Metagenomic Sequencing Revealed the Effects of Different Potassium Sulfate Application Rates on Soil Microbial Community, Functional Genes, and Yield in Korla Fragrant Pear Orchard
Abstract
1. Introduction
2. Materials and Methods
2.1. Experimental Site Description
2.2. Experimental Design
2.3. Test Determination Method
2.3.1. Soil Sample Collection and Processing
2.3.2. Soil Physicochemical Analysis
2.3.3. Soil Microbial Metagenomic Sequencing
2.3.4. Yield Determination
2.4. Statistical Analysis
3. Results
3.1. Effects of Different Potassium Treatments on Physical and Chemical Properties
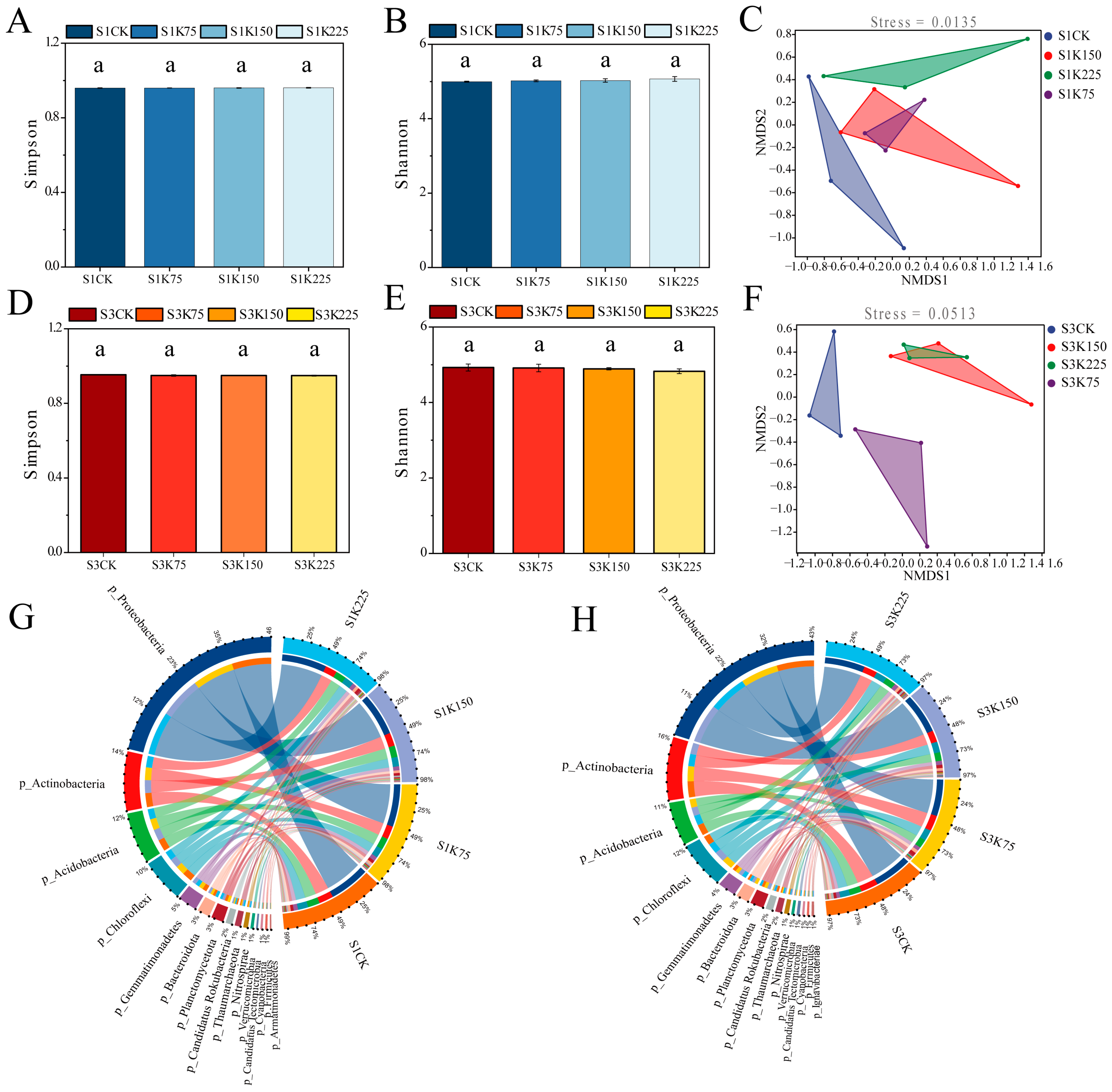
3.2. Effects of Different Potassium Fertilizer Treatments on Soil Microbial Community Composition
3.3. Linear Regression of Soil Microbial and Functional Gene β Diversity
3.4. Effect of Potassium Application on the Overall Composition of Sulfur Cycle
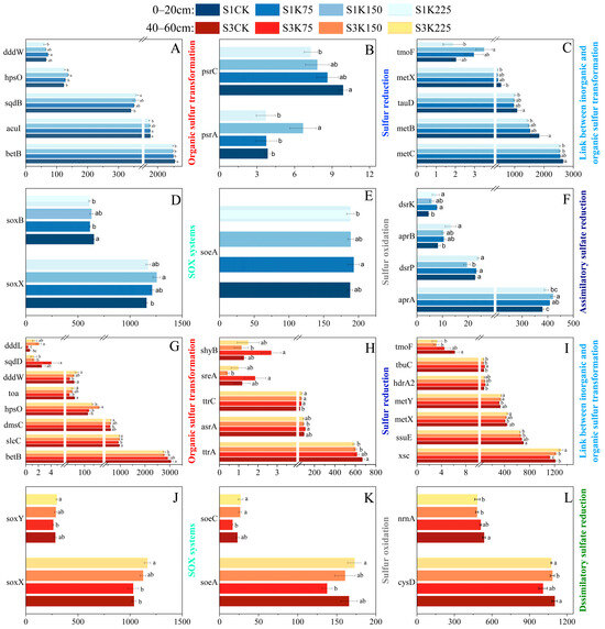
3.5. Effects of Potassium Fertilizer Application on Functional Genes in Each Link of Sulfur Cycle
3.5.1. Organic Sulfur and Inorganic-to-Organic Sulfur Transformation
3.5.2. Sulfur Oxidation (SOX Genes)
3.5.3. Sulfur Reduction, Assimilatory Sulfate Reduction, and Dissimilatory Sulfate Reduction
3.6. Effect of Fertilization Treatment on Yield of Fragrant Pear and PLS Structural Equation Model
4. Discussion
4.1. Effects of Potassium Application on Soil Physical and Chemical Properties
4.2. Effect of Potassium Application on Soil Microbial Community
4.3. Effect of Potassium Treatment on Sulfur Cycle Genes
4.4. Effect of Potassium Treatment on Yield
5. Conclusions
Supplementary Materials
Author Contributions
Funding
Data Availability Statement
Conflicts of Interest
Appendix A
References
- Mustafa, G.; Hayat, N.; Alotaibi, B.A. How and why to prevent over fertilization to get sustainable crop production. In Sustainable Plant Nutrition; Elsevier: Amsterdam, The Netherlands, 2023; pp. 339–354. [Google Scholar]
- Wang, J.; He, X.; Gong, P.; Zhao, D.; Zhang, Y.; Wang, Z.; Zhang, J. Optimization of a Water-Saving and Fertilizer-Saving Model for Enhancing Xinjiang Korla Fragrant Pear Yield, Quality, and Net Profits under Water and Fertilizer Coupling. Sustainability 2022, 14, 8495. [Google Scholar] [CrossRef]
- Kumar, A.R.; Kumar, N.; Kavino, M.J. Role of potassium in fruit crops—A review. Agric. Rev. 2006, 27, 284–291. [Google Scholar]
- Yahaya, S.M.; Mahmud, A.A.; Abdullahi, M.; Haruna, A. Recent advances in the chemistry of nitrogen, phosphorus and potassium as fertilizers in soil: A review. Pedosphere 2023, 33, 385–406. [Google Scholar] [CrossRef]
- Zörb, C.; Senbayram, M.; Peiter, E.J. Potassium in agriculture–status and perspectives. J. Plant Physiol. 2014, 171, 656–669. [Google Scholar] [CrossRef] [PubMed]
