Genome-Wide Association Analysis Dissects the Genetic Architecture of Maize Leaf Inclination Angle and Leaf Area Index
Abstract
1. Introduction
2. Materials and Methods
2.1. Association Panel
2.2. Field Experiments and Phenotyping
2.3. Statistical Analysis of Phenotypes
2.4. Genome-Wide Association Analysis
2.5. Candidate Genes Screening
3. Results
3.1. Phenotype Diversity and Heritability
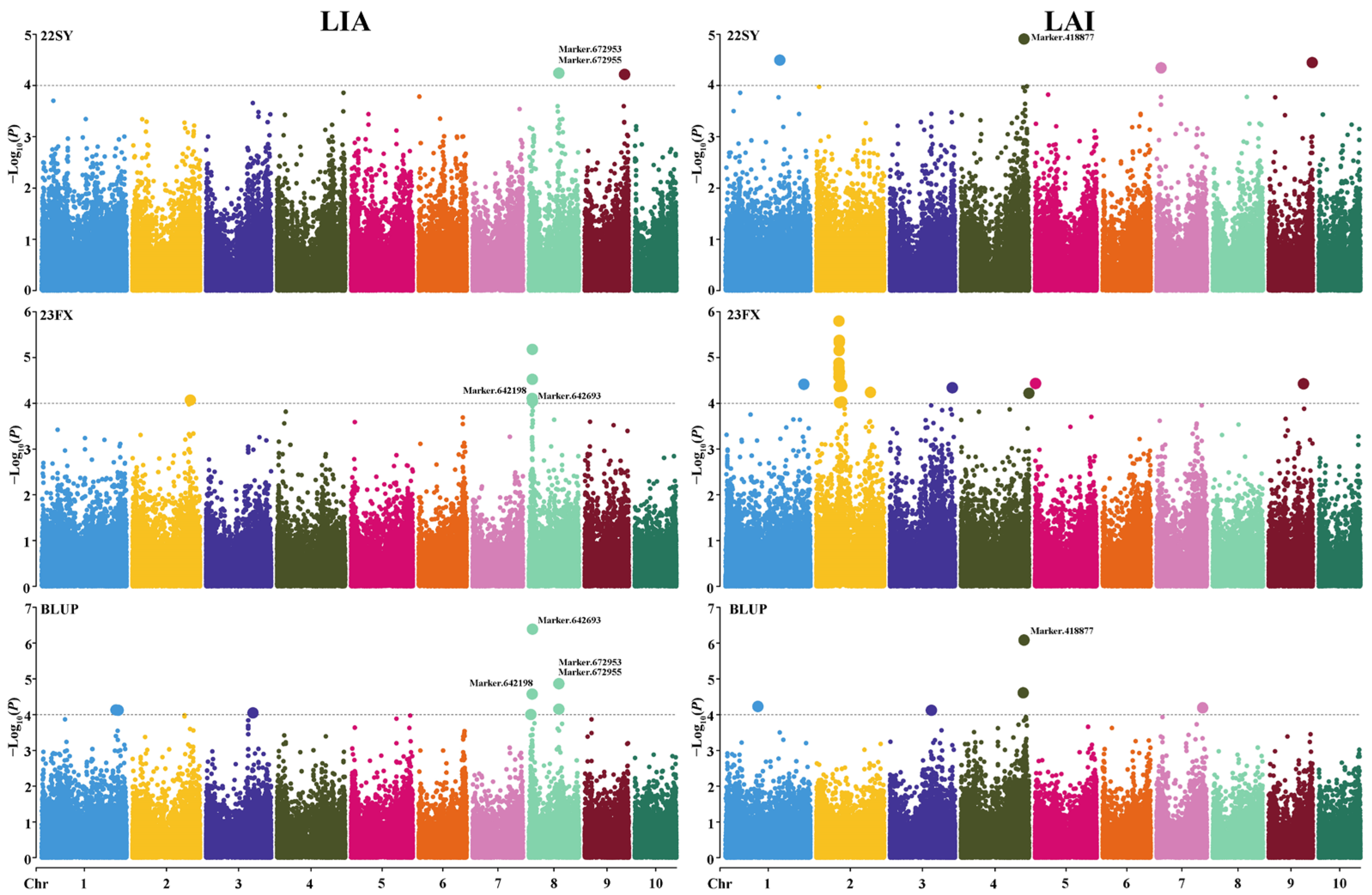
3.2. Genome-Wide Association Analysis of LIA and LAI
3.3. Genotypic Effects on LIA and LAI
3.4. The Annotation and Expression Pattern of Candidate Genes
4. Discussion
5. Conclusions
Supplementary Materials
Author Contributions
Funding
Data Availability Statement
Acknowledgments
Conflicts of Interest
References
- Erenstein, O.; Jaleta, M.; Sonder, K.; Mottaleb, K.; Prasanna, B. Global maize production, consumption and trade: Trends and R&D implications. Food Secur. 2022, 14, 1295–1319. [Google Scholar] [CrossRef]
- Qin, X.L.; Feng, F.; Li, Y.J.; Xu, S.T.; Siddique-Kadambot, H.M.; Liao, Y.C. Maize yield improvements in China: Past trends and future directions. Plant Breed. 2016, 135, 166–176. [Google Scholar] [CrossRef]
- Tian, J.; Wang, C.; Xia, J.; Wu, L.; Xu, G.; Wu, W.; Li, D.; Qin, W.; Han, X.; Chen, Q.; et al. Teosinte ligule allele narrows plant architecture and enhances high-density maize yields. Science 2019, 365, 658–664. [Google Scholar] [CrossRef]
- Liu, G.; Hou, P.; Xie, R.; Ming, B.; Wang, K.; Xu, W.; Liu, W.; Yang, Y.; Li, S. Canopy characteristics of high-yield maize with yield potential of 22.5 Mg ha-1. Field Crops Res. 2017, 213, 221–230. [Google Scholar] [CrossRef]
- Shi, Q.; Kong, F.; Zhang, H.; Jiang, Y.; Heng, S.; Liang, R.; Ma, L.; Liu, J.; Lu, X.; Li, P.; et al. Molecular mechanisms governing shade responses in maize. Biochem. Biophys. Res. Commun. 2019, 516, 112–119. [Google Scholar] [CrossRef]
- He, L.; Sun, W.; Chen, X.; Han, L.; Li, J.; Ma, Y.; Song, Y. Modeling Maize Canopy Morphology in Response to Increased Plant Density. Front. Plant Sci. 2021, 11, 533514. [Google Scholar] [CrossRef]
- Liu, G.; Yang, Y.; Liu, W.; Guo, X.; Xie, R.; Ming, B.; Xue, J.; Zhang, G.; Li, R.; Wang, K.; et al. Optimized canopy structure improves maize grain yield and resource use efficiency. Food Energy Secur. 2022, 11, e375. [Google Scholar] [CrossRef]
- Yan, Y.; Duan, F.; Li, X.; Zhao, R.; Hou, P.; Zhao, M.; Li, S.; Wang, Y.; Dai, T.; Zhou, W. Photosynthetic capacity and assimilate transport of the lower canopy influence maize yield under high planting density. Plant Physiol. 2024, 195, 2652–2667. [Google Scholar] [CrossRef]
