The Duration of Rice–Crayfish Co-Culture System Usage Alters the Soil Aggregate Size, Distribution, and Organic Carbon Fractions in the Profile
Abstract
1. Introduction
2. Materials and Methods
2.1. Experimental Area
2.2. Sampling Design
2.3. Soil Physicochemical Properties
2.4. Soil Aggregate Particle Size Distribution Determination and Calculate Stability Indices
2.5. Determination of the SOC Concentration and Carbon Stock Related Calculations
2.6. Methods of Statistical Analysis
3. Results
3.1. Soil Profiles Physical Properties
3.1.1. Soil Mechanical Composition in Different RCC Duration Profiles
3.1.2. Soil BD and Porosity in Different RCC Duration Profiles
3.1.3. Soil Aggregate Size Distribution in Different RCC Duration Profiles
3.1.4. Soil Aggregate Stability in Different RCC Duration Profiles
3.2. Soil Profile Chemical Properties
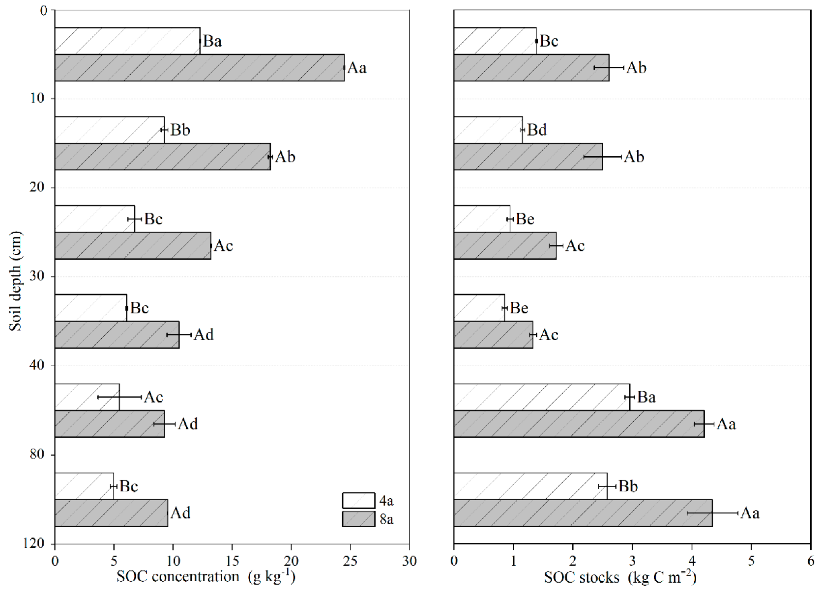
3.2.1. The Concentration of SOC and SOC Stocks in Different RCC Duration Soil Profiles
3.2.2. The Concentration of SOC in Different RCC Duration Profiles
3.2.3. The Stocks of SOC in Soil Aggregate in Different RCC of Different Duration
3.2.4. The Concentration of iPOC in Different Aggregate
4. Discussion
4.1. RCC Affects Soil BD
4.2. Influence of RCC System on Soil Aggregate
4.3. Depth Partitioning of SOC and the Protective Effect of Agglomerates in a RCC System
5. Conclusions
Author Contributions
Funding
Data Availability Statement
Conflicts of Interest
References
- FAO; IFAD; UNICEF; WFP; WHO. The State of Food Security and Nutrition in the World 2024–Financing to End Hunger, Food Insecurity and Malnutrition in All Its Forms; FAO; IFAD; UNICEF; WFP; WHO: Rome, Italy, 2024. [Google Scholar] [CrossRef]
- Bouteska, A.; Sharif, T.; Bhuiyan, F.; Abedin, M.Z. Impacts of the changing climate on agricultural productivity and food security: Evidence from Ethiopia. J. Clean. Prod. 2024, 449, 141793. [Google Scholar] [CrossRef]
- Xiong, S.W.; Yang, F.; Zhang, J.Y.; Tang, Y.L. An integrated model chain for diagnosing and predicting conflicts between production-living-ecological space in lake network regions: A case of the Dongting Lake region, China. Ecol. Indic. 2024, 166, 112237. [Google Scholar] [CrossRef]
- Hou, J.; Wang, X.L.; Xu, Q.; Cao, Y.Y.; Zhang, D.Y.; Zhu, J.Q. Rice-crayfish systems are not a panacea for sustaining cleaner food production. Environ. Sci. Pollut. Res. 2021, 28, 22913–22926. [Google Scholar] [CrossRef]
- Wang, R.; Feng, L.; Xu, Q.; Jiang, L.; Liu, Y.Z.; Xia, L.L.; Zhu, Y.G.; Liu, B.B.; Zhuang, M.H.; Yang, Y. Sustainable blue foods from rice–animal coculture systems. Environ. Sci. Technol. 2024, 58, 5310–5324. [Google Scholar] [CrossRef]
