Biochar Makes Soil Organic Carbon More Labile, but Its Carbon Sequestration Potential Remains Large in an Alternate Wetting and Drying Paddy Ecosystem
Abstract
1. Introduction
2. Materials and Methods
2.1. Experimental Site and Materials
2.2. Experimental Design
2.3. Sampling and Measurement
2.4. Statistical Analyses
3. Results
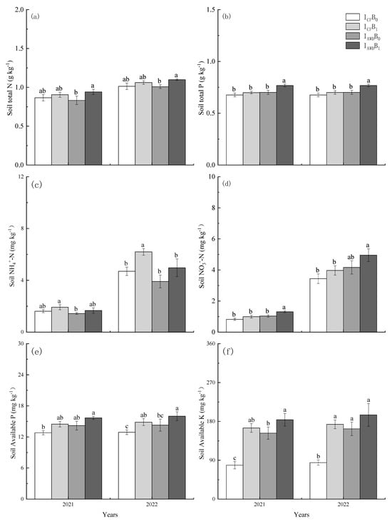
3.1. Soil Chemical Properties
3.2. SOC
3.3. SOC Labile Fractions
3.3.1. DOC
3.3.2. MBC
3.3.3. EOC
3.3.4. LFOC
3.3.5. POC
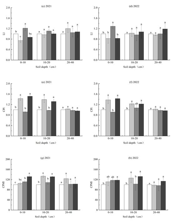
3.4. CPMI
3.5. Principal Component Analysis (PCA) of SOC and Labile Organic Carbon Fractions
4. Discussion
4.1. Effects of AWD and Biochar on SOC
4.2. Effects of AWD and Biochar on SOC Labile Fractions
4.3. Effects of AWD and Biochar on CPMI
5. Conclusions
Supplementary Materials
Author Contributions
Funding
Data Availability Statement
Conflicts of Interest
References
- Batjes, N.H. Total carbon and nitrogen in the soils of the world. Eur. J. Soil Sci. 2014, 65, 10–21. [Google Scholar] [CrossRef]
- Wander, M.M.; Traina, S.J.; Stinner, B.R.; Peters, S.E. Organic and Conventional Management Effects on Biologically Active Soil Organic Matter Pools. Soil Sci. Soc. Am. J. 1994, 58, 1130–1139. [Google Scholar] [CrossRef]
- Mi, W.; Gao, Q.; Liu, M.; Sun, Y.; Wu, L. Changes in humus carbon fractions in paddy soil given different organic amendments and mineral fertilizers. Soil Tillage Res. 2019, 195, 104421. [Google Scholar] [CrossRef]
- Laik, R.; Kumar, K.; Das, D.K.; Chaturvedi, O.P. Labile soil organic matter pools in a calciorthent after 18 years of afforestation by different plantations. Appl. Soil Ecol. 2009, 42, 71–78. [Google Scholar] [CrossRef]
- Blair, G.J.; Lefroy, R.D.B.; Lisle, L. Soil carbon fractions based on their degree of oxidation, and the development of a carbon management index for agricultural systems. Aust. J. Agric. Res. 1995, 46, 1459–1466. [Google Scholar] [CrossRef]
- Bowles, T.M.; Acosta-Martínez, V.; Calderón, F.; Jackson, L.E. Soil enzyme activities, microbial communities, and carbon and nitrogen availability in organic agroecosystems across an intensively-managed agricultural landscape. Soil Biol. Biochem. 2014, 68, 252–262. [Google Scholar] [CrossRef]
- Yang, S.H.; Chen, X.; Jiang, Z.W.; Ding, J.; Sun, X.; Xu, J.Z. Effects of Biochar Application on Soil Organic Carbon Composition and Enzyme Activity in Paddy Soil under Water-Saving Irrigation. Int. J. Environ. Res. Public Health 2020, 17, 333. [Google Scholar] [CrossRef] [PubMed]
- Lin, Z.B.; Zhang, R.D. Dynamics of Soil Organic Carbon Under Uncertain Climate Change and Elevated Atmospheric CO2. Pedosphere 2012, 22, 489–496. [Google Scholar] [CrossRef]
- Liu, Y.; Ge, T.; van Groenigen, K.J.; Yang, Y.; Wang, P.; Cheng, K.; Zhu, Z.; Wang, J.; Li, Y.; Guggenberger, G.; et al. Rice paddy soils are a quantitatively important carbon store according to a global synthesis. Commun. Earth Environ. 2021, 2, 154. [Google Scholar] [CrossRef]
- FAO. Rice Market Monitor (RMM); FAO: Rome, Italy, 2018; Volume XI, Issue No. 1; Available online: https://openknowledge.fao.org/server/api/core/bitstreams/573305c9-224b-4d1e-9e32-d8ac4911c12b/content (accessed on 21 June 2025).