- Yi, Q.; Hou, X.; Liu, Y.; Zhang, X.; Zhang, J.; Liu, H.; Hu, Y.; Yu, G.; Li, Y.; Huang, Y. QTL analysis for plant architecture-related traits in maize under two different plant density conditions. Euphytica 2019, 215, 148. [Google Scholar] [CrossRef]
- Maddonni, G.; Otegui, M.; Cirilo, A. Plant population density, row spacing and hybrid effects on maize canopy architecture and light attenuation. Field Crops Res. 2001, 71, 183–193. [Google Scholar] [CrossRef]
- Jiang, Q.; Wang, Y. Leaf angle regulation toward a maize smart canopy. Plant J. 2024, 12, e17208. [Google Scholar] [CrossRef]
- Lambert, R.J.; Mansfield, B.D.; Mumm, R.H. Effect of leaf area on maize productivity. Maydica 2014, 59, 58–64. [Google Scholar]
- Zhang, L.; Yu, P.; Liu, J.; Fu, Q.; Chen, J.; Wu, Y.; Wei, X. Spatial variability of maize leaf area and relationship with yield. Agron. J. 2021, 114, 461–470. [Google Scholar] [CrossRef]
- Chen, L.; Xu, Z.; Fan, X.; Zhou, Q.; Yu, Q.; Liu, X.; Liao, S.; Jiang, C.; Lin, D.; Ma, F.; et al. Genetic dissection of quantitative trait loci for flag leaf size in bread wheat (Triticum aestivum L.). Front. Plant Sci. 2022, 13, 1047899. [Google Scholar] [CrossRef]
- Duan, H.; Li, J.; Sun, Y.; Xiong, X.; Sun, L.; Li, W.; Gao, J.; Li, N.; Zhang, J.; Cui, J.; et al. Candidate loci for leaf angle in maize revealed by a combination of genome-wide association study and meta-analysis. Front. Genet. 2022, 13, 1004211. [Google Scholar] [CrossRef]
- Ku, L.X.; Zhao, W.M.; Zhang, J.; Wu, L.C.; Wang, C.L.; Wang, P.A.; Zhang, W.Q.; Chen, Y.H. Quantitative trait loci mapping of leaf angle and leaf orientation value in maize (Zea mays L.). Theor. Appl. Genet. 2010, 121, 951–959. [Google Scholar] [CrossRef] [PubMed]
- Zhang, M.; Jin, Y.; Ma, Y.; Zhang, Q.; Wang, Q.; Jiang, N.; Zhao, H.; Qu, J.; Guan, S.; Wang, P. Identification of QTLs and Candidate Genes Associated with Leaf Angle and Leaf Orientation Value in Maize (Zea mays L.) Based on GBS. Trop. Plant Biol. 2021, 14, 34–49. [Google Scholar] [CrossRef]
- Peng, B.; Zhao, X.; Wang, Y.; Li, C.; Li, Y.; Zhang, D.; Shi, Y.; Song, Y.; Wang, L.; Li, Y.; et al. Genome-wide association studies of leaf angle in maize. Mol. Breed. 2021, 41, 50. [Google Scholar] [CrossRef]
- Kuang, T.; Hu, C.; Shaw, R.K.; Zhang, Y.; Fan, J.; Bi, Y.; Jiang, F.; Guo, R.; Fan, X. A potential candidate gene associated with the angles of the ear leaf and the second leaf above the ear leaf in maize. BMC Plant Biol. 2023, 23, 540. [Google Scholar] [CrossRef]
