Effects of Biochar on Soil Quality in a Maize Soybean Rotation on Mollisols
Abstract
1. Introduction
2. Materials and Methods
2.1. Study Site
2.2. Experimental Design
2.3. Soil Sampling and Analysis
2.4. Soil Health Assessment System
2.4.1. Determination of the Minimum Data Set
2.4.2. Calculation of the Soil Quality Index
2.4.3. Calculation of Index Weight and Soil Quality Index
2.5. Statistical Analysis
3. Results
3.1. Effects of Biochar on Maize Yield
3.2. Effects of Biochar on Soil Quality Index
3.2.1. Descriptive Analysis of Soil Indicators
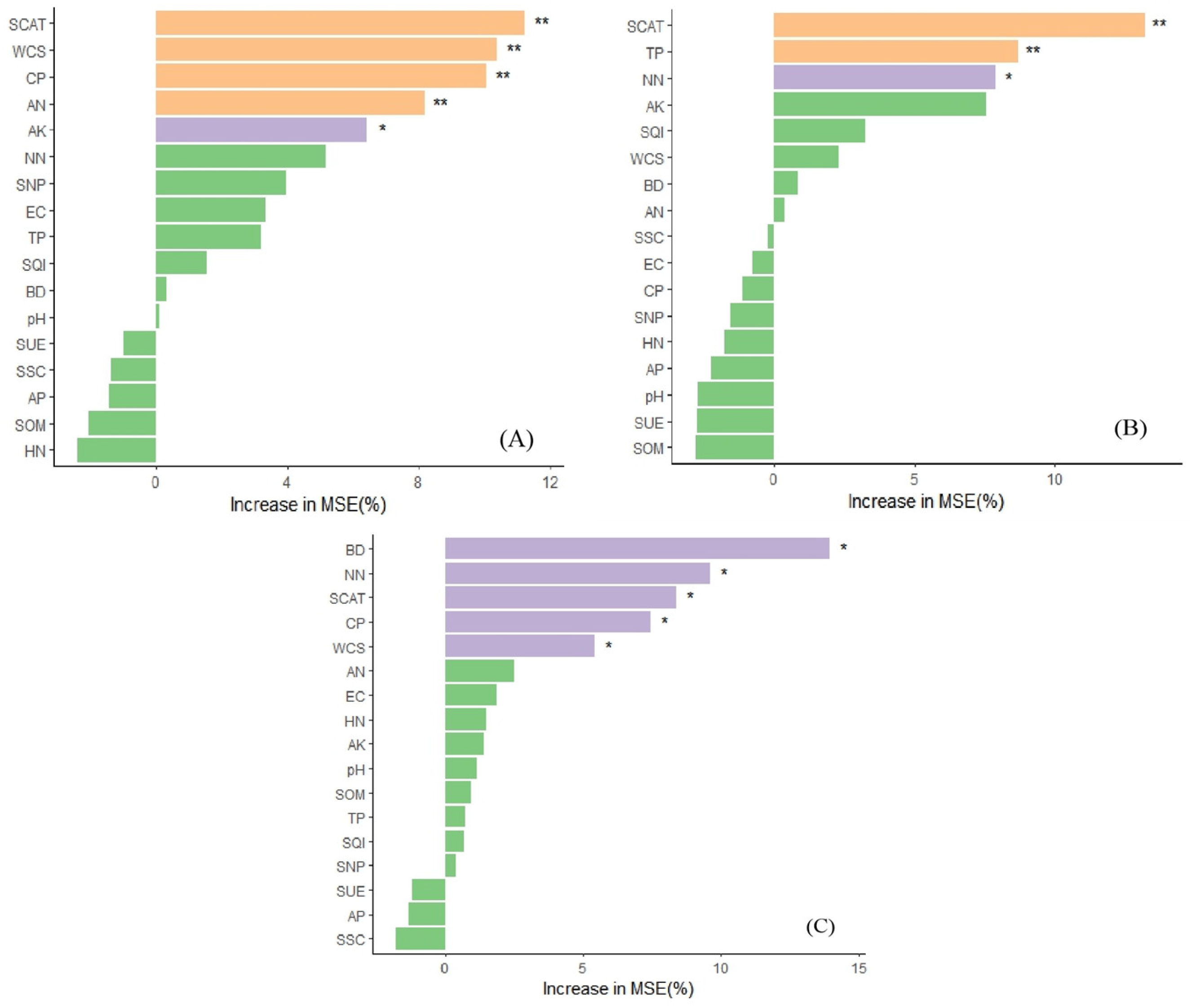
3.2.2. Evaluation Process of Influencing Factors on Topsoil Quality
Minimum Data Set Construction
Calculation of Soil Quality Composite Index
3.2.3. Soil Quality Index Values and Soil Quality Classification
3.3. Effects of Biochar on the Relationship Between Soil Quality and Related Soil Properties
3.3.1. Effects of Biochar Addition on Soil Physical, Chemical, and Biological Indicators
3.3.2. The Effects of SQI, Soil Physical and Chemical Properties, and Biological Indicators on Corn Yield
4. Discussion
4.1. The Effects of Biochar on Soil Quality Index Under Soybean–Corn Rotational Cropping Conditions
4.2. The Effects of Biochar on Soil Physical, Chemical, and Biological Indicators Under Soybean–Corn Rotational Cropping Conditions
4.3. The Effects of Biochar on Maize Yield Under Soybean–Corn Rotational Cropping Conditions
5. Conclusions
Supplementary Materials
Author Contributions
Funding
Data Availability Statement
Conflicts of Interest
Abbreviations
| BD | Bulk density |
| TSP | Total soil porosity |
| CP | Capillary porosity |
| SWC | Soil water content |
| EC | Electrical conductivity |
| AP | Available phosphorus |
| AK | Available potassium |
| SOM | Soil organic matter |
| AN | Available nitrogen |
| NN | Nitrate nitrogen |
| HN | Ammonium nitrogen |
| S-URE | Soil urease activity |
| S-SC | Soil sucrase activity |
| S-NP | Soil phosphatase activity |
| S-CAT | Soil catalase activity |
| CV | The coefficient of variation |
| TDS | The total data set |
| MDS | The minimum data set |
| PCA | Principal component analysis |
| SQI | Soil quality index |
References
- Li, R.; Hu, W.Y.; Jia, Z.J.; Liu, H.Q.; Zhang, C.; Huang, B.; Yang, S.H.; Zhao, Y.G.; Zhao, Y.C.; Shukla, M.K.; et al. Soil degradation: A global threat to sustainable use of black soils. Pedosphere 2025, 35, 264–279. [Google Scholar] [CrossRef]
- Abhilash, P.C.; Singh, N. Pesticide use and application: An Indian scenario. J. Hazard. Mater. 2009, 165, 1–12. [Google Scholar] [CrossRef] [PubMed]
- Wang, H.; Zhang, C.; Yao, X.C.; Yun, W.J.; Ma, J.N.; Gao, L.L.; Li, P.S. Scenario simulation of the tradeoff between ecological land and farmland in black soil region of Northeast China. Land Use Policy 2022, 114, 105991. [Google Scholar] [CrossRef]
- He, Y.X.; Zhang, F.B.; Yang, M.Y.; Li, X.T.; Wang, Z.A. Insights from size fractions to interpret the erosion-driven variations in soil organic carbon on black soil sloping farmland, Northeast China. Agric. Ecosyst. Environ. 2023, 343, 108283. [Google Scholar] [CrossRef]
- Sui, P.; Luo, Y.; Zheng, H.; Li, R.; Wang, H.; Yuan, Y.; Zheng, J.; Liu, W. Effects of long-term tillage practices on the stability of soil aggregates and organic carbon in black soil farmland. Chin. J. Appl. Ecol. 2023, 34, 1853–1861. (In Chinese) [Google Scholar] [CrossRef]
- Liu, X.B.; Burras, C.L.; Kravchenko, Y.S.; Duran, A.; Huffman, T.; Morras, H.; Studdert, G.; Zhang, X.Y.; Cruse, R.M.; Yuan, X.H. Overview of Mollisols in the world: Distribution, land use and management. Can. J. Soil Sci. 2012, 92, 383–402. [Google Scholar] [CrossRef]
- Zhang, S.L.; Huang, J.; Wang, Y.; Shen, Q.S.; Mu, L.L.; Liu, Z.H. Spatiotemporal heterogeneity of soil available nitrogen during crop growth stages on mollisol slopes of northeast China. Land Degrad. Dev. 2017, 28, 856–869. [Google Scholar] [CrossRef]
- Zhang, S.L.; Zhang, X.Y.; Liu, Z.H.; Sun, Y.K.; Liu, W.; Dai, L.; Fu, S.C. Spatial heterogeneity of soil organic matter and soil total nitrogen in a Mollisol watershd of Northeast China. Environ. Earth Sci. 2014, 72, 275–288. [Google Scholar] [CrossRef]
