Optimization of Irrigation Parameters of Peanut Under Mulched Drip Irrigation in Xinjiang Based on Yield and Water Use Efficiency
Abstract
1. Introduction
2. Materials and Methods
2.1. Experimental Field
2.2. Peanut Cropping Patterns
2.3. Experimental Design
2.4. Measurement Items and Methods
2.4.1. Methods for Determining Soil Water Content
2.4.2. Measurement and Methods of Plant Growth Indexes
2.4.3. Yield Determination and Methods
2.4.4. Calculation of Crop Water Consumption
2.4.5. Calculation of Water Use Efficiency, Nitrogen Partial Factor Productivity
2.4.6. Quality
2.4.7. Meteorological Data
2.5. Principles of Principal Component Analysis (PCA)
- (a)
- Sample parameter selection
- (b)
- Standardization of sample parameters
- (c)
- Calculation of the matrix of correlation coefficients for standardized evaluation indicators:
- (d)
- Calculate the eigenvalues of the matrix R and the eigenvectors for each sample number:
- (e)
- Calculation of contribution rates using eigenvalues (Gr) and cumulative contribution (ACr):
- (f)
- Mathematical modeling based on PCA is defined by the following equations:
- (g)
- Determine the evaluation process based on a comprehensive evaluation index (Q):
2.6. Data Processing
3. Results
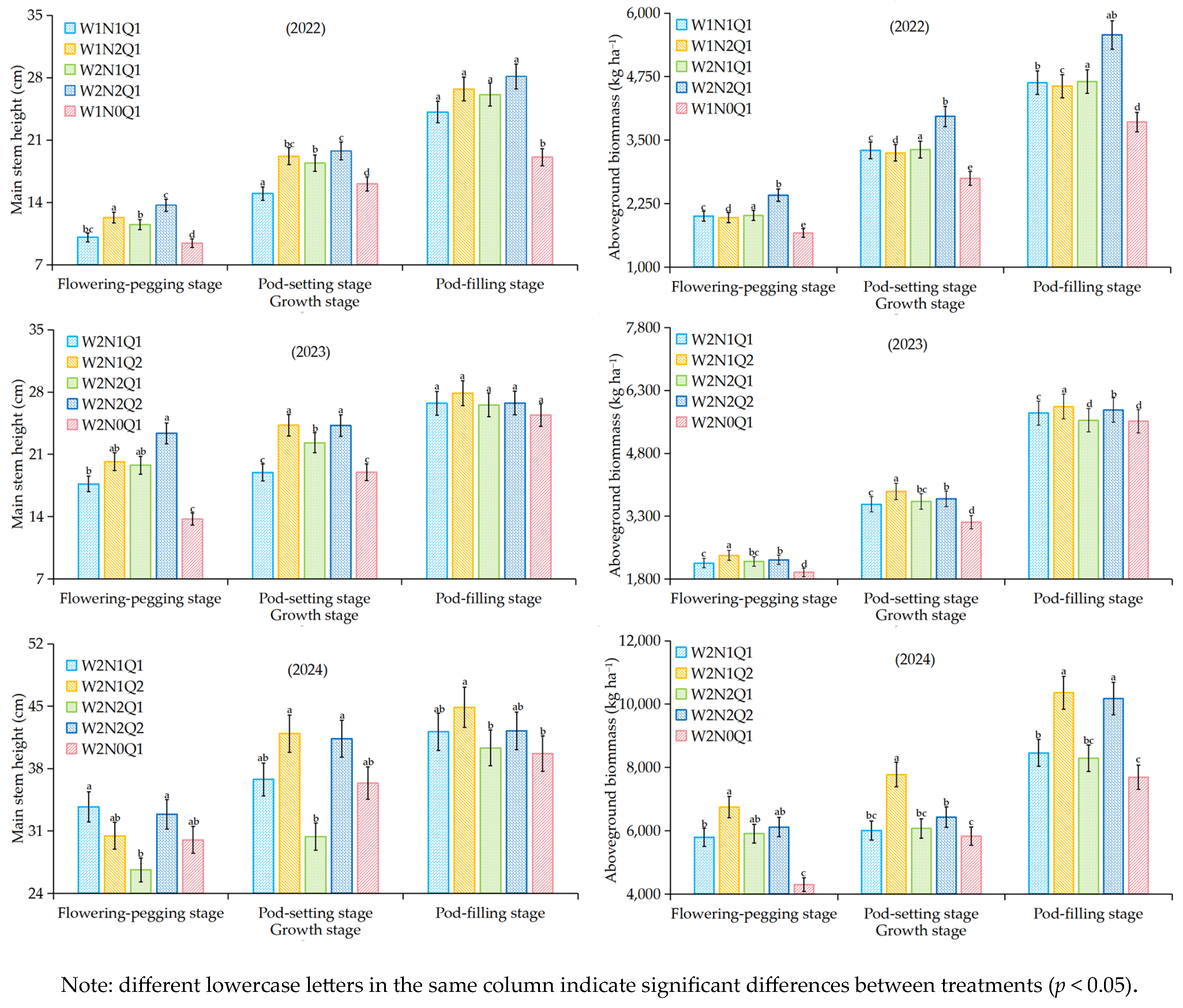
3.1. Effect of Irrigation and Fertilization Technical Parameters on Main Stem Height and Aboveground Biomass of Peanuts
3.2. Effect of Technical Parameters of Irrigation and Fertilization on Peanut Yield and Yield Component Indicators
3.3. Effect of Irrigation and Fertilization Parameters on Peanut Quality
3.4. Effects of Irrigation and Fertilization Parameters on Water Consumption (a), Water Use Efficiency (b), and Nitrogen Partial Factor Productivity (c) of Peanuts
3.5. Optimization of Irrigation and Fertilization Parameters Based on the Principal Component Analysis (PCA) Method
3.5.1. Principal Component Extraction
3.5.2. Principal Component Scores and Rankings
4. Discussion
4.1. Effects of Irrigation and Fertilization Technical Parameters on Peanut Growth Index
4.2. Effect of Technical Parameters of Irrigation and Fertilization on Peanut Yield
4.3. Effects of Irrigation and Fertilization Technical Parameters on Peanut Quality
4.4. Effect of Technical Parameters of Irrigation and Fertilization on Water and Nitrogen Use Efficiency in Peanut
4.5. Experience in Optimizing Field Experiment Parameters Based on Principal Component Analysis
5. Conclusions
Author Contributions
Funding
Data Availability Statement
Conflicts of Interest
References
- Shen, X.; Zhang, X.; Yao, B.; Li, Q.; Xue, Z.; Dong, J.; Yi, R. Effects of climate change on the suitable sowing dates for peanut under mulched drip irrigation in Xinjiang. Trans. Chin. Soc. Agric. Eng. 2023, 39, 107–115. [Google Scholar] [CrossRef]
- Wang, L.; Zhu, J.; Wang, R.; Hi, B.; Sang, Y.; Jiao, H. Research Progress in Breeding for Early Mutarity and Gene Mapping for Yield Traits of Peanut in China. J. Nucl. Agric. Sci. 2025, 39, 1178–1188. [Google Scholar]
- Geng, Q.; Zhao, Y.; Sun, S.; He, X.; Wang, D.; Wu, D.; Tian, Z. Spatio-temporal changes and its driving forces of irrigation water requirements for cotton in Xinjiang, China. Agric. Water Manag. 2023, 280, 108218. [Google Scholar] [CrossRef]
- Zhou, B.; Yang, L.; Chen, X.; Ye, S.; Peng, Y.; Liang, C. Effect of magnetic water irrigation on the improvement of salinized soil and cotton growth in Xinjiang. Agric. Water Manag. 2021, 248, 106784. [Google Scholar] [CrossRef]