- Cui, T.-T.; He, K.-H.; Chang, L.-G.; Zhang, X.-H.; Xue, J.-Q.; Liu, J.-C. QTL mapping for leaf area in maize (Zea mays L.) under multi-environments. J. Integr. Agric. 2017, 16, 800–808. [Google Scholar] [CrossRef]
- Zeng, Y.; Xu, X.; Jiang, J.; Lin, S.; Fan, Z.; Meng, Y.; Maimaiti, A.; Wu, P.; Ren, J. Genome-wide association analysis and genomic selection for leaf-related traits of maize. PLoS ONE 2025, 20, e0323140. [Google Scholar] [CrossRef]
- Kong, F.; Zhang, T.; Liu, J.; Heng, S.; Shi, Q.; Zhang, H.; Wang, Z.; Ge, L.; Li, P.; Lu, X.; et al. Regulation of Leaf Angle by Auricle Development in Maize. Mol. Plant 2017, 10, 516–519. [Google Scholar] [CrossRef]
- Dou, D.; Han, S.; Cao, L.; Ku, L.; Liu, H.; Su, H.; Ren, Z.; Zhang, D.; Zeng, H.; Dong, Y.; et al. CLA4 regulates leaf angle through multiple hormone signaling pathways in maize. J. Exp. Bot. 2021, 72, 1782–1794. [Google Scholar] [CrossRef]
- Huang, G.; Hu, H.; van de Meene, A.; Zhang, J.; Dong, L.; Zheng, S.; Zhang, F.; Betts, N.S.; Liang, W.; Bennett, M.J.; et al. AUXIN RESPONSE FACTORS 6 and 17 control the flag leaf angle in rice by regulating secondary cell wall biosynthesis of lamina joints. Plant Cell 2021, 33, 3120–3133. [Google Scholar] [CrossRef]
- Wang, X.; Wang, X.; Sun, S.; Tu, X.; Lin, K.; Qin, L.; Wang, X.; Li, G.; Zhong, S.; Li, P. Characterization of regulatory modules controlling leaf angle in maize. Plant Physiol. 2022, 190, 500–515. [Google Scholar] [CrossRef] [PubMed]
- Ji, X.; Gao, Q.; Chen, F.; Bai, M.; Zhuang, Z.; Peng, Y. Mutant lpa1 Analysis of ZmLPA1 Gene Regulates Maize Leaf-Angle Development through the Auxin Pathway. Int. J. Mol. Sci. 2022, 23, 4886. [Google Scholar] [CrossRef] [PubMed]
- Shi, Q.; Xia, Y.; Wang, Q.; Lv, K.; Yang, H.; Cui, L.; Sun, Y.; Wang, X.; Tao, Q.; Song, X.; et al. Phytochrome B interacts with LIGULELESS1 to control plant architecture and density tolerance in maize. Mol. Plant 2024, 17, 1255–1271. [Google Scholar] [CrossRef]
- Wu, L.; Zhang, D.; Xue, M.; Qian, J.; He, Y.; Wang, S. Overexpression of the maize GRF10, an endogenous truncated growth-regulating factor protein, leads to reduction in leaf size and plant height. J. Integr. Plant Biol. 2014, 56, 1053–1063. [Google Scholar] [CrossRef]
- Liu, J.; Zhang, F.; Zhou, J.; Chen, F.; Wang, B.; Xie, X. Phytochrome B control of total leaf area and stomatal density affects drought tolerance in rice. Plant Mol. Biol. 2021, 78, 289–300. [Google Scholar] [CrossRef] [PubMed]
