Herbivore-Induced Jasmonate Signaling Reduces Rice Resistance to the Brown Planthopper, Nilaparvata lugens
Abstract
1. Introduction
2. Materials and Methods
2.1. Plant Growth
2.2. Insect Colonies
2.3. Behavioral and Biological Characteristics Studies of Caterpillars and Planthoppers
2.3.1. Insect Bioassay
2.3.2. Host Preference of Planthoppers
2.3.3. Bioassays of Planthoppers
2.3.4. Monitoring of BPH Feeding Behavior
2.3.5. Quantification of Bph1 Gene Expression
2.4. Transcriptome Analyses
2.4.1. RNA Extraction, Library Preparation, RNA-Sequencing, and Quantitative Real-Time PCR
2.4.2. RNA-Sequencing Data Analysis
2.5. Quantification of Phytohormones and Related Gene Expression
2.6. Volatile Analysis
2.6.1. Collection and Analysis of Rice Plant Volatiles
2.6.2. Choice Bioassay Using a Y-Tube Tube Olfactometer
2.7. Metabolic Analyses
2.7.1. Collection and Analysis of Rice Metabolites
2.7.2. Identification of Metabolite Toxicity to BPH Using Artificial Diet
2.8. Statistical Analyses
3. Results
3.1. BPH Preferentially Feeds on Caterpillar-Damaged Rice Plants
3.2. Effects on BPH from Feeding on Damaged and Healthy Rice
3.2.1. Fitness of BPH from Feeding on SSB-Damaged and Healthy Mudgo and TN1 Rice Plants
3.2.2. Characterization of EPG Waveform of BPH Feeding Rice
3.2.3. Bph1 Gene Expression in SSB-Damaged Rice
3.3. Transcriptomic Changes in Response to BPH Feeding
3.3.1. Overview of the Transcriptome in Rice Plants During SSB Infestation
3.3.2. Analyses of Differentially Expressed Genes (DEGs)
3.3.3. Focus of Analysis of Transcriptomic Changes on Transcription Factors (TFs)
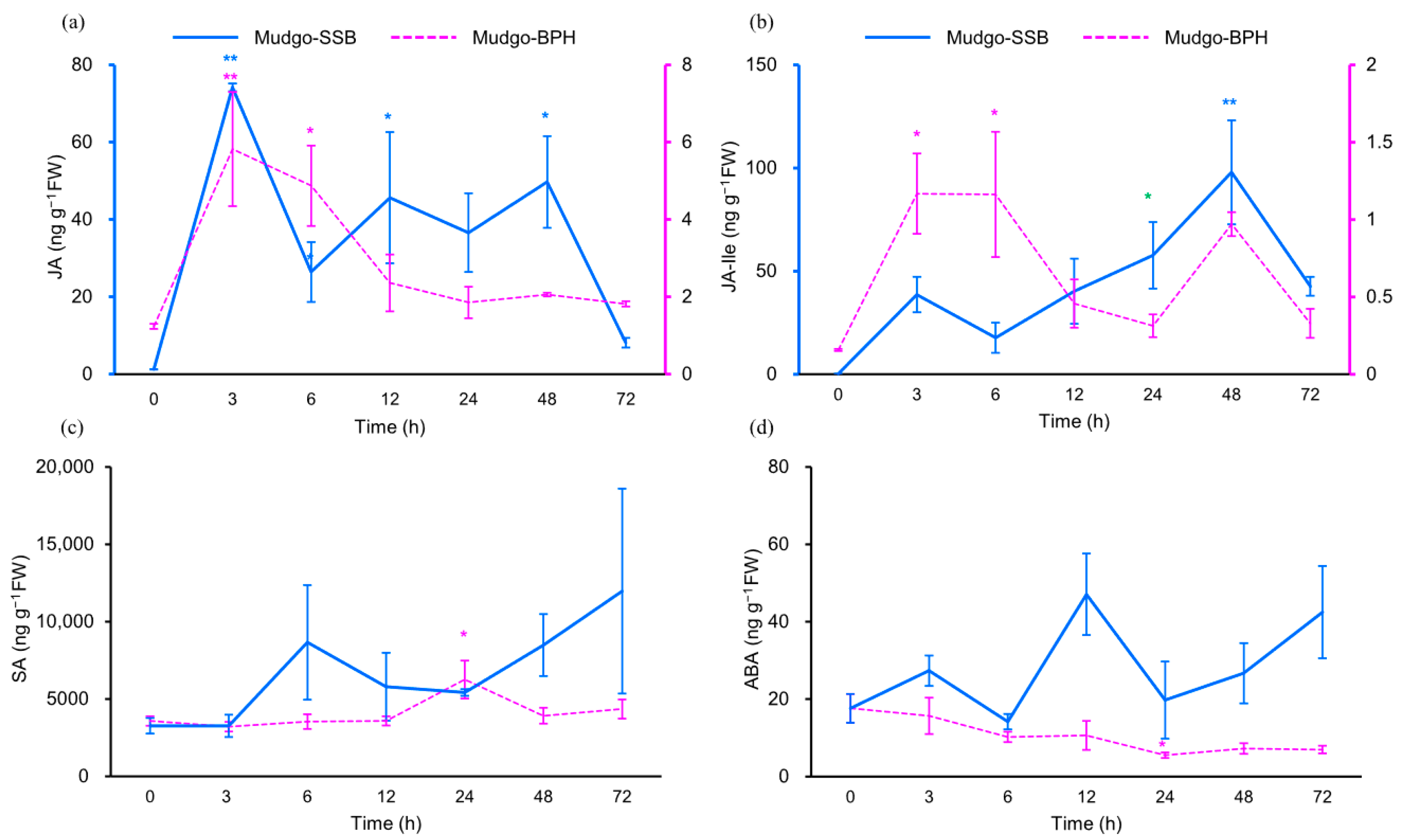
3.3.4. SSB Feeding Induces Plant Hormone and Related Gene Expression
3.4. Volatile Compounds Production and Metabolomic Response to BPH
Differential Production of Plant Volatiles Following Caterpillar Herbivory of Rice
3.5. Metabolome Composition Following Caterpillar Herbivory of Rice
4. Discussion
4.1. SSB Infestation Overrides BPH Resistance in “Mudgo”
4.2. JA-Mediated Transcriptional and Metabolic Reprogramming as the Core Mechanism
4.3. Reconciling the Paradox and Implications for Resistance Breed
5. Conclusions
Supplementary Materials
Author Contributions
Funding
Data Availability Statement
Conflicts of Interest
References
- Khush, G.S. What it will take to feed 5.0 billion rice consumers in 2030. Plant Mol. Biol. 2005, 59, 1–6. [Google Scholar] [CrossRef] [PubMed]
- Lou, Y.G.; Zhang, G.R.; Zhang, W.Q.; Hu, Y.; Zhang, J. Biological control of rice insect pests in China. Biol. Control 2013, 67, 8–20. [Google Scholar] [CrossRef]
- Cohen, M.B.; Chen, M.; Bentur, J.; Heong, K.; Ye, G. Bt rice in Asia: Potential benefits, impact, and sustainability. In Integration of Insect-Resistant Genetically Modified Crops Within IPM Programs; Springer: Dordrecht, The Netherlands, 2008; pp. 223–248. [Google Scholar]
- Sogawa, K.; Liu, G.J.; Shen, J.H. A review on the hyper-susceptibility of Chinese hybrid rice to insect pests. Chin. J. Rice Sci. 2003, 17, 23–30. [Google Scholar] [CrossRef]