- Xu, Q.; Peng, X.; Guo, H.L.; Che, Y.; Dou, Z.; Xing, Z.P.; Hou, J.; Styles, D.; Gao, H.; Zhang, H.C. Rice-crayfish coculture delivers more nutrition at a lower environmental cost. Sustain. Prod. Consum. 2022, 29, 14–24. [Google Scholar] [CrossRef]
- Li, S.X.; Li, W.B.; Ding, K.X.; Shi, X.Y.; Kalkhajeh, Y.K.; Wei, Z.Y.; Zhang, Z.; Ma, C. Co-culture of rice and aquatic animals enhances soil organic carbon: A meta-analysis. Sci. Total Environ. 2024, 955, 176819. [Google Scholar] [CrossRef]
- Zhang, J.E.; Wei, S.B.; Liu, X.; Sun, D.X.; Shi, Y.J. Progress and prospects of integrated rice and fishery breeding research. J. South China Agric. Univ. 2024, 45, 812–824+808, (In Chinese with English Abstract). [Google Scholar] [CrossRef]
- Tan, W.T.; Wang, X.C.; Yan, L.; Yi, J.; Xia, T.; Zeng, Z.; Yu, G.L.; Chai, M.; Velpuri, N.M.; Thaneerat, A. Mapping rice-crayfish co-culture (RCC) fields with Sentinel-1 and-2 time series in China’s primary crayfish production region Jianghan Plain. Sci. Remote Sens. 2024, 10, 100151. [Google Scholar] [CrossRef]
- Hou, J.; Styles, D.; Cao, Y.X.; Ye, X.X. The sustainability of rice-crayfish coculture systems: A mini review of evidence from Jianghan plain in China. J. Sci. Food Agric. 2021, 101, 3843–3853. [Google Scholar] [CrossRef]
- Yuan, P.L.; Li, X.H.; Ni, M.L.; Cao, C.G.; Jiang, L.G.; Iqbal, A.; Wang, J.P. Effects of straw return and feed addition on the environment and nitrogen use efficiency under different nitrogen application rates in the rice–crayfish system. Plant Soil 2022, 475, 411–426. [Google Scholar] [CrossRef]
- Xu, Q.; Wang, X.L.; Xiao, B.; Hu, K.L. Rice-crab coculture to sustain cleaner food production in Liaohe River Basin, China: An economic and environmental assessment. J. Clean. Prod. 2019, 208, 188–198. [Google Scholar] [CrossRef]
- Yuan, P.L.; Wang, J.P.; Chen, S.W.; Guo, Y.; Cao, C.G. Certified rice–crayfish as an alternative farming modality in waterlogged land in the Jianghan Plain region of China. Agron. J. 2021, 113, 4568–4580. [Google Scholar] [CrossRef]
- Liu, P.; Zhang, T.Y.; Wang, G.L.; Ju, J.; Mao, W.; Zhao, H.T. Response of rice grain yield and soil fertility to fertilization management under three rice-based cropping systems in reclaimed soil. Agronomy 2023, 13, 1840. [Google Scholar] [CrossRef]
- Stockmann, U.; Padarian, J.; McBratney, A.; Minasny, B.; de Brogniez, D.; Montanarella, L.; Hong, S.Y.; Rawlins, B.G.; Field, D.J. Global Soil Organic Carbon Assessment. Glob. Food Secur. 2015, 6, 9–16. [Google Scholar] [CrossRef]
- Wiesmeier, M.; Urbanski, L.; Hobley, E.; Lang, B.; von Lützow, M.; Marin-Spiotta, E.; van Wesemael, B.; Rabot, E.; Ließ, M.; Garcia-Franco, N.; et al. Soil organic carbon storage as a key function of soils—A review of drivers and indicators at various scales. Geoderma 2019, 333, 149–162. [Google Scholar] [CrossRef]