- Zhang, S.L.; Zhang, X.Y.; Liu, X.B.; Liu, W.; Liu, Z.H. Spatial distribution of soil nutrient at depth in black soil of Northeast China: A case study of soil available potassium. Nutr. Cycl. Agroecosyst. 2013, 95, 319–331. [Google Scholar] [CrossRef]
- Raiesi, F. A minimum data set and soil quality index to quantify the effect of land use conversion on soil quality and degradation in native rangelands of upland arid and semiarid regions. Ecol. Indic. 2017, 75, 307–320. [Google Scholar] [CrossRef]
- Jiang, M.; Wen, Y.; Sun, M.; Wang, H.; Zeng, Y.; Han, Y.; Li, X.; Wu, H.; Li, L.; Xu, S. Thinking and implementation approach of science and technology strategy of well raising black soil—overall idea and implementation planning of strategy priority research program of chinese academy of sciences on black soil conservation and utilization. Bull. Chin. Acad. Sci. 2021, 36, 1146–1154. (In Chinese) [Google Scholar] [CrossRef]
- Zhang, X.Y.; Sui, Y.Y.; Zhang, X.D.; Meng, K.; Herbert, S.J. Spatial variability of nutrient properties in black soil of northeast China. Pedosphere 2007, 17, 19–29. [Google Scholar] [CrossRef]
- Li, K.H.; Zhang, Y.; Zhang, J.B.; Chen, C.; Yang, R.Z. Long-term gully dynamics over cropland in the black soil area of China based on systematic sampling. Soil Tillage Res. 2024, 244, 106273. [Google Scholar] [CrossRef]
- Zhang, G.; Yang, Y.; Liu, Y.; Wang, Z. Advances and prospects of soil erosion research in the black soil region of northeast China. J. Soil Water Conserv. 2022, 36, 1–12. (In Chinese) [Google Scholar] [CrossRef]
- Wei, D.; Kuang, E.; Chi, F.; Zhang, J.; Guo, W. Status and protection strategy of black soil resources in northeast of China. Heilongjiang Agric. Sci. 2016, 1, 158–161. (In Chinese) [Google Scholar]
- Gao, G.; Wang, J.; Li, S.; Pei, J. Changes of organic carbon density and storage in northeastern black soil areas in past 30 years. Chin. J. Soil Sci. 2015, 46, 774–780. (In Chinese) [Google Scholar] [CrossRef]
- Guo, S.J.; Han, X.H.; Li, H.; Wang, T.; Tong, X.G.; Ren, G.X.; Feng, Y.Z.; Yang, G.H. Evaluation of soil quality along two revegetation chronosequences on the Loess Hilly Region of China. Sci. Total Environ. 2018, 633, 808–815. [Google Scholar] [CrossRef]
- Zhang, Y.H.; Xu, X.L.; Li, Z.W.; Liu, M.X.; Xu, C.H.; Zhang, R.F.; Luo, W. Effects of vegetation restoration on soil quality in degraded karst landscapes of southwest China. Sci. Total Environ. 2019, 650, 2657–2665. [Google Scholar] [CrossRef]
- Han, X.; Zou, W.; Wang, F.; Wang, F. Construction effect of fertile cultivated layer in black soil. Chin. J. Appl. Ecol. 2009, 20, 2996–3002. (In Chinese) [Google Scholar] [CrossRef]
- Peng, J.; Yang, Q.S.; Zhang, C.Y.; Ni, S.M.; Wang, J.G.; Cai, C.F. Aggregate pore structure, stability characteristics, and biochemical properties induced by different cultivation durations in the Mollisol region of Northeast China. Soil Tillage Res. 2023, 233, 105797. [Google Scholar] [CrossRef]
- Ma, R.; Tian, Z.Y.; Zhao, Y.; Wu, Y.H.; Liang, Y. Response of soil quality degradation to cultivation and soil erosion: A case study in a Mollisol region of Northeast China. Soil Tillage Res. 2024, 242, 106159. (In Chinese) [Google Scholar] [CrossRef]
- Gholoubi, A.; Emami, H.; Alizadeh, A. Soil quality change 50 years after forestland conversion to tea farming. Soil Res. 2018, 56, 509–517. [Google Scholar] [CrossRef]
- Ma, C.; Wang, H. Research on the status quo and direction of black land protection and utilization at home and abroad. Agric. Compr. Dev. China 2022, 7–11. (In Chinese) [Google Scholar]
- Fang, H.Y.; Sun, L.Y.; Qi, D.L.; Cai, Q.G. Using Cs technique to quantify soil erosion and deposition rates in an agricultural catchment in the black soil region, Northeast China. Geomorphology 2012, 169, 142–150. [Google Scholar] [CrossRef]
- Obalum, S.E.; Chibuike, G.U.; Peth, S.; Ouyang, Y. Soil organic matter as sole indicator of soil degradation. Environ. Monit. Assess. 2017, 189, 176. [Google Scholar] [CrossRef]
- Cai, Y.; Hao, M. Effects of rotation model and period on wheat yield, nutrient uptake and soil fertility in the Loess Plateau. J. Plant Nutr. Fertil. 2015, 21, 864–872. (In Chinese) [Google Scholar] [CrossRef]
