Effects of Fish Pond Sediment on Quality of Saline–Alkali Soil and Some Vegetables: Water Spinach, Lettuce, and Chili
Abstract
1. Introduction
2. Materials and Methods
2.1. Site Description
2.2. Experimental Materials
2.2.1. Test Plants
2.2.2. Test Soil and Its Chemical and Physical Characteristics
2.2.3. Heavy Metal Concentrations of Test Soil
- (1)
- Single Factor Index (Pi):
- (2)
- Nemerow Integrated Pollution Index (Pₙ):
2.3. Experimental Design
2.4. Vegetable Parameter Measurements
2.5. Soil Sampling and Property Analysis
2.6. Contents and Indicators of Ecological Benefit Accounting
2.7. Statistical Analysis Methods
3. Results
3.1. Changes in Soil Physicochemical Properties and Microbial Activity During Vegetable Cultivation
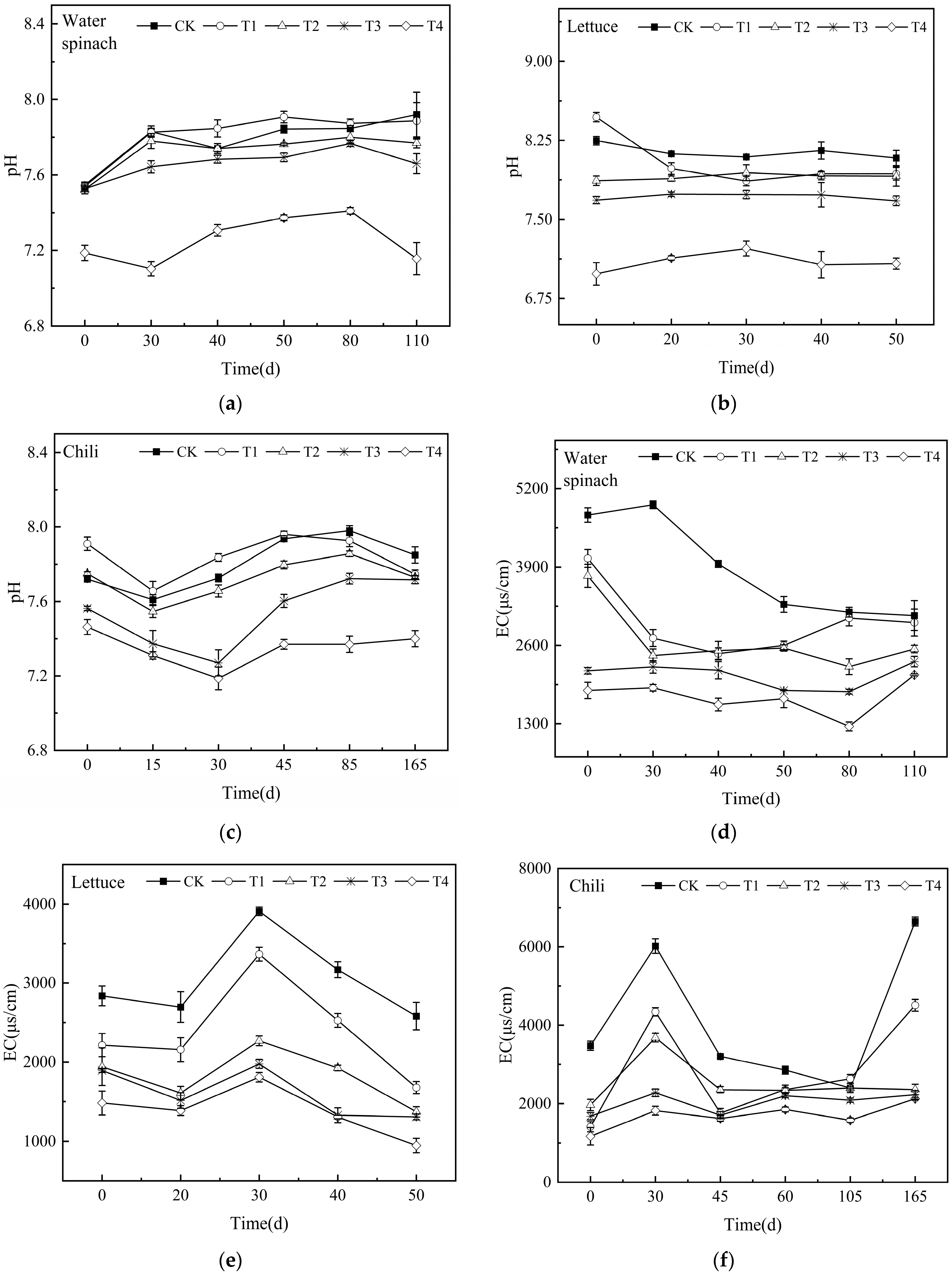
3.1.1. Dynamics of Soil pH and Salinity
3.1.2. Changes in Soil Physical Structure During Vegetable Cultivation
3.1.3. Changes in Soil Nutrients During Vegetable Cultivation
3.1.4. Changes in Soil Microbial Activity During Vegetable Cultivation
3.2. Effects of Sediment–Saline Soil Mixtures on Vegetable Growth and Quality
3.2.1. Impacts on Vegetable Growth Parameters
3.2.2. Impacts on Vegetable Yield
3.2.3. Impacts on Vegetable Quality
3.3. Ecological Benefit Evaluation of FPS Amendment
4. Discussion
5. Conclusions
Author Contributions
Funding
Data Availability Statement
Acknowledgments
Conflicts of Interest
Appendix A
| Class | Pi | Pn | Pollution Degree | Pollution Degree |
|---|---|---|---|---|
| I | Pi ≤ 1 | Pn ≤ 0.7 | Safe | Clean |
| II | 1 ≤ Pi ≤ 2 | 0.7< Pn ≤ 1.0 | Warning Threshold | Relatively Clean |
| III | 2 ≤ Pi ≤ 3 | 1< Pn ≤ 2 | Slight Contamination | Light Pollution |
| IV | 3 ≤ Pi ≤5 | 2< Pn ≤ 3 | Moderate Contamination | Moderate Pollution |
| V | Pi > 5 | Pn > 3.0 | Severe Contamination | Severe Pollution |
| Types of Vegetables | Treatment | Soil Bulk Density (kg/m3) | Soil Organic Matter Content (%) | Soil Organic Matter Accumulation Value (CNY) | Accumulation Value of Soil Organic Matter per Unit Area (CNY/hm2) |
|---|---|---|---|---|---|
| Water spinach | CK 1 | 1220 | 6.72 | 8.91 × 10−2 | 12,602.97 |
| T1 2 | 1210 | 11.05 | 1.45 × 10−1 | 20,519.90 | |
| T2 3 | 1170 | 17.37 | 2.21 × 10−1 | 31,300.69 | |
| T3 4 | 970 | 20.15 | 2.13 × 10−1 | 30,073.63 | |
| T4 5 | 1000 | 22.90 | 2.49 × 10−1 | 35,249.48 | |
| Lettuce | CK | 1260 | 5.53 | 7.56 × 10−2 | 10,692.91 |
| T1 | 1180 | 7.13 | 9.13 × 10−2 | 12,911.06 | |
| T2 | 1160 | 11.34 | 1.43 × 10−1 | 20,232.64 | |
| T3 | 1030 | 18.96 | 2.12 × 10−1 | 29,998.73 | |
| T4 | 950 | 21.68 | 2.23 × 10−1 | 31,577.95 | |
| Chili | CK | 1450 | 5.92 | 9.33 × 10−2 | 13,201.09 |
| T1 | 1280 | 5.92 | 8.21 × 10−2 | 11,616.09 | |
| T2 | 1350 | 9.48 | 1.40 × 10−1 | 19,782.17 | |
| T3 | 1270 | 16.59 | 2.28 × 10−1 | 32,297.68 | |
| T4 | 1150 | 23.30 | 2.91 × 10−1 | 41,212.55 |
| Types of Vegetables | Treatment | Nutrient Recycling Value (CNY) | Circulating Value of Nutrients per Unit Area (CNY/hm2) |
|---|---|---|---|
| Water spinach | CK 1 | 5.69 × 10−1 | 80,557.02 |
| T1 2 | 5.66 × 10−1 | 80,080.97 | |
| T2 3 | 8.58 × 10−1 | 121,422.30 | |
| T3 4 | 9.71 × 10−1 | 137,440.00 | |
