Applicability of Evapotranspiration Models and Water Consumption Characteristics Across Different Croplands
Abstract
1. Introduction
2. Materials and Methods
2.1. Study Site
2.2. Field Experiment Design
2.3. Statistical Analysis
2.3.1. Taylor Analysis
2.3.2. Mann–Kendall (MK) Test
2.3.3. Morlet Wavelet Analysis
3. Results
3.1. The Applicability of the Method for Reference Crop Evapotranspiration
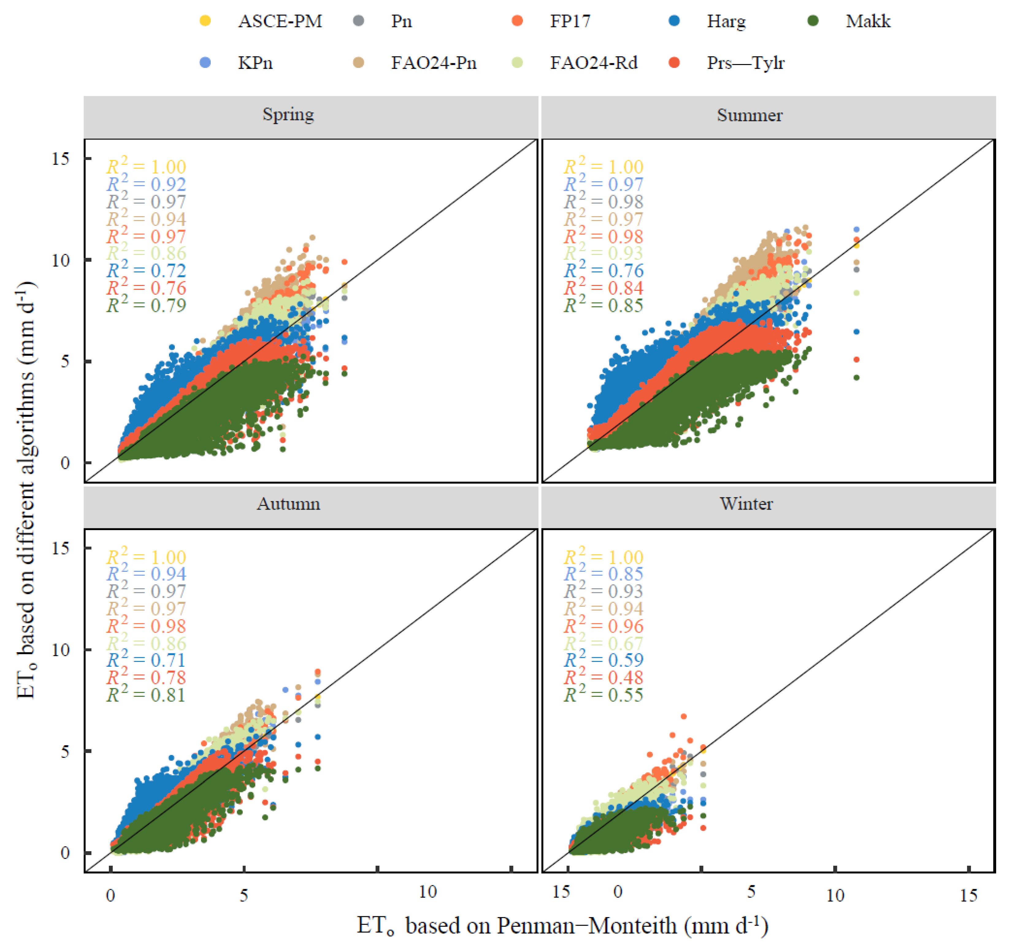
3.1.1. Applicability on a Daily Scale
3.1.2. Applicability on Seasonal Scale
3.2. Evapotranspiration Characteristics of Crops at Different Growth Stages Based on Water Balance
3.3. Interannual Variation Characteristics of Evapotranspiration in Cropland Under Climate Fluctuation
4. Discussion
4.1. Comparison of Calculation Methods for Reference Crop Evapotranspiration in the Loess Plateau
4.2. Evapotranspiration Based on Field Measurements
4.3. Changes in Field Evapotranspiration of Spring Maize and Winter Wheat with Climate Fluctuations
4.4. Uncertainty Analysis of Research Methods
5. Conclusions
Author Contributions
Funding
Data Availability Statement
Acknowledgments
Conflicts of Interest
References
- Chen, H.; Razaqpur, A.G.; Wei, Y.; Huang, J.J.; Li, H.; McBean, E. Estimation of global land surface evapotranspiration and its trend using a surface energy balance constrained deep learning model. J. Hydrol. 2023, 627, 130224. [Google Scholar] [CrossRef]
- Zhang, L.; Marshall, M.; Vrieling, A.; Nelson, A. The divergence of energy-and water-balance evapotranspiration estimates in humid regions. J. Hydrol. 2023, 624, 129971. [Google Scholar] [CrossRef]
- Amani, S.; Shafizadeh-Moghadam, H. A review of machine learning models and influential factors for estimating evapotranspiration using remote sensing and ground-based data. Agric. Water Manag. 2023, 284, 108324. [Google Scholar] [CrossRef]
- Liu, W.; Zhang, B.; Wei, Z.; Wang, Y.; Tong, L.; Guo, J.; Han, X.; Han, C. Heterogeneity analysis of main driving factors affecting potential evapotranspiration changes across different climate regions. Sci. Total Environ. 2024, 912, 168991. [Google Scholar] [CrossRef]
- Adeyeri, O.E.; Zhou, W.; Ndehedehe, C.E.; Wang, X. Global vegetation, moisture, thermal and climate interactions intensify compound extreme events. Sci. Total Environ. 2024, 912, 169261. [Google Scholar] [CrossRef]
- Pluntke, T.; Bernhofer, C.; Grünwald, T.; Renner, M.; Prasse, H. Long-term climatological and ecohydrological analysis of a paired catchment–flux tower observatory near Dresden (Germany). Is there evidence of climate change in local evapotranspiration? J. Hydrol. 2023, 617, 128873. [Google Scholar] [CrossRef]
- Liu, Z.; Cammarano, D.; Liu, X.; Tian, Y.; Zhu, Y.; Cao, W.; Cao, Q. Winter wheat yield responses to growing degree days: Long-term trends and adaptability in major producing areas of China. Ecol. Indic. 2025, 170, 113058. [Google Scholar] [CrossRef]
