Effects of Nitrogen Addition and Mowing on Plant–Soil Stoichiometric Characteristics and Homeostasis in Degraded Grasslands Dominated by Sophora alopecuroides L.
Abstract
1. Introduction
2. Materials and Methods
2.1. Study Site
2.2. Experimental Design
2.3. Soil and Plant Collection, Physical–Chemical Property Analyses and Plant Community Surveys
2.4. Data Calculation
2.5. Statistical Analysis
3. Results
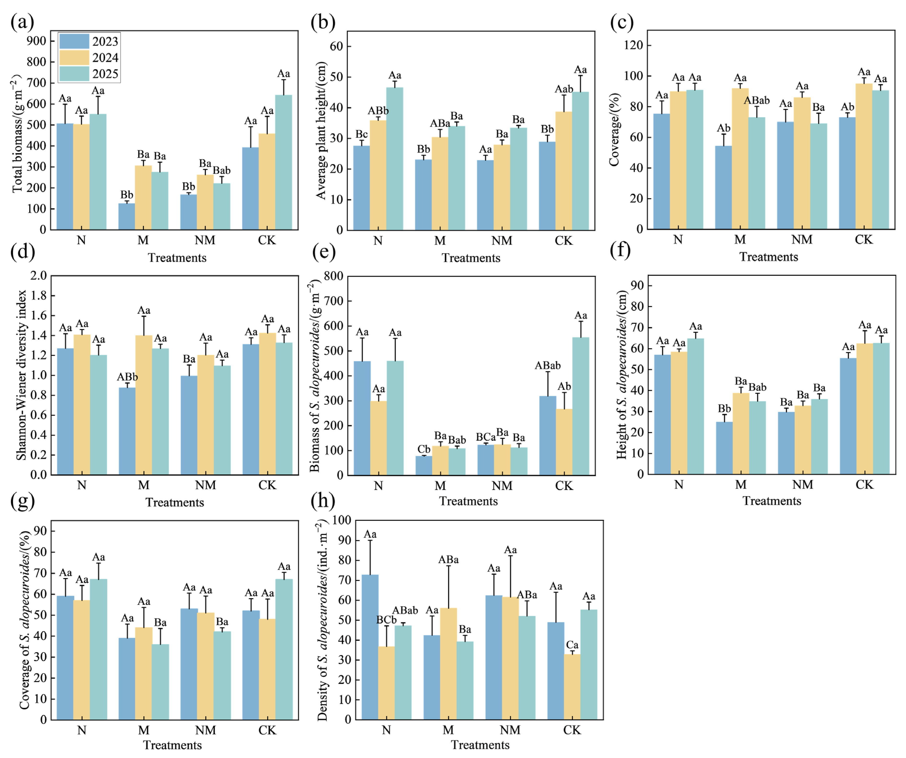
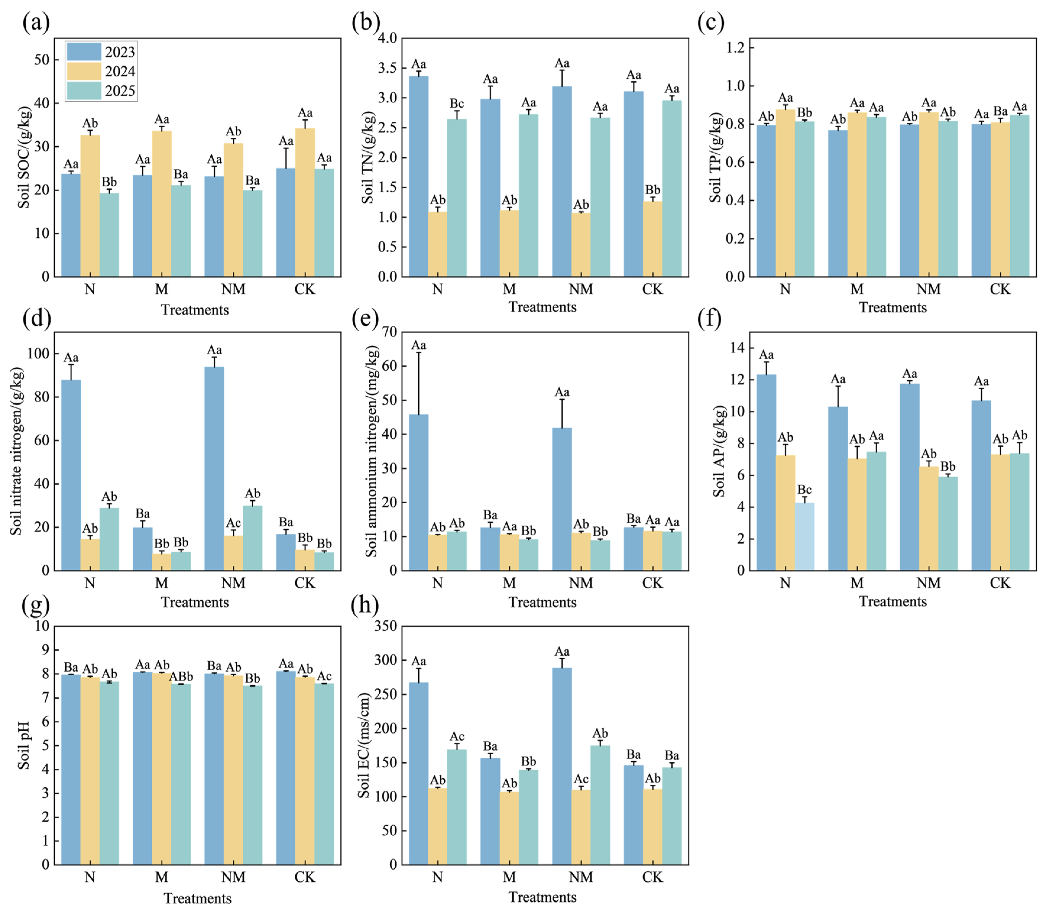
3.1. Effects of Nitrogen Addition and Mowing on Plant Community Characteristics and Soil Nutrient Dynamics
3.2. Effects of Nitrogen and Mowing Treatments on the C:N:P Stoichiometric Characteristics of Soil and Plants
3.3. The Effects of Nitrogen Treatment and Mowing Treatment on the Homeostasis of Soil–Plant Carbon, Nitrogen, and Phosphorus
3.4. The Correlation Between Plant Indicators and Soil Indicators
4. Discussion
4.1. The Effects of Nitrogen Addition and Mowing on Plants
4.2. Effects of Nitrogen Addition and Mowing on Soil Physicochemical Properties
4.3. Effects of Nitrogen Addition and Mowing on Plant–Soil C:N:P Stoichiometric Characteristics
4.4. Differences in C:N:P Contents and Plant–Soil Homeostasis
4.5. Driving Mechanisms of the Plant–Soil System
5. Conclusions
Author Contributions
Funding
Data Availability Statement
Acknowledgments
Conflicts of Interest
Abbreviations
| SOC | Soil organic carbon |
| TN | Soil total nitrogen |
| TP | Soil total phosphorus |
| AP | Soil available phosphorus |
| NO3−-N | Nitrate nitrogen |
| NH4+-N | Ammonium nitrogen |
| EC | Electrical conductivity |
| RC | Root of S. alopecuroides total carbon |
| RN | Root of S. alopecuroides total nitrogen |
| RP | Root of S. alopecuroides total phosphorus |
| RC:N | Root of S. alopecuroides C:N |
| RC:P | Root of S. alopecuroides C:P |
| RN:P | Root of S. alopecuroides N:P |
References
- Zhang, M.; Zhang, F.; Guo, L.; Dong, P.; Cheng, C.; Kumar, P.; Johnson, B.A.; Chan, N.W.; Shi, J. Contributions of Climate Change and Human Activities to Grassland Degradation and Improvement from 2001 to 2020 in Zhaosu County, China. J. Environ. Manag. 2023, 348, 119465. [Google Scholar] [CrossRef]
- Gibbs, H.K.; Salmon, J.M. Mapping the World’s Degraded Lands. Appl. Geogr. 2015, 57, 12–21. [Google Scholar] [CrossRef]
- Chen, J.; Biswas, A.; Su, H.; Cao, J.; Hong, S.; Wang, H.; Dong, X. Quantifying Changes in Soil Organic Carbon Density from 1982 to 2020 in Chinese Grasslands Using a Random Forest Model. Front. Plant Sci. 2023, 14, 1076902. [Google Scholar] [CrossRef] [PubMed]
- Li, T.; Cui, L.; Lv, W.; Song, X.; Cui, X.; Tang, L. Exploring the Frontiers of Sustainable Livelihoods Research within Grassland Ecosystem: A Scientometric Analysis. Heliyon 2022, 8, e10704. [Google Scholar] [CrossRef] [PubMed]
- Zhou, Y.; Li, Y.; Li, W.; Li, F.; Xin, Q. Ecological Responses to Climate Change and Human Activities in the Arid and Semi-Arid Regions of Xinjiang in China. Remote Sens. 2022, 14, 3911. [Google Scholar] [CrossRef]
- Li, Y.-Y.; Dong, S.-K.; Liu, S.; Wang, X.; Wen, L.; Wu, Y. The Interaction between Poisonous Plants and Soil Quality in Response to Grassland Degradation in the Alpine Region of the Qinghai-Tibetan Plateau. Plant Ecol. 2014, 215, 809–819. [Google Scholar] [CrossRef]