| T4 5 | 7.54 × 10−1 | 106,723.70 | |
| Lettuce | CK | 1.04 × 10−1 | 14,672.65 |
| T1 | 7.99 E-02 | 11,316.07 | |
| T2 | 2.94 × 10−1 | 41,544.76 | |
| T3 | 4.83 × 10−1 | 68,417.53 | |
| T4 | 5.97 × 10−1 | 84,520.05 | |
| Chili | CK | / | / |
| T1 | / | / | |
| T2 | 2.17 × 10−1 | 30,688.47 | |
| T3 | 5.39 × 10−1 | 76,333.84 | |
| T4 | 1.79 × 10−1 | 25,338.65 |
| Types of Vegetables | Treatment | Water Conservation Value (CNY) | Water Conservation Value per Unit Area (CNY/hm2) |
|---|---|---|---|
| Water spinach | CK 1 | 1.51 × 10−4 | 21.35 |
| T1 2 | 1.10 × 10−4 | 15.50 | |
| T2 3 | 2.98 × 10−4 | 40.16 | |
| T3 4 | 3.76 × 10−4 | 53.18 | |
| T4 5 | 3.39 × 10−4 | 48.01 | |
| Lettuce | CK | 3.21 × 10−4 | 45.42 |
| T1 | 4.21 × 10−4 | 59.57 | |
| T2 | 4.46 × 10−4 | 63.10 | |
| T3 | 7.27 × 10−4 | 102.82 | |
| T4 | 8.40 × 10−4 | 118.86 | |
| Chili | CK | 3.11 × 10−4 | 43.93 |
| T1 | 3.61 × 10−4 | 51.00 | |
| T2 | 1.65 × 10−4 | 23.39 | |
| T3 | 2.27 × 10−4 | 32.10 | |
| T4 | 3.52 × 10−4 | 49.78 |
| Types of Vegetables | Treatment | Biomass (kg) | Fixed CO2 Value (CNY) | Fixed CO2 Value per Unit Area (CNY/hm2) |
|---|---|---|---|---|
| Water spinach | CK 1 | 2.34 × 10−2 | 9.86 × 10−3 | 1394.10 |
| T1 2 | 2.19 × 10−2 | 9.22 × 10−3 | 1305.74 | |
| T2 3 | 3.10 × 10−2 | 1.31 × 10−2 | 1847.89 | |
| T3 4 | 3.73 × 10−2 | 1.57 × 10−2 | 2222.22 | |
| T4 5 | 3.01 × 10−2 | 1.27 × 10−2 | 1793.27 | |
| Lettuce | CK | 3.02 × 10−3 | 1.27 × 10−2 | 1799.23 |
| T1 | 2.02 × 10−3 | 8.51 × 10−3 | 1203.46 | |
| T2 | 5.59 × 10−3 | 2.35 × 10−2 | 3330.35 | |
| T3 | 7.73 × 10−3 | 3.26 × 10−2 | 4605.30 | |
| T4 | 1.27 × 10−2 | 5.35 × 10−2 | 7572.23 | |
| Chili | CK | / | / | / |
| T1 | / | / | / | |
| T2 | 6.81 × 10−3 | 2.87 × 10−2 | 4057.19 | |
| T3 | 1.24 × 10−2 | 5.21 × 10−2 | 7369.67 | |
| T4 | 5.02 × 10−3 | 2.11 × 10−2 | 2990.76 |
| Types of Vegetables | Treatment | Biomass (kg) | Provide Oxygen Value (CNY) | Provide Oxygen Value per Unit Area (CNY/hm2) |
|---|---|---|---|---|
| Water spinach | CK 1 | 2.34 × 10−2 | 1.12 × 10−2 | 1588.69 |
| T1 2 | 2.19 × 10−2 | 1.05 × 10−2 | 1486.85 | |
| T2 3 | 3.10 × 10−2 | 1.49 × 10−2 | 2104.67 | |
| T3 4 | 3.73 × 10−2 | 1.79 × 10−2 | 2532.39 | |
| T4 5 | 3.01 × 10−2 | 1.44 × 10−2 | 2043.56 | |
| Lettuce | CK | 3.02 × 10−3 | 1.50 × 10−2 | 2050.35 |
| T1 | 2.02 × 10−3 | 9.70 × 10−3 | 1371.43 | |
| T2 | 5.59 × 10−3 | 2.68 × 10−2 | 3795.19 | |
| T3 | 7.73 × 10−3 | 3.71 × 10−2 | 5248.09 | |
| T4 | 1.27 × 10−2 | 6.10 × 10−2 | 8629.14 | |
| Chili | CK | / | / | / |
| T1 | / | / | / | |
| T2 | 6.81 × 10−3 | 3.27 × 10−2 | 4623.48 | |
| T3 | 1.24 × 10−2 | 5.94 × 10−2 | 8398.30 | |
| T4 | 5.02 × 10−3 | 2.41 × 10−2 | 3408.20 |
| Types of Vegetables | Treatment | Biomass (kg/hm2) | Correction Factor | Absorb SO2 (kg/hm2·a) | Absorb NOx (kg/hm2·a) | Dust Reduction (t/hm2·a) | Air Purification Value (CNY) | Air Purification Value per Unit Area (CNY/hm2) |
|---|---|---|---|---|---|---|---|---|
| Water spinach | CK 1 | 3309.76 | 0.18 | 8.12 | 5.96 | 0.27 | 6.29 × 10−5 | 8.91 |
| T1 2 | 3097.60 | 0.17 | 7.60 | 5.58 | 0.25 | 5.89 × 10−5 | 8.34 | |