- Chen, M.; Shelton, A.; Ye, G.Y. Insect-resistant genetically modified rice in China: From research to commercialization. Annu. Rev. Entomol. 2011, 56, 81–101. [Google Scholar] [CrossRef]
- Liu, Y.; Wu, H.; Chen, H.; Liu, Y.; He, J.; Kang, H.; Sun, Z.; Pan, G.; Wang, Q.; Hu, J.; et al. A gene cluster encoding lectin receptor kinases confers broad-spectrum and durable insect resistance in rice. Nat. Biotech. 2015, 33, 301–305. [Google Scholar] [CrossRef]
- Kumar, K.; Sarao, P.S.; Bhatia, D.; Neelam, K.; Kaur, A.; Mangat, G.S.; Brar, D.S.; Singh, K. High-resolution genetic mapping of a novel brown planthopper resistance locus, Bph34 in Oryza sativa L. X Oryza nivara (Sharma & Shastry) derived interspecific F2 population. Theor. Appl. Genet. 2018, 131, 1163–1171. [Google Scholar] [CrossRef]
- Li, Y.; Hallerman, E.M.; Liu, Q.; Wu, K.; Peng, Y. The development and status of Bt rice in China. Plant Biotechnol. J. 2016, 14, 839–848. [Google Scholar] [CrossRef]
- Cheng, X.; Zhu, L.; He, G. Towards understanding of molecular interactions between rice and the brown planthopper. Mol. Plant 2013, 6, 621–634. [Google Scholar] [CrossRef]
- Guo, J.; Xu, C.; Wu, D.; Zhao, Y.; Qiu, Y.; Wang, X.; Ouyang, Y.; Cai, B.; Liu, X.; Jing, S.; et al. Bph6 encodes an exocyst-localized protein and confers broad resistance to planthoppers in rice. Nat. Genet. 2018, 50, 297–306. [Google Scholar] [CrossRef]
- Murata, K.; Fujiwara, M.; Murai, H.; Takumi, S.; Mori, N.; Nakamura, C. Bph9, a dominant brown planthopper resistance gene, is located on the long arm of chromosome 12. Rice Genet. Newsl. 2000, 17, 84–86. [Google Scholar]
- Kumar, K.; Kaur, P.; Kishore, A.; Vikal, Y.; Singh, K.; Neelam, K. Recent advances in genomics-assisted breeding of brown planthopper (Nilaparvata lugens) resistance in rice (Oryza sativa). Plant Breed. 2020, 139, 1052–1066. [Google Scholar] [CrossRef]
- Ye, M.; Kuai, P.; Chen, S.; Lin, N.; Ye, M.; Hu, L.; Lou, Y. Silencing a simple extracellular leucine-rich repeat gene OsI-BAK1 enhances the resistance of rice to brown planthopper Nilaparvata lugens. Int. J. Mol. Sci. 2021, 22, 12182. [Google Scholar] [CrossRef]
- Wang, Y.; Cao, L.; Zhang, Y.; Cao, C.; Liu, F.; Huang, F.; Qiu, Y.; Li, R.; Lou, X. Map-based cloning and characterization of BPH29, a B3 domain-containing recessive gene conferring brown planthopper resistance in rice. J. Exp. Bot. 2015, 66, 6035–6045. [Google Scholar] [CrossRef] [PubMed]
- Zhao, Y.; Huang, J.; Wang, Z.; Jing, S.; Wang, Y.; Ouyang, Y.; Cai, B.; Xin, X.-F.; Liu, X.; Zhang, C.; et al. Allelic diversity in an NLR gene BPH9 enables rice to combat planthopper variation. Proc. Natl. Acad. Sci. USA 2016, 113, 12850–12855. [Google Scholar] [CrossRef] [PubMed]
- Ren, J.; Gao, F.; Wu, X.; Lu, X.; Zeng, L.; Lv, J.; Su, X.; Luo, H.; Ren, G. Bph32, a novel gene encoding an unknown SCR domain-containing protein, confers resistance against the brown planthopper in rice. Sci. Rep. 2016, 6, 37645. [Google Scholar] [CrossRef] [PubMed]