- Rong, W.; Huang, X.; Hu, S.; Zhang, X.; Jiang, P.; Niu, P.; Su, J.; Wang, M.; Chu, G. Impacts of Climate Change on the Habitat Suitability and Natural Product Accumulation of the Medicinal Plant Sophora alopecuroides L. Based on the MaxEnt Model. Plants 2024, 13, 1424. [Google Scholar] [CrossRef]
- Zhao, J.; Shi, C.; Wang, L.; Han, X.; Zhu, Y.; Liu, J.; Yang, X. Functional Trait Responses of Sophora alopecuroides L. Seedlings to Diverse Environmental Stresses in the Desert Steppe of Ningxia, China. Plants 2024, 13, 69. [Google Scholar] [CrossRef]
- Lei, L.; Zhao, Y.; Shi, K.; Liu, Y.; Hu, Y.; Shao, H. Phytotoxic Activity of Alkaloids in the Desert Plant Sophora alopecuroides. Toxins 2021, 13, 706. [Google Scholar] [CrossRef]
- Fay, P.A.; Prober, S.M.; Harpole, W.S.; Knops, J.M.H.; Bakker, J.D.; Borer, E.T.; Lind, E.M.; MacDougall, A.S.; Seabloom, E.W.; Wragg, P.D.; et al. Grassland Productivity Limited by Multiple Nutrients. Nat. Plants 2015, 1, 15080. [Google Scholar] [CrossRef]
- Reay, D.S.; Dentener, F.; Smith, P.; Grace, J.; Feely, R.A. Global Nitrogen Deposition and Carbon Sinks. Nat. Geosci. 2008, 1, 430–437. [Google Scholar] [CrossRef]
- Borer, E.T.; Stevens, C.J. Nitrogen Deposition and Climate: An Integrated Synthesis. Trends Ecol. Evol. 2022, 37, 541–552. [Google Scholar] [CrossRef] [PubMed]
- Farrer, E.C.; Suding, K.N. Teasing Apart Plant Community Responses to N Enrichment: The Roles of Resource Limitation, Competition and Soil Microbes. Ecol. Lett. 2016, 19, 1287–1296. [Google Scholar] [CrossRef] [PubMed]
- Zhao, Y.; Yang, B.; Li, M.; Xiao, R.; Rao, K.; Wang, J.; Zhang, T.; Guo, J. Community Composition, Structure and Productivity in Response to Nitrogen and Phosphorus Additions in a Temperate Meadow. Sci. Total Environ. 2019, 654, 863–871. [Google Scholar] [CrossRef]
- Li, T.; Cui, L.; Liu, L.; Wang, H.; Dong, J.; Wang, F.; Song, X.; Che, R.; Li, C.; Tang, L.; et al. Characteristics of Nitrogen Deposition Research within Grassland Ecosystems Globally and Its Insight from Grassland Microbial Community Changes in China. Front. Plant Sci. 2022, 13, 947279. [Google Scholar] [CrossRef]
- Zhang, L.; Zhao, Z.; Jiang, B.; Baoyin, B.; Cui, Z.; Wang, H.; Li, Q.; Cui, J. Effects of Long-Term Application of Nitrogen Fertilizer on Soil Acidification and Biological Properties in China: A Meta-Analysis. Microorganisms 2024, 12, 1683. [Google Scholar] [CrossRef]
- Wu, Q.; Ren, H.; Wang, Z.; Li, Z.; Liu, Y.; Wang, Z.; Li, Y.; Zhang, R.; Zhao, M.; Chang, S.X.; et al. Additive Negative Effects of Decadal Warming and Nitrogen Addition on Grassland Community Stability. J. Ecol. 2020, 108, 1442–1452. [Google Scholar] [CrossRef]
- Zhao, T.; Zhang, F.; Suo, R.; Gu, C.; Chen, D.; Yang, T.; Zhao, M. Biennial Mowing Maintains the Biomass and Functional Diversity of Semi-Arid Grassland. Sustainability 2020, 12, 1507. [Google Scholar] [CrossRef]
- Díaz, S.; Lavorel, S.; McINTYRE, S.; Falczuk, V.; Casanoves, F.; Milchunas, D.G.; Skarpe, C.; Rusch, G.; Sternberg, M.; Noy-Meir, I.; et al. Plant Trait Responses to Grazing—A Global Synthesis. Glob. Change Biol. 2007, 13, 313–341. [Google Scholar] [CrossRef]
- Gillespie, M.A.K.; Buckley, H.L.; Condron, L.; Wratten, S.D. Grassland Plant and Invertebrate Species Richness Increases from Mowing Are Mediated by Impacts on Soil Chemistry. Basic Appl. Ecol. 2022, 63, 152–163. [Google Scholar] [CrossRef]
- Liu, J.; Li, L.; Ji, L.; Li, Y.; Li, J.; Li, F.Y. Divergent Effects of Grazing versus Mowing on Plant Nutrients in Typical Steppe Grasslands of Inner Mongolia. J. Plant Ecol. 2023, 16, rtac032. [Google Scholar] [CrossRef]
