Metagenomic Insight into the Impact of Soil Nutrients and Microbial Community Structure on Greenhouse Gas Emissions: A Case Study in Giant Rice–Fish Co-Cultured Mode
Abstract
1. Introduction
2. Materials and Methods
2.1. Field Description and Experimental Design
2.2. Methane and Nitrous Oxide Gas Collection and Determination
2.3. Analyses of Soil Properties
2.4. Analyses of Soil Microbial Activities
2.5. Soil DNA Extraction, Illumina-MiSeq Sequencing, and Data Analysis
2.6. Statistical Analysis
3. Results
3.1. Soil Properties
3.2. Greenhouse Gas Emissions
3.3. Soil Microbial Activity
3.4. Soil Microbial Community Structure
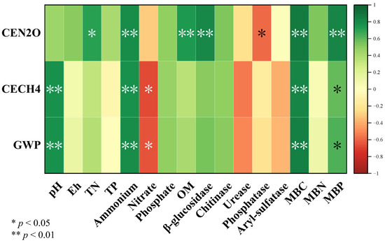
3.5. Comprehensive Relationships Among Soil Physicochemical Properties, Greenhouse Gas Emissions, Microbial Activities, and Communities
4. Discussion
4.1. Effects of Flooding and Cultured Fish on Soil Nutrients
4.2. Effect of Flooding and Cultured Fish on Greenhouse Gas Emissions
4.3. Effect of Flooding and Cultured Fish on Soil Microbial Activity and Community Structure
5. Conclusions
Supplementary Materials
Author Contributions
Funding
Data Availability Statement
Conflicts of Interest
Abbreviations
| GWP | Global Warming Potential |
References
- Viana, C.M.; Freire, D.; Abrantes, P.; Rocha, J.; Pereira, P. Agricultural land systems importance for supporting food security and sustainable development goals: A systematic review. Sci. Total Environ. 2022, 806, 150718. [Google Scholar] [CrossRef] [PubMed]
- Wang, J.; Li, Q.; Shen, C.; Yang, F.; Wang, J.; Ge, Y. Significant dose effects of fertilizers on soil diazotrophic diversity, community composition, and assembly processes in a long-term paddy field fertilization experiment. Land Degrad. Dev. 2020, 32, 420–429. [Google Scholar] [CrossRef]
- Wang, M.; Liu, H.; Rezanezhad, F.; Zak, D.; Lennartz, B. The influence of microtopography on soil carbon accumulation and nutrient release from a rewetted coastal peatland. Geoderma 2023, 438, 116637. [Google Scholar] [CrossRef]
- Ma, C.; Zeng, W.; Li, J.; Li, S.; Peng, Y. Metabolomics uncovers adaptation discrepancy among anammox granular sludge with different granule size: Metabolic pathway regulation by consortia cooperation. Sci. Total Environ. 2023, 864, 161086. [Google Scholar] [CrossRef]
- Wang, J.; Yang, X.; Huang, S.; Wu, L.; Cai, Z.; Xu, M. Long-term combined application of organic and inorganic fertilizers increases crop yield sustainability by improving soil fertility in maize–wheat cropping systems. J. Integr. Agric. 2025, 24, 290–305. [Google Scholar] [CrossRef]
- Cropping, P. Crop residue management for nutrient cycling and improving soil productivity in rice-based cropping systems in the tropics. Adv. Agron. 2005, 85, 269. [Google Scholar] [CrossRef]
- Yang, H.; Li, Y.; Cao, Y.; Shi, W.; Xie, E.; Mu, N.; Du, G.; Shen, Y.; Tang, D.; Cheng, Z. Nitrogen nutrition contributes to plant fertility by affecting meiosis initiation. Nat. Commun. 2022, 13, 485. [Google Scholar] [CrossRef]