- Soler, R.; Badenes-Pérez, F.R.; Broekgaarden, C.; Zheng, S.-J.; David, A.; Boland, W.; Dicke, M. Plant-mediated facilitation between a leaf-feeding and a phloem-feeding insect in a brassicaceous plant: From insect performance to gene transcription. Funct. Ecol. 2012, 26, 156–166. [Google Scholar] [CrossRef]
- Liu, Q.; Turlings, T.C.J.; Li, Y. Can herbivores sharing the same host plant be mutualists? Trends Ecol. Evol. 2023, 38, 509–511. [Google Scholar] [CrossRef]
- Wang, X.; Liu, Q.; Meissle, M.; Peng, Y.; Wu, K.; Romeis, J.; Li, Y. Bt rice could provide ecological resistance against nontarget planthoppers. Plant Biotechnol. J. 2018, 16, 1748–1755. [Google Scholar] [CrossRef]
- Ling, Y.; Weilin, Z. Genetic and biochemical mechanisms of rice resistance to planthopper. Plant Cell Rep. 2016, 35, 1559–1572. [Google Scholar] [CrossRef]
- Zhang, W.; Dong, Y.; Yang, L.; Ma, B.; Ma, R.; Huang, F.; Wang, C.; Hu, H.; Li, C.; Yan, C.; et al. Small brown planthopper resistance loci in wild rice (Oryza officinalis). Mol. Genet. Genom. 2014, 289, 373–382. [Google Scholar] [CrossRef]
- Suk-Man, K.; Jae-Keun, S. Identification of a rice gene (Bph 1) conferring resistance to brown planthopper (Nilaparvata Iugens Stal) using STS markers. Mol. Cells 2005, 20, 30–34. [Google Scholar] [CrossRef]
- Han, L.Z.; Li, S.B.; Liu, P.L.; Peng, Y.F.; Hou, M.L. New artificial diet for continuous rearing of Chilo suppressalis (Lepidoptera: Crambidae). Ann. Entomol. Soc. Am. 2012, 105, 253–258. [Google Scholar] [CrossRef]
- Liu, F.-H.; Kang, Z.-W.; Tan, X.-L.; Fan, Y.-L.; Tian, H.-G.; Liu, T.-X. Physiology and defense responses of wheat to the infestation of different cereal aphids. J. Integr. Agric. 2020, 19, 1464–1474. [Google Scholar] [CrossRef]
- Kobayashi, T. Evolving ideas about genetics underlying insect virulence to plant resistance in rice-brown planthopper interactions. J. Insect Physiol. 2016, 84, 32–39. [Google Scholar] [CrossRef]
- Jain, M.; Nijhawan, A.; Tyagi, A.K.; Khurana, J.P. Validation of housekeeping genes as internal control for studying gene expression in rice by quantitative real-time PCR. Biochem. Biophys. Res. Commun. 2006, 345, 646–651. [Google Scholar] [CrossRef]
- Livak, K.J.; Schmittgen, T.D. Analysis of relative gene expression data using real-time quantitative PCR and the 2−ΔΔCT method. Methods 2001, 25, 402–408. [Google Scholar] [CrossRef]
- Liu, Q.; Wang, X.; Tzin, V.; Romeis, J.; Peng, Y.; Li, Y. Combined transcriptome and metabolome analyses to understand the dynamic responses of rice plants to attack by the rice stem borer Chilo suppressalis (Lepidoptera: Crambidae). BMC Plant Biol. 2016, 16, 259. [Google Scholar] [CrossRef]
- Anders, S.; Huber, W. Differential expression analysis for sequence count data. Genome Biol. 2010, 11, R106. [Google Scholar] [CrossRef]
- Benjamini, Y.; Hochberg, Y. Controlling the false discovery rate: A practical and powerful approach to multiple testing. J. R. Stat. Soc. Ser. B Methodol. 1995, 57, 289–300. [Google Scholar] [CrossRef]