- Xu, J.; Yang, S.; Peng, S.; Wei, Q.; Gao, X. Solubility and leaching risks of organic carbon in paddy soils as affected by irrigation managements. Sci. World J. 2013, 2013, 546750. [Google Scholar] [CrossRef]
- Qi, J.Y.; Yao, X.B.; Lu, J.; He, L.X.; Cao, J.L.; Kan, Z.R.; Wang, X.; Pan, S.G.; Tang, X.R. A 40% paddy surface soil organic carbon increase after 5-year no-tillage is linked with shifts in soil bacterial composition and functions. Sci. Total Environ. 2023, 859, 160206. [Google Scholar] [CrossRef]
- Zhuang, Y.; Liu, H.; Zhang, L.; Li, S. Research perspectives on paddy field systems: Ecological functions and environmental impacts. Int. J. Agric. Sustain. 2020, 18, 505–520. [Google Scholar] [CrossRef]
- Ishfaq, M.; Farooq, M.; Zulfiqar, U.; Hussain, S.; Akbar, N.; Nawaz, A.; Anjum, S.A. Alternate wetting and drying: A water-saving and ecofriendly rice production system. Agric. Water Manag. 2020, 241, 106363. [Google Scholar] [CrossRef]
- Zhou, S.; Park, W.A.; Lintner, B.R.; Berg, A.M.; Zhang, Y.; Keenan, T.F.; Cook, B.I.; Hagemann, S.; Seneviratne, S.I.; Gentine, P. Soil moisture–atmosphere feedbacks mitigate declining water availability in drylands. Nat. Clim. Change 2021, 11, 38–44. [Google Scholar] [CrossRef]
- Zhang, W.; Yu, J.; Xu, Y.; Wang, Z.; Liu, L.; Zhang, H.; Gu, J.; Zhang, J.; Yang, J. Alternate wetting and drying irrigation combined with the proportion of polymer-coated urea and conventional urea rates increases grain yield, water and nitrogen use efficiencies in rice. Field Crops Res. 2021, 268, 108165. [Google Scholar] [CrossRef]
- Ye, Y.S.; Liang, X.Q.; Chen, Y.X.; Liu, J.; Gu, J.T.; Guo, R.; Li, L. Alternate wetting and drying irrigation and controlled-release nitrogen fertilizer in late-season rice. Effects on dry matter accumulation, yield, water and nitrogen use. Field Crops Res. 2013, 144, 212–224. [Google Scholar] [CrossRef]
- Hao, M.; Guo, L.J.; Du, X.Z.; Wang, H.L.; Sheng, F.; Li, C.F. Integrated effects of microbial decomposing inoculant on greenhouse gas emissions, grain yield and economic profit from paddy fields under different water regimes. Sci. Total Environ. 2022, 805, 150295. [Google Scholar] [CrossRef]
- Arai, H. Increased rice yield and reduced greenhouse gas emissions through alternate wetting and drying in a triple-cropped rice field in the Mekong Delta. Sci. Total Environ. 2022, 842, 156958. [Google Scholar] [CrossRef]
- Sha, Y.; Chi, D.; Chen, T.; Wang, S.; Zhao, Q.; Li, Y.; Sun, Y.; Chen, J.; Laerke, P.E. Zeolite application increases grain yield and mitigates greenhouse gas emissions under alternate wetting and drying rice system. Sci. Total Environ. 2022, 838, 156067. [Google Scholar] [CrossRef]
- Van Gestel, M.; Merckx, R.; Vlassak, K. Microbial biomass responses to soil drying and rewetting: The fate of fast- and slow-growing microorganisms in soils from different climates. Soil Biol. Biochem. 1993, 25, 109–123. [Google Scholar] [CrossRef]
- Gordon, H.; Haygarth, P.M.; Bardgett, R.D. Drying and rewetting effects on soil microbial community composition and nutrient leaching. Soil Biol. Biochem. 2008, 40, 302–311. [Google Scholar] [CrossRef]