- Ji, Z.J.; Ren, M.L.; Ye, J.L.; Zhao, L.F.; Dai, R.X.; Zhang, T.J.; Luo, Q.Y.; Tang, J.J.; Hu, L.L.; Chen, X. The role of partner species in the crop cocultures: A meta-analysis. Agric. Ecosyst. Environ. 2024, 367, 108992. [Google Scholar] [CrossRef]
- Kuzyakov, Y.; Blagodatskaya, E. Microbial hotspots and hot moments in soil: Concept & review. Soil Biol. Biochem. 2015, 83, 184–199. [Google Scholar] [CrossRef]
- Si, G.H.; Zhu, X.X.; Peng, C.L.; Yuan, J.F.; Zhao, S.J.; Xu, D.B.; Xie, Y.Y.; Zhou, J.X.; Yang, X.H. Effects of crayfish on aggregate characteristics and organic carbon distribution of paddy soil under integrated rice-crayfish system. J. Agric.-Environ. Sci. 2024, 43, 590–596, (In Chinese with English Abstract). [Google Scholar] [CrossRef]
- Arunrat, N.; Sansupa, C.; Kongsurakan, P.; Sereenonchai, S.; Hatano, R. Soil microbial diversity and community composition in rice–fish co-culture and rice monoculture farming system. Biology 2022, 11, 1242. [Google Scholar] [CrossRef]
- Du, L.S.; Wang, H.; Zhang, Z.; Zhou, Y.Y.; Xiao, Z.Y.; Shaaban, M.; Núñez-Delgado, A.; Sun, G.; Yu, Y.L.; Xiao, Z.H.; et al. Effects of long-term rice-crayfish farming on soil CNP storage and stoichiometry. Soil Tillage Res. 2024, 235, 105882. [Google Scholar] [CrossRef]
- Cai, C.; Li, G.; Zhu, J.Q.; Peng, L.; Li, J.F.; Wu, Q.X. Effects of Rice-crawfish rotation on soil physicochemical properties in Jianghan plain. J. Soil Sci. 2019, 56, 217–226, (In Chinese with English Abstract). [Google Scholar] [CrossRef]
- Wang, X.M.; Teng, Y.; Ren, W.J.; Li, Y.T.; Yang, T.; Chen, Y.; Zhang, L.; Zhang, H.M.; Kuramae, E.E. Variations of bacterial and Diazotrophic community assemblies throughout the soil profile in distinct Paddy soil types and their contributions to soil functionality. Msystems 2022, 7, e01047-21. [Google Scholar] [CrossRef] [PubMed]
- Schmidt, M.W.I.; Torn, M.S.; Abiven, S.; Dittmar, T.; Guggenberger, G.; Janssens, I.A.; Kleber, M.; Kögel-Knabner, I.; Lehmann, J.; Manning, D.A.C.; et al. Persistence of soil organic matter as an ecosystem property. Nature 2011, 478, 49–56. [Google Scholar] [CrossRef] [PubMed]
- Rumpel, C.; Kögel-Knabner, I. Deep soil organic matter—A key but poorly understood component of terrestrial C cycle. Plant Soil 2011, 338, 143–158. [Google Scholar] [CrossRef]
- Wang, Y.N.; Yao, Y.Z.; Han, B.B.; Willcock, S.; Storkey, J.; Dong, X.Z.; Zhong, Y.Y.; Wang, X.Z.; Deng, Y.; Zhang, W.; et al. Nature–based nutrient management through returning agricultural organic waste enhances soil aggregate organic carbon stability. Agric. Ecosyst. Environ. 2025, 381, 109467. [Google Scholar] [CrossRef]