- Enwall, K.; Nyberg, K.; Bertilsson, S.; Cederlund, H.; Stenström, J.; Hallin, S. Long-term impact of fertilization on activity and composition of bacterial communities and metabolic guilds in agricultural soil. Soil Biol. Biochem. 2007, 39, 106–115. [Google Scholar] [CrossRef]
- Soumare, A.; Sarr, D.; DiÉDhiou, A.G. Potassium sources, microorganisms and plant nutrition: Challenges and future research directions. Pedosphere 2023, 33, 105–115. [Google Scholar] [CrossRef]
- Miao, Y.; Stewart, B.A.; Zhang, F. Long-term experiments for sustainable nutrient management in China. A review. Agron. Sustain. Dev. 2011, 31, 397–414. [Google Scholar] [CrossRef]
- Guo, J.H.; Liu, X.J.; Zhang, Y.; Shen, J.; Han, W.; Zhang, W.; Christie, P.; Goulding, K.; Vitousek, P.; Zhang, F. Significant acidification in major Chinese croplands. Science 2010, 327, 1008–1010. [Google Scholar] [CrossRef] [PubMed]
- Kong, W.; Qiu, L.; Ishii, S.; Jia, X.; Su, F.; Song, Y.; Hao, M.; Shao, M.; Wei, X.J. Contrasting response of soil microbiomes to long-term fertilization in various highland cropping systems. ISME Commun. 2023, 3, 81. [Google Scholar] [CrossRef] [PubMed]
- Liu, L.; Gao, Y.; Yang, W.; Liu, J.; Wang, Z. Community metagenomics reveals the processes of nutrient cycling regulated by microbial functions in soils with P fertilizer input. Plant Soil 2024, 499, 139–154. [Google Scholar] [CrossRef]
- Kuzin, A.; Solovchenko, A. Essential Role of Potassium in Apple and Its Implications for Management of Orchard Fertilization. Plants 2021, 10, 2624. [Google Scholar] [CrossRef] [PubMed]
- Yagmur, B.; Okur, B.; Ongun, A.R. Effects on Enhanced Potassium Doses on Yield, Quality and Nutrient Uptake of Tomato. In Proceedings of the IPI Regional Workshop on Potassium and Fertigation Development in West Asia and North Africa, Rabat, Morocco, 24–28 November 2004. [Google Scholar]
- Liu, H.; Du, X.; Li, Y.; Han, X.; Li, B.; Zhang, X.; Li, Q.; Liang, W. Organic substitutions improve soil quality and maize yield through increasing soil microbial diversity. J. Clean. Prod. 2022, 347, 131323. [Google Scholar] [CrossRef]
- Patra, A.; Abbadie, L.; Clays-Josserand, A.; Degrange, V.; Grayston, S.; Loiseau, P.; Louault, F.; Mahmood, S.; Nazaret, S.; Philippot, L. Effects of grazing on microbial functional groups involved in soil N dynamics. Ecol. Monogr. 2005, 75, 65–80. [Google Scholar] [CrossRef]
- Cardinale, B.J.; Srivastava, D.S.; Emmett Duffy, J.; Wright, J.P.; Downing, A.L.; Sankaran, M.; Jouseau, C. Effects of biodiversity on the functioning of trophic groups and ecosystems. Nature 2006, 443, 989–992. [Google Scholar] [CrossRef] [PubMed]