- Moyano, F.E.; Manzoni, S.; Chenu, C. Responses of soil heterotrophic respiration to moisture availability: An exploration of processes and models. Soil Biol. Biochem. 2013, 59, 72–85. [Google Scholar] [CrossRef]
- Denef, K.; Six, J.; Bossuyt, H.; Frey, S.D.; Elliott, E.T.; Merckx, R.; Paustian, K. Influence of dry-wet cycles on the interrelationship between aggregate, particulate organic matter, and microbial community dynamics. Soil Biol. Biochem. 2001, 33, 1599–1611. [Google Scholar] [CrossRef]
- Meng, J.; He, T.; Sanganyado, E.; Lan, Y.; Zhang, W.; Han, X.; Chen, W. Development of the straw biochar returning concept in China. Biochar 2019, 1, 139–149. [Google Scholar] [CrossRef]
- Wang, C.; Liu, J.; Shen, J.; Chen, D.; Li, Y.; Jiang, B.; Wu, J. Effects of biochar amendment on net greenhouse gas emissions and soil fertility in a double rice cropping system: A 4-year field experiment. Agric. Ecosyst. Environ. 2018, 262, 83–96. [Google Scholar] [CrossRef]
- Singh, H.; Northup, B.K.; Rice, C.W.; Prasad, P.V.V. Biochar applications influence soil physical and chemical properties, microbial diversity, and crop productivity: A meta-analysis. Biochar 2022, 4, 8. [Google Scholar] [CrossRef]
- Zhang, Q.; Duan, P.; Gunina, A.; Zhang, X.; Yan, X.; Kuzyakov, Y.; Xiong, Z. Mitigation of carbon dioxide by accelerated sequestration from long-term biochar amended paddy soil. Soil Tillage Res. 2021, 209, 104955. [Google Scholar] [CrossRef]
- Bi, Y.; Cai, S.; Wang, Y.; Zhao, X.; Wang, S.; Xing, G.; Zhu, Z. Structural and microbial evidence for different soil carbon sequestration after four-year successive biochar application in two different paddy soils. Chemosphere 2020, 254, 126881. [Google Scholar] [CrossRef]
- Yang, X.; Meng, J.; Lan, Y.; Chen, W.; Yang, T.; Yuan, J.; Liu, S.; Han, J. Effects of maize stover and its biochar on soil CO2 emissions and labile organic carbon fractions in Northeast China. Agric. Ecosyst. Environ. 2017, 240, 24–31. [Google Scholar] [CrossRef]
- Ma, L.; Lv, X.; Cao, N.; Wang, Z.; Zhou, Z.; Meng, Y. Alterations of soil labile organic carbon fractions and biological properties under different residue-management methods with equivalent carbon input. Appl. Soil Ecol. 2021, 161, 103821. [Google Scholar] [CrossRef]
- Li, G.; Khan, S.; Ibrahim, M.; Sun, T.-R.; Tang, J.-F.; Cotner, J.B.; Xu, Y.-Y. Biochars induced modification of dissolved organic matter (DOM) in soil and its impact on mobility and bioaccumulation of arsenic and cadmium. J. Hazard. Mater. 2018, 348, 100–108. [Google Scholar] [CrossRef] [PubMed]
- Chen, D.; Guo, H.; Li, R.; Li, L.; Pan, G.; Chang, A.; Joseph, S. Low uptake affinity cultivars with biochar to tackle Cd-tainted rice—A field study over four rice seasons in Hunan, China. Sci. Total Environ. 2016, 541, 1489–1498. [Google Scholar] [CrossRef]
- Li, Y.; Zheng, J.; Wu, Q.; Gong, X.; Zhang, Z.; Chen, Y.; Chen, T.; Siddique, K.H.M.; Chi, D. Zeolite increases paddy soil potassium fixation, partial factor productivity, and potassium balance under alternate wetting and drying irrigation. Agric. Water Manag. 2022, 260, 107294. [Google Scholar] [CrossRef]
- Bao, S.D. Soil and Agricultural Chemistry Analysis; China Agriculture Press: Beijing, China, 2000. [Google Scholar]