- Chaplot, V.; Cooper, M. Soil aggregate stability to predict organic carbon outputs from soils. Geoderma 2015, 243, 205–213. [Google Scholar] [CrossRef]
- Ndzelu, B.S.; Dou, S.; Zhang, X.W.; Zhang, Y.F.; Ma, R.; Liu, X. Tillage effects on humus composition and humic acid structural characteristics in soil aggregate-size fractions. Soil Tillage Res. 2021, 213, 105090. [Google Scholar] [CrossRef]
- Zhu, Y.C.; Zhang, M.; Han, X.Z.; Lu, X.C.; Chen, X.; Feng, H.L.; Wu, Z.M.; Liu, C.Z.; Yan, J.; Zou, W.X. Evaluation of the soil aggregate stability under long term manure and chemical fertilizer applications: Insights from organic carbon and humic acid structure in aggregates. Agric. Ecosyst. Environ. 2024, 376, 109217. [Google Scholar] [CrossRef]
- Zhang, W.Y.; Wu, J.Q.; Xu, M.S.; Ma, T.Q.; Lu, J.W.; Zhu, J.; Ren, T.; Cong, R.H.; Lu, Z.F.; Zhang, Y.Y.; et al. Rice-crayfish farming increases soil organic carbon stocks by promoting aggregate protection and microbial necromass accumulation. Agric. Ecosyst. Environ. 2025, 383, 109519. [Google Scholar] [CrossRef]
- Yu, H.Y.; Zhang, X.C.; Shen, W.Y.; Yao, H.Y.; Meng, X.T.; Zeng, J.Y.; Zhang, G.B.; Zamanien, K. A meta-analysis of ecological functions and economic benefits of co-culture models in paddy fields. Agric. Ecosyst. Environ. 2023, 341, 108195. [Google Scholar] [CrossRef]
- Rabbi, S.M.F.; Wilson, B.R.; Lockwood, P.V.; Daniel, H.; Young, I.M. Soil organic carbon mineralization rates in aggregate under contrasting land uses. Geoderma 2014, 216, 10–18. [Google Scholar] [CrossRef]
- Sheng, M.H.; Ai, X.Y.; Huang, B.C.; Zhu, M.K.; Liu, Z.Y.; Ai, Y.W. Effects of biochar additions on the mechanical stability of soil aggregates and their role in the dynamic renewal of aggregates in slope ecological restoration. Sci. Total Environ. 2023, 898, 165478. [Google Scholar] [CrossRef]
- Jiang, Y.; Cao, C.G. Crayfish–rice integrated system of production: An agriculture success story in China. A review. Agron. Sustain. Dev. 2021, 41, 68. [Google Scholar] [CrossRef]
- Mantel, S.; Dondeyne, S.; Deckers, S. World reference base for soil resources (WRB). Encycl. Soils Environ. 2023, 4, 206–217. [Google Scholar] [CrossRef]
- Kemper, W.D.; Rosenau, R.C. Aggregate stability and size distribution. Methods Soil Anal. Part 1 Phys. Miner. Methods 1986, 5, 425–442. [Google Scholar] [CrossRef]
- Guo, Y.; Hu, Q.Y.; Liu, T.Q.; Du, Y.F.; Li, C.F.; Zhang, X.L.; Liu, J.; Cao, C.G. Long-term rice–crayfish coculture increases plant lignin but not microbial necromass contribution to soil organic carbon. Soil Tillage Res. 2025, 248, 106424. [Google Scholar] [CrossRef]