- Wang, J.; Wei, K.; Li, Z.; Wang, Y.; Tang, J.; Zhu, B. Effects of Mowing on Root Biomass, Soil Properties, Microbial Biomass, and Microbial Diversity in Grasslands: A Meta-Analysis. Land Degrad. Dev. 2025, 36, 1483–1491. [Google Scholar] [CrossRef]
- Li, L.; Liu, H.; Baoyin, T. Mowing Increases Root-to-Shoot Ratio but Decreases Soil Organic Carbon Storage and Microbial Biomass C in a Semiarid Grassland of North China. Agriculture 2022, 12, 1324. [Google Scholar] [CrossRef]
- Guo, X.; Zhou, X.; Hale, L.; Yuan, M.; Feng, J.; Ning, D.; Shi, Z.; Qin, Y.; Liu, F.; Wu, L.; et al. Taxonomic and Functional Responses of Soil Microbial Communities to Annual Removal of Aboveground Plant Biomass. Front. Microbiol. 2018, 9, 954. [Google Scholar] [CrossRef]
- Yang, Z.; Minggagud, H.; Baoyin, T.; Li, F.Y. Plant Production Decreases Whereas Nutrients Concentration Increases in Response to the Decrease of Mowing Stubble Height. J. Environ. Manag. 2020, 253, 109745. [Google Scholar] [CrossRef]
- Chen, Z.; Xu, X.; Wen, Y.; Cheng, M.; Wang, X. The Critical Role of Soil Ecological Stoichiometric Ratios: How Does Reforestation Improve Soil Nitrogen and Phosphorus Availability? Plants 2024, 13, 2320. [Google Scholar] [CrossRef]
- Yu, Q.; Chen, Q.; Elser, J.J.; He, N.; Wu, H.; Zhang, G.; Wu, J.; Bai, Y.; Han, X. Linking Stoichiometric Homoeostasis with Ecosystem Structure, Functioning and Stability. Ecol. Lett. 2010, 13, 1390–1399. [Google Scholar] [CrossRef]
- Filipiak, M.; Filipiak, Z.M. Application of Ionomics and Ecological Stoichiometry in Conservation Biology: Nutrient Demand and Supply in a Changing Environment. Biol. Conserv. 2022, 272, 109622. [Google Scholar] [CrossRef]
- Pugnaire, F.I.; Morillo, J.A.; Peñuelas, J.; Reich, P.B.; Bardgett, R.D.; Gaxiola, A.; Wardle, D.A.; van der Putten, W.H. Climate Change Effects on Plant-Soil Feedbacks and Consequences for Biodiversity and Functioning of Terrestrial Ecosystems. Sci. Adv. 2019, 5, eaaz1834. [Google Scholar] [CrossRef]
- Hobbie, S.E. Plant Species Effects on Nutrient Cycling: Revisiting Litter Feedbacks. Trends Ecol. Evol. 2015, 30, 357–363. [Google Scholar] [CrossRef]
- Wang, D.; Chi, Z.; Yue, B.; Huang, X.; Zhao, J.; Song, H.; Yang, Z.; Miao, R.; Liu, Y.; Zhang, Y.; et al. Effects of Mowing and Nitrogen Addition on the Ecosystem C and N Pools in a Temperate Steppe: A Case Study from Northern China. Catena 2020, 185, 104332. [Google Scholar] [CrossRef]
- Borer, E.T.; Seabloom, E.W.; Gruner, D.S.; Harpole, W.S.; Hillebrand, H.; Lind, E.M.; Adler, P.B.; Alberti, J.; Anderson, T.M.; Bakker, J.D.; et al. Herbivores and Nutrients Control Grassland Plant Diversity via Light Limitation. Nature 2014, 508, 517–520. [Google Scholar] [CrossRef]
- Gu, X.; Zhang, F.; Xie, X.; Cheng, Y.; Xu, X. Effects of N and P Addition on Nutrient and Stoichiometry of Rhizosphere and Non-Rhizosphere Soils of Alfalfa in Alkaline Soil. Sci. Rep. 2023, 13, 12119. [Google Scholar] [CrossRef] [PubMed]
- Chen, S.; Zhang, W.; Ge, X.; Zheng, X.; Zhou, X.; Ding, H.; Zhang, A. Response of Plant and Soil N, P, and N:P Stoichiometry to N Addition in China: A Meta-Analysis. Plants 2023, 12, 2104. [Google Scholar] [CrossRef]
- Henry, H.A.L.; Cleland, E.E.; Field, C.B.; Vitousek, P.M. Interactive Effects of Elevated CO2, N Deposition and Climate Change on Plant Litter Quality in a California Annual Grassland. Oecologia 2005, 142, 465–473. [Google Scholar] [CrossRef] [PubMed]