- Yu, Y.; You, Q.; Zuo, Z.; Zhang, Y.; Cai, Z.; Li, W.; Jiang, Z.; Ullah, S.; Tang, X.; Zhang, R.; et al. Compound climate extremes in China: Trends, causes, and projections. Atmos. Res. 2023, 286, 106675. [Google Scholar] [CrossRef]
- Li, L.; Yao, N.; Li, Y.; Li Liu, D.; Wang, B.; Ayantobo, O.O. Future projections of extreme temperature events in different sub-regions of China. Atmos. Res. 2019, 217, 150–164. [Google Scholar] [CrossRef]
- Howitt, R.E.; MacEwan, D.; Medellín-Azuara, J.; Lund, J.R. Economic Modeling of Agriculture and Water in California Using the Statewide Agricultural Production Model; University of California: Davis, CA, USA, 2010. [Google Scholar]
- Van Dijk, A.I.; Beck, H.E.; Crosbie, R.S.; De Jeu, R.A.; Liu, Y.Y.; Podger, G.M.; Timbal, B.; Viney, N.R. The Millennium Drought in southeast Australia (2001–2009): Natural and human causes and implications for water resources, ecosystems, economy, and society. Water Resour. Res. 2013, 49, 1040–1057. [Google Scholar] [CrossRef]
- Arts, B.; De Koning, J. Community forest management: An assessment and explanation of its performance through QCA. World Dev. 2017, 96, 315–325. [Google Scholar] [CrossRef]
- Islam, R.; Reeder, R. No-till and conservation agriculture in the United States: An example from the David Brandt farm, Carroll, Ohio. Int. Soil Water Conserv. Res. 2014, 2, 97–107. [Google Scholar] [CrossRef]
- Asseng, S.; Ewert, F.; Rosenzweig, C.; Jones, J.W.; Hatfield, J.L.; Ruane, A.C.; Boote, K.J.; Thorburn, P.J.; Rötter, R.P.; Cammarano, D.; et al. Uncertainty in simulating wheat yields under climate change. Nat. Clim. Change 2013, 3, 827–832. [Google Scholar] [CrossRef]
- Chang, Y.; Ding, Y.; Zhang, S.; Qin, J.; Zhao, Q. Variations and drivers of evapotranspiration in the Tibetan Plateau during 1982–2015. J. Hydrol. Reg. Stud. 2023, 47, 101366. [Google Scholar] [CrossRef]
- Mai, M.; Qiu, X.F.; Zeng, Y. Distribution characteristics of actual evapotranspiration on crop fields in Western China. Chin. J. Agrometeorol. 2004, 25, 28–32. [Google Scholar]
- Tysa, S.K.; Ren, G.; Zhang, P.; Zhang, S. Impact of urbanization on regional extreme precipitation trends observed at China national station network. Weather. Clim. Extrem. 2025, 48, 100760. [Google Scholar] [CrossRef]
- Liu, X.; Xu, Y.; Sun, S.; Wu, P.; Wang, Y. Water resource efficiency evaluation of crop production in arid and semi-arid regions based on water footprint and comparative advantage. Eur. J. Agron. 2024, 160, 127310. [Google Scholar] [CrossRef]
- Penman, H.L. Natural evaporation from open water, bare soil and grass. Proc. R. Soc. Lond. Ser. A Math. Phys. Sci. 1948, 193, 120–145. [Google Scholar]