- Nelson, D.W.; Sommers, L.E. Total carbon, organic carbon, and organic matter. Methods Soil Anal. Part 2 Chem. Microbiol. Prop. 1982, 9, 539–579. [Google Scholar] [CrossRef]
- Yuan, P.l.; Wang, J.P.; Li, C.F.; Cao, C.G. Long-term rice–crayfish farming aggravates soil gleying and induced changes of soil iron morphology. Soil Use Manag. 2022, 38, 757–770. [Google Scholar] [CrossRef]
- Si, G.H.; Peng, C.L.; Yuan, J.F.; Xu, X.Y.; Zhao, S.J.; Xu, D.B.; Wu, J.S. Changes in soil microbial community composition and organic carbon fractions in an integrated rice–crayfish farming system in subtropical China. Sci. Rep. 2017, 7, 2856. [Google Scholar] [CrossRef]
- Haque, A.N.A.; Uddin, M.K.; Sulaiman, M.F.; Amin, A.M.; Hossain, M.; Aziz, A.A.; Mosharrof, M. Impact of organic amendment with alternate wetting and drying irrigation on rice yield, water use efficiency and physicochemical properties of soil. Agronomy 2021, 11, 1529. [Google Scholar] [CrossRef]
- Arce, J.A.; Diéguez-Uribeondo, J. Structural damage caused by the invasive crayfish Procambarus clarkii (Girard, 1852) in rice fields of the Iberian Peninsula: A study case. Fundam. Appl. Limnol. 2015, 186, 259–269. [Google Scholar] [CrossRef]
- Guo, Y.; Quan, W.B.; Yuan, P.L.; Liu, T.Q.; Wang, J.P.; Cao, C.G. Variations in the profile distribution of soil aggregate and organic carbon under rice-crayfish coculture system in Jianghan Plain, China. Soil Tillage Res. 2024, 243, 106175. [Google Scholar] [CrossRef]
- Kan, Z.R.; Ma, S.T.; Liu, Q.Y.; Liu, B.Y.; Virk, A.L.; Qi, J.Y.; Zhao, X.; Lal, R.; Zhang, H.Z. Carbon stocks and mineralization in soil aggregate under long-term conservation tillage in the North China Plain. Catena 2020, 188, 104428. [Google Scholar] [CrossRef]
- Lv, T.Q.; Wang, C.Y.; Xu, Y.L.; Zhou, X.Y.; Huang, F.; Yu, L. Impact of Integrated rice-crayfish farming on soil aggregate and organic matter distribution. Agronomy 2023, 14, 16. [Google Scholar] [CrossRef]
- Reichmann, M.; Blanc, L.; Lampurlanés, J.; Simon-Miquel, G.; Plaza-Bonilla, D. Does Intercropping improve soil aggregation and organic carbon protection? A case—study in the Semi—Arid Mediterranean. Agric. Ecosyst. Environ. 2025, 385, 109563. [Google Scholar] [CrossRef]
- Li, P.; Wu, G.G.; Li, Y.J.; Hu, C.; Ge, L.; Zheng, X.Q.; Zhang, J.Q.; Chen, J.; Zhang, H.L.; Bai, N.L.; et al. Long-term rice-crayfish-turtle co-culture maintains high crop yields by improving soil health and increasing soil microbial community stability. Geoderma 2022, 413, 115745. [Google Scholar] [CrossRef]
- Zhang, Z.; Du, L.S.; Xiao, Z.Y.; Li, C.W.; Wang, Z.C.; Zhou, P.Y.; Sun, G.; Ye, Y.Y.; Hu, T.; Wang, H. Rice-crayfish farming increases soil organic carbon. Agric. Ecosyst. Environ. 2022, 329, 107857. [Google Scholar] [CrossRef]