- Ma, L.; Shi, H.; Su, H.; Hu, X.; Li, S.; Zhang, Q.; Wei, J.; Xu, S.; Zhang, Z.; Shi, Z.; et al. Long-Term Warming and Mowing Shift the Dominant Control of Soil Respiration in an Alpine Meadow of the Tibet Plateau. Plant Soil 2025, 1, 20. [Google Scholar] [CrossRef]
- Yang, J.; Huang, X. The 30&thinspm Annual Land Cover Dataset and Its Dynamics in China from 1990 to 2019. Earth Syst. Sci. Data 2021, 13, 3907–3925. [Google Scholar]
- Schad, P. World Reference Base for Soil Resources 2022: International Soil Classification System for Naming Soils and Creating Legends for Soil Maps, 4th ed.; International Union of Soil Sciences: Vienna, Austria, 2022. [Google Scholar]
- Bao, S. Soil Agrochemical Analysis, 3rd ed.; China Agriculture Press: Beijing, China, 2000. [Google Scholar]
- Zhang, J. Quantitative Ecology, 2nd ed.; Science Press: Beijing: China, 2004. [Google Scholar]
- Persson, J.; Fink, P.; Goto, A.; Hood, J.M.; Jonas, J.; Kato, S. To Be or Not to Be What You Eat: Regulation of Stoichiometric Homeostasis among Autotrophs and Heterotrophs. Oikos 2010, 119, 741–751. [Google Scholar] [CrossRef]
- Hassan, N.; Wang, Z. Paralleled Grazing and Mowing Differentially Affected Plant Community Diversity and Productivity in a Semi-Arid Grassland. Ecol. Process. 2024, 13, 62. [Google Scholar] [CrossRef]
- Yang, G.-J.; Lü, X.-T.; Stevens, C.J.; Zhang, G.-M.; Wang, H.-Y.; Wang, Z.-W.; Zhang, Z.-J.; Liu, Z.-Y.; Han, X.-G. Mowing Mitigates the Negative Impacts of N Addition on Plant Species Diversity. Oecologia 2019, 189, 769–779. [Google Scholar] [CrossRef]
- Liu, Y.; Cordero, I.; Bardgett, R.D. Defoliation and Fertilisation Differentially Moderate Root Trait Effects on Soil Abiotic and Biotic Properties. J. Ecol. 2023, 111, 2733–2749. [Google Scholar] [CrossRef]
- He, M.; Barry, K.E.; Soons, M.B.; Allan, E.; Cappelli, S.L.; Craven, D.; Doležal, J.; Isbell, F.; Lanta, V.; Lepš, J.; et al. Cumulative Nitrogen Enrichment Alters the Drivers of Grassland Overyielding. Commun. Biol. 2024, 7, 309. [Google Scholar] [CrossRef] [PubMed]
- Hu, Y.-Y.; Zhang, Z.-W.; Hou, S.-L.; Yang, J.-J.; Lü, X.-T. Annual Mowing Mitigates the Negative Legacy Effects of N Enrichment on Grassland Nutrient Use Efficiency. J. Plant Ecol. 2021, 14, 959–969. [Google Scholar] [CrossRef]
- Mori, S.; Irving, L.J. Defoliation Affects the Root Competitive Balance for N between Poa Annua Plants Grown in a Split-Root Box. Grassl. Res. 2022, 1, 94–102. [Google Scholar] [CrossRef]
- Zhang, X.; Yang, G.; Ning, Y.; Jiang, L.; Han, X.; Lü, X.-T. Dominant Species Drove the Balance between Biodiversity and Productivity in Mown Grasslands under Nitrogen Fertilization. Ecol. Appl. 2025, 35, e70009. [Google Scholar] [CrossRef]
- Wang, R.; Cresswell, T.; Johansen, M.P.; Harrison, J.J.; Jiang, Y.; Keitel, C.; Cavagnaro, T.R.; Dijkstra, F.A. Reallocation of Nitrogen and Phosphorus from Roots Drives Regrowth of Grasses and Sedges after Defoliation under Deficit Irrigation and Nitrogen Enrichment. J. Ecol. 2021, 109, 4071–4080. [Google Scholar] [CrossRef]
- Wu, J.; Hou, X.; Xu, L.; Zhou, Q.; Wang, Y.; Guo, Z.; Adomako, M.O.; Ma, Q. Belowground Bud Banks and Land Use Change: Roles of Vegetation and Soil Properties in Mediating the Composition of Bud Banks in Different Ecosystems. Front. Plant Sci. 2024, 14, 1330664. [Google Scholar] [CrossRef]