| T2 3 | 4384.72 | 0.24 | 10.76 | 7.89 | 0.36 | 8.34 × 10−5 | 11.80 | |
| T3 4 | 5275.81 | 0.29 | 12.95 | 9.50 | 0.43 | 1.00 × 10−4 | 14.20 | |
| T4 5 | 4257.43 | 0.23 | 10.45 | 7.66 | 0.35 | 8.10 × 10−5 | 11.46 | |
| Lettuce | CK | 4271.57 | 0.23 | 10.49 | 7.69 | 0.35 | 5.43 × 10−5 | 11.50 |
| T1 | 2857.14 | 0.16 | 7.01 | 5.14 | 0.23 | 1.50 × 10−4 | 7.69 | |
| T2 | 7906.65 | 0.43 | 19.41 | 14.23 | 0.65 | 2.08 × 10−4 | 21.28 | |
| T3 | 10,933.52 | 0.60 | 26.84 | 19.68 | 0.89 | 3.42 × 10−4 | 29.43 | |
| T4 | 17,977.37 | 0.98 | 44.13 | 32.36 | 1.47 | 1.83 × 10−4 | 48.39 | |
| Chili | CK | / | / | / | / | / | / | / |
| T1 | / | / | / | / | / | / | / | |
| T2 | 9632.25 | 0.53 | 23.64 | 17.34 | 0.79 | 1.83 × 10−4 | 25.93 | |
| T3 | 17,496.46 | 0.95 | 42.95 | 31.49 | 1.43 | 3.33 × 10−4 | 47.10 | |
| T4 | 7100.42 | 0.39 | 17.43 | 12.78 | 0.58 | 1.35 × 10−4 | 19.11 |
| Types of Vegetables | Treatment | Addition of FPS (kg) | Consume Sediment Value (CNY) | Consumption Value of Sediment per Unit Area (CNY/hm2) |
|---|---|---|---|---|
| Water spinach | CK 1 | 0.00 | 0.00 | 0.00 |
| T1 2 | 2.00 | 1.80 × 10−1 | 25,459.69 | |
| T2 3 | 4.00 | 3.60 × 10−1 | 50,919.38 | |
| T3 4 | 8.00 | 7.20 × 10−1 | 101,838.80 | |
| T4 5 | 10.00 | 9.00 × 10−1 | 127,298.40 | |
| Lettuce | CK | 0.00 | 0.00 | 0.00 |
| T1 | 2.00 | 1.80 × 10−1 | 25,459.69 | |
| T2 | 4.00 | 3.60 × 10−1 | 50,919.38 | |
| T3 | 8.00 | 7.20 × 10−1 | 101,838.80 | |
| T4 | 10.00 | 9.00 × 10−1 | 127,298.40 | |
| Chili | CK | 0.00 | 0.00 | 0.00 |
| T1 | 2.00 | 1.80 × 10−1 | 25,459.69 | |
| T2 | 4.00 | 3.60 × 10−1 | 50,919.38 | |
| T3 | 8.00 | 7.20 × 10−1 | 101,838.80 | |
| T4 | 10.00 | 9.00 × 10−1 | 127,298.40 |
| Types of Vegetables | Treatment | Organic Matter Content (g) | Total Plant Biomass (g) | Extra-Plant Biomass (g) | Ii | Maintain Biodiversity Value (CNY/hm2) |
|---|---|---|---|---|---|---|
| Water spinach | CK 1 | 67.16 | 23.38 | 34.62 | 0.40 | 250.02 |
| T1 2 | 110.48 | 21.91 | 46.70 | 0.68 | 424.53 | |
| T2 3 | 173.66 | 30.97 | 51.29 | 1.07 | 670.08 | |
| T3 4 | 201.49 | 37.32 | 59.07 | 1.24 | 776.35 | |
| T4 5 | 229.00 | 30.05 | 59.99 | 1.42 | 892.25 | |
| Lettuce | CK | 55.31 | 3.02 | 69.53 | 0.35 | 218.89 |
| T1 | 71.31 | 2.02 | 67.10 | 0.45 | 283.72 | |
| T2 | 113.36 | 5.59 | 92.51 | 0.71 | 449.11 | |
| T3 | 189.62 | 7.73 | 149.36 | 1.20 | 752.54 | |
| T4 | 216.85 | 12.71 | 127.10 | 1.37 | 857.51 | |
| Chili | CK | / | / | / | / | / |
| T1 | / | / | / | / | / | |
| T2 | 94.75 | 6.81 | 29.30 | 0.59 | 373.67 | |
| T3 | 165.88 | 12.37 | 40.95 | 1.04 | 653.83 | |
| T4 | 232.95 | 5.02 | 28.00 | 1.48 | 928.08 | |
| Conventional cultivation conditions | 213.60 | 283.00 | 426.00 | / | 628.20 | |
| Types of Vegetables | Treatment | Pi | Pn | Pollution Degree | Pollution Degree | ||||||
|---|---|---|---|---|---|---|---|---|---|---|---|
| Cd | Cr | Pb | As | Cu | Zn | Ni | |||||
| Water spinach | CK 1 | 0.47 | 0.79 | 0.34 | 0.12 | 0.11 | 0.03 | 0.26 | 0.60 | Safe | Clean |
| T1 2 | 0.51 | 0.76 | 0.21 | 0.06 | 0.18 | 0.04 | 0.14 | 0.57 | Safe | Clean | |
| T2 3 | 0.47 | 0.61 | 0.11 | 0.05 | 0.18 | 0.04 | 0.05 | 0.46 | Safe | Clean | |