- Yang, L.; Wang, L.H.; Chu, J.C.; Zhao, H.L.; Zhao, J.; Zang, H.D.; Yang, Y.D.; Zeng, Z.H. Improving soil quality and wheat yield through diversified crop rotations in the North China Plain. Soil Tillage Res. 2024, 244, 106231. [Google Scholar] [CrossRef]
- Zhao, W.Y.; Wen, M.X.; Zhao, C.T.; Zhang, S.R.; Dou, R.A.; Liang, X.F.; Zhang, X.F.; Liu, Z.H.; Jiang, Z.F. Warm temperature increments strengthen the crosstalk between roots and soil in the rhizosphere of soybean seedlings. Plants 2023, 12, 4135. [Google Scholar] [CrossRef]
- Xin, J.; Mu, J.L.; Qiu, W.W.; Xu, L.Y.; Guo, J.L.; Jiang, Z.F.; Liu, Z.H. Responses of soil macro-porosity, nutrient concentrations and stoichiometry following conversion of rice-wheat rotation to organic greenhouse vegetable system. Agronomy 2024, 14, 2207. [Google Scholar] [CrossRef]
- Wang, L.; Ye, C.; Chen, J.; Li, J.; Luo, J. Effects of intercropping and rotation between oil flax and wheat on soil physicochemical properties and growth of oil flax. J. Agric. Sci. Technol. 2021, 23, 161–171. (In Chinese) [Google Scholar] [CrossRef]
- Fang, Y.T.; Ren, T.; Zhang, S.T.; Liu, Y.; Liao, S.P.; Li, X.K.; Cong, R.H.; Lu, J.W. Rotation with oilseed rape as the winter crop enhances rice yield and improves soil indigenous nutrient supply. Soil Tillage Res. 2021, 212, 105065. [Google Scholar] [CrossRef]
- Hoss, M.; Behnke, G.D.; Davis, A.S.; Nafziger, E.D.; Villamil, M.B. Short corn rotations do not improve soil quality, compared with corn monocultures. Agron. J. 2018, 110, 1274–1288. [Google Scholar] [CrossRef]
- Adjei, E.O.; Ayamba, B.E.; Buri, M.M.; Biney, N.; Appiah, K. Soil quality and fertility dynamics under a continuous cassava-maize rotation in the semi-deciduous forest agro-ecological zone of Ghana. Front. Sustain. Food Syst. 2023, 7, 1095207. [Google Scholar] [CrossRef]
- Luo, B.L.; Zhou, J.; Yao, W.; Wang, Y.X.; Guillaume, T.; Yuan, M.; Han, D.W.; Bilyera, N.; Wang, L.X.; Zhao, L.; et al. Maize and soybean rotation benefits soil quality and organic carbon stock. J. Environ. Manag. 2024, 372, 123352. [Google Scholar] [CrossRef]
- Kumar, N.; Sow, S.; Rana, L.; Ranjan, S.; Singh, A.K. Trash amended with trichoderma effects on cane yield, soil carbon dynamics, and enzymatic activities under plant-ratoon system of sugarcane in calcareous soil. Sugar Tech 2025, 27, 134–147. [Google Scholar] [CrossRef]
- Shao, G.D.; Zhou, J.; Liu, B.C.; Alharbi, S.A.; Liu, E.K.; Kuzyakov, Y. Carbon footprint of maize-wheat cropping system after 40-year fertilization. Sci. Total Environ. 2024, 926, 172082. [Google Scholar] [CrossRef]
- Zhu, X.M.; Chen, B.L.; Zhu, L.Z.; Xing, B.S. Effects and mechanisms of biochar-microbe interactions in soil improvement and pollution remediation: A review. Environ. Pollut. 2017, 227, 98–115. [Google Scholar] [CrossRef]
- Liu, Z.H.; Gao, J.C.; Xu, L.Y.; Yang, R.Z.; Li, J.B.; Shi, Y.L.; Jiang, Z.F.; Shen, Y.Z. Effects of humic materials on soil n transformation and nh loss when co-applied with 3, 4-dimethylpyrazole phosphate and urea. J. Soil Sci. Plant Nut. 2022, 22, 3490–3499. [Google Scholar] [CrossRef]
- Dai, Y.J.; Liu, M.; Sun, Y.; Li, J.J.; Jiang, Y.; Li, S.S.; Yue, W.; Liu, Z.H. Adsorption characteristics of tetracycline on biochar from agricultural wastes. Desalin. Water Treat. 2019, 151, 384–391. [Google Scholar] [CrossRef]
- Meng, L.B.; Cheng, Z.Y.; Wang, Y.N.; Li, S.M.; Clarke, N. Arbuscular mycorrhizal fungal interacted with biochar and enhanced phosphate-solubilizing microorganism abundance and phosphorus uptake in maize. Agronomy 2024, 14, 1678. [Google Scholar] [CrossRef]
- Verheijen, F.G.A.; Zhuravel, A.; Silva, F.C.; Amaro, A.; Ben-Hur, M.; Keizer, J.J. The influence of biochar particle size and concentration on bulk density and maximum water holding capacity of sandy vs sandy loam soil in a column experiment. Geoderma 2019, 347, 194–202. [Google Scholar] [CrossRef]
- Kuzyakov, Y.; Bogomolova, I.; Glaser, B. Biochar stability in soil: Decomposition during eight years and transformation as assessed by compound-specific C analysis. Soil Biol. Biochem. 2014, 70, 229–236. [Google Scholar] [CrossRef]