- Wang, K.; Hou, J.; Zhang, S.; Hu, W.; Yi, G.; Chen, W.; Cheng, L.; Zhang, Q. Preparation of a new biochar-based microbial fertilizer: Nutrient release patterns and synergistic mechanisms to improve soil fertility. Sci. Total Environ. 2023, 860, 160478. [Google Scholar] [CrossRef]
- Chen, Y.; Yu, P.; Chen, Y.; Chen, Z. Spatiotemporal dynamics of rice–crayfish field in Mid-China and its socioeconomic benefits on rural revitalisation. Appl. Geogr. 2022, 139, 102636. [Google Scholar] [CrossRef]
- Shen, X.; Zhang, L.; Zhang, J. Ratoon rice production in central China: Environmental sustainability and food production. Sci. Total Environ. 2021, 764, 142850. [Google Scholar] [CrossRef]
- Yifan, L.; Tiaoyan, W.; Shaodong, W.; Xucan, K.; Zhaoman, Z.; Hongyan, L.; Jiaolong, L. Developing integrated rice-animal farming based on climate and farmers choices. Agr. Syst. 2023, 204, 103554. [Google Scholar] [CrossRef]
- Mortillaro, J.-M.; Dabbadie, L.; Raminoharisoa, A.E.; Paradis, A.; Martel, P.; Andriamarolaza, R.; Raliniaina, M.; Mikolasek, O.; Aubin, J. Trophic functioning of integrated rice-fish farming in Madagascar: Insights from stable isotopes (δ13C & δ15N). Aquaculture 2022, 555, 738240. [Google Scholar] [CrossRef]
- Yuan, P.; Li, X.; Ni, M.; Cao, C.; Jiang, L.; Iqbal, A.; Wang, J. Effects of straw return and feed addition on the environment and nitrogen use efficiency under different nitrogen application rates in the rice–crayfish system. Plant Soil 2022, 475, 411–426. [Google Scholar] [CrossRef]
- Wang, B.; Zhang, H.; Chen, G.; Cheng, W.; Shen, Y. Effects of long-term rice–crayfish coculture systems on soil nutrients, carbon pools, and rice yields in Northern Zhejiang province, China. Agronomy 2024, 14, 1014. [Google Scholar] [CrossRef]
- Yang, X.; Liu, D.; Fu, Q.; Li, T.; Hou, R.; Li, Q.; Li, M.; Meng, F. Characteristics of greenhouse gas emissions from farmland soils based on a structural equation model: Regulation mechanism of biochar. Environ. Res. 2022, 206, 112303. [Google Scholar] [CrossRef]
- Peng, D.; Zhang, R.; Chen, Y.; Jiang, L.; Lei, L.; Xu, H.; Feng, S. Effects of secondary release of chromium and vanadium on soil properties, nutrient cycling and bacterial communities in contaminated acidic paddy soil. J. Environ. Manag. 2023, 326, 116725. [Google Scholar] [CrossRef]
- Belenguer-Manzanedo, M.; Alcaraz, C.; Camacho, A.; Ibáñez, C.; Català-Forner, M.; Martínez-Eixarch, M. Effect of post-harvest practices on greenhouse gas emissions in rice paddies: Flooding regime and straw management. Plant Soil 2022, 474, 77–98. [Google Scholar] [CrossRef]
- Wang, C.; Ma, X.; Shen, J.; Chen, D.; Zheng, L.; Ge, T.; Li, Y.; Wu, J. Reduction in net greenhouse gas emissions through a combination of pig manure and reduced inorganic fertilizer application in a double-rice cropping system: Three-year results. Agr. Ecosyst. Environ. 2022, 326, 107799. [Google Scholar] [CrossRef]
- Sun, J.; Chen, L.; Ogle, S.; Cheng, K.; Xu, X.; Li, Y.; Pan, G. Future climate change may pose pressures on greenhouse gas emission reduction in China’s rice production. Geoderma 2023, 440, 116732. [Google Scholar] [CrossRef]