- Ning, S.; Shi, J.; Zuo, Q.; Wang, S.; Ben-Gal, A. Generalization of the root length density distribution of cotton under film mulched drip irrigation. Field Crops Res. 2015, 177, 125–136. [Google Scholar] [CrossRef]
- Dai, J.; Dong, H. Intensive cotton farming technologies in China: Achievements, challenges and countermeasures. Field Crops Res. 2014, 155, 99–110. [Google Scholar] [CrossRef]
- Noya, I.; González-García, S.; Bacenetti, J.; Fiala, M.; Moreira, M.T. Environmental impacts of the cultivation-phase associated with agricultural crops for feed production. J. Clean. Prod. 2018, 172, 3721–3733. [Google Scholar] [CrossRef]
- Li, D.; Li, M.; Zhou, X.; Shen, X.; Zhao, Y. Influence of soil banding moisture uniformity on growth and water use efficiency of drip irrigated cotton under mulch. Trans. Chin. Soc. Agric. Eng. 2018, 34, 130–137. [Google Scholar] [CrossRef]
- Chalise, D.P.; Snider, J.L.; Hand, L.C.; Roberts, P.; Vellidis, G.; Ermanis, A.; Collins, G.D.; Lacerda, L.N.; Cohen, Y.; Pokhrel, A.; et al. Cultivar, irrigation management, and mepiquat chloride strategy: Effects on cotton growth, maturity, yield, and fiber quality. Field Crops Res. 2022, 286, 108633. [Google Scholar] [CrossRef]
- Sun, H.; Li, M.; Li, J.; Han, Q.; Feng, J.; Jia, Y. Influence of dripper discharge on cotton root distribution and water consumption under pot cultivation. J. Drain. Irrig. Mach. Eng. 2014, 32, 906–913. [Google Scholar] [CrossRef]
- El-Hafedh, A.V.O.M.; Daghari, H.; Maalej, M. Analysis of several discharge rate–spacing–duration combinations in drip irrigation system. Agric. Water Manag. 2001, 52, 33–52. [Google Scholar] [CrossRef]
- Li, D.; Li, M.; Liu, D.; Lv, M.; Jia, Y. Effects of soil wetting pattern on the soil water-thermal environment and cotton root water consumption under mulched drip irrigation. Chin. J. Appl. Ecol. 2015, 26, 2437–2444. [Google Scholar] [CrossRef]
- Xing, Y.; Zhang, F.; Zhang, Y.; Li, J.; Qiang, S.; Li, Z.; Gao, M. Irrigation and fertilization coupling of drip irrigation under plastic film promotes tomato’s nutrient uptake and growth. Trans. Chin. Soc. Agric. Eng. 2014, 30, 70–80. [Google Scholar] [CrossRef]
- Wang, X.; Xiang, Y.; Guo, J.; Tang, Z.; Zhao, S.; Wang, H.; Li, Z.; Zhang, F. Coupling effect analysis of drip irrigation and mixed slow-release nitrogen fertilizer on yield and physiological characteristics of winter wheat in Guanzhong area. Field Crops Res. 2023, 302, 109103. [Google Scholar] [CrossRef]
- Lei, H.; Jin, C.; Pan, H.; Xiao, Z.; Sun, K. Integrative Effects of Irrigation and Aeration on Root Morphology, Yield and Quality of Pepper. Trans. Chin. Soc. Agric. Mach. 2022, 53, 344–352. [Google Scholar] [CrossRef]
- Xia, G.; Luo, X.; Nie, X.; Zheng, J.; Chi, D. Effects of water deficit in different growth stages coupling with nitrogen application rates on photosynthetic traits and quality of peanuts. Trans. Chin. Soc. Agric. Eng. 2022, 38, 67–75. [Google Scholar] [CrossRef]
- Zhou, J.; Li, C.; Zhang, B.; Zhou, Q. Land use change of newly increased cultivated land at typical county under different geomorphic types in the Loess Plateau. Trans. Chin. Soc. Agric. Eng. 2023, 39, 254–260. [Google Scholar] [CrossRef]
- Chang, T.; Gu, X.; Cai, W.; Lu, S.; Zhen, X.; Li, W.; Cui, K. Effects of suitable fertilizer-N application rate and planting density on increasing yield, water and nitrogen use efficiency of winter wheat. Trans. Chin. Soc. Agric. Eng. 2023, 39, 56–68. [Google Scholar] [CrossRef]