- Wang, Q.; Guo, Q.; Shi, Q.; Yang, H.; Liu, M.; Niu, Y.; Quan, S.; Xu, D.; Chen, X.; Li, L.; et al. Histological and single-nucleus transcriptome analyses reveal the specialized functions of ligular sclerenchyma cells and key regulators of leaf angle in maize. Mol. Plant 2024, 17, 920–934. [Google Scholar] [CrossRef]
- Liu, D.; Ning, Q.; Zhai, L.; Teng, F.; Li, Y.; Zhao, R.; Xiong, Q.; Zhan, J.; Li, Z.; Yang, F.; et al. Coordinated control for the auricle asymmetric development by ZmIDD14 and ZmIDD15 fine-tune the high-density planting adaption in maize. Plant Biotechnol. J. 2024, 22, 2675–2687. [Google Scholar] [CrossRef]
- Chen, H.; Gong, X.; Guo, Y.; Yu, J.; Li, W.-X.; Du, Q. ZmbZIP27 regulates nitrogen-mediated leaf angle by modulating lignin deposition in maize. Crop J. 2024, 12, 1404–1413. [Google Scholar] [CrossRef]
- Tian, J.; Wang, C.; Chen, F.; Qin, W.; Yang, H.; Zhao, S.; Xia, J.; Du, X.; Zhu, Y.; Wu, L.; et al. Maize smart-canopy architecture enhances yield at high densities. Nature 2024, 632, 576–584. [Google Scholar] [CrossRef]
- Reich, P.B. Key canopy traits drive forest productivity. Proc. R. Soc. B Biol. Sci. 2012, 279, 2128–2134. [Google Scholar] [CrossRef]
- Chen, S.; Dang, D.; Liu, Y.; Ji, S.; Zheng, H.; Zhao, C.; Dong, X.; Li, C.; Guan, Y.; Zhang, A.; et al. Genome-wide association study presents insights into the genetic architecture of drought tolerance in maize seedlings under field water-deficit conditions. Front. Plant Sci. 2023, 14, 1165582. [Google Scholar] [CrossRef]
- Alvarado, G.; Rodríguez, F.M.; Pacheco, A.; Burgueño, J.; Crossa, J.; Vargas, M.; Pérez-Rodríguez, P.; Lopez-Cruz, M.A. META-R: A software to analyze data from multi-environment plant breeding trials. Crop J. 2020, 8, 745–756. [Google Scholar] [CrossRef]
- Vargas, M.; Combs, E.; Alvarado, G.; Atlin, G.; Mathews, K.; Crossa, J. META: A Suite of SAS Programs to Analyze Multienvironment Breeding Trials. Agron. J. 2013, 105, 11–19. [Google Scholar] [CrossRef]
- Zhang, Z.; Ersoz, E.; Lai, C.-Q.; Todhunter, R.J.; Tiwari, H.K.; Gore, M.A.; Bradbury, P.J.; Yu, J.; Arnett, D.K.; Ordovas, J.M.; et al. Mixed linear model approach adapted for genome-wide association studies. Nat. Genet. 2010, 42, 355–360. [Google Scholar] [CrossRef]
- Li, H.; Peng, Z.; Yang, X.; Wang, W.; Fu, J.; Wang, J.; Han, Y.; Chai, Y.; Guo, T.; Yang, N.; et al. Genome-wide association study dissects the genetic architecture of oil biosynthesis in maize kernels. Nat. Genet. 2013, 4, 43–50. [Google Scholar] [CrossRef] [PubMed]