- Young, M.D.; Wakefield, M.J.; Smyth, G.K.; Oshlack, A. Gene ontology analysis for RNA-seq: Accounting for selection bias. Genome Biol. 2010, 11, R14. [Google Scholar] [CrossRef]
- Mao, X.; Cai, T.; Olyarchuk, J.G.; Wei, L. Automated genome annotation and pathway identification using the KEGG Orthology (KO) as a controlled vocabulary. Bioinformatics 2005, 21, 3787–3793. [Google Scholar] [CrossRef] [PubMed]
- Wu, J.; Hettenhausen, C.; Meldau, S.; Baldwin, I.T. Herbivory rapidly activates MAPK signaling in attacked and unattacked leaf regions but not between leaves of Nicotiana attenuata. Plant Cell 2007, 19, 1096–1122. [Google Scholar] [CrossRef] [PubMed]
- Jiao, Y.; Hu, X.; Peng, Y.; Wu, K.; Romeis, J.; Li, Y. Bt rice plants may protect neighbouring non-Bt rice plants against the striped stem borer, Chilo suppressalis. Proc. R. Soc. B Biol. Sci. 2018, 285, 20181283. [Google Scholar] [CrossRef] [PubMed]
- Hu, X.; Su, S.; Liu, Q.; Jiao, Y.; Peng, Y.; Li, Y.; Turlings, T.C.J. Caterpillar-induced rice volatiles provide enemy-free space for the offspring of the brown planthopper. eLife 2020, 9, e55421. [Google Scholar] [CrossRef]
- De Lange, E.S.; Laplanche, D.; Guo, H.; Xu, W.; Vlimant, M.; Erb, M.; Ton, J.; Turlings, T.C.J. Spodoptera frugiperda caterpillars suppress herbivore-induced volatile Emissions in Maize. J. Chem. Ecol. 2020, 46, 344–360. [Google Scholar] [CrossRef]
- Fu, Q.; Zhang, Z.; Hu, C.; Lai, F.; Sun, Z. A chemically defined diet enables continuous rearing of the brownplanthopper, Nilaparvata lugens (Stal) (Homoptera: Delphacidae). Appl. Entomol. Zool 2001, 36, 111–116. [Google Scholar] [CrossRef]
- Pardo, S. Statistical Analysis of Empirical Data: Methods For applied Sciences; Springer: Berlin/Heidelberg, Germany, 2020. [Google Scholar]
- Thomas, K.K. A discussion and evaluation of statistical procedures used by JIMB authors when comparing means. J. Ind. Microbiol. Biotechnol. 2024, 51, 1–14. [Google Scholar] [CrossRef]
- Howell, D.C. Chi-Square Test: Analysis of Contingency Tables. In International Encyclopedia of Statistical Science; Lovric, M., Ed.; Springer: Berlin/Heidelberg, Germany, 2011; pp. 250–252. [Google Scholar]
- Seo, B.Y.; Kwon, Y.-H.; Jung, J.K.; Kim, G.-H. Electrical penetration graphic waveforms in relation to the actual positions of the stylet tips of Nilaparvata lugens in rice tissue. J. Asia-Pacif. Entomol. 2009, 12, 89–95. [Google Scholar] [CrossRef]
- Losel, P.M.; Goodman, L.J. Effects on the feeding behaviour of Nilaparvata lugens (Stål) of sublethal concentrations of the foliarly applied nitromethylene heterocycle 2-nitromethylene-1, 3-thiazinan-3-yl-carbamaldehyde. Physiol. Entomol. 1993, 18, 67–74. [Google Scholar] [CrossRef]
- Ghaffar, M.B.A.; Pritchard, J.; Ford-Lloyd, B. Brown planthopper (N. lugens Stal) feeding behaviour on rice germplasm as an indicator of resistance. PLoS ONE 2011, 6, e22137. [Google Scholar] [CrossRef]
- Gao, G.; Zhong, Y.; Guo, A.; Zhu, Q.; Tang, W.; Zheng, W.; Gu, X.; Wei, L.; Luo, J. DRTF: A database of rice transcription factors. Bioinformatics 2006, 22, 1286–1287. [Google Scholar] [CrossRef] [PubMed]