- Dai, Y.; Fan, J.; Liao, Z.; Zhang, C.; Yu, J.; Feng, H.; Zhang, F.; Li, Z. Supplemental irrigation and modified plant density improved photosynthesis, grain yield and water productivity of winter wheat under ridge-furrow mulching. Agric. Water Manag. 2022, 274, 107985. [Google Scholar] [CrossRef]
- Li, Z.; Song, M.; Feng, H. Dynamic characteristics of leaf area index and plant height of winter wheat influenced by irrigation and nitrogen coupling and their relationships with yield. Trans. Chin. Soc. Agric. Eng. 2017, 33, 195–202. [Google Scholar] [CrossRef]
- Abdelghany, A.E.; Dou, Z.; Alashram, M.G.; Eltohamy, K.M.; Elrys, A.S.; Liu, X.; Wu, Y.; Cheng, M.; Fan, J.; Zhang, F. The joint application of biochar and nitrogen enhances fruit yield, quality and water-nitrogen productivity of water-stressed greenhouse tomato under drip fertigation. Agric. Water Manag. 2023, 290, 108605. [Google Scholar] [CrossRef]
- Xing, Y.; Zhang, F.; Zhang, Y.; Li, J.; Qiang, S.; Wu, L. Effect of Irrigation and Fertilizer Coupling on Greenhouse Tomato Yield, Quality, Water and Nitrogen Utilization Under Fertigation. Sci. Agric. Sin. 2015, 48, 713–726. [Google Scholar] [CrossRef]
- Wang, F.; Du, T.; Qiu, R. Deficit irrigation scheduling of greenhouse tomato based on quality principle component analysis. Trans. Chin. Soc. Agric. Eng. 2011, 27, 75–80. [Google Scholar] [CrossRef]
- He, R.; Tong, C.; Wang, J.; Qin, Z.; Zhen, Z.; Guo, S.; Wang, H.; Li, X. Effects of Water and Nitrogen Regulation on Growth, Water-fertilizer Use Efficiency and Soil Water-salt Distribution in Sunflower. J. Irrig. Drain. 2023, 42, 73–81. [Google Scholar] [CrossRef]
- Wu, P.; Jia, C.; Fan, S.; Sun, Y. Principal component analysis and fuzzy comprehensive evaluation of fruit quality in cultivars of cherry. Trans. Chin. Soc. Agric. Eng. 2018, 34, 291–300. [Google Scholar] [CrossRef]
- Wu, F.; Zhang, R.; Yin, Z.; Wang, H. Comprehensive quality evaluation of highbush blueberry cultivars based on principal component analysis. Trans. Chin. Soc. Agric. Eng. 2022, 38, 262–269. [Google Scholar] [CrossRef]
- Ma, L.; Wan, Q.; Wang, Z.; Jiang, X. Comparative study on yield and organ multi-factor responses of rice under different tillage modes. Trans. Chin. Soc. Agric. Eng. 2020, 36, 119–128. [Google Scholar] [CrossRef]
- Xia, G.; Wang, R.; Huang, X.; Nie, X.; Zheng, J.; Chi, D. Effects of Nitrogen Application Rates on CO2 Sequestration and Emissions, and Yield in Peanut Field under Regulated Deficit Irrigation. Trans. Chin. Soc. Agric. Mach. 2022, 53, 349–358. [Google Scholar]
- Ding, H.; Zhang, Z.; Dai, L.; Yang, J.; Ci, D.; Qin, F.; Qin, W.; Wan, S. Effects of Water and Nitrogen Interaction on Peanut Root Growth and Yield. Sci. Agric. Sin. 2015, 48, 872–881. [Google Scholar] [CrossRef]
- Allen, G.R.; Pereira, S.L.; Raes, D.; Smith, M. Crop Evapotranspiration-Guidelines for Computing Crop Water Requirements-FAO Irrigation and drainage paper 56. FAO Rome 1998, 300, D05109. [Google Scholar]
- Dong, J.; Xue, Z.; Shen, X.; Yi, R.; Chen, J.; Li, Q.; Hou, X.; Miao, H. Effects of Different Water and Nitrogen Supply Modes on Peanut Growth and Water and Nitrogen Use Efficiency under Mulched Drip Irrigation in Xinjiang. Plants 2023, 12, 3368. [Google Scholar] [CrossRef] [PubMed]