- He, C.; Wang, Y.; Yan, F.; Lu, Q. Spatiotemporal characteristics and influencing factors of vegetation water use efficiency on the Tibetan Plateau in 2001–2020. J. Geogr. Sci. 2025, 35, 39–64. [Google Scholar] [CrossRef]
- Allen, R.G.; Pruitt, W.O.; Wright, J.L.; Howell, T.A.; Ventura, F.; Snyder, R.; Itenfisu, D.; Steduto, P.; Berengena, J.; Yrisarry, J.B.; et al. A recommendation on standardized surface resistance for hourly calculation of reference ETo by the FAO56 Penman-Monteith method. Agric. Water Manag. 2006, 81, 1–22. [Google Scholar] [CrossRef]
- Allen, R.G.; Wright, J.L. Variation Within Measured and Estimated Consumptive Use Requirements; American Society of Civil Engineers: New York, NY, USA, 1983. [Google Scholar]
- Qin, S.; Li, S.; Cheng, L.; Zhang, L.; Qiu, R.; Liu, P.; Xi, H. Partitioning evapotranspiration in partially mulched interplanted croplands by improving the Shuttleworth-Wallace model. Agric. Water Manag. 2023, 276, 108040. [Google Scholar] [CrossRef]
- Beegum, S.; Sun, W.; Timlin, D.; Wang, Z.; Fleisher, D.; Reddy, V.R.; Ray, C. Incorporation of carbon dioxide production and transport module into a Soil-Plant-Atmosphere continuum model. Geoderma 2023, 437, 116586. [Google Scholar] [CrossRef]
- Parlange, M.B.; Katul, G.G. An advection-aridity evaporation model. Water Resour. Res. 1992, 28, 127–132. [Google Scholar] [CrossRef]
- Hobbins, M.T.; Ramírez, J.A.; Brown, T.C.; Claessens, L.H. The complementary relationship in estimation of regional evapotranspiration: The complementary relationship areal evapotranspiration and advection-aridity models. Water Resour. Res. 2001, 37, 1367–1387. [Google Scholar] [CrossRef]
- Raza, A.; Al-Ansari, N.; Hu, Y.; Acharki, S.; Vishwakarma, D.K.; Aghelpour, P.; Zubair, M.; Wandolo, C.A.; Elbeltagi, A. Misconceptions of reference and potential evapotranspiration: A PRISMA-guided comprehensive review. Hydrology 2022, 9, 153. [Google Scholar] [CrossRef]
- Zhao, S.; Zhang, H.; Feng, S.; Fu, Q. Simulating direct effects of dust aerosol on arid and semi-arid regions using an aerosol–climate coupled system. Int. J. Climatol. 2015, 35, 1858–1866. [Google Scholar] [CrossRef]
- Lu, J.; Sun, G.; McNulty, S.G.; Amatya, D.M. A comparison of six potential evapotranspiration methods for regional use in the southeastern United States. J. Am. Water Resour. Assoc. 2005, 41, 621–633. [Google Scholar] [CrossRef]
- Xu, C.; Singh, V. Cross comparison of empirical equations for calculating potential evapotranspiration with data from Switzerland. Water Resour. Manag. 2002, 16, 197–219. [Google Scholar] [CrossRef]
- Azhar, A.H.; Perera, B. Evaluation of reference evapotranspiration estimation methods under southeast Australian conditions. J. Irrig. Drain. Eng. 2011, 137, 268–279. [Google Scholar] [CrossRef]
- Milly, P.C.; Dunne, K.A. Potential evapotranspiration and continental drying. Nat. Clim. Change 2016, 6, 946–949. [Google Scholar] [CrossRef]