- Pérez-Rodríguez, P.; Riaño-Pachón, D.M.; Corrêa, L.G.G.; Rensing, S.A.; Kersten, B.; Mueller-Roeber, B. PlnTFDB: Updated content and new features of the plant transcription factor database. Nucleic Acids Res. 2010, 38, D822–D827. [Google Scholar] [CrossRef] [PubMed]
- Li, R.; Zhang, J.; Li, J.; Zhou, G.; Wang, Q.; Bian, W.; Erb, M.; Lou, Y. Prioritizing plant defence over growth through WRKY regulation facilitates infestation by non-target herbivores. eLife 2015, 4, e04805. [Google Scholar] [CrossRef] [PubMed]
- Giri, M.K.; Swain, S.; Gautam, J.K.; Singh, S.; Singh, N.; Bhattacharjee, L.; Nandi, A.K. The Arabidopsis thaliana At4g13040 gene, a unique member of the AP2/EREBP family, is a positive regulator for salicylic acid accumulation and basal defense against bacterial pathogens. J. Plant Physiol. 2014, 171, 860–867. [Google Scholar] [CrossRef]
- Lu, J.; Ju, H.; Zhou, G.; Zhu, C.; Erb, M.; Wang, X.; Wang, P.; Lou, Y. An EAR-motif-containing ERF transcription factor affects herbivore-induced signaling, defense and resistance in rice. Plant J. 2011, 68, 583–596. [Google Scholar] [CrossRef]
- Liu, Q.; Hu, X.; Su, S.; Ning, Y.; Peng, Y.; Ye, G.; Lou, Y.; Turlings, T.C.J.; Li, Y. Cooperative herbivory between two important pests of rice. Nat. Commun. 2021, 12, 6772. [Google Scholar] [CrossRef]
- Zhang, J.; Li, Y.; Guo, J.; Du, B.; He, G.; Zhang, Y.; Chen, R.; Li, J. Lipid profiles reveal different responses to brown planthopper infestation for pest susceptible and resistant rice plants. Metabolomics 2018, 14, 120. [Google Scholar] [CrossRef]
- Shigematsu, Y.; Murofushi, N.; Ito, K.; Kaneda, C.; Kawabe, S.; Takahashi, N. Sterols and asparagine in the rice plant, endogenous factors related to resistance against the brown planthopper (Nilaparvata lugens). Agric. Biol. Chem. 1982, 46, 2877–2879. [Google Scholar] [CrossRef]
- Chen, M.; Ye, G.; Hu, C.; Tu, J.; Datta, S. Effect of transgenic Bt rice on dispersal of planthoppers and leafhoppers as well as their egg parasitic wasps. J. Zhejiang Univ. (Agric. Life Sci.) 2003, 29, 29–33. [Google Scholar]
- Sogawa, K.; Pathak, M.D. Mechanisms of brown planthopper resistance in mudgo variety of rice (Hemiptera: Delphacidae). Appl. Entomol. Zool 1970, 5, 145–158. [Google Scholar] [CrossRef]
- Zhou, Y.H.; Han, Z.J. Individual virulence index of Nilaparvata lugens on a resistant variety of rice Mudgo. Acta Entomol. Sin. 2003, 46, 305–310. [Google Scholar] [CrossRef]
- Xu, H.-X.; Zheng, X.-S.; Yang, Y.-J.; Tian, J.-C.; Fu, Q.; Ye, G.-Y.; Lu, Z.-X. Changes in endosymbiotic bacteria of brown planthoppers during the process of adaptation to different resistant rice varieties. Environ. Entomol. 2015, 44, 582–587. [Google Scholar] [CrossRef]
- Song, X.M.; Wang, Z.J.; Liao, Z.H.; Deng, J.Y.; Zhu, X.D.; Zhou, G.X. Functional analysis of rice OsLecRK1 in resistance to rice brown planthopper. J. Environ. Entomol. 2021, 43, 1210–1219. [Google Scholar] [CrossRef]