- Yang, N.; Lu, Y.; Yang, X.; Huang, J.; Zhou, Y.; Ali, F.; Wen, W.; Liu, J.; Li, J.; Yan, J. Genome Wide Association Studies Using a New Nonparametric Model Reveal the Genetic Architecture of 17 Agronomic Traits in an Enlarged Maize Association Panel. PLoS Genet. 2014, 10, e1004573. [Google Scholar] [CrossRef] [PubMed]
- Chang, F.; Guo, C.; Sun, F.; Zhang, J.; Wang, Z.; Kong, J.; He, Q.; Sharmin, R.A.; Zhao, T. Genome-Wide Association Studies for Dynamic Plant Height and Number of Nodes on the Main Stem in Summer Sowing Soybeans. Front. Plant Sci. 2018, 9, 1184. [Google Scholar] [CrossRef]
- Zheng, Y.; Yuan, F.; Huang, Y.; Zhao, Y.; Jia, X.; Zhu, L.; Guo, J. Genome-wide association studies of grain quality traits in maize. Sci. Rep. 2021, 11, 9797. [Google Scholar] [CrossRef]
- Wang, H.; Li, K.; Hu, X.; Liu, Z.; Wu, Y.; Huang, C. Genome-wide association analysis of forage quality in maize mature stalk. BMC Plant Biol. 2016, 16, 227. [Google Scholar] [CrossRef]
- Stelpflug, S.C.; Sekhon, R.S.; Vaillancourt, B.; Hirsch, C.N.; Buell, C.R.; De Leon, N.; Kaeppler, S.M. An Expanded Maize Gene Expression Atlas based on RNA Sequencing and its Use to Explore Root Development. Plant Genome 2016, 9. [Google Scholar] [CrossRef] [PubMed]
- Shu, G.; Wang, A.; Wang, X.; Chen, R.; Gao, F.; Wang, A.; Li, T.; Wang, Y. Identification of QTNs, QTN-by environment interactions for plant height and ear height in maize multi-environment GWAS. Front. Plant Sci. 2023, 14, 1284403. [Google Scholar] [CrossRef]
- Zhong, Y.; Zhao, X.; Li, W.; Zhou, W. Identification and meta-analysis of QTLs for four leaf shape traits in two maize populations under contrasting watering environments. Genet. Resour. Crop Evol. 2021, 68, 1557–1575. [Google Scholar] [CrossRef]
- Sun, G.; Yu, H.; Wang, P.; Lopez-Guerrero, M.; Mural, R.V.; Mizero, O.N.; Grzybowski, M.; Song, B.; van Dijk, K.; Schachtman, D.P.; et al. A role for heritable transcriptomic variation in maize adaptation to temperate environments. Genome Biol. 2023, 24, 93. [Google Scholar] [CrossRef]
- Liu, X.; Wang, D.; Zhang, Z.; Lin, X.; Xiao, J. Epigenetic perspectives on wheat speciation, adaptation, and development. Trends Genet. 2025, 41, 817–829. [Google Scholar] [CrossRef]
- Multani, D.S.; Briggs, S.P.; Chamberlin, M.A.; Blakeslee, J.J.; Murphy, A.S.; Johal, G.S. Loss of an MDR transporter in compact stalks of maize br2 and sorghum dw3 mutants. Science 2003, 302, 81–84. [Google Scholar] [CrossRef] [PubMed]