- Ghani, A.; Dexter, M.; Perrott, K.W. Hot-water extractable carbon in soils: A sensitive measurement for determining impacts of fertilisation, grazing and cultivation. Soil Biol. Biochem. 2003, 35, 1231–1243. [Google Scholar] [CrossRef]
- Wu, J.; Joergensen, R.G.; Pommerening, B.; Chaussod, R.; Brookes, P.C. Measurement of soil microbial biomass C by fumigation—extraction—An automated procedure. Soil Biol. Biochem. 1990, 22, 1167–1169. [Google Scholar] [CrossRef]
- Cambardella, C.A.; Elliott, E.T. Particulate Soil Organic-Matter Changes across a Grassland Cultivation Sequence. Soil Sci. Soc. Am. J. 1992, 56, 777–783. [Google Scholar] [CrossRef]
- Gregorich, E.; Janzen, H. Storage of soil carbon in the light fraction and macro-organic matter. In Structure and Organic Matter Storage in Agricultural Soils; CRC Press: Boca Raton, FL, USA, 1996; pp. 167–192. [Google Scholar]
- Yan, M.; Junzeng, X.; Qi, W.; Shihong, Y.; Linxian, L.; Suyan, C.; Qi, L. Organic carbon content and its liable components in paddy soil under water-saving irrigation. Plant Soil Environ. 2017, 63, 125–130. [Google Scholar]
- Livsey, J.; Kätterer, T.; Vico, G.; Lyon, S.W.; Lindborg, R.; Scaini, A.; Da, C.T.; Manzoni, S. Do alternative irrigation strategies for rice cultivation decrease water footprints at the cost of long-term soil health? Environ. Res. Lett. 2019, 14, 074011. [Google Scholar] [CrossRef]
- Maneepitak, S.; Ullah, H.; Datta, A.; Shrestha, R.P.; Shrestha, S. Effect of Water and Rice Straw Management Practices on Soil Organic Carbon Stocks in a Double-Cropped Paddy Field. Commun. Soil Sci. Plant Anal. 2019, 50, 2330–2342. [Google Scholar] [CrossRef]
- Xu, Y.; Zhan, M.; Cao, C.; Ge, J.; Ye, R.; Tian, S.; Cai, M. Effects of irrigation management during the rice growing season on soil organic carbon pools. Plant Soil 2017, 421, 337–351. [Google Scholar] [CrossRef]
- Oliver, V.; Cochrane, N.; Magnusson, J.; Brachi, E.; Monaco, S.; Volante, A.; Courtois, B.; Vale, G.; Price, A.; Teh, Y.A. Effects of water management and cultivar on carbon dynamics, plant productivity and biomass allocation in European rice systems. Sci. Total Environ. 2019, 685, 1139–1151. [Google Scholar] [CrossRef] [PubMed]
- Swails, E.; Jaye, D.; Verchot, L.; Hergoualc’h, K.; Schirrmann, M.; Borchard, N.; Wahyuni, N.; Lawrence, D. Will CO2 Emissions from Drained Tropical Peatlands Decline Over Time? Links Between Soil Organic Matter Quality, Nutrients, and C Mineralization Rates. Ecosystems 2018, 21, 868–885. [Google Scholar] [CrossRef]
- Pascual, V.J.; Wang, Y.-M. Utilizing rainfall and alternate wetting and drying irrigation for high water productivity in irrigated lowland paddy rice in southern Taiwan. Plant Prod. Sci. 2016, 20, 24–35. [Google Scholar] [CrossRef]
- Tian, J.; Pausch, J.; Fan, M.; Li, X.; Tang, Q.; Kuzyakov, Y. Allocation and dynamics of assimilated carbon in rice-soil system depending on water management. Plant Soil 2013, 363, 273–285. [Google Scholar] [CrossRef]
- Situ, G.; Zhao, Y.; Zhang, L.; Yang, X.; Chen, D.; Li, S.; Wu, Q.; Xu, Q.; Chen, J.; Qin, H. Linking the chemical nature of soil organic carbon and biological binding agent in aggregates to soil aggregate stability following biochar amendment in a rice paddy. Sci. Total Environ. 2022, 847, 157460. [Google Scholar] [CrossRef] [PubMed]