- Qian, J.; Zhang, Z.; Dong, Y.; Ma, Q.; Yu, Q.; Zhu, J.; Zuo, X.; Broderick, C.M.; Collins, S.L.; Han, X.; et al. Responses of Bud Banks and Shoot Density to Experimental Drought along an Aridity Gradient in Temperate Grasslands. Funct. Ecol. 2023, 37, 1211–1220. [Google Scholar] [CrossRef]
- Guo, M.; Guo, T.; Zhou, J.; Liang, J.; Yang, G.; Zhang, Y. Restored Legume Acts as a “Nurse” to Facilitate Plant Compensatory Growth and Biomass Production in Mown Grasslands. Agron. Sustain. Dev. 2024, 44, 60. [Google Scholar] [CrossRef]
- Ma, X.-H.; Huang, J.-Y.; Yu, H.-L.; Han, C.; Li, B. Soil Organic Carbon and Its Easily Decomposed Components under Precipitation Change and Nitrogen Addition in a Desert Steppe in Northwest China. Chin. J. Plant Ecol. 2024, 48, 1065. [Google Scholar]
- Du, L.; Tang, L.; Zheng, X.; Li, Y. A Global Analysis of Plant Nutrient Limitation Affected by Atmospheric Nitrogen and Phosphorous Deposition. Front. Plant Sci. 2024, 15, 1473493. [Google Scholar] [CrossRef] [PubMed]
- Zhang, C.; Xi, N. Precipitation Changes Regulate Plant and Soil Microbial Biomass Via Plasticity in Plant Biomass Allocation in Grasslands: A Meta-Analysis. Front. Plant Sci. 2021, 12, 614968. [Google Scholar] [CrossRef] [PubMed]
- Yu, Y.; Liu, S.; Pan, J.; Zhu, J.; Zong, N.; Zhang, X.; Wu, H.; An, H.; Diao, H.; Zuo, X.; et al. Extreme Wetness Reduces Soil Microbial Residue Carbon More Substantially Than Extreme Drought Across Grassland Ecosystems. Glob. Change Biol. 2025, 31, e70353. [Google Scholar] [CrossRef] [PubMed]
- Wang, X.; Chen, X.; Xu, J.; Ji, Y.; Du, X.; Gao, J. Precipitation Dominates the Allocation Strategy of Above- and Belowground Biomass in Plants on Macro Scales. Plants 2023, 12, 2843. [Google Scholar] [CrossRef]
- Liu, W.; Li, M.; Huang, Y.; Makowski, D.; Su, Y.; Bai, Y.; Schauberger, B.; Du, T.; Abbaspour, K.C.; Yang, K.; et al. Mitigating Nitrogen Losses with Almost No Crop Yield Penalty during Extremely Wet Years. Sci. Adv. 2024, 10, eadi9325. [Google Scholar] [CrossRef]
- Holz, M.; Paterson, E.; Pausch, J. Rhizosphere Carbon Priming: A Plant Mechanism to Enhance Soil Nitrogen Accessibility? Plant Soil 2023, 488, 175–185. [Google Scholar] [CrossRef]
- Jing, G.; Chen, Z.; Lu, Q.; He, L.; Zhao, N.; Zhang, Z.; Li, W. Effects of Nitrogen Addition on Root Traits and Soil Nitrogen in the Long-Term Restored Grasslands. Plant Soil Environ. 2021, 67, 541–547. [Google Scholar] [CrossRef]
- He, M.; Chen, S.; Yang, W.; Dai, S.; Zhu, Q.; Wang, W.; Du, S.; Meng, L.; Cai, Z.; Zhang, J.; et al. Priming Effects of Maize Growth and Photosynthetic Substrate Supply on Soil N Mineralization-Immobilization Turnover. Plant Soil 2025, 508, 469–482. [Google Scholar] [CrossRef]
- Zhang, X.Y.; Zeng, Y.W.; Tao, R.D.; Zhang, M.; Zheng, M.M.; Qu, M.J.; Mei, Y.J. Analysis of the Microbial Diverisity and the Mechanism of Simultaneous Nitrification and Denitrification in High Nitrogen Environments. Int. J. Environ. Sci. Technol. 2024, 21, 7177–7190. [Google Scholar] [CrossRef]
- Yang, J.; Lu, J.; Liu, M.; Dijkstra, F.A. Continuous Remobilization from Below-Ground Provides More than Half of All Carbon and Nitrogen in Regrowing Shoots after Grassland Defoliation. J. Ecol. 2023, 111, 2172–2180. [Google Scholar] [CrossRef]
- Wang, R.; Tang, G.; Lu, Y.; Zhang, D.; Cai, S.; He, H.; Zhang, H.; Xiong, Q. Root Physiological and Soil Microbial Mechanisms Underlying Responses to Nitrogen Deficiency and Compensation in Indica and Japonica Rice. Physiol. Plant. 2024, 176, e14549. [Google Scholar] [CrossRef] [PubMed]