- Wei, Z.; Zhang, S.; Yan, S.; Yan, P.; Feng, L.; Xiao, Z.; Liu, Z. Effects of biochar application on the dynamic of soil moisture-temperature-salt in degraded mollisols during freezing period. J. Soil Water Conserv. 2024, 38, 322–334. (In Chinese) [Google Scholar] [CrossRef]
- Chen, Y.; Shinogi, Y.; Taira, M. Influence of biochar use on sugarcane growth, soil parameters, and groundwater quality. Aust. J. Soil Res. 2010, 48, 526–530. [Google Scholar] [CrossRef]
- Brockhoff, S.R.; Christians, N.E.; Killorn, R.J.; Horton, R.; Davis, D.D. Physical and mineral-nutrition properties of sand-based turfgrass root zones amended with biochar. Agron. J. 2010, 102, 1627–1631. [Google Scholar] [CrossRef]
- Sun, F.F.; Lu, S.G. Biochars improve aggregate stability, water retention, and pore- space properties of clayey soil. J. Plant Nutr. Soil Sc. 2014, 177, 26–33. [Google Scholar] [CrossRef]
- Dokoohaki, H.; Miguez, F.E.; Laird, D.; Horton, R.; Basso, A.S. Assessing the biochar effects on selected physical properties of a sandy soil: An analytical approach. Commun. Soil Sci. Plant Anal. 2017, 48, 1387–1398. [Google Scholar] [CrossRef]
- Guo, C.Q.; Yang, C.; Fu, J.S.; Song, Y.; Chen, S.X.; Li, H.Y.; Ma, C.Q. Effects of crop rotation on sugar beet growth through improving soil physicochemical properties and microbiome. Ind. Crops Prod. 2024, 212, 118331. [Google Scholar] [CrossRef]
- He, F.; Hu, W.; He, F.; Wang, P.Z.; Pi, B.Y.; Zhao, M.Q. An appraisal of the utility of biochar in a rotation involving tobacco-rice in southern China. GCB Bioenergy 2023, 15, 979–993. [Google Scholar] [CrossRef]
- Aller, D.; Mazur, R.; Moore, K.; Hintz, R.; Laird, D.; Horton, R. Biochar age and crop rotation impacts on soil quality. Soil Sci. Soc. Am. J. 2017, 81, 1157–1167. [Google Scholar] [CrossRef]
- Zhang, Z.G.; An, J.; Xiong, S.W.; Li, X.F.; Xin, M.H.; Wang, J.; Han, Y.C.; Wang, G.P.; Feng, L.; Lei, Y.P.; et al. Orychophragmus violaceus-maize rotation increases maize productivity by improving soil chemical properties and plant nutrient uptake. Field Crops Res. 2022, 279, 108470. [Google Scholar] [CrossRef]
- Toková, L.; Igaz, D.; Horák, J.; Aydin, E. Effect of biochar application and re-application on soil bulk density, porosity, saturated hydraulic conductivity, water content and soil water availability in a silty loam Haplic Luvisol. Agronomy 2020, 10, 1005. [Google Scholar] [CrossRef]
- Wang, Y.Z.; Zhang, H.F.; Zhang, Y.P.; Fei, J.C.; Rong, X.M.; Peng, J.W.; Luo, G.W. Crop rotation-driven changes in rhizosphere metabolite profiles regulate soil microbial diversity and functional capacity. Agr. Ecosyst. Environ. 2023, 358, 108716. [Google Scholar] [CrossRef]
- Guo, E.L.; Wang, Y.F.; Jirigala, B.; Jin, E. Spatiotemporal variations of precipitation concentration and their potential links to drought in mainland China. J. Clean. Prod. 2020, 267, 122004. [Google Scholar] [CrossRef]
- Bao, S. Soil Agrochemical Analysis; China Agriculture Press: Beijing, China, 2000. [Google Scholar]
- Guan, S.Y. Soil Enzymes and Their Research Methods; Agricultural Press: Beijing, China, 1986. [Google Scholar]
- Li, B.; Li, H.; Guo, X.; Sun, J.; Liang, J.; Long, H.; Tao, Z. Evaluation of soil quality of cultivated land in Ningxia area based on minimum data set. Jiangsu Agric. Sci. 2021, 49, 195–201. (In Chinese) [Google Scholar] [CrossRef]
- Chen, Z. Study on Environmental Quality and Degradationcauses of Greenhouse Agricultural Soil in Shaanxi Province. Master’s Thesis, Northwest Agriculture and Forestry University, Xianyang, China, 2021. (In Chinese). [Google Scholar]
- Rezaei, S.A.; Gilkes, R.J.; Andrews, S.S. A minimum data set for assessing soil quality in rangelands. Geoderma 2006, 136, 229–234. [Google Scholar] [CrossRef]
- Qiao, Y.; Zhong, X.; Miao, S.; Li, Q.; Lu, X. Evaluation indicators of soil quality in plough layer of aeolian sandy land in northeast China based on minimum data set. Res. Soil Water Conserv. 2019, 26, 132–138. (In Chinese) [Google Scholar] [CrossRef]
- Lou, Y.; Shi, D.; Jiang, G.; Jin, H.; Chen, Z.; Lin, Z. Evaluation of soil quality in the cultivated-layer of sloping farmland in purple hilly area based on minimum data set. Sci. Soil Water Conserv. 2019, 17, 75–85. (In Chinese) [Google Scholar] [CrossRef]