- Wang, J.; Xiong, Z.; Kuzyakov, Y. Biochar stability in soil: Meta-analysis of decomposition and priming effects. Glob. Change Biol. Bioenergy 2016, 8, 512–523. [Google Scholar] [CrossRef]
- Luo, Y.; Durenkamp, M.; De Nobili, M.; Lin, Q.; Brookes, P.C. Short term soil priming effects and the mineralisation of biochar following its incorporation to soils of different pH. Soil Biol. Biochem. 2011, 43, 2304–2314. [Google Scholar] [CrossRef]
- Singh, B.P.; Cowie, A.L.; Smernik, R.J. Biochar carbon stability in a clayey soil as a function of feedstock and pyrolysis temperature. Environ. Sci. Technol. 2012, 46, 11770–11778. [Google Scholar] [CrossRef]
- Naisse, C.; Girardin, C.; Lefevre, R.; Pozzi, A.; Maas, R.; Stark, A.; Rumpel, C. Effect of physical weathering on the carbon sequestration potential of biochars and hydrochars in soil. Glob. Change Biol. Bioenergy 2015, 7, 488–496. [Google Scholar] [CrossRef]
- Lehmann, J.; Rillig, M.C.; Thies, J.; Masiello, C.A.; Hockaday, W.C.; Crowley, D. Biochar effects on soil biota—A review. Soil Biol. Biochem. 2011, 43, 1812–1836. [Google Scholar] [CrossRef]
- Buss, W.; Shepherd, J.G.; Heal, K.V.; Masek, O. Spatial and temporal microscale pH change at the soil-biochar interface. Geoderma 2018, 331, 50–52. [Google Scholar] [CrossRef]
- Han, L.; Sun, K.; Yang, Y.; Xia, X.; Li, F.; Yang, Z.; Xing, B. Biochar’s stability and effect on the content, composition and turnover of soil organic carbon. Geoderma 2020, 364, 114184. [Google Scholar] [CrossRef]
- Zhang, Q.; Song, Y.; Wu, Z.; Yan, X.; Gunina, A.; Kuzyakov, Y.; Xiong, Z. Effects of six-year biochar amendment on soil aggregation, crop growth, and nitrogen and phosphorus use efficiencies in a rice-wheat rotation. J. Clean. Prod. 2020, 242, 118435. [Google Scholar] [CrossRef]
- Jastrow, J.D.; Miller, R.M.; Lussenhop, J. Contributions of interacting biological mechanisms to soil aggregate stabilization in restored prairie. Soil Biol. Biochem. 1998, 30, 905–916. [Google Scholar] [CrossRef]
- Kamran, M.; Huang, L.; Nie, J.; Geng, M.; Lu, Y.; Liao, Y.; Zhou, F.; Xu, Y. Effect of reduced mineral fertilization (NPK) combined with green manure on aggregate stability and soil organic carbon fractions in a fluvo-aquic paddy soil. Soil Tillage Res. 2021, 211, 105005. [Google Scholar] [CrossRef]
- Zhao, M.; Zhou, J.; Kalbitz, K. Carbon Mineralization and Properties of Water-Extractable Organic Carbon in Soils of the South Loess Plateau in China. Eur. J. Soil Biol. 2008, 44, 158. [Google Scholar] [CrossRef]
- Sun, Q.; Yang, X.; Bao, Z.; Gao, J.; Meng, J.; Han, X.; Lan, Y.; Liu, Z.; Chen, W. Responses of microbial necromass carbon and microbial community structure to straw- and straw-derived biochar in brown earth soil of Northeast China. Front. Microbiol. 2022, 13, 967746. [Google Scholar] [CrossRef]
- Yang, X.; Wang, D.; Lan, Y.; Meng, J.; Jiang, L.; Sun, Q.; Cao, D.; Sun, Y.; Chen, W. Labile organic carbon fractions and carbon pool management index in a 3-year field study with biochar amendment. J. Soils Sediments 2017, 18, 1569–1578. [Google Scholar] [CrossRef]