- Zhang, J. The Water Consumption Characteristics and Model Simulation of Agroforestry Ecosystem in Loess Plateau; Northwest A&F University: Xianyang, China, 2022. [Google Scholar]
- Almorox, J.; Quej, V.H.; Martí, P. Global performance ranking of temperature-based approaches for evapotranspiration estimation considering Köppen climate classes. J. Hydrol. 2015, 528, 514–522. [Google Scholar] [CrossRef]
- Irmak, S.; Howell, T.; Allen, R.; Payero, J.; Martin, D. Standardized ASCE Penman-Monteith: Impact of sum-of-hourly vs. 24-hour timestep computations at reference weather station sites. Trans. ASAE 2005, 48, 1063–1077. [Google Scholar] [CrossRef]
- Afshar, M.H.; Bulut, B.; Duzenli, E.; Amjad, M.; Yilmaz, M. Global spatiotemporal consistency between meteorological and soil moisture drought indices. Agric. For. Meteorol. 2022, 316, 108848. [Google Scholar] [CrossRef]
- Tesfaye, S.; Taye, G.; Birhane, E.; van der Zee, S.E. Spatiotemporal variability of ecosystem water use efficiency in northern Ethiopia during 1982–2014. J. Hydrol. 2021, 603, 126863. [Google Scholar] [CrossRef]
- Allen, R.G.; Pereira, L.S.; Raes, D.; Smith, M. Crop Evapotranspiration-Guidelines for Computing Crop Water Requirements-FAO Irrigation and Drainage Paper 56; FAO: Rome, Italy, 1998; Volume 300, p. D05109. [Google Scholar]
- Wang, S.Y.; Wang, L.; Han, X.; Zhang, L.S. Evapotranspiration characteristics of apple orchard at peak period of fruiting in Loess Tableland. Sci. Silvae Sin. 2016, 52, 128–135. [Google Scholar]
- Guo, S.; Zhu, H.; Dang, T.; Wu, J.; Liu, W.; Hao, M.; Li, Y.; Syers, J.K. Winter wheat grain yield associated with precipitation distribution under long-term nitrogen fertilization in the semiarid Loess Plateau in China. Geoderma 2012, 189, 442–450. [Google Scholar] [CrossRef]
- Taylor, K.E. Summarizing multiple aspects of model performance in a single diagram. J. Geophys. Res. Atmos. 2001, 106, 7183–7192. [Google Scholar] [CrossRef]
- Lv, M.Q.; Chen, J.L.; Mirza, Z.A.; Chen, C.D.; Wen, Z.F.; Jiang, Y.; Ma, M.-H.; Wu, S.-J. Spatial distribution and temporal variation of reference evapotranspiration in the Three Gorges Reservoir area during 1960–2013. Int. J. Climatol. 2016, 36, 4497–4511. [Google Scholar] [CrossRef]
- Han, J.; Wang, J.; Zhao, Y.; Wang, Q.; Zhang, B.; Li, H.; Zhai, J. Spatio-temporal variation of potential evapotranspiration and climatic drivers in the Jing-Jin-Ji region, North China. Agric. For. Meteorol. 2018, 256, 75–83. [Google Scholar] [CrossRef]
- Fan, J.; Shao, M.; Wang, Q. Comparison of many equations for calculating reference evapotranspiration in the Loess Plateau of China. Trans. Chin. Soc. Agric. Eng. 2008, 24, 98–102. [Google Scholar]
- Priestley, C.H.B.; Taylor, R.J. On the assessment of surface heat flux and evaporation using large-scale parameters. Mon. Weather Rev. 1972, 100, 81–92. [Google Scholar] [CrossRef]