- Hu, W.; Liu, W.; Liu, K.; Wu, Y. Evaluation of soil quality and establishment of bio-indicators based on minimal data set. Acta Agrestia Sin. 2024, 32, 3855–3867. (In Chinese) [Google Scholar]
- Mei, N.; Gu, Y.; Li, D.; Liang, Y.; Yuan, J.; Liu, J.; Ren, J.; Cai, H. Soil quality evaluation in topsoil layer of black soil in Jilin Province based on minimum data set. Trans. Chin. Soc. Agric. Eng. 2021, 37, 91–98. (In Chinese) [Google Scholar] [CrossRef]
- Andrews, S.S.; Karlen, D.L.; Mitchell, J.P. A comparison of soil quality indexing methods for vegetable production systems in Northern California. Agric. Ecosyst. Environ. 2002, 90, 25–45. [Google Scholar] [CrossRef]
- Yan, S.H.; Zhang, S.L.; Yan, P.K.; Aurangzeib, M. Effect of biochar application method and amount on the soil quality and maize yield in Mollisols of Northeast China. Biochar 2022, 4, 56. [Google Scholar] [CrossRef]
- Ghorbani, M.; Amirahmadi, E. Insights into soil and biochar variations and their contribution to soil aggregate status—A meta-analysis. Soil Tillage Res. 2024, 244, 106282. [Google Scholar] [CrossRef]
- Fouladidorhani, M.; Shayannejad, M.; Shariatmadari, H.; Mosaddeghi, M.R.; Arthur, E. Pyrolysis of different organic feedstock combinations as soil amendments enhances the reclamation of saline-sodic soil. Soil Tillage Res. 2024, 238, 105993. [Google Scholar] [CrossRef]
- Laghari, M.; Mirjat, M.S.; Hu, Z.Q.; Fazal, S.; Xiao, B.; Hu, M.A.; Chen, Z.H.; Guo, D.B. Effects of biochar application rate on sandy desert soil properties and sorghum growth. Catena 2015, 135, 313–320. [Google Scholar] [CrossRef]
- Foster, E.J.; Fogle, E.J.; Cotrufo, M.F. Sorption to biochar impacts -glucosidase and phosphatase enzyme activities. Agriculture 2018, 8, 158. [Google Scholar] [CrossRef]
- Kuscu, I.S.K.; Cetin, M.; Yigit, N.; Savaci, G.; Sevik, H. Relationship between enzyme activity (urease-catalase) and nutrient element in soil use. Pol. J. Environ. Stud. 2018, 27, 2107–2112. [Google Scholar] [CrossRef]
- Costa, J.C.; Borges, J.A.R.; Pires, L.F. Soil bulk density evaluated by gamma-ray attenuation: Analysis of system geometry. Soil Tillage Res. 2013, 129, 23–31. [Google Scholar] [CrossRef]
- Blanco-Canqui, H. Biochar and soil physical properties. Soil Sci. Soc. Am. J. 2017, 81, 687–711. [Google Scholar] [CrossRef]
- Pranagal, J.; Kraska, P. 10-years studies of the soil physical condition after one-time biochar application. Agronomy 2020, 10, 1589. [Google Scholar] [CrossRef]
- Singh, H.; Northup, B.K.; Rice, C.W.; Prasad, P.V.V. Biochar applications influence soil physical and chemical properties, microbial diversity, and crop productivity: A meta-analysis. Biochar 2022, 4, 8. [Google Scholar] [CrossRef]
- Bird, M.I.; Ascough, P.L.; Young, I.M.; Wood, C.V.; Scott, A.C. X-ray microtomographic imaging of charcoal. J. Archaeol. Sci. 2008, 35, 2698–2706. [Google Scholar] [CrossRef]
- Spokas, K.A.; Koskinen, W.C.; Baker, J.M.; Reicosky, D.C. Impacts of woodchip biochar additions on greenhouse gas production and sorption/degradation of two herbicides in a Minnesota soil. Chemosphere 2009, 77, 574–581. [Google Scholar] [CrossRef] [PubMed]
- Zhu, Z.T.; Zhang, Y.; Tao, W.M.; Zhang, X.L.; Xu, Z.D.; Xu, C.C. The biological effects of biochar on soil’s physical and chemical characteristics: A review. Sustainability 2025, 17, 2214. [Google Scholar] [CrossRef]
- Antal, M.J.; Gronli, M. The art, science, and technology of charcoal production. Ind. Eng. Chem. Res. 2003, 42, 1619–1640. [Google Scholar] [CrossRef]
- Saifullah; Dahlawi, S.; Naeem, A.; Rengel, Z.; Naidu, R. Biochar application for the remediation of salt-affected soils: Challenges and opportunities. Sci. Total Environ. 2018, 625, 320–335. [Google Scholar] [CrossRef]
- Zhang, X.; Qu, J.S.; Li, H.; La, S.K.; Tian, Y.Q.; Gao, L.H. Biochar addition combined with daily fertigation improves overall soil quality and enhances water-fertilizer productivity of cucumber in alkaline soils of a semi-arid region. Geoderma 2020, 363, 114170. [Google Scholar] [CrossRef]