- Fan, X.; Lu, C.; Khan, Z.; Li, Z.; Duan, S.; Shen, H.; Fu, Y. Mixed Ammonium-Nitrate Nutrition Regulates Enzymes, Gene Expression, and Metabolic Pathways to Improve Nitrogen Uptake, Partitioning, and Utilization Efficiency in Rice. Plants 2025, 14, 611. [Google Scholar] [CrossRef] [PubMed]
- Duan, S.; Huo, Y.; Tian, Y.; Yan, W.; George, T.S.; Huang, C.; Feng, G.; Zhang, L. The interplay of direct and mycorrhizal pathways for plants to efficiently acquire phosphorus from soil. Front. Agric. Sci. Eng. 2025, 12, 47. [Google Scholar]
- Ning, Y.; Dijkstra, F.A.; Liang, X.-S.; Zhang, X.-J.; Yang, G.-J.; Jiang, L.-C.; Han, X.-G.; Lü, X.-T. Stronger Response of Plant N:P to Nitrogen Enrichment When Considering Roots. Glob. Change Biol. 2025, 31, e70091. [Google Scholar] [CrossRef]
- Zheng, Y.; Jin, J.; Wang, X.; Clark, G.J.; Tang, C. Increasing Nitrogen Availability Does Not Decrease the Priming Effect on Soil Organic Matter under Pulse Glucose and Single Nitrogen Addition in Woodland Topsoil. Soil Biol. Biochem. 2022, 172, 108767. [Google Scholar] [CrossRef]
- Gong, H.; Li, J.; Liu, Z.; Hou, R.; Zhang, Y.; Xu, Y.; Zhu, W.; Yang, L.; Ouyang, Z. Linkages of Soil and Microbial Stoichiometry to Crop Nitrogen Use Efficiency: Evidence from a Long-Term Nitrogen Addition Experiment. Catena 2024, 240, 107961. [Google Scholar] [CrossRef]
- Liu, Y.; Shibistova, O.; Cai, G.; Sauheitl, L.; Xiao, M.; Ge, T.; Guggenberger, G. Microbial Response on Changing C:P Stoichiometry in Steppe Soils of Northern Kazakhstan. Plant Soil 2023, 493, 375–389. [Google Scholar] [CrossRef]
- Wang, X.; Yao, B.; Yang, H.; Mou, X.; Li, Y.; Li, Y. Microbial Drivers of Soil C:N:P Stoichiometry Dynamics during Ecological Restoration in Sandy Ecosystems. Appl. Soil Ecol. 2025, 213, 106321. [Google Scholar] [CrossRef]
- Hu, Y.; Zhu, B. Effects of Organic Amendments with Different C/N Ratios and Application Rates on N Mineralization–Immobilization in Calcareous Cropland Soil. Agronomy 2025, 15, 2795. [Google Scholar] [CrossRef]
- Chavez-Ortiz, P.; Larsen, J.; Olmedo-Alvarez, G.; García-Oliva, F. Control of Inorganic and Organic Phosphorus Molecules on Microbial Activity, and the Stoichiometry of Nutrient Cycling in Soils in an Arid, Agricultural Ecosystem. PeerJ 2024, 12, e18140. [Google Scholar] [CrossRef]
- You, C.; Li, J.; Yang, K.; Tan, B.; Yin, R.; Li, H.; Zhang, L.; Cui, X.; Liu, S.; Wang, L.; et al. Variations and Patterns of C and N Stoichiometry in the First Five Root Branch Orders across 218 Woody Plant Species. New Phytol. 2023, 238, 1838–1848. [Google Scholar] [CrossRef] [PubMed]
- Wang, Q.; Li, S.; Li, J.; Huang, D. The Utilization and Roles of Nitrogen in Plants. Forests 2024, 15, 1191. [Google Scholar] [CrossRef]
- Yin, H.; Zheng, H.; Zhang, B.; Tariq, A.; Lv, G.; Zeng, F.; Graciano, C. Stoichiometry of C:N:P in the Roots of Alhagi sparsifolia Is More Sensitive to Soil Nutrients Than Aboveground Organs. Front. Plant Sci. 2021, 12, 698961. [Google Scholar] [CrossRef] [PubMed]
- Zhang, H.; Wang, L.; Fu, W.; Xu, C.; Zhang, H.; Xu, X.; Ma, H.; Wang, J.; Zhang, Y. Soil Acidification Can Be Improved under Different Long-Term Fertilization Regimes in a Sweetpotato–Wheat Rotation System. Plants 2024, 13, 1740. [Google Scholar] [CrossRef]