- Tongwane, M.I.; Savage, M.J.; Tsubo, M.; Moeletsi, M.E. Seasonal variation of reference evapotranspiration and Priestley-Taylor coefficient in the eastern Free State, South Africa. Agric. Water Manag. 2017, 187, 122–130. [Google Scholar] [CrossRef]
- Trajkovic, S.; Kolakovic, S. Evaluation of reference evapotranspiration equations under humid conditions. Water Resour. Manag. 2009, 23, 3057–3067. [Google Scholar] [CrossRef]
- Yonaba, R.; Tazen, F.; Cissé, M.; Mounirou, L.A.; Belemtougri, A.; Ouedraogo, V.A.; Koïta, M.; Niang, D.; Karambiri, H.; Yacouba, H. Trends, sensitivity and estimation of daily reference evapotranspiration ET0 using limited climate data: Regional focus on Burkina Faso in the West African Sahel. Theor. Appl. Climatol. 2023, 153, 947–974. [Google Scholar] [CrossRef]
- Li, S.; Kang, S.; Zhang, L.; Zhang, J.; Du, T.; Tong, L.; Ding, R. Evaluation of six potential evapotranspiration models for estimating crop potential and actual evapotranspiration in arid regions. J. Hydrol. 2016, 543, 450–461. [Google Scholar] [CrossRef]
- Ding, D.; Feng, H.; Zhao, Y.; Liu, W.; Chen, H.; He, J. Impact assessment of climate change and later-maturing cultivars on winter wheat growth and soil water deficit on the Loess Plateau of China. Clim. Change 2016, 138, 157–171. [Google Scholar] [CrossRef]
- Zhang, J.; Wang, L.; Cheng, G.; Jia, L. Characteristics of water supply and demand in an agroforestry ecosystem under long-term continuous cropping assessed using the RZWQM2 model. Agric. Water Manag. 2025, 307, 109245. [Google Scholar] [CrossRef]












| Items | Value | Items | Value |
|---|---|---|---|
| Mean precipitation | 584 mm | Annual accumulated temperature | 2994 °C |
| Maximum precipitation | 813 mm | Frost-free period | 171 d |
| Minimum precipitation | 370 mm | Annual sunshine hours | 2230 h |
| Mean temperature | 9.1 °C | Sunshine rate | 51% |
| Maximum temperature | 36.9 °C | Annual radiation | 4837 kJ m−2 |
| Minimum temperature | −24.9 °C | Annual potential evapotranspiration | 1017 mm |
| Season | Sring | Summer | Autumn | Winter | ||
|---|---|---|---|---|---|---|
| S | ||||||
| Algorithms | ||||||
| ASCE-PM | 1.00 | 1.00 | 1.00 | 1.00 | ||
| Pn | 0.98 | 0.99 | 0.99 | 0.97 | ||
| KPn | 0.96 | 0.98 | 0.95 | 0.84 | ||
| FP17 | 0.95 | 0.95 | 0.98 | 0.97 | ||
| FAO24-Pn | 0.89 | 0.86 | 0.95 | 0.97 | ||
| Prs–Tylr | 0.87 | 0.92 | 0.89 | 0.47 | ||
| Makk | 0.86 | 0.90 | 0.89 | 0.68 | ||
| FAO24-Rd | 0.85 | 0.88 | 0.86 | 0.81 | ||
| Harg | 0.85 | 0.80 | 0.85 | 0.64 | ||
| Crop Species | Phenology | ETc act/mm | Iwc/mm d−1 | M/% | ETo/mm | Kc act |
|---|---|---|---|---|---|---|
| Sowing–overwintering period | 189.87 ± 82.67 | 1.17 ± 0.39 | 29.38 ± 18.07 | 226.65 ± 20.82 | 0.84 | |