- Wei, L.; Zhang, X.; Zhang, Z.; Liu, H.; Lin, Z. A new allele of the Brachytic2 gene in maize can efficiently modify plant architecture. Heredity 2018, 121, 75–86. [Google Scholar] [CrossRef]
- Cao, Y.; Zhong, Z.; Wang, H.; Shen, R. Leaf angle: A target of genetic improvement in cereal crops tailored for high-density planting. Plant Biotechnol. J. 2022, 20, 426–436. [Google Scholar] [CrossRef] [PubMed]
- Sarma, G.R.; Chhabra, R.; Muthusamy, V.; Subramaniam, S.P.; Sharma, G.; Duo, H.; Rojaria, V.; Zunjare, R.U.; Chinnusamy, V.; Hossain, F. Molecular delineation, development and validation of functional markers for brachytic2 (br2) gene governing dwarfing plant height in maize. Physiol. Mol. Biol. Plants 2025, 31, 2101–2119. [Google Scholar] [CrossRef]
- Cho, M.-H.; Lim, H.; Shin, D.H.; Jeon, J.-S.; Bhoo, S.H.; Park, Y.-I.; Hahn, T. Role of the plastidic glucose translocator in the export of starch degradation products from the chloroplasts in Arabidopsis thaliana. New Phytol. 2011, 190, 101–112. [Google Scholar] [CrossRef]
- Barnes, W.J.; Anderson, C.T. Cytosolic invertases contribute to cellulose biosynthesis and influence carbon partitioning in seedlings of Arabidopsis thaliana. Plant J. 2018, 94, 956–974. [Google Scholar] [CrossRef]
- Jiao, Y.; Gong, X.; Qi, K.; Xie, Z.; Wang, Y.; Yuan, K.; Pan, Q.; Zhang, S.; Shiratake, K.; Khanizadeh, S.; et al. Transcriptome analysis provides new ideas for studying the regulation of glucose-induced lignin biosynthesis in pear calli. BMC Plant Biol. 2022, 22, 310. [Google Scholar] [CrossRef]
- Wang, N.; Cao, D.; Gong, F.; Ku, L.; Chen, Y.; Wang, W. Differences in properties and proteomes of the midribs contribute to the size of the leaf angle in two near-isogenic maize lines. J. Proteom. 2015, 128, 113–122. [Google Scholar] [CrossRef]
- Li, J.; Gong, J.; Zhang, L.; Shen, H.; Chen, G.; Xie, Q.; Hu, Z. Overexpression of SlPRE5, an atypical bHLH transcription factor, affects plant morphology and chlorophyll accumulation in tomato. J. Plant Physiol. 2022, 273, 153698. [Google Scholar] [CrossRef]
- Heim, M.A.; Jakoby, M.; Werber, M.; Martin, C.; Weisshaar, B.; Bailey, P.C. The basic helix-loop-helix transcription factor family in plants: A genome-wide study of protein structure and functional diversity. Mol. Biol. Evol. 2003, 20, 735–747. [Google Scholar] [CrossRef] [PubMed]
- Ichihashi, Y.; Horiguchi, G.; Gleissberg, S.; Tsukaya, H. The bHLH transcription factor SPATULA controls final leaf size in Arabidopsis thaliana. Plant Cell Physiol. 2010, 51, 252–261. [Google Scholar] [CrossRef] [PubMed]