| T3 4 | 0.41 | 0.51 | 0.09 | 0.04 | 0.14 | 0.03 | 0.02 | 0.39 | Safe | Clean | |
| T4 5 | 0.31 | 0.20 | 0.07 | 0.03 | 0.12 | 0.04 | 0.02 | 0.23 | Safe | Clean | |
| Lettuce | CK | 0.39 | 0.10 | 0.47 | 0.11 | 0.12 | 0.04 | 0.09 | 0.36 | Safe | Clean |
| T1 | 0.38 | 0.13 | 0.51 | 0.15 | 0.10 | 0.05 | 0.50 | 0.40 | Safe | Clean | |
| T2 | 0.88 | 0.66 | 1.61 | 0.40 | 0.17 | 0.10 | 0.33 | 1.22 | Slight Contamination | Light Pollution | |
| T3 | 0.90 | 0.10 | 0.49 | 0.10 | 0.16 | 0.19 | 0.08 | 0.67 | Safe | Clean | |
| T4 | 0.39 | 0.05 | 0.16 | 0.05 | 0.16 | 0.19 | 0.20 | 0.30 | Safe | Clean | |
| Chili | CK | / | / | / | / | / | / | / | / | ||
| T1 | / | / | / | / | / | / | / | / | |||
| T2 | 0.16 | 0.35 | 0.10 | 0.01 | 0.12 | 0.02 | 0.12 | 0.64 | Safe | Clean | |
| T3 | 0.07 | 0.20 | 0.04 | 0.01 | 0.10 | 0.02 | 0.05 | 0.36 | Safe | Clean | |
| T4 | 0.05 | 0.04 | 0.14 | 0.02 | 0.08 | 0.02 | 0.16 | 0.35 | Safe | Clean | |
References
- Zhang, K.; Chang, L.; Li, G.; Li, Y. Advances and future research in ecological stoichiometry under saline-alkali stress. Environ. Sci. Pollut. Res. 2023, 30, 5475–5486. [Google Scholar] [CrossRef] [PubMed]
- Lu, Z.G.; Xu, X.L.; Ma, C. Properties and synthesis mechanism of saline-alkali soil biomass brick. Chem. Eng. J. 2025, 511, 162303. [Google Scholar] [CrossRef]
- Wang, Z.J.; Zhuang, J.J.; Zhao, A.P.; Li, X.X. Types, harms and improvement of saline soil in songnen plain. In Proceedings of the International Symposium on Application of Materials Science and Energy Materials (SAMSE), Shanghai, China, 28 December 2017. [Google Scholar]
- Zhang, P.; Bing, X.; Jiao, L.; Xiao, H.; Li, B.X.; Sun, H.W. Amelioration effects of coastal saline-alkali soil by ball-milled red phosphorus-loaded biochar. Chem. Eng. J. 2022, 431, 133904. [Google Scholar] [CrossRef]
- Qiu, S.Y.; Wang, Z.Y.; Xu, J.L.; Cui, E.R.; Yan, L.M. Influence of vegetation dynamics on soil organic carbon and its fractions in a coastal wetland. Ecosyst. Health Sustain. 2023, 9, 0016. [Google Scholar] [CrossRef]
- Yu, J.; Wang, Y. Evolution of deep-sea fisheries policies in China: Review, performance and prospects. Fish. Manag. Ecol. 2023, 30, 109–120. [Google Scholar] [CrossRef]
- Zhao, W.; Shen, H. A statistical analysis of China’s fisheries in the 12th five-year period. Aquac. Fish. 2016, 1, 41–49. [Google Scholar] [CrossRef]
- Wang, R. A brief discussion on the properties and treatment methods of fish pond silt. Jiangxi Fish. Sci. Technol. 2015, 2, 18–19. [Google Scholar] [CrossRef]
- Pham, T.A.; Kroeze, C.; Bush, S.R.; Mol, A.P.J. Water pollution by Pangasius production in the Mekong Delta, Vietnam: Causes and options for control. Aquac. Res. 2010, 42, 108–128. [Google Scholar] [CrossRef]
- Xi, S.; Hou, Z.; Chen, L.; Wang, Z.; Miao, L. Ex-situ treatment of black-odorous sediment by combining activated sludge and advanced oxidants. J. Water Process. Eng. 2022, 46, 102464. [Google Scholar] [CrossRef]
- Roddy, M.E.; Viney, W.E.; Platt, C.T.; Rúa, M.A. The use of dredged sediments as a soil amendment for improving plant responses in prairie restorations. Ecol. Restor. 2023, 41, 70–74. [Google Scholar] [CrossRef]