- Shen, X.; Sun, J.; Zhang, J.; Song, N.; Liu, X.; Yang, L. Study on Calculation Method of Soi Moisture Content under Drip Irrigation. J. Soil Water Conserv. 2011, 25, 241–244+253. [Google Scholar] [CrossRef]
- Srivastava, R.K.; Panda, R.K.; Chakraborty, A.; Halder, D. Enhancing grain yield, biomass and nitrogen use efficiency of maize by varying sowing dates and nitrogen rate under rainfed and irrigated conditions. Field Crops Res. 2018, 221, 339–349. [Google Scholar] [CrossRef]
- Wang, X.; Guo, T.; Wang, Y.; Xing, Y.; Wang, Y.; He, X. Exploring the optimization of water and fertilizer management practices for potato production in the sandy loam soils of Northwest China based on PCA. Agric. Water Manag. 2020, 237, 106180. [Google Scholar] [CrossRef]
- Zhang, J.; Wang, Q.; Xia, G.; Wu, Q.; Chi, D. Continuous regulated deficit irrigation enhances peanut water use efficiency and drought resistance. Agric. Water Manag. 2021, 255, 106997. [Google Scholar] [CrossRef]
- Fu, Y.; Cui, Z.; Yao, J.; Ji, F.; Lu, W.; He, Z.; Gao, Z.; Wang, S. Effects of water and nitrogen coupling on photosynthetic characteristics and yield of winter wheat in film hole irrigation fields. Desalination Water Treat. 2022, 268, 273–284. [Google Scholar] [CrossRef]
- Guo, X.; Zhao, D.; Hu, J.; Wang, D.; Wang, J.; Shakeel, M. The Effects of Water and Fertilizer Coupling on Plant and Soil Nitrogen Characteristics and Fruit Growth of Rabbiteye Blueberry Plants in a Semi-Arid Region in China. Phyton-Int. J. Exp. Bot. 2022, 92, 209–223. [Google Scholar] [CrossRef]
- Zhang, X.; Wang, Y.; Chen, J.; Chen, A.; Wang, L.; Guo, X.; Niu, Y.; Zhang, X.; Chen, L.; Gao, Q. Effects of Soil Water and Nitrogen on Plant Growth, Root Morphology and Spatial Distribution of Maize at the Seedling Stage. Sci. Agric. Sin. 2019, 52, 34–44. [Google Scholar] [CrossRef]
- Mahdi, G.; Seyed, M.M.; Mohammad, B.; Mehdi, H.; Gerrit, H. Interaction of water and nitrogen on maize grown for silage. Agric. Water Manag. 2008, 96, 809–821. [Google Scholar] [CrossRef]
- Montemurro, F.; Maiorana, M.; Ferri, D.; Convertini, G. Nitrogen indicators, uptake and utilization efficiency in a maize and barley rotation cropped at different levels and sources of N fertilization. Field Crops Res. 2006, 99, 114–124. [Google Scholar] [CrossRef]
- Shen, X.; Liu, J.; Liu, L.; Zeleke, K.; Yi, R.; Zhang, X.; Gao, Y.; Liang, Y. Effects of irrigation and nitrogen topdressing on water and nitrogen use efficiency for winter wheat with micro-sprinkling hose irrigation in North China. Agric. Water Manag. 2024, 302, 109005. [Google Scholar] [CrossRef]
- Lu, J.; Geng, C.; Cui, X.; Li, M.; Chen, S.; Hu, T. Response of drip fertigated wheat-maize rotation system on grain yield, water productivity and economic benefits using different water and nitrogen amounts. Agric. Water Manag. 2021, 258, 107220. [Google Scholar] [CrossRef]
- Wang, J.; Li, J.; Guan, H. Modeling response of cotton yield and water productivity to irrigation amount under mulched drip irrigation in North Xinjiang. Trans. Chin. Soc. Agric. Eng. 2016, 32, 62–68. [Google Scholar] [CrossRef]
- Zhang, Y.; Zhang, F.; Fan, J.; Hou, X.; Wang, H.; Liu, X.; He, P.; Xue, Z. Effects of drip irrigation technical parameters on cotton growth, soil moisture and salinity in Southern Xinjiang. Trans. Chin. Soc. Agric. Eng. 2020, 36, 107–117. [Google Scholar] [CrossRef]