- Liu, F.; Zhang, Y.M.; Yuan, Z.; Jia, Z.; Zhang, Y. Nitrous oxide act as an alternative electron acceptor for microbial methane oxidation in oxygen-deficient microcosms. Geoderma 2025, 455, 117213. [Google Scholar] [CrossRef]
- Wang, J.; Yao, X.; Jia, Z.; Zhu, L.; Zheng, P.; Kartal, B.; Hu, B. Nitrogen input promotes denitrifying methanotrophs’ abundance and contribution to methane emission reduction in coastal wetland and paddy soil. Environ. Pollut. 2022, 302, 119090. [Google Scholar] [CrossRef]
- Fan, L.; Li, F.; Chen, X.; Shen, L.; Chu, Y.; Qiu, L.; Hu, G.; Song, C.; Li, D.; Meng, S. Co-culture of red swamp crayfish Procambarus clarkia influenced glycoside hydrolase families and fungal communities in the rice-paddy soils. Appl. Soil. Ecol. 2023, 186, 104816. [Google Scholar] [CrossRef]
- Yu, H.; Zhang, X.; Shen, W.; Yao, H.; Meng, X.; Zeng, J.; Zhang, G.; Zamanien, K. A meta-analysis of ecological functions and economic benefits of co-culture models in paddy fields. Agr. Ecosyst. Environ. 2023, 341, 108195. [Google Scholar] [CrossRef]
- Tabatabai, M.A.; Bremner, J.M. Assay of urease activity in soils. Soil Biol. Biochem. 1972, 4, 479–487. [Google Scholar] [CrossRef]
- Lu, R.K. Analysis Methods of Soil and Agricultural Chemistry; Chinese Agricultural Science and Technology Press: Beijing, China, 2000; pp. 146–315. (In Chinese) [Google Scholar]
- Thépot, V.; Campbell, A.H.; Rimmer, M.A.; Jelocnik, M.; Johnston, C.; Evans, B.; Paul, N.A. Dietary inclusion of the red seaweed Asparagopsis taxiformis boosts production, stimulates immune response and modulates gut microbiota in Atlantic salmon, Salmo salar. Aquaculture 2022, 546, 737286. [Google Scholar] [CrossRef]
- Carine, F.; Yvan, C.; Steven, C. Enzyme activities in apple orchard agroecosystems: How are they affected by management strategy and soil properties. Soil Biol. Biochem. 2009, 41, 61–68. [Google Scholar] [CrossRef]
- Li, F.; Feng, J.; Zhou, X.; Xu, C.; Jijakli, M.H.; Zhang, W.; Fang, F. Impact of rice-fish/shrimp co-culture on the N2O emission and NH3 volatilization in intensive aquaculture ponds. Sci. Total Environ. 2019, 655, 284–291. [Google Scholar] [CrossRef]
- Sayers, E.W.; Beck, J.; Bolton, E.E.; Brister, J.R.; Chan, J.; Connor, R.; Feldgarden, M.; Fine, A.M.; Funk, K.; Hoffman, J.; et al. Database resources of the National Center for Biotechnology Information in 2025. Nucleic Acids Res. 2025, 53, D20–D29. [Google Scholar] [CrossRef] [PubMed] [PubMed Central]
- Liu, B.; Pop, M. ARDB—Antibiotic resistance genes database. Nucleic Acids Res. 2009, 37 (Suppl. S1), D443–D447. [Google Scholar] [CrossRef] [PubMed]
- Khoshru, B.; Khoshmanzar, E.; Lajayer, B.A.; Ghorbanpour, M. Soil Moisture–Mediated Changes in Microorganism Biomass and Bioavailability of Nutrients in Paddy Soil, Plant Stress Mitigators; Elsevier: Amsterdam, The Netherlands, 2023; pp. 479–494. [Google Scholar]