- Zhao, Y.Y.; Zhang, Z.Y.; Li, Z.H.; Yang, B.H.; Li, B.; Tang, X.D.; Lai, Y.W. Comprehensive study on saline-alkali soil amelioration with sediment of irrigation area in northeast China. Arab. J. Chem. 2023, 16, 104608. [Google Scholar] [CrossRef]
- Mehmood, S.; Ahmed, W.; Mahmood, M.; Rizwan, M.S.; Asghar, R.M.A.; Alatalo, J.M.; Imtiaz, M.; Akmal, M.; Abdelrahman, H.; Ma, J.; et al. Aquaculture sediments amended with biochar improved soil health and plant growth in a degraded soil. Mar. Pollut. Bull. 2023, 191, 114899. [Google Scholar] [CrossRef]
- Fang, Y.; Huang, H.; Wang, X.; Zhao, Y.; Gao, Y.; Cui, X. Effects of composite soil conditioner on soil properties and corn yield in a saline-alkali soil. Soil Use Manag. 2024, 40, e13095. [Google Scholar] [CrossRef]
- Shyam, S.; Das, T.; Kumar, G.V.P. Co-composting invasive aquatic macrophytes and pond sediment holds the potential for environmental amelioration: Selecting the right shade of grey. Acta Ecol. Sin. 2022, 42, 17–23. [Google Scholar] [CrossRef]
- Scherwietes, E.; Stein, M.; Six, J.; Bawen, T.K.; Schaller, J. Local sediment amendment can potentially increase barley yield and reduce the need for phosphorus fertilizer on acidic soils in Kenya. Front. Environ. Sci. 2024, 12, 1458360. [Google Scholar] [CrossRef]
- Brigham, R.D.; Pelini, S.; Xu, Z.H.; Vázquez-Ortega, A. Assessing the effects of lake-dredged sediments on soil health: Agricultural and environmental implications for northwestern Ohio. J. Environ. Qual. 2021, 50, 494–503. [Google Scholar] [CrossRef]
- Thi, C.D.; Tu, P.A.; Livsey, J.; Tang, V.T.; Berg, H.; Manzoni, S. Improving productivity in integrated fish-vegetable farming systems with recycled fish pond sediments. Agronomy 2020, 10, 1025. [Google Scholar] [CrossRef]
- Cheng, S.; He, A.; Guo, X.; Li, R.; Wang, J.; Qi, Y.; Zhang, P.; Tao, W.; Ji, J.; Zhao, T.; et al. Rational utilization of sediment resources improves rice yield and nitrogen use efficiency under salt stress. Agriculture 2024, 14, 283. [Google Scholar] [CrossRef]
- Zhang, G.; Yang, Y.; Zhu, X.; Shen, W.; Zhu, Z.; Ge, T.; Xia, L.; Ma, J.; Lv, S.; Xu, H. Combining water-saving and drought-resistant rice with plastic film mulching mitigates CH4 emissions with higher net economic benefits. Resour. Conserv. Recycl. 2024, 202, 107372. [Google Scholar] [CrossRef]
- Bates, M.E.; Fox-Lent, C.; Seymour, L.; Wender, B.A.; Linkov, I. Life cycle assessment for dredged sediment placement strategies. Sci. Total Environ. 2015, 511, 309–318. [Google Scholar] [CrossRef]
- Hou, J.; Wang, Y. Study on the assessment of the comprehensive benefits of the utilization of sediment resources in reservoir areas. Int. J. Sediment Res. 2017, 32, 313–323. [Google Scholar] [CrossRef]
- Chen, D.; Lu, H.; Fu, Z.; Luo, Z.; Duan, J. A comprehensive benefit evaluation of the model of salt-tolerant crops irrigated by mariculture wastewater based on a field plot experiment. Agronomy 2024, 14, 2161. [Google Scholar] [CrossRef]
- GB 4284-2018; Control Standards of Pollutants in Sludge for Agricultural Use. Ministry of Housing and Urban-Rural Development of the People’s Republic of China: Beijing, China, 2018.