- Cheng, M.; Wang, H.; Zhang, F.; Wang, X.; Liao, Z.; Zhang, S.; Yang, Q.; Fan, J. Effects of irrigation and fertilization regimes on tuber yield, water-nutrient uptake and productivity of potato under drip fertigation in sandy regions of northern China. Agric. Water Manag. 2023, 287, 108459. [Google Scholar] [CrossRef]
- Yang, Q.; Li, L.; Zhang, X.; Miao, Y.; Sheng, K.; Zhang, B.; Wang, Y. Effect of nitrogen application on yield, quality and light temperature physiological characteristics of summer peanut. Chin. J. Eco-Agric. 2024, 32, 627–639. [Google Scholar] [CrossRef]
- Xia, G.; Wang, Y.; Hu, J.; Wang, S.; Zhang, Y.; Wu, Q.; Chi, D. Effects of Supplemental Irrigation on Water and Nitrogen Use, Yield, and Kernel Quality of Peanut under Nitrogen-Supplied Conditions. Agric. Water Manag. 2021, 243, 106518. [Google Scholar] [CrossRef]
- Arya, S.S.; Salve, A.R.; Chauhan, S. Peanuts as functional food: A review. J. Food Sci. Technol. 2016, 53, 31–41. [Google Scholar] [CrossRef]
- Gong, X.; Li, X.; Qiu, R.; Bo, G.; Ping, Y.; Xin, Q.; Ge, J. Ventilation and irrigation management strategy for tomato cultivated in greenhouses. Agric. Water Manag. 2022, 273, 107908. [Google Scholar] [CrossRef]
- Zhang, Y.; Feng, S.; Wang, F.; Feng, R.; Nie, W. Effects of drip discharge flux and soil wetted percentage on drip irrigated potato growth with film mulch. Agric. Water Manag. 2022, 272, 107847. [Google Scholar] [CrossRef]
- Campos, H.; Trejo, C.; Peña-Valdivia, C.B.; García-Nava, R.; Conde-Martínez, F.V.; Cruz-Ortega, M.R. Stomatal and non-stomatal limitations of bell pepper (Capsicum annuum L.) plants under water stress and re-watering: Delayed restoration of photosynthesis during recovery. Environ. Exp. Bot. 2014, 98, 56–64. [Google Scholar] [CrossRef]
- Wu, W.; Wang, Y.; Wang, L.; Xu, H.; Zörb, C.; Geilfus, C.-M.; Xue, C.; Sun, Z.; Ma, W. Booting stage is the key timing for split nitrogen application in improving grain yield and quality of wheat—A global meta-analysis. Field Crops Res. 2022, 287, 108665. [Google Scholar] [CrossRef]
- Dwivedi, S.L.; Nigam, S.N.; Rao, R.C.N.; Singh, U.; Rao, K.V.S. Effect of drought on oil, fatty acids and protein contents of groundnut (Arachis hypogaea L.) seeds. Field Crops Res. 1996, 48, 125–133. [Google Scholar] [CrossRef]
- Li, Z.; Song, M.; Feng, H. Effects of irrigation and nitrogen application on water consumption and yield of winter wheat in different precipitation years. Trans. Chin. Soc. Agric. Eng. 2018, 34, 160–167. [Google Scholar] [CrossRef]
- Shangguan, Z.; Shao, M.; Dyckmans, J. Effects of Nitrogen Nutrition and Water Deficit on Net Photosynthetic Rate and Chlorophyll Fluorescence in Winter Wheat. J. Plant Physiol. 2000, 156, S0176–S1617. [Google Scholar] [CrossRef]
- Yao, H.; Zhang, Y.; Yi, X.; Hu, Y.; Luo, H.; Gou, L.; Zhang, W. Plant density alters nitrogen partitioning among photosynthetic components, leaf photosynthetic capacity and photosynthetic nitrogen use efficiency in field-grown cotton. Field Crops Res. 2015, 184, 39–49. [Google Scholar] [CrossRef]
- Wang, X.; Shi, Y.; Guo, Z.; Zhang, Y.; Yu, Z. Water use and soil nitrate nitrogen changes under supplemental irrigation with nitrogen application rate in wheat field. Field Crops Res. 2015, 183, 117–125. [Google Scholar] [CrossRef]
- Gatti, M.; Schippa, M.; Garavani, A.; Squeri, C.; Frioni, T.; Dosso, P.; Poni, S. High potential of variable rate fertilization combined with a controlled released nitrogen form at affecting cv. Barbera vines behavior. Eur. J. Agron. 2020, 112, 125949. [Google Scholar] [CrossRef]