- Insam, H.; Mitchell, C.; Dormaar, J.F. Relationship of soil microbial biomass and activity with fertilization practice and crop yield of three ultisols. Soil Biol. Biochem. 1991, 23, 459–464. [Google Scholar] [CrossRef]
- Sun, R.; Zhang, X.-X.; Guo, X.; Wang, D.; Chu, H. Bacterial diversity in soils subjected to long-term chemical fertilization can be more stably maintained with the addition of livestock manure than wheat straw. Soil Biol. Biochem. 2015, 88, 9–18. [Google Scholar] [CrossRef]
- Zhang, Z.-F.; Wang, Y.-T.; Ai, J.; Dao, J.-M.; Li, A.-M.; Deng, J.; Wu, J.-M.; Zhao, Y.J. Effects of potassium fertilizer on rhizosphere microbial diversity and community assembly in sugarcane. J. Appl. Ecol. 2025, 36, 526–536. [Google Scholar]
- Xing, M.; Zhang, Y.; Guan, C.; Guan, M. Effects of nitrogen application rate on rhizosphere microbial diversity in oilseed Rape (Brassica napus L.). Agronomy 2021, 11, 1539. [Google Scholar] [CrossRef]
- Jenkinson, D.S.; Ladd, J.N. Microbial biomass in soil: Measurement and turnover. Soil Biochem. 1981, 5, 415–471. [Google Scholar]
- Wakelin, S.A.; Colloff, M.J.; Harvey, P.R.; Marschner, P.; Gregg, A.L.; Rogers, S.L. The effects of stubble retention and nitrogen application on soil microbial community structure and functional gene abundance under irrigated maize. FEMS Microbiol. Ecol. 2007, 59, 661–670. [Google Scholar] [CrossRef] [PubMed]
- Zhou, Z.; Tran, P.Q.; Cowley, E.S.; Trembath-Reichert, E.; Anantharaman, K. Diversity and ecology of microbial sulfur metabolism. Nat. Rev. Microbiol. 2025, 23, 122–140. [Google Scholar] [CrossRef] [PubMed]
- Grein, F.; Ramos, A.R.; Venceslau, S.S.; Pereira, I.A.C. Unifying concepts in anaerobic respiration: Insights from dissimilatory sulfur metabolism. Biochim. Biophys. Acta (BBA)-Bioenerg. 2013, 1827, 145–160. [Google Scholar] [CrossRef] [PubMed]
- Santana, M.M.; Dias, T.; Gonzalez, J.M.; Cruz, C.J. Transformation of organic and inorganic sulfur–adding perspectives to new players in soil and rhizosphere. Soil Biol. Biochem. 2021, 160, 108306. [Google Scholar] [CrossRef]
- Yu, X.; Zhou, J.; Song, W.; Xu, M.; He, Q.; Peng, Y.; Tian, Y.; Wang, C.; Shu, L.; Wang, S.J. SCycDB: A curated functional gene database for metagenomic profiling of sulphur cycling pathways. Mol. Ecol. Resour. 2021, 21, 924–940. [Google Scholar] [CrossRef]
- Rückert, C.J. Sulfate reduction in microorganisms—Recent advances and biotechnological applications. Curr. Opin. Microbiol. 2016, 33, 140–146. [Google Scholar] [CrossRef] [PubMed]
- Li, W.; Lv, G.; Hu, D. Soil microbial-mediated sulfur cycle and ecological network under typical desert halophyte shrubs. Land Degrad. Dev. 2022, 33, 3718–3730. [Google Scholar] [CrossRef]