- Hu, L. Research on adjusted coefficient method for leaf area measurement and its error. Chin. Agric. Sci. Bull. 2015, 31, 228–233. [Google Scholar]
- Kuzmin, P.; Bukharina, I.; Kuzmina, A. Biochemical characteristics of urban maple trees. Saudi J. Biol. Sci. 2020, 27, 2912–2916. [Google Scholar] [CrossRef]
- Sun, B.; Tian, Y.X.; Jiang, M.; Yuan, Q.; Chen, Q.; Zhang, Y.; Luo, Y.; Zhang, F.; Tang, H.R. Variation in the main health-promoting compounds and antioxidant activity of whole and individual edible parts of baby mustard (Brassica juncea var. gemmifera). RSC Adv. 2018, 8, 33845–33854. [Google Scholar] [CrossRef]
- Li, J.Q.; Wei, Z.W.; Min, X.Y.; Zhao, P.Z.; Yang, L.H.; Liu, N.A. Physiological and biochemical changes in the seeds of naturally aged wenling medic (medicago polymorpha) with its recovery of viability. Agronoml 2023, 13, 787. [Google Scholar] [CrossRef]
- Lu, R. Soil Chemical Analysis Method for Agriculture; China Agriculture Science and Technique Press: Beijing, China, 2000. [Google Scholar]
- Li, F.; Yin, C. Assessment of the functions and ecological services values of green manure inpaddy fields in south China. Chin. J. Eco-Agric. 2019, 27, 327–336. [Google Scholar] [CrossRef]
- Wang, S.; Wang, K.; Huang, G. A study on ecosystem service value of paddy fields in multiple cropping systems in southern hilly areas of China—Taking yujiang county as an example. Acta Agric. Univ. Jiangxiensis 2011, 33, 636–642. [Google Scholar] [CrossRef]
- Sheng, J.; Chen, L.; Zhu, P. Evaluation of ecological service value of rice-wheat rotation ecosystem. Chin. J. Eco-Agric. 2008, 16, 1541–1545. [Google Scholar] [CrossRef]
- Xue, B.; Zhang, L.; Zhang, T.; Sun, W.; Li, Z. Evaluation of paddy field eco-system’s service value: Taking example hunan province for example. Chin. Rural. Water Hydropower 2020, 1, 52–57. [Google Scholar] [CrossRef]
- Wei, Y.; Jin, J.; Ding, Q.; Zhou, J.; Zhang, F.; Yang, W. Value accounting of ecological products in an agrophotovoltaic power station:a case study on the Zhengtai Jiangshan 200 MW agrophotovoltaic power station. J. Agric. Resour. Environ. 2024, 41, 197–211. [Google Scholar] [CrossRef]
- Hu, X.; Lin, Y.; Gao, X.; Xu, W.; Ouyang, Z. Research progress on the connotation of biodiversity value and assessment methods. Acta Ecol. Sin. 2024, 44, 8957–8967. [Google Scholar] [CrossRef]
- Ashraf, M.; Shahzad, S.M.; Imtiaz, M.; Rizwan, M.S. Salinity effects on nitrogen metabolism in plants-focusing on the activities of nitrogen metabolizing enzymes: A review. J. Plant Nutr. 2018, 41, 1065–1081. [Google Scholar] [CrossRef]
- Fu, X.M.; Ma, L.; Gui, R.; Ashraf, U.; Li, Y.; Yang, X.; Zhang, J.; Imran, M.; Tang, X.; Tian, H.; et al. Differential response of fragrant rice cultivars to salinity and hydrogen rich water in relation to growth and antioxidative defense mechanisms. Int. J. Phytoremediat. 2021, 23, 1203–1211. [Google Scholar] [CrossRef]
- Tang, S.Q.; She, D.L.; Wang, H.D. Effect of salinity on soil structure and soil hydraulic characteristics. Can. J. Soil Sci. 2021, 101, 62–73. [Google Scholar] [CrossRef]
- Sun, C.T.; Feng, D.; Yu, C.; Sun, J.; Han, X.; Zhang, M.; Zhang, P.; Han, H.; Mao, W.; Shen, X. The dynamics characteristics of soil water infiltration and capillary rise for saline-sodic soil mixed with sediment. Water 2022, 14, 481. [Google Scholar] [CrossRef]
- Zhou, H.; Yang, W.-T.; Zhou, X.; Liu, L.; Gu, J.-F.; Wang, W.-L.; Zou, J.-L.; Tian, T.; Peng, P.-Q.; Liao, B.-H. Accumulation of heavy metals in vegetable species planted in contaminated soils and the health risk assessment. Int. J. Environ. Res. Public Health 2016, 13, 289. [Google Scholar] [CrossRef]
- Casado-Vela, J.; Sellés, S.; Navarro, J.; Bustamante, M.A.; Mataix, J.; Guerrero, C.; Gomez, I. Evaluation of composted sewage sludge as nutritional source for horticultural soils. Waste Manag. 2006, 26, 946–952. [Google Scholar] [CrossRef]
- Bonanomi, G.; Idbella, M.; Abd-ElGawad, A.M. Microbiota management for effective disease suppression: A systematic comparison between soil and mammals gut. Sustainability 2021, 13, 7608. [Google Scholar] [CrossRef]
- Yao, R.J.; Li, H.Q.; Yang, J.S.; Yin, C.Y.; Wang, X.P.; Xie, W.P.; Zhang, X. Interactive effects of amendment materials and soil salinity on net rates of urea hydrolysis and nitrification in salt-affected soil. J. Soil Sci. Plant Nutr. 2021, 21, 3414–3427. [Google Scholar] [CrossRef]
- Setia, R.; Marschner, P.; Baldock, J.; Chittleborough, D.; Smith, P.; Smith, J. Salinity effects on carbon mineralization in soils of varying texture. Soil Biol. Biochem. 2011, 43, 1908–1916. [Google Scholar] [CrossRef]
- Hao, Z.Z.; Li, P.; Le, Q.L.; He, J.X.; Ma, J.Y. Litter and root removal modulates soil organic carbon and labile carbon dynamics in larch plantation ecosystems. Forests 2024, 15, 1958. [Google Scholar] [CrossRef]
- Zandebasiri, M.; Goujani, H.J.; Iranmanesh, Y.; Azadi, H.; Viira, A.H.; Habibi, M. Ecosystem services valuation: A review of concepts, systems, new issues, and considerations about pollution in ecosystem services. Environ. Sci. Pollut. Res. 2023, 30, 83051–83070. [Google Scholar] [CrossRef] [PubMed]
- Zhu, B.; Zhu, Y. Compound fertilizer manufactured from sediment of west lake. J. Agro-Environ. Sci. 2001, 3, 175–176. [Google Scholar] [CrossRef]
- GB2762-2017; National Food Safety Standard for Maximum Levels of Contaminants in Foods. National Health Commission of the People’s Republic of China and State Administration for Market Regulation: Beijing, China, 2017.