- She, Y.; Li, X.; Zhang, J.; Zhou, H. Effects of Soil Characteristics on Grassland Productivity in Long-Term Artificial Grassland Establishment. Glob. Ecol. Conserv. 2024, 54, e03136. [Google Scholar] [CrossRef]
- Dreyer, I.; Hernández-Rojas, N.; Bolua-Hernández, Y.; Tapia-Castillo, V.; de Los, A.; Astola-Mariscal, S.Z.; Díaz-Pico, E.; Mérida-Quesada, F.; Vergara-Valladares, F.; Arrey-Salas, O.; et al. Homeostats: The Hidden Rulers of Ion Homeostasis in Plants. Quant. Plant Biol. 2024, 5, e8. [Google Scholar] [CrossRef]
- Piseddu, F.; Bellocchi, G.; Picon-Cochard, C. Mowing and Warming Effects on Grassland Species Richness and Harvested Biomass: Meta-Analyses. Agron. Sustain. Dev. 2021, 41, 74. [Google Scholar] [CrossRef]
- Hou, E.; Luo, Y.; Kuang, Y.; Chen, C.; Lu, X.; Jiang, L.; Luo, X.; Wen, D. Global Meta-Analysis Shows Pervasive Phosphorus Limitation of Aboveground Plant Production in Natural Terrestrial Ecosystems. Nat. Commun. 2020, 11, 637. [Google Scholar] [CrossRef]
- Zhong, Y.; Tian, J.; Li, X.; Liao, H. Cooperative Interactions between Nitrogen Fixation and Phosphorus Nutrition in Legumes. New Phytol. 2023, 237, 734–745. [Google Scholar] [CrossRef]
- Tang, J.; Li, W.; Wei, T.; Huang, R.; Zeng, Z. Patterns and Mechanisms of Legume Responses to Nitrogen Enrichment: A Global Meta-Analysis. Plants 2024, 13, 3244. [Google Scholar] [CrossRef]









| Indices | Treatment | Year | Treatment × Year | |||
|---|---|---|---|---|---|---|
| F-value | p-value | F-value | p-value | F-value | p-value | |
| TB | 21.707 | <0.01 ** | 4.383 | 0.018 * | 1.163 | 0.342 |
| PC | 4.161 | 0.011 | 15.216 | <0.001 ** | 1.43 | 0.223 |
| PH | 2.311 | 0.088 | 3.157 | 0.051 | 4.12 | 0.002 ** |
| H | 3.807 | 0.016 * | 5.857 | 0.005 ** | 1.272 | 0.288 |
| DS | 1.292 | 0.284 | 1.347 | 0.27 | 1.866 | 0.106 |
| HS | 67.949 | <0.001 *** | 6.244 | 0.004 ** | 0.79 | 0.582 |
| BS | 25.591 | <0.001 *** | 3.691 | 0.032 | 2.242 | 0.055 |
| CS | 4.73 | 0.006 ** | 0.181 | 0.835 | 1.045 | 0.409 |
| SOC | 1.879 | 0.146 | 40.823 | <0.001 *** | 0.354 | 0.904 |
| TN | 0.939 | 0.429 | 260.402 | <0.001 *** | 1.066 | 0.396 |
| TP | 0.238 | 0.869 | 17.473 | <0.001 *** | 2.812 | 0.02 * |
| NO3−-N | 114.947 | <0.001 *** | 215.808 | <0.001 *** | 41.473 | <0.001 *** |
| NH4+-N | 3.12 | 0.035 * | 12.176 | <0.001 *** | 3.231 | 0.01 * |
| AP | 0.345 | 0.793 | 64.299 | <0.001 *** | 3.42 | 0.007 ** |
| pH | 3.596 | 0.02 * | 211.558 | <0.001 *** | 5.259 | <0.001 *** |
| EC | 35.326 | <0.001 *** | 134.721 | <0.001 *** | 17.805 | <0.001 *** |
| Treatments | Total Carbon of S. alopecuroides Roots | Total Nitrogen of S. alopecuroides Roots | Total Phosphorus of S. alopecuroides Roots | |||
|---|---|---|---|---|---|---|
| 2024 | 2025 | 2024 | 2025 | 2024 | 2025 | |
| N | 396.5 ± 14.68 A | 403.48 ± 9.25 B | 7.02 ± 0.52 B | 20.56 ± 0.78 B | 0.81 ± 0.04 B | 1.04 ± 0.07 AB |
| M | 396.12 ± 9.79 A | 438.51 ± 6.84 A | 7.68 ± 0.34 AB | 19.49 ± 0.29 BC | 0.97 ± 0.05 A | 1.17 ± 0.1 A |
| NM | 400.06 ± 10.71 A | 428.7 ± 4.91 A | 8.67 ± 0.51 A | 23.54 ± 1.04 A | 0.86 ± 0.02 B | 1 ± 0.06 AB |
| CK | 411.45 ± 13.14 A | 384.3 ± 9.68 B | 7.24 ± 0.15 B | 17.94 ± 0.36 C | 0.83 ± 0.01 B | 0.89 ± 0.05 B |
| Treatment | Variable | H | R2 | p | Homeostatic Level | |
|---|---|---|---|---|---|---|
| x | y | |||||
| N | Soil C:N | Root C:N | 1.342 | 0.939 | <0.0001 | Weak Sensitivity |
| Soil C:P | Root C:P | 1.751 | 0.602 | 0.008 | Weak Sensitivity | |