- Ierna, A.; Pandino, G.; Lombardo, S.; Mauromicale, G. Tuber yield, water and fertilizer productivity in early potato as affected by a combination of irrigation and fertilization. Agric. Water Manag. 2011, 101, 35–41. [Google Scholar] [CrossRef]
- Darwish, T.M.; Atallah, T.W.; Hajhasan, S.; Haidar, A. Nitrogen and water use efficiency of fertigated processing potato. Agric. Water Manag. 2006, 85, 95–104. [Google Scholar] [CrossRef]
- de Mello, C.S.; Van Dijk, J.P.; Voorhuijzen, M.; Kok, E.J.; Arisi, A.C. Tuber proteome comparison of five potato varieties by principal component analysis. J. Sci. Food Agric. 2016, 96, 3928–3936. [Google Scholar] [CrossRef]
- He, X.; Yang, P.; Ren, S.; Cheng, M.; Zhang, Y.; Jiang, G. Evaluation of Regulated Deficit Irrigation Performance with Saline Water Based on Principal Component Analysis. Trans. Chin. Soc. Agric. Mach. 2014, 45, 162–167+132. [Google Scholar] [CrossRef]
- Wen, S.; Cui, N.; Wang, Y.; Gong, D.; Xing, L.; Wu, Z.; Zhang, Y.; Zhao, L.; Fan, J.; Wang, Z. Optimizing deficit drip irrigation to improve yield, quality, and water productivity of apple in Loess Plateau of China. Agric. Water Manag. 2024, 296, 108798. [Google Scholar] [CrossRef]
- Cui, N.; Wang, M.; Zou, Q.; Wang, Z.; Jiang, S.; Chen, X.; Zha, Y.; Xiang, L.; Zhao, L. Water-potassium coupling at different growth stages improved kiwifruit (Actinidia spp.) quality and water/potassium productivity without yield loss in the humid areas of South China. Agric. Water Manag. 2023, 289, 108552. [Google Scholar] [CrossRef]
- Chen, R.; Chang, H.; Wang, Z.; Lin, H. Determining organic-inorganic fertilizer application threshold to maximize the yield and quality of drip-irrigated grapes in an extremely arid area of Xinjiang, China. Agric. Water Manag. 2023, 276, 108070. [Google Scholar] [CrossRef]





| Depths | Available Phosphorus | Available Potassium | Alkaline Hydrolysis | Organic Matter | Soil Bulk |
|---|---|---|---|---|---|
| Nitrogen | Density | ||||
| (mg kg−1) | (mg kg−1) | (mg kg−1) | (g kg−1) | (g kg−1) | |
| 0–20 | 23.77 | 199.06 | 42.98 | 14.86 | 1.35 |
| 20–40 | 22.17 | 169.33 | 32.04 | 14.28 | 1.43 |
| 40–60 | 22.86 | 114.46 | 43.41 | 9.73 | 1.44 |
| Year | Treatment | Drip | Irrigation Account | Irrigation Cycles (d) | Amount of Nitrogen Topdressing | |||||||
|---|---|---|---|---|---|---|---|---|---|---|---|---|
| Discharge | (mm) | |||||||||||
| (L h−1) | Seedling Water | Seedling Stage | Flower-Pegging Stage | Pod-Setting Stage | Pod-Filling Stage | Seedling Stage | Flower-Pegging Stage | Pod-Setding Stage | Pod-Filling Stage | Growth Period | ||
| 2022 | W1N1Q1 | 3.0 | 45 | - | 30 | 30 | 30 | - | 7 | 7 | 10 | 0.5 |
| W1N2Q1 | 3.0 | 45 | - | 30 | 30 | 30 | - | 7 | 7 | 10 | 1 | |
| W2N1Q1 | 3.0 | 45 | - | 37.5 | 37.5 | 37.5 | - | 7 | 7 | 10 | 0.5 | |
| W2N2Q1 | 3.0 | 45 | - | 37.5 | 37.5 | 37.5 | - | 7 | 7 | 10 | 1 | |
| W1N0Q1 | 3.0 | 45 | - | 30 | 30 | 30 | - | 7 | 7 | 10 | 0 | |
| 2023 | W2N1Q1 | 3.0 | 45 | - | 37.5 | 37.5 | 37.5 | - | 7 | 7 | 10 | 0.5 |
| W2N1Q2 | 6.0 | 45 | - | 37.5 | 37.5 | 37.5 | - | 7 | 7 | 10 | 0.5 | |
| W2N2Q1 | 3.0 | 45 | - | 37.5 | 37.5 | 37.5 | - | 7 | 7 | 10 | 1 | |
| W2N2Q2 | 6.0 | 45 | - | 37.5 | 37.5 | 37.5 | - | 7 | 7 | 10 | 1 | |
| W2N0Q1 | 3.0 | 45 | - | 37.5 | 37.5 | 37.5 | - | 7 | 7 | 10 | 0 | |