- Arunrat, N.; Sereenonchai, S.; Kongsurakan, P.; Hatano, R. Assessing soil organic carbon, soil nutrients and soil erodibility under terraced paddy fields and upland rice in Northern Thailand. Agronomy 2022, 12, 537. [Google Scholar] [CrossRef]
- Si, G.H.; Yuan, J.F.; Xu, X.Y.; Zhao, S.J.; Peng, C.L.; Wu, J.S.; Zhou, Z.Q. Effects of an integrated rice-crayfish farming system on soil organic carbon, enzyme activity, and microbial diversity in waterlogged paddy soil. Acta Ecol. Sin. 2018, 38, 29–35. [Google Scholar] [CrossRef]
- Schweizer, S.A.; Bucka, F.B.; Graf-Rosenfellner, M.; Kögel-Knabner, I. Soil microaggregate size composition and organic matter distribution as affected by clay content. Geoderma 2019, 355, 113901. [Google Scholar] [CrossRef]
- Lehndorff, E.; Rodionov, A.; Plümer, L.; Rottmann, P.; Spiering, B.; Dultz, S.; Amelung, W. Spatial organization of soil microaggregate. Geoderma 2021, 386, 114915. [Google Scholar] [CrossRef]
- Six, J.; Bossuyt, H.; Degryze, S.; Denef, K. A history of research on the link between (micro) aggregate, soil biota, and soil organic matter dynamics. Soil Tillage Res. 2004, 79, 7–31. [Google Scholar] [CrossRef]
- Lehmann, J.; Kinyangi, J.; Solomon, D. Organic matter stabilization in soil microaggregate: Implications from spatial heterogeneity of organic carbon contents and carbon forms. Biogeochemistry 2007, 85, 45–57. [Google Scholar] [CrossRef]








| Soil Depth (cm) | Treat—Ment | pH | EC (mS cm−1) |
|---|---|---|---|
| 0–10 | 4a | 7.21 | 0.106 |
| 8a | 6.87 | 0.105 | |
| 10–20 | 4a | 7.36 | 0.129 |
| 8a | 7.14 | 0.161 | |
| 20–30 | 4a | 7.73 | 0.140 |
| 8a | 7.38 | 0.144 | |
| 30–40 | 4a | 8.23 | 0.169 |
| 8a | 7.60 | 0.156 | |
| 40–80 | 4a | 8.37 | 0.129 |
| 8a | 8.22 | 0.147 | |
| 80–120 | 4a | 8.36 | 0.156 |
| 8a | 8.33 | 0.172 |
| Soil Depth (cm) | Treat- -Ment | MWD (mm) | GMD (mm) | PAD>0.25 | D | |||
|---|---|---|---|---|---|---|---|---|
| MWDD | MWDW | GMDD | GMDW | DD | DW | |||
| 0–10 | 4a | 5.87 ± 0.04 Aa | 3.95 ± 0.10 Ba | 5.53 ± 0.08 Aa | 1.79 ± 0.15 Ba | 0.17 ± 0.03 Ac | 1.67 ± 0.04 Aa | 2.53 ± 0.03 Ac |
| 8a | 5.80 ± 0.15 Aa | 4.91 ± 0.07 Aa | 5.52 ± 0.32 Aa | 3.58 ± 0.28 Aa | 0.04 ± 0.02 Bd | 1.57 ± 0.16 Ab | 2.19 ± 0.11 Ac | |
| 10–20 | 4a | 5.88 ± 0.05 Aa | 3.4 ± 0.08 Ab | 5.54 ± 0.21 Aa | 1.49 ± 0.08 Ab | 0.16 ± 0.01 Ac | 1.64 ± 0.17 Aa | 2.54 ± 0.03 Ac |
| 8a | 5.76 ± 0.25 Aa | 4.28 ± 0.37 Ab | 5.47 ± 0.50 Aa | 2.72 ± 0.53 Ab | 0.05 ± 0.02 Bcd | 1.52 ± 0.23 Ab | 2.30 ± 0.1 Ac | |
| 20–30 | 4a | 5.79 ± 0.07 Aa | 1.57 ± 0.05 Bc | 5.37 ± 0.17 Aa | 0.52 ± 0.09 Ac | 0.31 ± 0.04 Ab | 1.71 ± 0.09 Aa | 2.67 ± 0.06 Ab |