- Wang, H.; Wu, Q.; Han, Y. Effects of Drying-Flooding Alternation on Sediment–Water Nitrogen Fluxes in Hydro-fluctuation Belt of the Danjiangkou Reservoir. Water Air Soil Pollut. 2022, 233, 71. [Google Scholar] [CrossRef]
- Wang, M.; Chen, S.; Shi, H.; Liu, Y. Redox dependence of manganese controls cadmium isotope fractionation in a paddy soil-rice system under unsteady pe+ pH conditions. Sci. Total Environ. 2022, 806, 150675. [Google Scholar] [CrossRef]
- Uwimana, A.; van Dam, A.; Irvine, K. Effects of conversion of wetlands to rice and fish farming on water quality in valley bottoms of the Migina catchment, southern Rwanda. Ecol. Eng. 2018, 125, 76–86. [Google Scholar] [CrossRef]
- Smith, M.S.; Tiedje, J.M. Phases of denitrification following oxygen depletion in soil. Soil Biol. Biochem. 1979, 11, 261–267. [Google Scholar] [CrossRef]
- Gao, H.; Zhou, J.; Dong, S.; Kitazawa, D. Sustainability assessment of marine aquaculture considering nutrients inflow from the land in Kyushu Area. Water 2022, 14, 943. [Google Scholar] [CrossRef]
- Wang, A.; Zou, D.; Xu, Z.; Chen, B.; Zhang, X.; Chen, F.; Zhang, M. Combined effects of spent mushroom substrate and dicyandiamide on carbendazim dissipation in soils: Double-edged sword effects and potential risk controls. Environ. Pollut. 2023, 319, 120992. [Google Scholar] [CrossRef]
- Liu, Y.; Zhang, W.; Chen, M.; Zhao, X.; Liu, H.; Ge, M.; Li, N.; Ning, Z.; Gao, W.; Fan, C. Molecular insights into effects of PBAT microplastics on latosol microbial diversity and DOM chemodiversity. J. Hazard. Mater. 2023, 450, 131076. [Google Scholar] [CrossRef]
- Wu, D.; Ren, C.; Ren, D.; Tian, Y.; Li, Y.; Wu, C.; Li, Q. New insights into carbon mineralization in tropical paddy soil under land use conversion: Coupled roles of soil microbial community, metabolism, and dissolved organic matter chemodiversity. Geoderma 2023, 432, 116393. [Google Scholar] [CrossRef]
- Chen, C.; Liu, P.; Liu, Y.; Wei, Y.; Li, J.; Ding, G.-C. Carbon amendment rather than nitrate fertilization dominated the reassembly of the total, denitrifying, and DNRA bacterial community in the anaerobic subsoil. J. Soils Sediments 2023, 23, 1–14. [Google Scholar] [CrossRef]
- Shan, A.; Huang, L.; Chen, D.; Lin, Q.; Liu, R.; Wang, M.; Kang, K.J.; Pan, M.; Wang, G.; He, Z. Trade-offs between fertilizer-N availability and Cd pollution potential under crop straw incorporation by 15 N stable isotopes in rice. Environ. Sci. Pollut. Res. 2023, 30, 51075–51088. [Google Scholar] [CrossRef] [PubMed]
- Ma, Y.; Sun, M.; Liang, X.; Zhang, H.; Xiang, J.; Zhao, L.; Fan, X. Rice Yield and Nitrogen Use Efficiency Under Climate Change: Unraveling Key Drivers with Least Absolute Shrinkage and Selection Operator Regression. Agronomy 2025, 15, 677. [Google Scholar] [CrossRef]
- Li, H.; Zhang, H.; Yang, Y.; Fu, G.; Tao, L.; Xiong, J. Effects and oxygen-regulated mechanisms of water management on cadmium (Cd) accumulation in rice (Oryza sativa). Sci. Total Environ. 2022, 846, 157484. [Google Scholar] [CrossRef] [PubMed]