| 2024 | W2N1Q1 | 3.0 | 45 | - | 37.5 | 37.5 | 37.5 | - | 7 | 7 | 10 | 0.5 |
| W2N1Q2 | 6.0 | 45 | - | 37.5 | 37.5 | 37.5 | - | 7 | 7 | 10 | 0.5 | |
| W2N2Q1 | 3.0 | 45 | - | 37.5 | 37.5 | 37.5 | - | 7 | 7 | 10 | 1 | |
| W2N2Q2 | 6.0 | 45 | - | 37.5 | 37.5 | 37.5 | - | 7 | 7 | 10 | 1 | |
| W2N0Q1 | 3.0 | 45 | - | 37.5 | 37.5 | 37.5 | - | 7 | 7 | 10 | 0 | |
| Year | Factor | Main Stem Height | Aboveground Biomass | ||||
|---|---|---|---|---|---|---|---|
| Flowering- | Pod- | Pod- | Flowering- | Pod- | Pod- | ||
| Pegging Stage | Setting Stage | Filling Stage | Pegging Stage | Setting Stage | Filling Stage | ||
| W | ns | ** | ** | ** | ** | ** | |
| 2022 | N | ** | ** | ** | ** | ** | ** |
| W × N | ns | ** | ns | ** | ** | ** | |
| N | ** | ** | ns | ** | ** | ** | |
| 2023 | Q | * | * | ns | ** | ** | ** |
| N × Q | ns | * | ns | ** | ** | ** | |
| N | ** | ** | ns | ** | ** | ** | |
| 2024 | Q | * | * | ns | ** | ** | ** |
| N × Q | ns | * | ns | ** | ** | ** | |
| Year | Treatment | Pod Yield | 100-Pod Weight | 100-Kernel Weight | Kernel Rate |
|---|---|---|---|---|---|
| (kg ha−1) | (g) | (g) | (%) | ||
| W1N1Q1 | 3698.15 c | 165.26 c | 80.40 b | 66.43 bc | |
| W1N2Q1 | 4522.74 b | 179.42 b | 81.40 b | 68.29 abc | |
| 2022 | W2N1Q1 | 4697.65 ab | 180.81 b | 85.29 b | 69.13 ab |
| W2N2Q1 | 5297.35 a | 208.54 a | 95.42 a | 70.83 a | |
| W1N0Q1 | 3398.30 c | 156.48 c | 70.33 c | 65.61 c | |
| W | ** | ** | ** | * | |
| N | ** | ** | ** | ns | |
| W × N | ns | ns | ns | ns | |
| W2N1Q1 | 5528.28 a | 227.23 a | 94.88 a | 70.91 b | |
| W2N1Q2 | 5597.53 a | 230.07 a | 96.93 a | 72.38 a | |
| 2023 | W2N2Q1 | 5044.43 c | 226.74 a | 97.08 a | 70.89 b |
| W2N2Q2 | 5266.05 b | 227.58 a | 92.66 a | 72.25 a | |
| W2N0Q1 | 4418.18 d | 214.37 b | 83.82 b | 69.98 c | |
| N | ** | ns | ** | ** | |
| Q | ** | ns | ** | ** | |
| N × Q | ns | ns | ns | ** | |
| W2N1Q1 | 8668.80 ab | 234.24 ab | 88.22 bc | 72.28 a | |
| W2N1Q2 | 9095.38 a | 237.18 a | 98.29 a | 72.89 a | |
| 2024 | W2N2Q1 | 8584.60 b | 234.40 ab | 85.92 c | 69.79 b |
| W2N2Q2 | 8738.84 ab | 234.61 ab | 94.41 ab | 72.50 a | |
| W2N0Q1 | 7518.83 c | 227.63 b | 84.59 c | 69.32 b | |
| N | ** | ns | ** | ** | |
| Q | ** | ns | ** | ** | |
| N × Q | ns | ns | ns | ** |
| Year | Treatment | Protein Content (%) | Oil Content (%) | Year | Treatment | Protein Content (%) | Oil Content (%) | Year | Treatment | Protein Content (%) | Oil Content (%) |
|---|---|---|---|---|---|---|---|---|---|---|---|
| W1N1Q1 | 28.40 a | 38.30 b | W2N1Q1 | 30.82 b | 50.16 c | W2N1Q1 | 30.65 c | 49.52 b | |||
| W1N2Q1 | 27.37 b | 43.78 a | W2N1Q2 | 31.78 a | 51.51 b | W2N1Q2 | 31.00 b | 50.12 a | |||
| 2022 | W2N1Q1 | 25.12 c | 45.74 a | 2023 | W2N2Q1 | 30.73 b | 50.63 c | 2024 | W2N2Q1 | 30.55 c | 48.50 c |
| W2N2Q1 | 24.88 c | 45.42 a | W2N2Q2 | 31.55 a | 53.42 a | W2N2Q2 | 31.44 a | 50.29 a | |||
| W1N0Q1 | 26.85 b | 43.86 a | W2N0Q1 | 30.53 b | 49.53 d | W2N0Q1 | 30.84 b | 48.16 c | |||
| W | ** | ** | N | ns | ** | N | ** | ** | |||
| N | * | ** | Q | ** | ** | Q | ** | ** | |||
| W × N | ns | ** | N × Q | ns | ** | N × Q | ** | ** |
| Year | Component | Eigenvalue | Contribution Rate | Cumulative Contribution Rate |
|---|---|---|---|---|
| (%) | (%) | |||
| 1 | 3.789 | 63.152 | 63.152 | |
| 2 | 1.519 | 25.315 | 88.467 | |
| 2022 | 3 | 0.612 | 10.202 | 98.669 |
| 4 | 0.080 | 1.331 | 100.000 | |
| 5 | −5.833 × 10−17 | −9.721 × 10−16 | 100.000 | |