- Xu, Y.X.; He, L.L.; Liu, Y.X.; Lyu, H.H.; Wang, Y.Y.; Chen, J.Y.; Yang, S.M. Effects of biochar addition on enzyme activity and fertility in paddy soil after six years. Ying Yong Sheng Tai Xue Bao 2019, 30, 1110–1118. [Google Scholar] [CrossRef]
- Zaid, F.; Al-Awwal, N.; Yang, J.; Anderson, S.H.; Alsunuse, B.T.B. Effects of biochar-amended composts on selected enzyme activities in soils. Processes 2024, 12, 1678. [Google Scholar] [CrossRef]
- Galazka, A.; Jonczyk, K.; Gawryjolek, K.; Ciepiel, J. The impact of biochar doses on soil quality and microbial functional diversity. Bioresources 2019, 14, 7852–7868. [Google Scholar] [CrossRef]
- Oleszczuk, P.; Josko, I.; Futa, B.; Pasieczna-Patkowska, S.; Palys, E.; Kraska, P. Effect of pesticides on microorganisms, enzymatic activity and plant in biochar-amended soil. Geoderma 2014, 214, 10–18. [Google Scholar] [CrossRef]
- Wu, S.W.; Zhang, Y.; Tan, Q.L.; Sun, X.C.; Wei, W.H.; Hu, C.X. Biochar is superior to lime in improving acidic soil properties and fruit quality of Satsuma mandarin. Sci. Total Environ. 2020, 714, 136722. [Google Scholar] [CrossRef] [PubMed]
- Frankenberger, W.T.; Bingham, F.T. Influence of salinity on soil enzyme-activities. Soil Sci. Soc. Am. J. 1982, 46, 1173–1177. [Google Scholar] [CrossRef]
- Wang, N.; Li, L.; Gou, M.M.; Jian, Z.J.; Hu, J.W.; Chen, H.L.; Xiao, W.F.; Liu, C.F. Living grass mulching improves soil enzyme activities through enhanced available nutrients in citrus orchards in subtropical China. Front. Plant Sci. 2022, 13, 1053009. [Google Scholar] [CrossRef]
- Kot, A.; Frac, M.; Lipiec, J.; Usowicz, B. Biological activity and microbial genetic diversity of bare-fallow and grassland soils. Acta Agric. Scand. Sect. B—Soil Plant Sci. 2015, 65, 648–657. [Google Scholar] [CrossRef]
- Major, J.; Rondon, M.; Molina, D.; Riha, S.J.; Lehmann, J. Maize yield and nutrition during 4 years after biochar application to a Colombian savanna oxisol. Plant Soil 2010, 333, 117–128. [Google Scholar] [CrossRef]
- Uzoma, K.C.; Inoue, M.; Andry, H.; Fujimaki, H.; Zahoor, A.; Nishihara, E. Effect of cow manure biochar on maize productivity under sandy soil condition. Soil Use Manag. 2011, 27, 205–212. [Google Scholar] [CrossRef]
- Chen, Z.K.; Kamchoom, V.; Apriyono, A.; Chen, R.; Chen, C.W. Laboratory study of water infiltration and evaporation in biochar-amended landfill covers under extreme climate. Waste Manag. 2022, 153, 323–334. [Google Scholar] [CrossRef]
- Karer, J.; Wimmer, B.; Zehetner, F.; Kloss, S.; Soja, G. Biochar application to temperate soils: Effects on nutrient uptake and crop yield under field conditions. Agric. Food Sci. 2013, 22, 390–403. [Google Scholar] [CrossRef]
- Luan, J.; Fu, Y.; Tang, W.Z.; Yang, F.; Li, X.Z.; Yu, Z.M. Impact of interaction between biochar and soil microorganisms on growth of chinese cabbage by increasing soil fertility. Appl. Sci. 2023, 13, 12545. [Google Scholar] [CrossRef]
- Wang, H.L.; Lin, K.D.; Hou, Z.N.; Richardson, B.; Gan, J. Sorption of the herbicide terbuthylazine in two New Zealand forest soils amended with biosolids and biochars. J. Soils Sediments 2010, 10, 283–289. [Google Scholar] [CrossRef]
- Spokas, K.A.; Novak, J.M.; Masiello, C.A.; Johnson, M.G.; Colosky, E.C.; Ippolito, J.A.; Trigo, C. Physical disintegration of biochar: An overlooked process. Environ. Sci. Technol. Lett. 2014, 1, 326–332. [Google Scholar] [CrossRef]
- Ippolito, J.A.; Laird, D.A.; Busscher, W.J. Environmental benefits of biochar. J. Environ. Qual. 2012, 41, 967–972. [Google Scholar] [CrossRef]





| Years | pH Value | Organic Matter (g·kg−1) | Available Phosphorus (mg·kg−1) | Available Potassium (mg·kg−1) | Electrical Conductivity (uS·m−1) | Alkaline Hydrolyzable Nitrogen (mg·kg−1) |
|---|---|---|---|---|---|---|
| 2021 | 6.50 | 27.6 | 16.3 | 181.0 | 65.0 | 121.5 |
| 2022 | 6.42 | 27.0 | 15.9 | 162.0 | 78.0 | 110.1 |
| pH | Organic Matter (g·kg−1) | Available Nitrogen (mg·kg−1) | Available Phosphorus (mg·kg−1) | Available Potassium (mg·kg−1) |
|---|---|---|---|---|
| 9.57 | 670 | 68.1 | 1.01 | 34.3 |
| Indicators | Membership Function Types | MembershipFunctions | Membership Function Parameters | |||
|---|---|---|---|---|---|---|
| a1 | b1 | a2 | b2 | |||