- Ji, R.; Yu, H.; Fu, Q.; Chen, H.; Ye, W.; Li, S.; Lou, Y. Comparative transcriptome analysis of salivary glands of two populations of rice brown planthopper, Nilaparvata lugens, that differ in virulence. PLoS ONE 2013, 8, e79612. [Google Scholar] [CrossRef] [PubMed]
- Garzo, E.; Soria, C.; Gómez-Guillamón, M.L.; Fereres, A. Feeding behavior ofAphis gossypii on resistant accessions of different melon genotypes (Cucumis melo). Phytoparasitica 2002, 30, 129–140. [Google Scholar] [CrossRef]
- Liang, L.-Y.; Liu, L.-F.; Yu, X.-P.; Han, B.-Y. Evaluation of the resistance of different tea cultivars to tea aphids by EPG technique. J. Integr. Agric. 2012, 11, 2028–2034. [Google Scholar] [CrossRef]
- Tzin, V.; Fernandez-Pozo, N.; Richter, A.; Schmelz, E.A.; Schoettner, M.; Schafer, M.; Ahern, K.R.; Meihls, L.N.; Kaur, H.; Huffaker, A.; et al. Dynamic maize responses to aphid feeding are revealed by a Time series of transcriptomic and metabolomic assays. Plant Physiol. 2015, 169, 1727–1743. [Google Scholar] [CrossRef]
- Qi, J.; Sun, G.; Wang, L.; Zhao, C.; Hettenhausen, C.; Schuman, M.C.; Baldwin, I.T.; Li, J.; Song, J.; Liu, Z.; et al. Oral secretions from Mythimna separata insects specifically induce defense responses in maize as revealed by high-dimensional biological data. Plant Cell Environ. 2016, 39, 1749–1766. [Google Scholar] [CrossRef]
- Guo, J.; Qi, J.; He, K.; Wu, J.; Bai, S.; Zhang, T.; Zhao, J.; Wang, Z. The Asian corn borer Ostrinia furnacalis feeding increases the direct and indirect defence of mid-whorl stage commercial maize in the field. Plant Biotechnol. J. 2019, 17, 88–102. [Google Scholar] [CrossRef]
- Zhou, G.; Wang, X.; Yan, F.; Li, R.; Cheng, J.; Lou, Y. Genome-wide transcriptional changes and defence-related chemical profiling of rice in response to infestation by the rice striped stem borer Chilo suppressalis. Physiol. Plant. 2011, 143, 21–40. [Google Scholar] [CrossRef]
- Huang, X.-Z.; Chen, J.-Y.; Xiao, H.-J.; Xiao, Y.-T.; Wu, J.; Wu, J.-X.; Zhou, J.-J.; Zhang, Y.-J.; Guo, Y.-Y. Dynamic transcriptome analysis and volatile profiling of Gossypium hirsutum in response to the cotton bollworm Helicoverpa armigera. Sci. Rep. 2015, 5, 11867. [Google Scholar] [CrossRef] [PubMed]
- Hu, L.; Ye, M.; Li, R.; Zhang, T.; Zhou, G.; Wang, Q.; Lu, J.; Lou, Y. The rice transcription factor WRKY53 suppresses herbivore-induced defenses by acting as a negative feedback modulator of mitogen-activated protein kinase activity. Plant Physiol. 2015, 169, 2907–2921. [Google Scholar] [CrossRef] [PubMed]
- Yoo, S.J.; Kim, S.H.; Kim, M.J.; Ryu, C.M.; Kim, Y.C.; Cho, B.H.; Yang, K.Y. Involvement of the OsMKK4-OsMPK1 cascade and its downstream transcription factor OsWRKY53 in the wounding response in rice. Plant Pathol. J. 2014, 30, 168–177. [Google Scholar] [CrossRef]
- Lu, J.; Robert, C.A.; Riemann, M.; Cosme, M.; Mene-Saffrane, L.; Massana, J.; Stout, M.J.; Lou, Y.; Gershenzon, J.; Erb, M. Induced jasmonate signaling leads to contrasting effects on root damage and herbivore performance. Plant Physiol. 2015, 167, 1100–1116. [Google Scholar] [CrossRef] [PubMed]