- Zhu, M.; Zhang, L.; Xu, J.; He, Y. Improved understanding on biochar effect in electron supplied anaerobic soil as evidenced by dechlorination and methanogenesis processes. Sci. Total Environ. 2023, 857, 159346. [Google Scholar] [CrossRef] [PubMed]
- Dai, W.; Liu, R.; Yang, F.; He, G.; Wei, C. Denitrifying bacteria agent together with composite materials enhanced soil chemical properties and denitrifying functions in rare earth tailings: A field study. J. Hazard. Mater. 2023, 448, 130913. [Google Scholar] [CrossRef] [PubMed]
- Yang, X.; Tang, S.; Ni, K.; Shi, Y.; Yi, X.; Ma, Q.; Cai, Y.; Ma, L.; Ruan, J. Long-term nitrogen addition increases denitrification potential and functional gene abundance and changes denitrifying communities in acidic tea plantation soil. Environ. Res. 2023, 216, 114679. [Google Scholar] [CrossRef]
- Guo, Z.; Wan, S.; Hua, K.; Yin, Y.; Chu, H.; Wang, D.; Guo, X. Fertilization regime has a greater effect on soil microbial community structure than crop rotation and growth stage in an agroecosystem. Appl. Soil Ecol. 2020, 149, 103510. [Google Scholar] [CrossRef]
- Su, J.; Ji, W.; Sun, X.; Wang, H.; Kang, Y.; Yao, B. Effects of different management practices on soil microbial community structure and function in alpine grassland. J. Environ. Manag. 2023, 327, 116859. [Google Scholar] [CrossRef]
- Lu, C.; Hou, K.; Zhou, T.; Wang, X.; Zhang, J.; Cheng, C.; Du, Z.; Li, B.; Wang, J.; Wang, J. Characterization of the responses of soil micro-organisms to azoxystrobin and the residue dynamics of azoxystrobin in wheat–corn rotation fields over two years. Chemosphere 2023, 318, 137918. [Google Scholar] [CrossRef] [PubMed]
- Qian, Z.; Zhuang, S.; Gao, J.; Tang, L.; Harindintwali, J.D.; Wang, F. Aeration increases soil bacterial diversity and nutrient transformation under mulching-induced hypoxic conditions. Sci. Total Environ. 2022, 817, 153017. [Google Scholar] [CrossRef]
- Liu, H.; Qin, S.; Li, Y.; Zhao, P.; Nie, Z.; Liu, H. Comammox Nitrospira and AOB communities are more sensitive than AOA community to different fertilization strategies in a fluvo-aquic soil. Agr. Ecosyst. Environ. 2023, 342, 108224. [Google Scholar] [CrossRef]
- Yang, X.; Ni, K.; Shi, Y.; Yi, X.; Ji, L.; Wei, S.; Jiang, Y.; Zhang, Y.; Cai, Y.; Ma, Q. Metagenomics reveals N-induced changes in carbon-degrading genes and microbial communities of tea (Camellia sinensis L.) plantation soil under long-term fertilization. Sci. Total Environ. 2023, 856, 159231. [Google Scholar] [CrossRef]
- Deng, L.; Meile, C.; Fiskal, A.; Bölsterli, D.; Han, X.; Gajendra, N.; Dubois, N.; Bernasconi, S.M.; Lever, M.A. Deposit-feeding worms control subsurface ecosystem functioning in intertidal sediment with strong physical forcing. PNAS Nexus 2022, 1, pgac146. [Google Scholar] [CrossRef] [PubMed]
- Li, P.; Wang, C.; Liu, G.; Luo, X.; Rauan, A.; Zhang, C.; Li, T.; Yu, H.; Dong, S.; Gao, Q. A hydroponic plants and biofilm combined treatment system efficiently purified wastewater from cold flowing water aquaculture. Sci. Total Environ. 2022, 821, 153534. [Google Scholar] [CrossRef]