| Rejuvenation period | 15.69 ± 7.19 | 1.04 ± 0.74 | 4.00 ± 2.33 | 41.39 ± 11.62 | 0.38 | |
| Rising period | 36.17 ± 15.78 | 1.74 ± 0.73 | 9.26 ± 5.45 | 55.64 ± 13.92 | 0.65 | |
| Winter | Jointing stage | 47.51 ± 20.57 | 2.52 ± 0.89 | 12.30 ± 7.79 | 50.70 ± 17.17 | 0.94 |
| wheat | Booting stage | 42.53 ± 0.40 | 2.84 ± 0.03 | 10.44 ± 1.90 | 57.72 ± 2.48 | 0.74 |
| Heading stage | 49.88 ± 16.47 | 3.61 ± 0.50 | 12.71 ± 6.56 | 59.41 ± 14.13 | 0.84 | |
| Grouting period | 46.87 ± 21.09 | 3.31 ± 1.09 | 11.99 ± 7.08 | 66.81 ± 14.13 | 0.7 | |
| Harvest period | 45.31 ± 61.10 | 2.24 ± 1.66 | 9.95 ± 13.31 | 58.41 ± 61.94 | 0.78 | |
| Sowing | 10.2 ± 8.34 | 1.77 ± 1.29 | 2.89 ± 2.58 | 22.65 ± 2.00 | 0.45 | |
| Seeding stage | 26.58 ± 4.13 | 1.06 ± 0.17 | 7.24 ± 1.98 | 96.62 ± 10.39 | 0.28 | |
| Five leaf stage | 37.96 ± 12.65 | 1.43 ± 0.44 | 10.45 ± 4.65 | 115.25 ± 15.22 | 0.33 | |
| Spring | Jointing stage | 56.83 ± 32.42 | 2.30 ± 1.26 | 14.81 ± 6.90 | 107.85 ± 5.61 | 0.53 |
| maize | Tasseling stage | 19.73 ± 1.80 | 3.95 ± 0.36 | 5.35 ± 1.13 | 23.90 ± 10.83 | 0.83 |
| Silking | 152.01 ± 0.83 | 3.27 ± 0.03 | 41.04 ± 5.18 | 181.68 ± 23.81 | 0.84 | |
| Grouting period | 60.68 ± 45.78 | 2.67 ± 1.28 | 15.63 ± 10.38 | 48.76 ± 36.46 | 1.24 | |
| Harvest period | 9.31 ± 5.36 | 1.00 ± 0.64 | 2.60 ± 1.75 | 15.09 ± 1.00 | 0.62 |
Disclaimer/Publisher’s Note: The statements, opinions and data contained in all publications are solely those of the individual author(s) and contributor(s) and not of MDPI and/or the editor(s). MDPI and/or the editor(s) disclaim responsibility for any injury to people or property resulting from any ideas, methods, instructions or products referred to in the content. |
© 2025 by the authors. Licensee MDPI, Basel, Switzerland. This article is an open access article distributed under the terms and conditions of the Creative Commons Attribution (CC BY) license (https://creativecommons.org/licenses/by/4.0/).
Share and Cite
Zhang, J.; Wang, L.; Cheng, G.; Jia, L. Applicability of Evapotranspiration Models and Water Consumption Characteristics Across Different Croplands. Agronomy 2025, 15, 1441. https://doi.org/10.3390/agronomy15061441
Zhang J, Wang L, Cheng G, Jia L. Applicability of Evapotranspiration Models and Water Consumption Characteristics Across Different Croplands. Agronomy. 2025; 15(6):1441. https://doi.org/10.3390/agronomy15061441
Chicago/Turabian StyleZhang, Jing, Li Wang, Gong Cheng, and Liangliang Jia. 2025. "Applicability of Evapotranspiration Models and Water Consumption Characteristics Across Different Croplands" Agronomy 15, no. 6: 1441. https://doi.org/10.3390/agronomy15061441
APA StyleZhang, J., Wang, L., Cheng, G., & Jia, L. (2025). Applicability of Evapotranspiration Models and Water Consumption Characteristics Across Different Croplands. Agronomy, 15(6), 1441. https://doi.org/10.3390/agronomy15061441