- Li, Y.Q.; Chai, Y.H.; Wang, X.S.; Huang, L.Y.; Luo, X.M.; Qiu, C.; Liu, Q.H.; Guan, X.Y. Bacterial community in saline farmland soil on the Tibetan plateau: Responding to salinization while resisting extreme environments. BMC Microbiol. 2021, 21, 119. [Google Scholar] [CrossRef] [PubMed]
- Bao, S.D. Soil and Agricultural Chemistry Analysis; China Agriculture Press: Beijing, China, 2000. [Google Scholar]
- Brunetto, G.; Nava, G.; Ambrosini, V.G.; Comin, J.J.; Kaminski, J. The pear tree response to phosphorus and potassium fertilization. Rev. Bras. Frutic. 2015, 37, 507–516. [Google Scholar] [CrossRef]
- Haberman, A.; Dag, A.; Shtern, N.; Zipori, I.; Erel, R.; Ben-Gal, A.; Yermiyahu, U. Long-term impact of potassium fertilization on soil and productivity in intensive olive cultivation. Agronomy 2019, 9, 525. [Google Scholar] [CrossRef]
- Berhe, A.A.; Suttle, K.B.; Burton, S.D.; Banfield, J.F. Contingency in the direction and mechanics of soil organic matter responses to increased rainfall. Plant Soil 2012, 358, 371–383. [Google Scholar] [CrossRef]
- Li, J.; Xu, R.; Xiao, S.; Ji, G. Effect of low-molecular-weight organic anions on exchangeable aluminum capacity of variable charge soils. J. Colloid Interface Sci. 2005, 284, 393–399. [Google Scholar] [CrossRef] [PubMed]
- Lu, Y.; Cong, P.; Kuang, S.; Tang, L.; Li, Y.; Dong, J.; Song, W. Long-term excessive application of K2SO4 fertilizer alters bacterial community and functional pathway of tobacco-planting soil. Front. Plant Sci. 2022, 13, 1005303. [Google Scholar] [CrossRef] [PubMed]
- Zhang, C.; Tayyab, M.; Abubakar, A.Y.; Yang, Z.; Pang, Z.; Islam, W.; Lin, Z.; Li, S.; Luo, J.; Fan, X.; et al. Bacteria with different assemblages in the soil profile drive the diverse nutrient cycles in the sugarcane straw retention ecosystem. Diversity 2019, 11, 194. [Google Scholar] [CrossRef]
- Hill, P.; Krištůfek, V.; Dijkhuizen, L.; Boddy, C.; Kroetsch, D.; van Elsas, J.D. Land use intensity controls actinobacterial community structure. Microb. Ecol. 2011, 61, 286–302. [Google Scholar] [CrossRef] [PubMed]
- Goodfellow, M.; Williams, S. Ecology of actinomycetes. Annu. Rev. Microbiol. 1983, 37, 189–216. [Google Scholar] [CrossRef] [PubMed]
- Meng, S.; Liang, X.; Peng, T.; Liu, Y.; Wang, H.; Huang, T.; Gu, J.-D.; Hu, Z.J. Ecological distribution and function of comammox Nitrospira in the environment. Appl. Microbiol. Biotechnol. 2023, 107, 3877–3886. [Google Scholar] [CrossRef] [PubMed]
- Kanehisa, M.; Furumichi, M.; Sato, Y.; Kawashima, M.; Ishiguro-Watanabe, M.J. KEGG for taxonomy-based analysis of pathways and genomes. Nucleic Acids Res. 2023, 51, D587–D592. [Google Scholar] [CrossRef] [PubMed]