- Bhanwaria, R.; Singh, B.; Musarella, C.M. Effect of organic manure and moisture regimes on soil physiochemical properties, microbial biomass Cmic: Nmic: Pmic turnover and yield of mustard grains in arid climate. Plants 2022, 11, 722. [Google Scholar] [CrossRef]
- Vuyyuru, M.; Sandhu, H.S.; Erickson, J.E.; Ogram, A.V. Soil chemical and biological fertility, microbial community structure and dynamics in successive and fallow sugarcane planting systems. Agroecol. Sust. Food 2020, 44, 768–794. [Google Scholar] [CrossRef]
- Gadler, P.; Faber, K. New enzymes for biotransformations: Microbial alkyl sulfatases displaying stereo-and enantioselectivity. Trends Biotechnol. 2007, 25, 83–88. [Google Scholar] [CrossRef] [PubMed]
- Carlos, F.S.; Schaffer, N.; Marcolin, E.; Fernandes, R.S.; Mariot, R.; Mazzurana, M.; Roesch, L.F.W.; Levandoski, B.; de Oliveira Camargo, F.A. A long-term no-tillage system can increase enzymatic activity and maintain bacterial richness in paddy fields. Land Degrad. Dev. 2021, 32, 2257–2268. [Google Scholar] [CrossRef]
- Zhang, J.; Yu, Z.; Li, Y.; Wang, G.; Liu, X.; Tang, C.; Adams, J.; Liu, J.; Liu, J.; Zhang, S.; et al. Co–elevation of CO2 and temperature enhances nitrogen mineralization in the rhizosphere of rice. Biol. Fertil. Soils 2024, 60, 729–741. [Google Scholar] [CrossRef]
- Dhaliwal, S.S.; Naresh, R.K.; Mandal, A.; Singh, R.; Dhaliwal, M.K. Dynamics and transformations of micronutrients in agricultural soils as influenced by organic matter build-up: A review. Environ. Sustain. Indic. 2019, 1, 100007. [Google Scholar] [CrossRef]
- Xu, Q.; Dai, L.; Gao, P.; Dou, Z. The environmental, nutritional, and economic benefits of rice-aquaculture animal coculture in China. Energy 2022, 249, 123723. [Google Scholar] [CrossRef]
- Mhlanga, B.; Pellegrino, E.; Thierfelder, C.; Ercoli, L. Conservation agriculture practices drive maize yield by regulating soil nutrient availability, arbuscular mycorrhizas, and plant nutrient uptake. Field Crop Res. 2022, 277, 108403. [Google Scholar] [CrossRef]
- Guo, X.; Du, S.; Guo, H.; Min, W. Long-term saline water drip irrigation alters soil physicochemical properties, bacterial community structure, and nitrogen transformations in cotton. Appl. Soil Ecol. 2023, 182, 104719. [Google Scholar] [CrossRef]
- Zhang, R.; Rong, L.; Zhang, L. Soil nutrient variability mediates the effects of erosion on soil microbial communities: Results from a modified topsoil removal method in an agricultural field in Yunnan plateau, China. Environ. Sci. Pollut. R 2022, 29, 3659–3671. [Google Scholar] [CrossRef] [PubMed]
- Hartmann, M.; Six, J. Soil structure and microbiome functions in agroecosystems. Nat. Rev. Earth Environ. 2022, 4, 4–18. [Google Scholar] [CrossRef]
- Bing, X.; HUANG, D.; Mao, Y.; Hao, Q.; Hongfeng, C.; Keqiang, Z.; Rongliang, Q.; Rongrong, Y. Effects of rhamnolipids on bacterial communities in contaminated soil and earthworm guts. Pedosphere 2022, 33, 927–937. [Google Scholar] [CrossRef]
- Ramotowski, D.; Shi, W. Nitrapyrin-based nitrification inhibitors shaped the soil microbial community via controls on soil pH and inorganic N composition. Appl. Soil Ecol. 2022, 170, 104295. [Google Scholar] [CrossRef]