| BD (g·cm−3) | Parabola | a1, b1, a2, b2 are the upper and lower limits of the index threshold, and x is the measured value of the index | 1.15 | 1.26 | 1.32 | 1.38 |
| pH | 6.40 | 6.45 | 6.55 | 6.60 | ||
| SWC (%) | S | a1, b1 are the upper and lower limits of the indicator thresholds, and x is the measured value of the indicator | 16.0 | 22.0 | ||
| TSP (%) | S | 43.0 | 53.0 | |||
| CP (%) | S | 22.0 | 30.0 | |||
| EC (μS·cm−1) | S | 47.0 | 85.0 | |||
| AN (mg·kg−1) | S | 103.2 | 121.7 | |||
| HN (mg·kg−1) | S | 32.0 | 43.7 | |||
| NN (mg·kg−1) | S | 8.8 | 16.0 | |||
| SOM (g·kg−1) | S | 20.7 | 24.9 | |||
| AP (mg·kg−1) | S | 16.6 | 24.4 | |||
| AK (mg·kg−1) | S | 160.7 | 189.2 | |||
| S-URE (mg·kg−1 24 h) | S | 0.33 | 0.47 | |||
| S-SC (mg·kg−1 24 h) | S | 11.8 | 14.8 | |||
| S-NP (mg·kg−1 24 h) | S | 0.71 | 0.79 | |||
| S-CAT (mL·g−1 20 min) | S | 0.37 | 0.46 | |||
| Years | Codes | Single Ear Weight (g) | Kernel Rows Per Ear | 100-Kernel Weight (g) | Yield (kg·hm−2) |
|---|---|---|---|---|---|
| 2021 | CK | 277.5 ± 1.2 a | 17.5 ± 0.1 b | 36.5 ± 2.0 a | 9499.0 ± 598.6 b |
| B1 | 284.5 ± 7.5 a | 18.4 ± 0.5 ab | 37.3 ± 1.2 a | 10185.1 ± 583.5 a | |
| B2 | 282.0 ± 1.2 a | 18.9 ± 0.4 a | 36.0 ± 0.9 a | 10137.3 ± 450.7 a | |
| 2022 | CK | 246.8 ± 1.1 a | 17.2 ± 0.1 a | 27.0 ± 0.5 b | 6904.0 ± 170.8 b |
| B1 | 251.2 ± 1.5 a | 17.4 ± 0.1 a | 29.1 ± 0.6 a | 7526.8 ± 249.4 a | |
| B2 | 249.6 ± 2.1 a | 17.2 ± 0.1 a | 28.5 ± 0.3 a | 7294.8 ± 118.0 ab |
| Indexes | Minimum | Maximum | Mean | Standard Deviation | CV (%) |
|---|---|---|---|---|---|
| BD | 1.07 | 1.34 | 1.24 | 0.08 | 6.72 |
| TSP | 44.60 | 55.60 | 51.00 | 3.34 | 6.56 |
| CP | 18.8 | 29.2 | 24.5 | 3.91 | 16.0 |
| SWC | 0.14 | 0.24 | 0.20 | 0.03 | 14.8 |
| pH | 6.40 | 6.81 | 6.54 | 0.11 | 1.70 |
| EC | 21.0 | 115 | 61.4 | 26.0 | 42.4 |
| AP | 11.5 | 28.7 | 20.0 | 4.68 | 23.4 |
| AK | 155 | 229 | 183 | 23.0 | 12.6 |
| SOM | 16.4 | 26.8 | 23.2 | 3.44 | 14.9 |
| AN | 24.0 | 51.6 | 37.0 | 7.79 | 21.1 |
| NN | 4.24 | 34.4 | 12.3 | 7.43 | 60.2 |
| HN | 109 | 142 | 123 | 9.32 | 7.69 |
| S-URE | 0.30 | 0.58 | 0.44 | 0.09 | 20.3 |
| S-SC | 11.3 | 22.0 | 15.5 | 3.53 | 22.7 |
| S-NP | 0.67 | 0.86 | 0.77 | 0.06 | 7.92 |
| S-CAT | 0.36 | 0.67 | 0.47 | 0.07 | 14.7 |
| Index | Load Factor | Norm Values | |||
|---|---|---|---|---|---|
| PC1 | PC2 | PC3 | PC4 | ||
| BD | −0.60 | 0.77 | −0.11 | −0.10 | 2.30 |
| TSP | 0.90 | −0.24 | −0.16 | 0.09 | 2.42 |
| CP | 0.36 | 0.79 | 0.43 | 0.08 | 2.09 |
| SWC | 0.61 | 0.51 | 0.51 | 0.15 | 2.12 |
| pH | −0.93 | 0.26 | 0.12 | 0.18 | 2.51 |
| EC | −0.10 | −0.91 | 0.35 | −0.01 | 2.07 |
| AP | −0.62 | 0.47 | 0.54 | −0.16 | 2.11 |
| AK | −0.76 | 0.37 | 0.47 | 0.01 | 2.29 |
| SOM | 0.82 | −0.34 | 0.12 | −0.29 | 2.28 |
| AN | 0.84 | 0.46 | 0.00 | −0.20 | 2.43 |
| NN | 0.64 | 0.05 | −0.13 | 0.75 | 1.85 |
| HN | −0.68 | −0.56 | −0.29 | 0.32 | 2.22 |
| S-URE | 0.91 | −0.01 | 0.40 | −0.05 | 2.46 |
| S-SC | 0.09 | −0.74 | 0.64 | −0.11 | 1.94 |
| S-NP | 0.10 | 0.15 | −0.90 | −0.32 | 1.56 |
| S-CAT | 0.41 | 0.85 | −0.23 | 0.09 | 2.18 |
| Eigenvalues | 6.80 | 4.73 | 2.68 | 1.01 | |
| Contribution rate of variance (%) | 42.5 | 29.6 | 16.8 | 6.32 | |
| Cumulative rate of contribution (%) | 42.5 | 72.1 | 88.8 | 95.2 | |
| Common Factor Variance | Weights | |
|---|---|---|
| BD | 0.593 | 0.262 |
| SWC | 0.313 | 0.138 |
| pH | 0.766 | 0.339 |
| NN | 0.589 | 0.261 |
| Years | Depth | Treatments | pH | HN (mg·kg−1) | AN (mg·kg−1) | EC (μS·cm−1) | NN (mg·kg−1) | SOM (g·kg−1) | AP (mg·kg−1) | AK (mg·kg−1) | S-URE (mg·g−1·24 h) | S-SC (mg·g−1·24 h) | S-NP (mg·g−1·24 h) | S-CAT (ml·g−1·20 min) |
|---|---|---|---|---|---|---|---|---|---|---|---|---|---|---|
| 2021 | 0–20 cm | CK | 6.46 ± 0.01 a | 114.22 ± 0.40 b | 36.10 ± 0.07 b | 87.42 ± 1.54 a | 9.21 ± 0.17 a | 22.38 ± 0.06 b | 19.46 ± 0.11 b | 183.56 ± 0.65 a | 0.41 ± 0.00 b | 12.26 ± 0.02 b | 0.72 ± 0.01 b | 0.44 ± 0.00 b |
| B1 | 6.46 ± 0.02 a | 127.40 ± 2.06 a | 39.44 ± 0.45 a | 84.58 ± 1.06 a | 9.55 ± 0.96 a | 24.00 ± 0.10 a | 24.09 ± 0.87 a | 184.47 ± 2.34 a | 0.46 ± 0.00 a | 15.05 ± 0.22 a | 0.79 ± 0.00 a | 0.46 ± 0.01 b | ||
| B2 | 6.48 ± 0.00 a | 127.87 ± 0.72 a | 38.28 ± 0.13 a | 70.38 ± 2.88 b | 12.29 ± 1.25 a | 23.60 ± 0.40 ab | 20.45 ± 0.05 b | 194.01 ± 2.06 a | 0.47 ± 0.00 a | 16.03 ± 0.17 a | 0.77 ± 0.01 a | 0.50 ± 0.00 a | ||