- Caspi, R.; Billington, R.; Keseler, I.M.; Kothari, A.; Krummenacker, M.; Midford, P.E.; Ong, W.K.; Paley, S.; Subhraveti, P.; Karp, P.D. The MetaCyc database of metabolic pathways and enzymes-a 2019 update. Nucleic Acids Res. 2020, 48, D445–D453. [Google Scholar] [CrossRef] [PubMed]
- The UniProt Consortium. UniProt: The universal protein knowledgebase in 2023. Nucleic Acids Res. 2023, 51, D523–D531. [Google Scholar] [CrossRef] [PubMed]
- Stautz, J.; Hellmich, Y.; Fuss, M.F.; Silberberg, J.M.; Devlin, J.R.; Stockbridge, R.B.; Hänelt, I. Molecular mechanisms for bacterial potassium homeostasis. J. Mol. Biol. 2021, 433, 166968. [Google Scholar] [CrossRef] [PubMed]
- Klein, V.J.; Irla, M.; Gil López, M.; Brautaset, T.; Fernandes Brito, L. Unravelling formaldehyde metabolism in bacteria: Road towards synthetic methylotrophy. Microorganisms 2022, 10, 220. [Google Scholar] [CrossRef] [PubMed]
- Jagadeesh Babu, Y.; Nayak, D.R.; Adhya, T.K. Potassium application reduces methane emission from a flooded field planted to rice. Biol. Fertil. Soils 2006, 42, 532–541. [Google Scholar] [CrossRef]
- Kawano, Y.; Suzuki, K.; Ohtsu, I. Current understanding of sulfur assimilation metabolism to biosynthesize L-cysteine and recent progress of its fermentative overproduction in microorganisms. Appl. Microbiol. Biotechnol. 2018, 102, 8203–8211. [Google Scholar] [CrossRef] [PubMed]
- Nandni; Rani, S.; Chopra, G.; Wati, L. Deciphering the potential of sulphur-oxidizing bacteria for sulphate production correlating with pH change. Microb. Ecol. 2023, 86, 2282–2292. [Google Scholar] [CrossRef] [PubMed]
- Wainwright, M. Sulfur oxidation in soils. Adv. Agron. 1984, 37, 349–396. [Google Scholar]
- Tian, Q.; Jiang, Y.; Tang, Y.; Wu, Y.; Tang, Z.; Liu, F. Soil pH and organic carbon properties drive soil bacterial communities in surface and deep layers along an elevational gradient. Front. Microbiol. 2021, 12, 646124. [Google Scholar] [CrossRef] [PubMed]
- Zhao, H.; Zheng, W.; Zhang, S.; Gao, W.; Fan, Y. Soil microbial community variation with time and soil depth in Eurasian Steppe (Inner Mongolia, China). Ann. Microbiol. 2021, 71, 21. [Google Scholar] [CrossRef]
- Kumar, U.; Panneerselvam, P.; Gupta, V.V.; Manjunath, M.; Priyadarshinee, P.; Sahoo, A.; Dash, S.R.; Kaviraj, M.; Annapurna, K. Diversity of Sulfur-Oxidizing and Sulfur-Reducing Microbes in Diverse Ecosystems; Springer: Singapore, 2018; pp. 65–89. [Google Scholar]
- Martin, M. Cutadapt removes adapter sequences from high-throughput sequencing reads. EMBnet. J. 2011, 17, 10–12. [Google Scholar] [CrossRef]
- Rotmistrovsky, K.; Agarwala, R. BMTagger: Best Match Tagger for Removing Human Reads from Metagenomics Datasets; NCBI/NLM, National Institutes of Health: Bethesda, MD, USA, 2011.