| Material | pH | Salinity (%) | OM 1 (g·kg−1) | TN 2 (g·kg−1) | TP 3 (g·kg−1) | TK 4 (g·kg−1) | AK 5 (mg·kg−1) | AP 6 (mg·kg−1) |
|---|---|---|---|---|---|---|---|---|
| SAS | 8.17 | 0.30 | 11.65 | 1.02 | 0.70 | 21.22 | 21.43 | 46.51 |
| FPS | 7.48 | 0.04 | 32.76 | 2.24 | 1.09 | 20.79 | 17.34 | 45.99 |
| Soil Type | Heavy Metal | Content (Ci) | Pollution Index (Pi) | Comprehensive Pollution Index |
|---|---|---|---|---|
| SAS | Cd | 0.26 | 0.43 | 0.45 |
| Cr | 17.61 | 0.09 | ||
| Pb | 11.36 | 0.07 | ||
| As | 4.62 | 0.18 | ||
| Cu | 6.97 | 0.07 | ||
| Zn | 27.12 | 0.09 | ||
| Ni | 10.99 | 0.06 | ||
| FPS | Cd | 0.18 | 0.36 | 0.41 |
| Cr | 21.09 | 0.11 | ||
| Pb | 26.41 | 0.22 | ||
| As | 4.84 | 0.16 | ||
| Cu | 19.25 | 0.19 | ||
| Zn | 44.1 | 0.18 | ||
| Ni | 13.33 | 0.13 |
| Ecosystem Service | Calculation Formula | Symbol Meaning | Source | |
|---|---|---|---|---|
| Soil organic matter accumulation value | (4) | VEnvB1: value of SOM accumulation, CNY/ha S: cultivation area, ha T: tillage layer thickness, 0.3 m ρ: soil bulk density (kg/m3); SOM: soil organic matter content, % CSOM: SOM price, 0.0513 CNY/kg | [30] | |
| Nutrient recycling value | (5) | VEnvB2: nutrient recycling value, CNY/ha L: edible biomass, kg/ha CN,P,K: nutrient content, % CF: fertilizer price, 4.155 CNY/kg | [31] | |
| Water conservation value | (6) | VEnvB3: value of water conservation, CNY/ha h: tillage depth, 0.3 m P: non-capillary porosity, % β: water density (kg/m3) CW: reservoir storage cost (1.36 × 10−3 CNY/kg). | [32] | |
| Fixed CO2 value | VEnvB4 = 0.4419 × B × CCO2 | (7) | VEnvB4: value of fixed CO2, CNY/ha B: plant biomass, kg CCO2: the Swiss carbon tax rate, 953.1 CNY/t C | [30] |
| Provide oxygen value | (8) | VEnvB5: value of providing oxygen, CNY/ha CO2: industrial oxygen price, 400 CNY/t | [33] | |
| Air purification value | (9) | VEnvB6: value of air purification, CNY/ha Qi: gas absorption, kg/(hm2·a) Fi: pollution treatment cost, CNY/kg. Unit treatment costs stood at 0.6 (SO2), 0.6 (NOx), and 0.17 (dust) CNY/kg respectively. I: adjustment factor, 0.6 | [34] | |
| Consume sediment value | (10) | VEnvB7: value of consuming sediment, CNY/ha VOL: sediment volume, m3 P: treatment cost, 90 CNY/t | [30] | |
| Maintain biodiversity values | (11) | VEnvB8: value of maintaining biodiversity, CNY/ha ε: unit value, 628.2 CNY/ha Ii: adjustment factor calculated from biomass and SOM differences. | [35] | |
| Biodiversity Adjustment Factor (I) for Farmland | (12) | Mextrai and Mextra: the accumulation of metabolites and remains from field microfauna and microorganisms under experimental and conventional farming conditions, respectively, g Mbioi and Mbio: the total plant biomass throughout the growth period under experimental and conventional farming systems, g SOMi and SOM: the total soil organic matter content under experimental and traditional cultivation practices, g a: weighting factors for plant residue contribution, 0.2 b: microorganism-derived matter contribution to soil organic matter formation, respectively, 0.8 | ||
| (13) | ||||
| (14) | ||||
| Treatment | Water Spinach | Change vs. CK (%) | Lettuce | Change vs. CK (%) | Chili | Change vs. T2 (%) |
|---|---|---|---|---|---|---|
| CK 1 | 1.22 ± 0.02 | - | 1.26 ± 0.01 | - | 1.45 ± 0.02 | - |
| T1 2 | 1.21 ± 0.02 | −1.05 | 1.18 ± 0.01 | −6.31 | 1.28 ± 0.01 | −11.89 |
| T2 3 | 1.17 ± 0.02 | −3.93 | 1.16 ± 0.02 | −7.71 | 1.36 ± 0.01 | −6.37 |
| T3 4 | 0.97 ± 0.04 | −20.45 | 1.03 ± 0.02 | −18.14 | 1.27 ± 0 | −12.57 |
| T4 5 | 1 ± 0.01 | −17.97 | 0.95 ± 0.01 | −24.64 | 1.15 ± 0 | −20.55 |
| Types of Vegetables | Treatment | Water Holding Porosity (%) | Aeration Porosity (%) | Total Porosity (%) | Change vs. CK (%) |
|---|---|---|---|---|---|
| Water spinach | CK 1 | 41.25 | 0.52 | 41.77 | - |
| T1 2 | 40.92 | 0.38 | 41.3 | −1.13 | |
| T2 3 | 42.79 | 1.03 | 43.82 | 4.91 | |
| T3 4 | 46.06 | 1.3 | 47.36 | 13.38 | |
| T4 5 | 48.18 | 1.18 | 49.36 | 18.17 | |
| Lettuce | CK | 35.1 | 1.11 | 36.21 | - |