| 20–40 cm | CK | 6.56 ± 0.00 a | 110.48 ± 0.76 b | 33.63 ± 0.69 a | 73.04 ± 2.11 a | 11.92 ± 0.53 a | 21.73 ± 0.35 a | 18.05 ± 0.56 a | 181.24 ± 0.13 a | 0.37 ± 0.00 b | 12.95 ± 0.14 c | 0.72 ± 0.00 b | 0.44 ± 0.00 a | |
| B1 | 6.60 ± 0.02 a | 113.93 ± 0.98 ab | 34.98 ± 0.66 a | 60.75 ± 2.90 ab | 12.81 ± 0.57 a | 22.43 ± 0.19 a | 18.34 ± 0.93 a | 180.34 ± 4.65 a | 0.45 ± 0.01 a | 15.71 ± 0.10 a | 0.77 ± 0.01 a | 0.45 ± 0.00 a | ||
| B2 | 6.57 ± 0.00 a | 117.83 ± 0.50 a | 35.64 ± 0.54 a | 52.46 ± 0.83 b | 12.39 ± 0.94 a | 22.71 ± 0.07 a | 19.50 ± 1.16 a | 172.72 ± 1.16 a | 0.42 ± 0.01 a | 15.04 ± 0.02 b | 0.76 ± 0.00 a | 0.44 ± 0.00 a | ||
| 2022 | 0–20 cm | CK | 6.49 ± 0.01 a | 108.62 ± 1.01 a | 36.43 ± 0.25 b | 71.55 ± 4.39 a | 11.56 ± 1.40 a | 22.60 ± 0.43 a | 18.04 ± 0.32 b | 161.73 ± 2.58 b | 0.38 ± 0.01 b | 12.14 ± 0.07 b | 0.72 ± 0.01 b | 0.37 ± 0.01 b |
| B1 | 6.52 ± 0.01 a | 112.35 ± 1.01 a | 38.88 ± 0.89 b | 71.08 ± 4.92 a | 15.60 ± 0.75 a | 23.50 ± 0.08 a | 20.88 ± 0.52 a | 163.32 ± 0.90 b | 0.44 ± 0.00 a | 12.96 ± 0.19 a | 0.79 ± 0.00 a | 0.42 ± 0.01 a | ||
| B2 | 6.52 ± 0.01 a | 109.91 ± 0.76 a | 43.17 ± 0.63 a | 68.53 ± 2.09 a | 16.74 ± 0.87 a | 23.78 ± 0.37 a | 20.85 ± 0.44 a | 180.45 ± 1.12 a | 0.43 ± 0.00 a | 13.39 ± 0.03 a | 0.77 ± 0.01 a | 0.42 ± 0.01 a | ||
| 20–40 cm | CK | 6.53 ± 0.02 a | 104.13 ± 1.09 a | 38.36 ± 1.27 a | 61.93 ± 0.71 a | 11.81 ± 0.35 a | 21.05 ± 0.52 a | 17.66 ± 0.33 a | 151.32 ± 3.13 b | 0.38 ± 0.00 b | 11.54 ± 0.17 a | 0.72 ± 0.00 b | 0.37 ± 0.01 a | |
| B1 | 6.52 ± 0.01 a | 107.16 ± 0.62 a | 38.12 ± 0.87 a | 63.50 ± 1.49 a | 13.48 ± 1.06 a | 22.43 ± 0.20 a | 18.95 ± 0.04 a | 155.00 ± 2.37 b | 0.43 ± 0.01 a | 11.79 ± 0.17 a | 0.77 ± 0.01 a | 0.38 ± 0.01 a | ||
| B2 | 6.52 ± 0.04 a | 107.51 ± 0.78 a | 41.23 ± 0.34 a | 62.89 ± 0.20 a | 13.69 ± 0.45 a | 21.02 ± 0.39 a | 19.01 ± 1.08 a | 177.47 ± 4.16 a | 0.39 ± 0.00 b | 12.21 ± 0.16 a | 0.76 ± 0.00 a | 0.40 ± 0.01 a |
| Years | Treatments | BD (g·cm−3) | SWC (%) | TSP (%) | CP (%) |
|---|---|---|---|---|---|
| 2021 | CK | 1.28 ± 0.01 a | 19.50 ± 0.41 a | 49.59 ± 0.09 a | 24.89 ± 0.60 a |
| B1 | 1.26 ± 0.01 a | 20.58 ± 0.25 a | 50.89 ± 0.18 a | 25.80 ± 0.41 a | |
| B2 | 1.24 ± 0.01 b | 19.80 ± 0.06 a | 50.97 ± 0.35 a | 24.48 ± 0.12 a | |
| 2022 | CK | 1.31 ± 0.02 a | 18.58 ± 0.51 a | 49.03 ± 0.79 a | 24.23 ± 0.31 a |
| B1 | 1.28 ± 0.02 a | 17.42 ± 1.30 a | 45.62 ± 0.91 a | 22.27 ± 1.48 a | |
| B2 | 1.27 ± 0.00 b | 19.65 ± 0.55 a | 45.75 ± 0.54 a | 24.71 ± 0.64 a |
Disclaimer/Publisher’s Note: The statements, opinions and data contained in all publications are solely those of the individual author(s) and contributor(s) and not of MDPI and/or the editor(s). MDPI and/or the editor(s) disclaim responsibility for any injury to people or property resulting from any ideas, methods, instructions or products referred to in the content. |
© 2025 by the authors. Licensee MDPI, Basel, Switzerland. This article is an open access article distributed under the terms and conditions of the Creative Commons Attribution (CC BY) license (https://creativecommons.org/licenses/by/4.0/).
Share and Cite
Hou, L.; Wang, Y.; Wang, Z.; Gao, R.; Zhou, X.; Yang, S.; Luo, X.; Jiang, Z.; Liu, Z. Effects of Biochar on Soil Quality in a Maize Soybean Rotation on Mollisols. Agronomy 2025, 15, 1226. https://doi.org/10.3390/agronomy15051226
Hou L, Wang Y, Wang Z, Gao R, Zhou X, Yang S, Luo X, Jiang Z, Liu Z. Effects of Biochar on Soil Quality in a Maize Soybean Rotation on Mollisols. Agronomy. 2025; 15(5):1226. https://doi.org/10.3390/agronomy15051226
Chicago/Turabian StyleHou, Likun, Yuchao Wang, Zhipeng Wang, Ruichun Gao, Xin Zhou, Siyu Yang, Xu Luo, Zhenfeng Jiang, and Zhihua Liu. 2025. "Effects of Biochar on Soil Quality in a Maize Soybean Rotation on Mollisols" Agronomy 15, no. 5: 1226. https://doi.org/10.3390/agronomy15051226
APA StyleHou, L., Wang, Y., Wang, Z., Gao, R., Zhou, X., Yang, S., Luo, X., Jiang, Z., & Liu, Z. (2025). Effects of Biochar on Soil Quality in a Maize Soybean Rotation on Mollisols. Agronomy, 15(5), 1226. https://doi.org/10.3390/agronomy15051226