- Chen, S.; Zhou, Y.; Chen, Y.; Gu, J. fastp: An ultra-fast all-in-one FASTQ preprocessor. Bioinformatics 2018, 34, i884–i890. [Google Scholar] [CrossRef] [PubMed]
- Wood, D.E.; Lu, J.; Langmead, B. Improved metagenomic analysis with Kraken 2. Genome Biol. 2019, 20, 257. [Google Scholar] [CrossRef] [PubMed]
- Li, D.; Liu, C.M.; Luo, R.; Sadakane, K.; Lam, T.W. MEGAHIT: An ultra-fast single-node solution for large and complex metagenomics assembly via succinct de Bruijn graph. Bioinformatics 2015, 31, 1674–1676. [Google Scholar] [CrossRef] [PubMed]
- Steinegger, M.; Söding, J. MMseqs2 enables sensitive protein sequence searching for the analysis of massive data sets. Nat. Biotechnol. 2017, 35, 1026–1028. [Google Scholar] [CrossRef] [PubMed]
- Zhu, W.; Lomsadze, A.; Borodovsky, M. Ab initio gene identification in metagenomic sequences. Nucleic Acids Res. 2010, 38, e132. [Google Scholar] [CrossRef] [PubMed]
- Patro, R.; Duggal, G.; Kingsford, C. Salmon: Accurate, Versatile and Ultrafast Quantification from RNA-seq Data using Lightweight-Alignment. BioRxiv 2015, 10, 021592. [Google Scholar]
- Cantalapiedra, C.P.; Hernández-Plaza, A.; Letunic, I.; Bork, P.; Huerta-Cepas, J. eggNOG-mapper v2: Functional Annotation, Orthology Assignments, and Domain Prediction at the Metagenomic Scale. Mol. Biol. Evol. 2021, 38, 5825–5829. [Google Scholar] [CrossRef] [PubMed]
- Bu, D.; Luo, H.; Huo, P.; Wang, Z.; Zhang, S.; He, Z.; Wu, Y.; Zhao, L.; Liu, J.; Guo, J.; et al. KOBAS-i: Intelligent prioritization and exploratory visualization of biological functions for gene enrichment analysis. Nucleic Acids Res. 2021, 49, W317–W325. [Google Scholar] [CrossRef] [PubMed]





| Experimental Treatment | Irrigation Requirement (m3/hm2) | Fertilization Scheme N-P2O5-K2O (kg/hm2) |
|---|---|---|
| WCK | 7800 | 240-240-0 |
| WK75 | 7800 | 240-240-75 |
| WK150 | 7800 | 240-240-150 |
| WK225 | 7800 | 240-240-225 |
| Irrigation Stage | Irrigation Time | Irrigation Method | Irrigation Frequency | Irrigation Water (m3/hm2) | Nutrition Level (kg/hm2) | |||||
|---|---|---|---|---|---|---|---|---|---|---|
| W | N | P2O | K2O | |||||||
| CK | K75 | K150 | K225 | |||||||
| winter irrigating | 20 October | flood irrigation | 1 | 1800 | 0 | 0 | 0 | 0 | 0 | 0 |
| Spring irrigating | On 15 March | flood irrigation | 1 | 1800 | 96 | 240 | 0 | 30 | 60 | 90 |
| fruit bearing periods | 5 May | trickle irrigation | 1 | 600 | 48 | 0 | 0 | 7.5 | 15 | 22.5 |
| Early stage of fruit enlargement | 25 May | trickle irrigation | 1 | 600 | 0 | 0 | 0 | 0 | 0 | 0 |
| On 15 June | trickle irrigation | 1 | 600 | 72 | 0 | 0 | 15 | 30 | 45 | |
| 5 July | trickle irrigation | 1 | 600 | 0 | 0 | 0 | 0 | 0 | 0 | |
| Late fruit expansion | 25 July | trickle irrigation | 1 | 600 | 24 | 0 | 0 | 22.5 | 45 | 67.5 |
| On 15 August | trickle irrigation | 1 | 600 | 0 | 0 | 0 | 0 | 0 | 0 | |