- Lou, Y.-G.; Du, M.-H.; Turlings, T.C.; Cheng, J.-A.; Shan, W.-F. Exogenous application of jasmonic acid induces volatile emissions in rice and enhances parasitism of Nilaparvata lugens eggs by theParasitoid Anagrus nilaparvatae. J. Chem. Ecol. 2005, 31, 1985–2002. [Google Scholar] [CrossRef]
- Xiao, Y.; Wang, Q.; Erb, M.; Turlings, T.C.J.; Ge, L.; Hu, L.; Li, J.; Han, X.; Zhang, T.; Lu, J.; et al. Specific herbivore-induced volatiles defend plants and determine insect community composition in the field. Ecol. Lett. 2012, 15, 1130–1139. [Google Scholar] [CrossRef]
- Blubaugh, C.K.; Asplund, J.S.; Eigenbrode, S.D.; Morra, M.J.; Philips, C.R.; Popova, I.E.; Reganold, J.P.; Snyder, W.E. Dual-guild herbivory disrupts predator-prey interactions in the field. Ecology 2018, 99, 1089–1098. [Google Scholar] [CrossRef]
- Wang, Q.; Xin, Z.; Li, J.; Hu, L.; Lou, Y.; Lu, J. (E)-β-caryophyllene functions as a host location signal for the rice white-backed planthopper Sogatella furcifera. Physiol. Mol. Plant Pathol. 2015, 91, 106–112. [Google Scholar] [CrossRef]
- Waris, M.I.; Younas, A.; Adeel, M.M.; Duan, S.-G.; Quershi, S.R.; Kaleem Ullah, R.M.; Wang, M.-Q. The role of chemosensory protein 10 in the detection of behaviorally active compounds in brown planthopper, Nilaparvata lugens. Insect Sci. 2020, 27, 531–544. [Google Scholar] [CrossRef]
- Hagenbucher, S.; Olson, D.; Ruberson, J.; Wäckers, F.; Romeis, J. Resistance mechanisms against arthropod herbivores in cotton and their interactions with natural enemies. Crit. Rev. Plant Sci. 2013, 32, 458–482. [Google Scholar] [CrossRef]
- Erb, M.; Reymond, P. Molecular interactions between plants and insect herbivores. Annu. Rev. Plant Biol. 2019, 70, 527–557. [Google Scholar] [CrossRef]
- Pare, P.W.; Tumlinson, J.H. Plant volatiles as a defense against insect herbivores. Plant Physiol. 1999, 121, 325–332. [Google Scholar] [CrossRef]
- Zhang, P.; Zhu, X.; Huang, F.; Liu, Y.; Zhang, J.; Lu, Y.; Ruan, Y. Suppression of jasmonic acid-dependent defense in cotton plant by the mealybug Phenacoccus solenopsis. PLoS ONE 2011, 6, e22378. [Google Scholar] [CrossRef]











| Parameters | Means ± SE (Sample Size) | Mudgo-H/TN1-H | Mudgo-D/TN1-D | Mudgo-D/Mudgo-H | TN1-D/TN1-H | |||||||
|---|---|---|---|---|---|---|---|---|---|---|---|---|
| Mudgo-H | Mudgo-D | TN1-H | TN1-D | t or χ2 | p | t or χ2 | p | t or χ2 | p | t or χ2 | p | |
| 1st instar (d) 1 | 3.18 ± 0.1 (57) | 3.1 ± 0.1 (59) | 2.08 ± 0.06 (89) | 2.05 ± 0.06 (107) | 9.072 | 0.000 | 9.547 | 0.000 | −0.508 | 0.612 | −0.367 | 0.714 |
| 2nd instar (d) 1 | 2.53 ± 0.12 (57) | 2.49 ± 0.13 (59) | 2.82 ± 0.06 (89) | 2.73 ± 0.06 (107) | −2.142 | 0.035 | −1.663 | 0.100 | −0.195 | 0.846 | −1.042 | 0.299 |
| 3rd instar (d) 1 | 2.77 ± 0.12 (57) | 2.49 ± 0.09 (59) | 2.56 ± 0.07 (89) | 2.82 ± 0.06 (107) | 1.622 | 0.107 | −2.983 | 0.004 | −1.864 | 0.065 | 2.841 | 0.005 |
| 4th instar (d) 1 | 2.70 ± 0.13 (57) | 2.58 ± 0.12 (59) | 1.84 ± 0.06 (89) | 2 ± 0.05 (107) | 5.971 | 0.000 | 4.602 | 0.000 | −0.720 | 0.473 | 2.044 | 0.042 |