- Guo, J.; Li, W.; Shang, L.; Wang, Y.; Yan, P.; Bai, Y.; Da, X.; Wang, K.; Guo, Q.; Jiang, R.; et al. OsbHLH98 regulates leaf angle in rice through transcriptional repression of OsBUL1. New Phytol. 2021, 230, 1953–1966. [Google Scholar] [CrossRef]
- Teng, S.; Liu, Q.; Chen, G.; Chang, Y.; Cui, X.; Wu, J.; Ai, P.; Sun, X.; Zhang, Z.; Lu, T. OsbHLH92, in the noncanonical brassinosteroid signaling pathway, positively regulates leaf angle and grain weight in rice. New Phytol. 2023, 240, 1066–1081. [Google Scholar] [CrossRef] [PubMed]





| Trait | Env a | Mean ± SD | Range | Variance Component b,c | h2 d | ||
|---|---|---|---|---|---|---|---|
| Genotype (G) | Environment (E) | G × E | |||||
| LIA | 22SY | 53.15 ± 3.34 | 44.2–63.0 | 21.89 ** | 0.81 | ||
| 23FX | 52.24 ± 4.23 | 37.8–68.5 | 41.24 ** | 0.83 | |||
| Across | 52.88 ± 3.97 | 48.6–56.9 | 9.72 ** | 0.04 | 17.98 ** | 0.44 | |
| LAI | 22SY | 2.79 ± 0.54 | 1.97–3.82 | 0.141 ** | 0.75 | ||
| 23FX | 2.08 ± 0.77 | 1.56–2.87 | 0.151 ** | 0.61 | |||
| Across | 2.44 ± 0.48 | 2.19–2.74 | 0.042 ** | 0.230 * | 0.107 ** | 0.34 | |
| Trait | Evn a | SNP | Allele b | Chr | Position | Mean-log10(P) | R2 c |
|---|---|---|---|---|---|---|---|
| LIA | 22SY | Marker.672953 | C/A | 8 | 108570472 | 4.24 | 7.80 |
| Marker.672955 | G/C | 8 | 108570486 | 4.25 | 7.80 | ||
| 23FX | Marker.642198 | A/G | 8 | 11698378 | 4.11 | 9.10 | |
| Marker.642693 | A/G | 8 | 13139863 | 4.05 | 7.60 | ||
| Across | Marker.642198 | A/G | 8 | 11698378 | 4.57 | 8.16 | |
| Marker.642693 | A/G | 8 | 13139863 | 6.39 | 9.60 | ||
| Marker.672953 | C/A | 8 | 108570472 | 4.87 | 10.86 | ||
| Marker.672955 | G/C | 8 | 108570486 | 4.87 | 10.86 | ||
| LAI | 22SY | Marker.418877 | G/A | 4 | 228096809 | 4.91 | 8.21 |
| 23FX | Marker.202284 | C/T | 2 | 82257115 | 5.33 | 9.01 | |
| Marker.202285 | A/G | 2 | 82257117 | 4.70 | 8.39 | ||
| Marker.202286 | A/G | 2 | 82257119 | 5.38 | 9.48 | ||
| Marker.202288 | T/A | 2 | 82257208 | 5.33 | 8.09 | ||
| Marker.202290 | T/C | 2 | 82257305 | 4.37 | 7.94 | ||
| Marker.202291 | T/A | 2 | 82257340 | 4.70 | 8.39 | ||
| Marker.202292 | A/G | 2 | 82257352 | 4.70 | 8.39 | ||
| Across | Marker.418877 | G/A | 4 | 228096809 | 6.09 | 10.36 |
| Trait | SNPs | Gene | Chr | Gene Interval (bp) | Annotation |
|---|---|---|---|---|---|
| LIA | Marker.642198 | Zm00001d008524 | 8 | 11642158–11643363 | Mannose-6-phosphate isomerase |
| Zm00001d008525 | 8 | 11668954–11672834 | Mannose-6-phosphate isomerase 1 | ||
| Zm00001d008526 | 8 | 11697417–11699996 | Glycosyltransferase family 61 protein | ||