| fruit ripening period | 5 September | trickle irrigation | 1 | 600 | 0 | 0 | 0 | 0 | 0 | 0 |
| Total | 9 | 7800 | 240 | 240 | 0 | 75 | 150 | 225 | ||
| Treatment | AN | AP | AK | SOM | PH |
|---|---|---|---|---|---|
| SICK | 49.7 ± 4.04 a | 66.56 ± 0.18 b | 170.67 ± 4.33 c | 21.56 ± 0.42 b | 7.82 ± 0.02 a |
| S1K75 | 45.03 ± 2.33 a | 66.98 ± 0.73 ab | 177.00 ± 4.62 c | 22.93 ± 0.58 b | 7.76 ± 0.01 ab |
| S1K150 | 42.7 ± 4.04 a | 69.63 ± 0.85 a | 190.67 ± 1.76 b | 26.72 ± 0.59 a | 7.72 ± 0.02 b |
| S1K225 | 40.37 ± 2.33 a | 67.46 ± 1.07 ab | 205.00 ± 4.36 a | 22.67 ± 1.33 b | 7.72 ± 0.03 ab |
| S3CK | 33.37 ± 2.33 a | 26.41 ± 1.05 a | 138.67 ± 3.84 d | 12.53 ± 0.49 c | 7.73 ± 0.03 a |
| S3K75 | 31.03 ± 4.67 a | 25.99 ± 0.24 a | 152.00 ± 4.04 c | 14.79 ± 1.25 bc | 7.68 ± 0.01 ab |
| S3K150 | 26.37 ± 2.33 a | 28.08 ± 0.97 a | 169.67 ± 4.26 b | 18.88 ± 0.36 a | 7.65 ± 0.02 b |
| S3K225 | 28.70 ± 4.04 a | 25.78 ± 1.47 a | 185.67 ± 2.03 a | 16.41 ± 1.09 ab | 7.66 ± 0.02 ab |
Disclaimer/Publisher’s Note: The statements, opinions and data contained in all publications are solely those of the individual author(s) and contributor(s) and not of MDPI and/or the editor(s). MDPI and/or the editor(s) disclaim responsibility for any injury to people or property resulting from any ideas, methods, instructions or products referred to in the content. |
© 2025 by the authors. Licensee MDPI, Basel, Switzerland. This article is an open access article distributed under the terms and conditions of the Creative Commons Attribution (CC BY) license (https://creativecommons.org/licenses/by/4.0/).
Share and Cite
Yang, L.; Shen, X.; Yan, L.; Li, J.; Wang, K.; Ding, B.; Chai, Z. Metagenomic Sequencing Revealed the Effects of Different Potassium Sulfate Application Rates on Soil Microbial Community, Functional Genes, and Yield in Korla Fragrant Pear Orchard. Agronomy 2025, 15, 1752. https://doi.org/10.3390/agronomy15071752
Yang L, Shen X, Yan L, Li J, Wang K, Ding B, Chai Z. Metagenomic Sequencing Revealed the Effects of Different Potassium Sulfate Application Rates on Soil Microbial Community, Functional Genes, and Yield in Korla Fragrant Pear Orchard. Agronomy. 2025; 15(7):1752. https://doi.org/10.3390/agronomy15071752
Chicago/Turabian StyleYang, Lele, Xing Shen, Linsen Yan, Jie Li, Kailong Wang, Bangxin Ding, and Zhongping Chai. 2025. "Metagenomic Sequencing Revealed the Effects of Different Potassium Sulfate Application Rates on Soil Microbial Community, Functional Genes, and Yield in Korla Fragrant Pear Orchard" Agronomy 15, no. 7: 1752. https://doi.org/10.3390/agronomy15071752
APA StyleYang, L., Shen, X., Yan, L., Li, J., Wang, K., Ding, B., & Chai, Z. (2025). Metagenomic Sequencing Revealed the Effects of Different Potassium Sulfate Application Rates on Soil Microbial Community, Functional Genes, and Yield in Korla Fragrant Pear Orchard. Agronomy, 15(7), 1752. https://doi.org/10.3390/agronomy15071752