| Soil N:P | Root N:P | 1.158 | 0.966 | <0.0001 | Sensitive | |
| Soil SOC | Root C | −24.925 | 0.032 | 0.619 | Strictly homeostatic | |
| Soil TN | Root N | 0.883 | 0.912 | <0.0001 | Sensitive | |
| Soil TP | Root P | −0.766 | 0.180 | 0.221 | Strictly homeostatic | |
| M | Soil C:N | Root C:N | 1.637 | 0.988 | <0.0001 | Weak Sensitivity |
| Soil C:P | Root C:P | 6.145 | 0.058 | 0.504 | Strictly homeostatic | |
| Soil N:P | Root N:P | 1.227 | 0.846 | 0.0002 | Sensitive | |
| Soil SOC | Root C | −5.111 | 0.530 | 0.017 | Sensitive | |
| Soil TN | Root N | 0.979 | 0.972 | <0.0001 | Sensitive | |
| Soil TP | Root P | –0.386 | 0.307 | 0.097 | Sensitive | |
| NM | Soil C:N | Root C:N | 1.462 | 0.923 | <0.0001 | Weak Sensitivity |
| Soil C:P | Root C:P | 3.928 | 0.215 | 0.177 | Strictly homeostatic | |
| Soil N:P | Root N:P | 1.137 | 0.928 | <0.0001 | Sensitive | |
| Soil SOC | Root C | −8.077 | 0.267 | 0.126 | Strictly homeostatic | |
| Soil TN | Root N | 0.918 | 0.952 | <0.0001 | Sensitive | |
| Soil TP | Root P | −0.630 | 0.260 | 0.132 | Strictly homeostatic | |
| Index | Explains % | Contribution % | Pseudo-F | p |
|---|---|---|---|---|
| Soil C:P | 23.7 | 44.6 | 11.8 | 0.002 |
| pH | 6.9 | 13 | 3.7 | >0.05 |
| NO3–−N | 2.9 | 5.4 | 1.6 | 0.204 |
| EC | 2.1 | 4 | 1.2 | 0.282 |
| NH4+−N | 1.6 | 3 | 0.9 | >0.05 |
| TP | 1.4 | 2.7 | 0.8 | 0.424 |
| SOC | 10.3 | 19.4 | 6.5 | 0.006 |
| Soil C:N | 1.4 | 2.6 | 0.9 | 0.38 |
| Soil N:P | 1.1 | 2 | 0.7 | >0.05 |
| AP | 1.4 | 2.6 | 0.8 | 0.416 |
| TN | 0.4 | 0.7 | 0.2 | 0.742 |
Disclaimer/Publisher’s Note: The statements, opinions and data contained in all publications are solely those of the individual author(s) and contributor(s) and not of MDPI and/or the editor(s). MDPI and/or the editor(s) disclaim responsibility for any injury to people or property resulting from any ideas, methods, instructions or products referred to in the content. |
© 2026 by the authors. Licensee MDPI, Basel, Switzerland. This article is an open access article distributed under the terms and conditions of the Creative Commons Attribution (CC BY) license.
Share and Cite
Wu, Y.; Cui, D.; Liu, S.; Jiang, Z.; Liu, Z.; Liu, L.; Han, Y.; Guo, J.; Yang, H. Effects of Nitrogen Addition and Mowing on Plant–Soil Stoichiometric Characteristics and Homeostasis in Degraded Grasslands Dominated by Sophora alopecuroides L. Agronomy 2026, 16, 332. https://doi.org/10.3390/agronomy16030332
Wu Y, Cui D, Liu S, Jiang Z, Liu Z, Liu L, Han Y, Guo J, Yang H. Effects of Nitrogen Addition and Mowing on Plant–Soil Stoichiometric Characteristics and Homeostasis in Degraded Grasslands Dominated by Sophora alopecuroides L. Agronomy. 2026; 16(3):332. https://doi.org/10.3390/agronomy16030332
Chicago/Turabian StyleWu, Yunhao, Dong Cui, Shuqi Liu, Zhicheng Jiang, Zezheng Liu, Luyao Liu, Yaxin Han, Jinfeng Guo, and Haijun Yang. 2026. "Effects of Nitrogen Addition and Mowing on Plant–Soil Stoichiometric Characteristics and Homeostasis in Degraded Grasslands Dominated by Sophora alopecuroides L." Agronomy 16, no. 3: 332. https://doi.org/10.3390/agronomy16030332
APA StyleWu, Y., Cui, D., Liu, S., Jiang, Z., Liu, Z., Liu, L., Han, Y., Guo, J., & Yang, H. (2026). Effects of Nitrogen Addition and Mowing on Plant–Soil Stoichiometric Characteristics and Homeostasis in Degraded Grasslands Dominated by Sophora alopecuroides L. Agronomy, 16(3), 332. https://doi.org/10.3390/agronomy16030332