| T1 | 41.59 | 1.46 | 43.05 | 18.89 | |
| T2 | 41.82 | 1.55 | 43.37 | 19.77 | |
| T3 | 41.17 | 2.52 | 43.69 | 20.66 | |
| T4 | 43.35 | 2.91 | 46.26 | 27.75 | |
| Chili | CK | 32.7 | 1.08 | 33.78 | - |
| T1 | 35.21 | 1.25 | 36.46 | 7.93 | |
| T2 | 36.47 | 0.57 | 37.04 | 9.65 | |
| T3 | 37.69 | 0.79 | 38.48 | 13.91 | |
| T4 | 40.84 | 1.22 | 42.06 | 24.51 |
| Types of Vegetables | Treatment | MBC (mg·kg−1) | Change vs. CK (%) | MBN (mg·kg−1) | Change vs. CK (%) | MBC/MBN |
|---|---|---|---|---|---|---|
| Water spinach | CK 1 | 3.53 | - | 31.59 | - | 0.11 |
| T1 2 | 3.59 | 1.70 | 38.23 | 21.02 | 0.09 | |
| T2 3 | 5.39 | 52.69 | 39.81 | 26.02 | 0.14 | |
| T3 4 | 5.00 | 41.64 | 46.03 | 45.71 | 0.11 | |
| T4 5 | 4.91 | 39.09 | 47.69 | 50.97 | 0.10 | |
| Lettuce | CK | 0.24 | - | 0.80 | - | 0.29 |
| T1 | 0.58 | 141.67 | 0.42 | −47.50 | 1.39 | |
| T2 | 1.18 | 391.67 | 1.51 | 88.75 | 0.78 | |
| T3 | 1.04 | 333.33 | 0.91 | 13.75 | 1.16 | |
| T4 | 0.35 | 45.83 | 1.82 | 127.50 | 0.20 | |
| Chili | CK | 0.39 | - | 0.92 | - | 0.44 |
| T1 | 0.24 | −38.46 | 1.47 | 59.78 | 0.16 | |
| T2 | 0.81 | 107.69 | 1.81 | 96.74 | 0.45 | |
| T3 | 1.28 | 228.21 | 2.47 | 168.48 | 0.52 | |
| T4 | 0.95 | 143.59 | 2.63 | 185.87 | 0.36 |
| Total Fresh Yield (g) | Water Spinach | Change vs. CK (%) | Lettuce | Change vs. CK (%) | Chili | Change vs. CK (%) |
|---|---|---|---|---|---|---|
| CK 1 | 58.00 | - | 72.55 | - | 0.00 | - |
| T1 2 | 68.61 | 18.29 | 69.12 | −4.72 | 0.00 | - |
| T2 3 | 82.26 | 41.83 | 98.10 | 35.22 | 36.12 | 0.00 |
| T3 4 | 96.39 | 66.18 | 157.08 | 116.53 | 53.32 | 47.63 |
| T4 5 | 90.03 | 55.23 | 139.81 | 92.71 | 33.03 | −8.56 |
| Edible Dry Weight Biomass (g) | Water Spinach | Change vs. CK (%) | Lettuce | Change vs. CK (%) | Chili | Change vs. CK (%) |
|---|---|---|---|---|---|---|
| CK 1 | 23.38 | - | 3.02 | - | 0.00 | - |
| T1 2 | 21.91 | −6.29 | 2.02 | −33.22 | 0.00 | - |
| T2 3 | 30.97 | 32.46 | 5.59 | 84.99 | 6.81 | 0.00 |
| T3 4 | 37.32 | 59.61 | 7.73 | 155.85 | 12.37 | 81.60 |
| T4 5 | 30.05 | 28.51 | 12.71 | 320.86 | 5.02 | −26.27 |
| Types of Vegetables | Treatment | Water Spinach | Lettuce | Chili |
|---|---|---|---|---|
| Total value per unit area (CNY/hm2) | CK 1 | 96,423 | 29,491 | 13,245 |
| T1 2 | 129,302 | 52,613 | 37,127 | |
| T2 3 | 208,317 | 120,356 | 110,494 | |
| T3 4 | 274,951 | 210,993 | 226,971 | |
| T4 5 | 274,060 | 260,623 | 201,246 |
Disclaimer/Publisher’s Note: The statements, opinions and data contained in all publications are solely those of the individual author(s) and contributor(s) and not of MDPI and/or the editor(s). MDPI and/or the editor(s) disclaim responsibility for any injury to people or property resulting from any ideas, methods, instructions or products referred to in the content. |
© 2025 by the authors. Licensee MDPI, Basel, Switzerland. This article is an open access article distributed under the terms and conditions of the Creative Commons Attribution (CC BY) license (https://creativecommons.org/licenses/by/4.0/).
Share and Cite
Luo, Z.; Zhang, Z.; Guo, Y.; Lv, L.; Chen, D.; Duan, J. Effects of Fish Pond Sediment on Quality of Saline–Alkali Soil and Some Vegetables: Water Spinach, Lettuce, and Chili. Agronomy 2025, 15, 1670. https://doi.org/10.3390/agronomy15071670
Luo Z, Zhang Z, Guo Y, Lv L, Chen D, Duan J. Effects of Fish Pond Sediment on Quality of Saline–Alkali Soil and Some Vegetables: Water Spinach, Lettuce, and Chili. Agronomy. 2025; 15(7):1670. https://doi.org/10.3390/agronomy15071670
Chicago/Turabian StyleLuo, Zhaohui, Zhuoyue Zhang, Ying Guo, Luhao Lv, Dan Chen, and Jiaming Duan. 2025. "Effects of Fish Pond Sediment on Quality of Saline–Alkali Soil and Some Vegetables: Water Spinach, Lettuce, and Chili" Agronomy 15, no. 7: 1670. https://doi.org/10.3390/agronomy15071670
APA StyleLuo, Z., Zhang, Z., Guo, Y., Lv, L., Chen, D., & Duan, J. (2025). Effects of Fish Pond Sediment on Quality of Saline–Alkali Soil and Some Vegetables: Water Spinach, Lettuce, and Chili. Agronomy, 15(7), 1670. https://doi.org/10.3390/agronomy15071670