- Dong, X.; Singh, B.P.; Li, G.; Lin, Q.; Zhao, X.; Aitkenhead, M. Biochar has little effect on soil dissolved organic carbon pool 5 years after biochar application under field condition. Soil Use Manag. 2019, 35, 466–477. [Google Scholar] [CrossRef]
- Zimmerman, A.R. Abiotic and microbial oxidation of laboratory-produced black carbon (biochar). Environ. Sci. Technol. 2010, 44, 1295–1301. [Google Scholar] [CrossRef]
- Mandal, S.; Sarkar, B.; Bolan, N.; Novak, J.; Ok, Y.S.; Van Zwieten, L.; Singh, B.P.; Kirkham, M.B.; Choppala, G.; Spokas, K.; et al. Designing advanced biochar products for maximizing greenhouse gas mitigation potential. Crit. Rev. Environ. Sci. Technol. 2016, 46, 1367–1401. [Google Scholar] [CrossRef]
- Leng, L.; Xu, X.; Wei, L.; Fan, L.; Huang, H.; Li, J.; Lu, Q.; Li, J.; Zhou, W. Biochar stability assessment by incubation and modelling: Methods, drawbacks and recommendations. Sci. Total Environ. 2019, 664, 11–23. [Google Scholar] [CrossRef]
- Major, J.; Lehmann, J.; Rondon, M.; Goodale, C. Fate of soil-applied black carbon: Downward migration, leaching and soil respiration. Glob. Change Biol. 2010, 16, 1366–1379. [Google Scholar] [CrossRef]
- Yin, Y.-f.; He, X.-h.; Gao, R.; Ma, H.-l.; Yang, Y.-s. Effects of Rice Straw and Its Biochar Addition on Soil Labile Carbon and Soil Organic Carbon. J. Integr. Agric. 2014, 13, 491–498. [Google Scholar] [CrossRef]
- Dai, W.; Bao, Z.; Meng, J.; Chen, T.; Zhang, W.; Chen, Y.; Lin, L.; Su, X.; Jiang, X. Biochar incorporation increases grain yield, net ecosystem CO2 exchange, and decreases CH4 emissions in an alternate wetting and drying paddy ecosystem. Environ. Technol. Innov. 2024, 34, 103577. [Google Scholar] [CrossRef]
- Liang, Q.; Chen, H.; Gong, Y.; Fan, M.; Yang, H.; Lal, R.; Kuzyakov, Y. Effects of 15 years of manure and inorganic fertilizers on soil organic carbon fractions in a wheat-maize system in the North China Plain. Nutr. Cycl. Agroecosystems 2012, 92, 21–33. [Google Scholar] [CrossRef]
- Hale, L.; Luth, M.; Crowley, D. Biochar characteristics relate to its utility as an alternative soil inoculum carrier to peat and vermiculite. Soil Biol. Biochem. 2015, 81, 228–235. [Google Scholar] [CrossRef]
- Oladele, S.O.; Adetunji, A.T. Agro-residue biochar and N fertilizer addition mitigates CO2-C emission and stabilized soil organic carbon pools in a rain-fed agricultural cropland. Int. Soil Water Conserv. Res. 2021, 9, 76–86. [Google Scholar] [CrossRef]
- Yang, C.; Yang, L.; Ouyang, Z. Organic carbon and its fractions in paddy soil as affected by different nutrient and water regimes. Geoderma 2005, 124, 133–142. [Google Scholar] [CrossRef]
- Abiven, S.; Hund, A.; Martinsen, V.; Cornelissen, G. Biochar amendment increases maize root surface areas and branching: A shovelomics study in Zambia. Plant Soil 2015, 395, 45–55. [Google Scholar] [CrossRef]
- Burrell, L.D.; Zehetner, F.; Rampazzo, N.; Wimmer, B.; Soja, G. Long-term effects of biochar on soil physical properties. Geoderma 2016, 282, 96–102. [Google Scholar] [CrossRef]
- Christensen, B.T. Physical fractionation of soil and structural and functional complexity in organic matter turnover. Eur. J. Soil Sci. 2001, 52, 345–353. [Google Scholar] [CrossRef]