| 1 | 3.781 | 75.615 | 75.615 | |
| 2 | 1.047 | 20.947 | 96.562 | |
| 2023 | 3 | 0.167 | 3.342 | 99.904 |
| 4 | 0.005 | 0.096 | 100 | |
| 5 | 1.26 × 10−16 | 2.52 × 10−15 | 100 | |
| 1 | 3.683 | 73.667 | 73.667 | |
| 2 | 1.212 | 24.249 | 97.916 | |
| 2024 | 3 | 0.068 | 1.351 | 99.267 |
| 4 | 0.037 | 0.733 | 100.000 | |
| 5 | 4.139 × 10−17 | 8.279 × 10−16 | 100.000 |
| Year | Function Expressions |
|---|---|
| 2022 | Y221 = −0.384 × X1 + 0.208 × X2 + 0.293 × X3 + 0.318 × X4 + 0.112 × X5 |
| Y222 = 0.187 × X1 + 0.160 × X2 + 0.036 × X3 − 0.121 × X4 − 0.453 × X5 | |
| F = 0.63152/0.88467 × Y221 + 0.25315/0.88467 × Y222 | |
| 2023 | Y231 = 0.336 × X1 + 0.385 × X2 + 0.386×X3 − 0.076 × X4 − 0.234 × X5 Y232 = −0.046 × X1 − 0.136 × X2 − 0.137 × X3 + 0.510 × X4 + 0.670 × X5 |
| F = 0.75615/0.96562 × Y231 + 0.20947/0.96562 × Y232 | |
| 2024 | Y241 = 0.291 × X1 + 0.310 × X2 + 0.336 × X3 − 0.179×X4 + 0.119 × X5 Y242 = −0.028 × X1 − 0.087 × X2 − 0.173 × X3 + 0.754×X4 + 0.387 × X5 |
| F = 0.73667/97.916 × Y241 + 0.24249/0.97916 × Y242 |
| Year | Treatment | Score | Rankings | Year | Treatment | Score | Rankings | Year | Treatment | Score | Rankings |
|---|---|---|---|---|---|---|---|---|---|---|---|
| W1N1Q1 | −0.39 | 4 | W2N1Q1 | 0.64 | 2 | W2N1Q1 | 0.31 | 3 | |||
| W1N2Q1 | 0.47 | 2 | W2N1Q2 | 0.71 | 1 | W2N1Q2 | 0.82 | 1 | |||
| 2022 | W2N1Q1 | 0.24 | 3 | 2023 | W2N2Q1 | −0.11 | 4 | 2024 | W2N2Q1 | −0.24 | 4 |
| W2N2Q1 | 0.82 | 1 | W2N2Q2 | 0.06 | 3 | W2N2Q2 | 0.35 | 2 | |||
| W1N0Q1 | −1.13 | 5 | W2N0Q1 | −1.31 | 5 | W2N0Q1 | −1.25 | 5 |
Disclaimer/Publisher’s Note: The statements, opinions and data contained in all publications are solely those of the individual author(s) and contributor(s) and not of MDPI and/or the editor(s). MDPI and/or the editor(s) disclaim responsibility for any injury to people or property resulting from any ideas, methods, instructions or products referred to in the content. |
© 2025 by the authors. Licensee MDPI, Basel, Switzerland. This article is an open access article distributed under the terms and conditions of the Creative Commons Attribution (CC BY) license (https://creativecommons.org/licenses/by/4.0/).
Share and Cite
Zhang, Y.; Li, S.; Cui, W.; Gao, Y.; Si, Z.; Li, H.; Chen, J.; Dong, J.; Li, Q.; Shen, X.; et al. Optimization of Irrigation Parameters of Peanut Under Mulched Drip Irrigation in Xinjiang Based on Yield and Water Use Efficiency. Agronomy 2025, 15, 1302. https://doi.org/10.3390/agronomy15061302
Zhang Y, Li S, Cui W, Gao Y, Si Z, Li H, Chen J, Dong J, Li Q, Shen X, et al. Optimization of Irrigation Parameters of Peanut Under Mulched Drip Irrigation in Xinjiang Based on Yield and Water Use Efficiency. Agronomy. 2025; 15(6):1302. https://doi.org/10.3390/agronomy15061302
Chicago/Turabian StyleZhang, Yuchao, Shaofei Li, Weimin Cui, Yang Gao, Zhuanyun Si, Haiming Li, Junwei Chen, Jianshu Dong, Qiang Li, Xiaojun Shen, and et al. 2025. "Optimization of Irrigation Parameters of Peanut Under Mulched Drip Irrigation in Xinjiang Based on Yield and Water Use Efficiency" Agronomy 15, no. 6: 1302. https://doi.org/10.3390/agronomy15061302
APA StyleZhang, Y., Li, S., Cui, W., Gao, Y., Si, Z., Li, H., Chen, J., Dong, J., Li, Q., Shen, X., & Zhang, X. (2025). Optimization of Irrigation Parameters of Peanut Under Mulched Drip Irrigation in Xinjiang Based on Yield and Water Use Efficiency. Agronomy, 15(6), 1302. https://doi.org/10.3390/agronomy15061302