| 8a | 5.68 ± 0.05 Aa | 3.13 ± 0.19 Ac | 5.23 ± 0.10 Aa | 1.32 ± 0.24 Ac | 0.16 ± 0.03 Bc | 1.76 ± 0.01 Aab | 2.56 ± 0.06 Ab | |
| 30–40 | 4a | 5.79 ± 0.15 Aa | 1.07 ± 0.46 Ac | 5.46 ± 0.27 Aa | 0.34 ± 0.13 Acd | 0.40 ± 0.07 Aa | 1.63 ± 0.08 Aa | 2.74 ± 0.06 Aab |
| 8a | 5.61 ± 0.24 Aa | 2.08 ± 0.01 Ad | 5.09 ± 0.47 Aa | 0.56 ± 0.15 Ac | 0.33 ± 0.10 Ab | 1.83 ± 0.13 Aab | 2.72 ± 0.06 Aab | |
| 40–80 | 4a | 5.75 ± 0.11 Aa | 1.40 ± 0.30 Bc | 5.22 ± 0.18 Aa | 0.39 ± 0.08 Bcd | 0.37 ± 0.04 Aab | 1.81 ± 0.06 Aa | 2.74 ± 0.02 Aab |
| 8a | 5.60 ± 0.37 Aa | 2.43 ± 0.37 Ad | 5.00 ± 0.85 Aa | 0.66 ± 0.05 Acd | 0.31 ± 0.02 Ab | 1.87 ± 0.31 Aab | 2.71 ± 0.01 Aab | |
| 80–120 | 4a | 5.78 ± 0.13 Aa | 1.10 ± 0.31 Ac | 5.46 ± 0.28 Aa | 0.31 ± 0.08 Ad | 0.45 ± 0.07 Aa | 1.62 ± 0.16 Aa | 2.77 ± 0.03 Ba |
| 8a | 5.36 ± 0.01 Aa | 1.37 ± 0.15 Ae | 4.45 ± 0.05 Ba | 0.23 ± 0.01 Ad | 0.55 ± 0.02 Aa | 2.06 ± 0.01 Aa | 2.84 ± 0.00 Aa | |
Disclaimer/Publisher’s Note: The statements, opinions and data contained in all publications are solely those of the individual author(s) and contributor(s) and not of MDPI and/or the editor(s). MDPI and/or the editor(s) disclaim responsibility for any injury to people or property resulting from any ideas, methods, instructions or products referred to in the content. |
© 2025 by the authors. Licensee MDPI, Basel, Switzerland. This article is an open access article distributed under the terms and conditions of the Creative Commons Attribution (CC BY) license (https://creativecommons.org/licenses/by/4.0/).
Share and Cite
Zhang, C.; Yang, T.; Wang, J.; Tian, Y.; Bai, J.; Gao, D.; Fu, W. The Duration of Rice–Crayfish Co-Culture System Usage Alters the Soil Aggregate Size, Distribution, and Organic Carbon Fractions in the Profile. Agronomy 2025, 15, 1907. https://doi.org/10.3390/agronomy15081907
Zhang C, Yang T, Wang J, Tian Y, Bai J, Gao D, Fu W. The Duration of Rice–Crayfish Co-Culture System Usage Alters the Soil Aggregate Size, Distribution, and Organic Carbon Fractions in the Profile. Agronomy. 2025; 15(8):1907. https://doi.org/10.3390/agronomy15081907
Chicago/Turabian StyleZhang, Changjie, Ting Yang, Jingru Wang, Yixin Tian, Jingjing Bai, Danrui Gao, and Wei Fu. 2025. "The Duration of Rice–Crayfish Co-Culture System Usage Alters the Soil Aggregate Size, Distribution, and Organic Carbon Fractions in the Profile" Agronomy 15, no. 8: 1907. https://doi.org/10.3390/agronomy15081907
APA StyleZhang, C., Yang, T., Wang, J., Tian, Y., Bai, J., Gao, D., & Fu, W. (2025). The Duration of Rice–Crayfish Co-Culture System Usage Alters the Soil Aggregate Size, Distribution, and Organic Carbon Fractions in the Profile. Agronomy, 15(8), 1907. https://doi.org/10.3390/agronomy15081907