- Jiang, M.; Li, C.; Gao, W.; Cai, K.; Tang, Y.; Cheng, J. Comparison of long-term effects of biochar application on soil organic carbon and its fractions in two ecological sites in karst regions. Geoderma Reg. 2022, 28, e00477. [Google Scholar] [CrossRef]
- Liang, C.; Schimel, J.P.; Jastrow, J.D. The importance of anabolism in microbial control over soil carbon storage. Nat. Microbiol. 2017, 2, 17105. [Google Scholar] [CrossRef]
- Sokol, N.W.; Bradford, M.A. Microbial formation of stable soil carbon is more efficient from belowground than aboveground input. Nat. Geosci. 2019, 12, 46–53. [Google Scholar] [CrossRef]










| Soil Properties | Biochar Properties | ||
|---|---|---|---|
| TOC (g kg−1) | 12.96 | TOC (g kg−1) | 660.33 |
| TN (g kg−1) | 0.78 | TN (g kg−1) | 16.93 |
| CEC (cmol kg−1) | 11.12 | CEC (cmol kg−1) | 44.19 |
| pH | 7.4 | pH | 9.35 |
| bulk density (g cm−3) | 1.5 | TK (g kg−1) | 10.13 |
| Silt (0.05–0.002 mm), % | 28.34 | C/N | 35.46 |
| Clay (<0.002 mm), % | 35.82 | SSA (m2 g−1) | 89.84 |
| Sand (2–0.05 mm), % | 35.84 | NH4+-N (mg kg−1) | 40.17 |
| Available P (mg kg−1) | 18.39 | NO3−-N (mg kg−1) | 15.96 |
| Exchangeable K (mg kg−1) | 81.28 | ||
| Irrigation Regimes | Continuous Flooding (CF) | Alternate Wetting and Drying (AWD) | |||
|---|---|---|---|---|---|
| Highest Water Depth (cm) | Lowest Water Depth (cm) | Highest Water Depth (cm) | Upper Threshold for Soil Water Potential (kPa) | Lower Threshold for Soil Water Potential (kPa) | |
| Recovery and initial tillering | 5 | 1 | 5 | 0 | 0 |
| Middle tillering | 5 | 1 | 3 | −5 | −10 |
| Late tillering | 5 | 1 | 0 | −25 | −35 |
| Jointing–booting | 5 | 1 | 3 | −5 | −10 |
| Heading–flowering | 5 | 1 | 3 | −5 | −10 |
| Milky ripening | 5 | 1 | 3 | −10 | −20 |
| Yellow ripening | Naturally drying | Naturally drying | |||
| Year | ANOVA | Total N | Total P | NH4+-N | NO3−-N | Available P | Available K |
|---|---|---|---|---|---|---|---|
| 2021 | I | 0.0 ns | 104.1 ** | 28.1 * | 320.3 ** | 30.6 * | 15.2 * |
| B | 12.1 * | 30.0 ** | 8.6 * | 15.1 * | 14.8 * | 228.9 ** | |
| I × B | 2.7 ns | 6.9 ns | 0.2 ns | 0.9 ns | 0.0 ns | 50.9 ** | |
| 2022 | I | 0.5 ns | 46.6 * | 14.7 * | 38.1 * | 22.0 * | 10.6 * |
| B | 35.9 ** | 34.6 ** | 33.9 ** | 9.2 * | 25.8 ** | 289.5 ** | |
| I × B | 3.5 ns | 7.2 ns | 1.0 ns | 0.4 ns | 0.1 ns | 63.5 ** |
| Year | Soil Depth (cm) | ANOVA | SOC | DOC | MBC | EOC | LFOC | POC |
|---|---|---|---|---|---|---|---|---|
| 2021 | 0–10 | I | 2.1 ns | 37.1 * | 184.4 ** | 29.4 * | 133.3 ** | 9.4 ns |
| B | 63.9 ** | 54.5 ** | 9.1 * | 10.0 * | 510.3 ** | 187.7 ** | ||
| I × B | 1.8 ns | 8. 9 * | 2.7 ns | 2.6 ns | 20.3 * | 59.0 ** | ||
| 10–20 | I | 0. 5 ns | 0.0 ns | 23.3 * | 0.1 ns | 12.5 ns | 0.96 ns | |
| B | 61.1 ** | 13.2 * | 33.8 ** | 22.6 * | 61.5 ** | 112.5 ** | ||
| I × B | 0.3 ns | 1.2 ns | 1.5 ns | 0.7 ns | 3.7 ns | 75.5 ** | ||
| 20–40 | I | 3.5 ns | 3.7 ns | 0.1 ns | 0.6 ns | 3.8 ns | 0.4 ns | |
| B | 0.1 ns | 1.3 ns | 0.6 ns | 3.1 ns | 7.0 ns | 2.9 ns | ||
| I × B | 0.8 ns | 0.9 ns | 0.4 ns | 3.6 ns | 3.3 ns | 1.0 ns | ||
| 2022 | 0–10 | I | 0.5 ns | 32.2 * | 35.7 * | 57.8 * | 24.5 * | 2.3 ns |
| B | 102.7 ** | 20.0 * | 9.4 * | 9.6 * | 533.9 ** | 472.0 ** | ||