| Treatments | pH | Eh | TN | TP | NH4+-N | NO3−-N | AP | OM | CEN2O | CECH4 | GWP |
|---|---|---|---|---|---|---|---|---|---|---|---|
| mV | g kg−1 | g kg−1 | mg kg−1 | mg kg−1 | mg kg−1 | g kg−1 | kg N2O ha−1 | kg CH4 ha−1 | CO2-eq ha−1 | ||
| CK | 5.06 ± 0.10 b | 268 ± 0.10 b | 1.83 ± 0.10 b | 0.24 ± 2.20 b | 4.39 ± 0.29 b | 1.19 ± 0.10 a | 14.53 ± 2.15 b | 15.1 ± 0.27 b | 1.58 ± 0.06 c | 68.02 ± 6.03 c | 2322.65 ± 154.33 c |
| WGPF | 5.39 ± 0.18 a | 228 ± 0.03 c | 1.58 ± 0.18 b | 0.18 ± 5.67 c | 6.17 ± 0.91 b | 0.77 ± 0.03 c | 16.19 ± 0.13 b | 13.6 ± 0.27 c | 2.17 ± 0.08 b | 156.64 ± 18.26 b | 4960.74 ± 522.35 b |
| FFD1 | 5.22 ± 0.14 a | 311 ± 0.04 a | 2.63 ± 0.14 a | 0.26 ± 8.12 ab | 9.10 ± 0.98 a | 0.95 ± 0.04 bc | 16.51 ± 0.01 b | 19.75 ± 0.14 a | 3.05 ± 0.09 a | 164.41 ± 16.52 a | 5411.26 ± 480.04 a |
| FFD2 | 5.25 ± 0.23 a | 286 ± 0.05 b | 2.66 ± 0.23 a | 0.27 ± 8.73 a | 9.43 ± 1.11 a | 1.05 ± 0.05 ab | 20.53 ± 0.14 a | 20.43 ± 0.27 a | 2.77 ± 0.29 b | 148.3 ± 12.96 b | 4887.04 ± 297.99 b |
Disclaimer/Publisher’s Note: The statements, opinions and data contained in all publications are solely those of the individual author(s) and contributor(s) and not of MDPI and/or the editor(s). MDPI and/or the editor(s) disclaim responsibility for any injury to people or property resulting from any ideas, methods, instructions or products referred to in the content. |
© 2025 by the authors. Licensee MDPI, Basel, Switzerland. This article is an open access article distributed under the terms and conditions of the Creative Commons Attribution (CC BY) license (https://creativecommons.org/licenses/by/4.0/).
Share and Cite
Wang, A.; Zou, D.; Zhang, M.; Luo, Y.; Li, S.; Zou, J.; Zhang, X.; Chen, B. Metagenomic Insight into the Impact of Soil Nutrients and Microbial Community Structure on Greenhouse Gas Emissions: A Case Study in Giant Rice–Fish Co-Cultured Mode. Agronomy 2025, 15, 1982. https://doi.org/10.3390/agronomy15081982
Wang A, Zou D, Zhang M, Luo Y, Li S, Zou J, Zhang X, Chen B. Metagenomic Insight into the Impact of Soil Nutrients and Microbial Community Structure on Greenhouse Gas Emissions: A Case Study in Giant Rice–Fish Co-Cultured Mode. Agronomy. 2025; 15(8):1982. https://doi.org/10.3390/agronomy15081982
Chicago/Turabian StyleWang, Andong, Dongsheng Zou, Manyun Zhang, Yinling Luo, Sunyang Li, Jingchen Zou, Xiaopeng Zhang, and Bin Chen. 2025. "Metagenomic Insight into the Impact of Soil Nutrients and Microbial Community Structure on Greenhouse Gas Emissions: A Case Study in Giant Rice–Fish Co-Cultured Mode" Agronomy 15, no. 8: 1982. https://doi.org/10.3390/agronomy15081982
APA StyleWang, A., Zou, D., Zhang, M., Luo, Y., Li, S., Zou, J., Zhang, X., & Chen, B. (2025). Metagenomic Insight into the Impact of Soil Nutrients and Microbial Community Structure on Greenhouse Gas Emissions: A Case Study in Giant Rice–Fish Co-Cultured Mode. Agronomy, 15(8), 1982. https://doi.org/10.3390/agronomy15081982