| Marker.642693 | Zm00001d008563 | 8 | 13125997–13131966 | protein-Serine/threonine phosphatase | |
| Zm00001d008564 | 8 | 13131898–13138732 | Surfeit locus protein 5 | ||
| Zm00001d008565 | 8 | 13137308–13144570 | DUF3741 domain-containing protein | ||
| Zm00001d008567 | 8 | 13144641–13154862 | Glucose translocator1 (GLCT1) | ||
| Marker.672953/Marker.672955 | Zm00001d010304 | 8 | 108569248–108571613 | Leucine-rich repeat (LRR) family protein | |
| Zm00001d010305 | 8 | 108605879–108609481 | Transducin family protein/WD-40 repeat family protein | ||
| LAI | Marker.418877 | Zm00001d053372 | 4 | 228098294–228104444 | Unknown |
| Marker.202284-Marker.202292 | Zm00001d004095 | 2 | 82544089–82547190 | bHLH-transcription factor 144 (bHLH144) |
Disclaimer/Publisher’s Note: The statements, opinions and data contained in all publications are solely those of the individual author(s) and contributor(s) and not of MDPI and/or the editor(s). MDPI and/or the editor(s) disclaim responsibility for any injury to people or property resulting from any ideas, methods, instructions or products referred to in the content. |
© 2026 by the authors. Licensee MDPI, Basel, Switzerland. This article is an open access article distributed under the terms and conditions of the Creative Commons Attribution (CC BY) license.
Share and Cite
Liu, M.; Ding, K.; Dong, X.; Ji, S.; Kong, X.; Sun, D.; Chen, H.; Gao, Y.; Li, C.; Bai, C.; et al. Genome-Wide Association Analysis Dissects the Genetic Architecture of Maize Leaf Inclination Angle and Leaf Area Index. Agronomy 2026, 16, 178. https://doi.org/10.3390/agronomy16020178
Liu M, Ding K, Dong X, Ji S, Kong X, Sun D, Chen H, Gao Y, Li C, Bai C, et al. Genome-Wide Association Analysis Dissects the Genetic Architecture of Maize Leaf Inclination Angle and Leaf Area Index. Agronomy. 2026; 16(2):178. https://doi.org/10.3390/agronomy16020178
Chicago/Turabian StyleLiu, Meiling, Ke Ding, Xinru Dong, Shuwen Ji, Xinying Kong, Daqiu Sun, Huigang Chen, Yuan Gao, Cong Li, Chunming Bai, and et al. 2026. "Genome-Wide Association Analysis Dissects the Genetic Architecture of Maize Leaf Inclination Angle and Leaf Area Index" Agronomy 16, no. 2: 178. https://doi.org/10.3390/agronomy16020178
APA StyleLiu, M., Ding, K., Dong, X., Ji, S., Kong, X., Sun, D., Chen, H., Gao, Y., Li, C., Bai, C., Zhang, A., & Ruan, Y. (2026). Genome-Wide Association Analysis Dissects the Genetic Architecture of Maize Leaf Inclination Angle and Leaf Area Index. Agronomy, 16(2), 178. https://doi.org/10.3390/agronomy16020178