| I × B | 2.5 ns | 0.1 ns | 1.8 ns | 0.6 ns | 7.5 ns | 10.2 * | ||
| 10–20 | I | 1.3 ns | 0.7 ns | 61.8 * | 0.1 ns | 0.6 ns | 0.4 ns | |
| B | 17.3 * | 24.2 * | 67.9 ** | 11.2 * | 99.7 ** | 12.7 * | ||
| I × B | 0.7 ns | 1.2 ns | 0.1 ns | 0.0 ns | 0.0 ns | 0.0 ns | ||
| 20–40 | I | 1.4 ns | 2.3 ns | 3.1 ns | 0.0 ns | 4.7 ns | 0.4 ns | |
| B | 0.1 ns | 3.0 ns | 2.1 ns | 0.4 ns | 0.3 ns | 1.8 ns | ||
| I × B | 0.7 ns | 0.3 ns | 0.0 ns | 0.7 ns | 0.1 ns | 2.7 ns |
| Year | Soil Depth (cm) | ANOVA | L | LI | CPI | CMPI |
|---|---|---|---|---|---|---|
| 2021 | 0–10 | I | 96.8 * | 53.2 * | 1.0 ns | 181.8 ** |
| B | 95.8 ** | 115.9 ** | 512.4 ** | 32.7 ** | ||
| I × B | 1.8 ns | 2.5 ns | 14.3 * | 20.5 * | ||
| 10–20 | I | 3.4 ns | 3.5 ns | 5.1 ns | 0.6 ns | |
| B | 2.5 ns | 2.3 ns | 78.0 ** | 193.0 ** | ||
| I × B | 0.6 ns | 0.7 ns | 0.4 ns | 6.8 ns | ||
| 20–40 | I | 0.5 ns | 0.3 ns | 7.8 ns | 5.3 ns | |
| B | 3.3 ns | 3.7 ns | 0.6 ns | 5.2 ns | ||
| I × B | 2.3 ns | 2.1 ns | 11.3 ns | 4.8 ns | ||
| 2022 | 0–10 | I | 115.8 ** | 172.3 ** | 0.5 ns | 88.4 * |
| B | 31.5 ** | 35.0 ** | 111.4 ** | 1.9 ns | ||
| I × B | 5.7 ns | 6.7 ns | 2.7 ns | 1.5 ns | ||
| 10–20 | I | 0.0 ns | 0.0 ns | 1.2 ns | 0.2 ns | |
| B | 1.2 ns | 1.5 ns | 17.7 * | 9.1 * | ||
| I × B | 0.8 ns | 0.6 ns | 0.7 ns | 0.1 ns | ||
| 20–40 | I | 0.2 ns | 0.3 ns | 1.3 ns | 0.1 ns | |
| B | 0.4 ns | 0.6 ns | 0.1 ns | 0.6 ns | ||
| I × B | 1.3 ns | 1.4 ns | 0.7 ns | 1.0 ns |
Disclaimer/Publisher’s Note: The statements, opinions and data contained in all publications are solely those of the individual author(s) and contributor(s) and not of MDPI and/or the editor(s). MDPI and/or the editor(s) disclaim responsibility for any injury to people or property resulting from any ideas, methods, instructions or products referred to in the content. |
© 2025 by the authors. Licensee MDPI, Basel, Switzerland. This article is an open access article distributed under the terms and conditions of the Creative Commons Attribution (CC BY) license (https://creativecommons.org/licenses/by/4.0/).
Share and Cite
Dai, W.; Bao, Z.; Meng, J.; Chen, T.; Liang, X. Biochar Makes Soil Organic Carbon More Labile, but Its Carbon Sequestration Potential Remains Large in an Alternate Wetting and Drying Paddy Ecosystem. Agronomy 2025, 15, 1547. https://doi.org/10.3390/agronomy15071547
Dai W, Bao Z, Meng J, Chen T, Liang X. Biochar Makes Soil Organic Carbon More Labile, but Its Carbon Sequestration Potential Remains Large in an Alternate Wetting and Drying Paddy Ecosystem. Agronomy. 2025; 15(7):1547. https://doi.org/10.3390/agronomy15071547
Chicago/Turabian StyleDai, Wanning, Zhengrong Bao, Jun Meng, Taotao Chen, and Xiao Liang. 2025. "Biochar Makes Soil Organic Carbon More Labile, but Its Carbon Sequestration Potential Remains Large in an Alternate Wetting and Drying Paddy Ecosystem" Agronomy 15, no. 7: 1547. https://doi.org/10.3390/agronomy15071547
APA StyleDai, W., Bao, Z., Meng, J., Chen, T., & Liang, X. (2025). Biochar Makes Soil Organic Carbon More Labile, but Its Carbon Sequestration Potential Remains Large in an Alternate Wetting and Drying Paddy Ecosystem. Agronomy, 15(7), 1547. https://doi.org/10.3390/agronomy15071547

