Xiaojing Liu. 2026. "Rice Cultivation Alters Soil Aggregates by Changing the Distribution of Humic Substances in Saline–Sodic Soils" Agronomy 16, no. 4: 448. https://doi.org/10.3390/agronomy16040448
APA StyleGikonyo, F. N., Wu, Y., Zhu, K., Ju, Z., Guo, K., & Liu, X. (2026). Rice Cultivation Alters Soil Aggregates by Changing the Distribution of Humic Substances in Saline–Sodic Soils. Agronomy, 16(4), 448. https://doi.org/10.3390/agronomy16040448