| 5th instar (d) 1 | 3.18 ± 0.15 (57) | 3.22 ± 0.16 (59) | 2.52 ± 0.07 (89) | 2.57 ± 0.06 (107) | 4.044 | 0.000 | 3.841 | 0.000 | 0.209 | 0.835 | 0.556 | 0.579 |
| Female adult emergence (d) 1 | 15.42 ± 0.25 (50) | 15.1 ± 0.27 (48) | 12.98 ± 0.12 (59) | 13.09 ± 0.15 (57) | 8.862 | 0.000 | 6.604 | 0.000 | −0.869 | 0.387 | 0.550 | 0.583 |
| Male adult emergence (d) 1 | 14.58 ± 0.18 (59) | 13.68 ± 0.2 (68) | 12.63 ± 0.12 (59) | 12.99 ± 0.1 (78) | 8.898 | 0.000 | 3.139 | 0.002 | −3.324 | 0.001 | 2.325 | 0.022 |
| Female adults weight (mg) 1 | 2.37 ± 0.07 (47) | 2.52 ± 0.07 (48) | 2.57 ± 0.06 (55) | 2.47 ± 0.05 (57) | −2.296 | 0.024 | 0.600 | 0.550 | 1.577 | 0.118 | −1.321 | 0.189 |
| Male adult weight (mm) 1 | 1.23 ± 0.03 (59) | 1.42 ± 0.03 (68) | 1.38 ± 0.02 (58) | 1.31 ± 0.03 (77) | −3.654 | 0.000 | 2.750 | 0.007 | 4.054 | 0.000 | −1.981 | 0.050 |
| Female adults length (mm) 1 | 3.55 ± 0.03 (47) | 3.57 ± 0.04 (48) b | 3.74 ± 0.02 (56) | 3.72 ± 0.01 (54) | −5.348 | 0.000 | −3.312 | 0.003 | 0.339 | 0.736 | −1.046 | 0.298 |
| Male adults length (mm) 1 | 2.65 ± 0.03 (59) | 2.69 ± 0.02 (68) | 2.89 ± 0.01 (55) | 2.82 ± 0.02 (76) | −7.052 | 0.000 | −4.971 | 0.000 | 1.271 | 0.208 | −3.247 | 0.001 |
| Sex ratios 2 | 0.9 (112) | 1.04 (139) | 1.02 (117) | 0.73 (135) | 0.221 | 0.638 | 1.974 | 0.160 | 0.286 | 0.593 | 1.699 | 0.192 |
| Brachypterous ratios 2 | 0.87 (112) | 1.17 (139) | 1.39 (117) | 1.6 (135) | 3.136 | 0.077 | 1.198 | 0.274 | 1.741 | 0.187 | 0.295 | 0.587 |
Disclaimer/Publisher’s Note: The statements, opinions and data contained in all publications are solely those of the individual author(s) and contributor(s) and not of MDPI and/or the editor(s). MDPI and/or the editor(s) disclaim responsibility for any injury to people or property resulting from any ideas, methods, instructions or products referred to in the content. |
© 2025 by the authors. Licensee MDPI, Basel, Switzerland. This article is an open access article distributed under the terms and conditions of the Creative Commons Attribution (CC BY) license.
Share and Cite
Wang, X.; Zhang, X.; Tzin, V.; Han, L.; Wang, J.; Zhou, Y.; Zhang, K. Herbivore-Induced Jasmonate Signaling Reduces Rice Resistance to the Brown Planthopper, Nilaparvata lugens. Agronomy 2026, 16, 91. https://doi.org/10.3390/agronomy16010091
Wang X, Zhang X, Tzin V, Han L, Wang J, Zhou Y, Zhang K. Herbivore-Induced Jasmonate Signaling Reduces Rice Resistance to the Brown Planthopper, Nilaparvata lugens. Agronomy. 2026; 16(1):91. https://doi.org/10.3390/agronomy16010091
Chicago/Turabian StyleWang, Xingyun, Xinqiang Zhang, Vered Tzin, Lanzhi Han, Jingshun Wang, Yali Zhou, and Kunpeng Zhang. 2026. "Herbivore-Induced Jasmonate Signaling Reduces Rice Resistance to the Brown Planthopper, Nilaparvata lugens" Agronomy 16, no. 1: 91. https://doi.org/10.3390/agronomy16010091
APA StyleWang, X., Zhang, X., Tzin, V., Han, L., Wang, J., Zhou, Y., & Zhang, K. (2026). Herbivore-Induced Jasmonate Signaling Reduces Rice Resistance to the Brown Planthopper, Nilaparvata lugens. Agronomy, 16(1), 91. https://doi.org/10.3390/agronomy16010091

