Next Article in Journal
Bacterial Community Dynamics in Oil-Contaminated Soils in the Hyper-Arid Arava Valley
Previous Article in Journal
Full-Length Transcriptome Analysis of Sesbania cannabina Stem Response to Waterlogging Stress
Previous Article in Special Issue
Biochar: A Valid Additive to Enhance Kiwifruit In Vitro Proliferation
 
 
Font Type:
Arial Georgia Verdana
Font Size:
Aa Aa Aa
Line Spacing:
Column Width:
Background:
Article

Enhancing Growth and Nutrient Uptake in Chinese Cabbage Through the Application of Corn Steep Liquor and Myo-Inositol in Salt-Stressed Soils

1
Beijing Key Laboratory of Farmyard Soil Pollution Prevention-Control and Remediation, College of Resources and Environmental Sciences, China Agricultural University, Beijing 100193, China
2
Zhucheng HaoChen Biotechnology Co., Ltd., Zhucheng 262200, China
3
School of Humanities and Social Sciences, Qingdao Agricultural University, Qingdao 266000, China
*
Author to whom correspondence should be addressed.
Agronomy 2025, 15(5), 1196; https://doi.org/10.3390/agronomy15051196
Submission received: 17 April 2025 / Revised: 9 May 2025 / Accepted: 13 May 2025 / Published: 15 May 2025

Abstract

Agricultural and food processing wastes, such as corn steep liquor (CSL) and myo-inositol (MI), are promising biostimulants for enhancing crop resilience under abiotic stress. While our previous work established the effectiveness of CSL-MI co-application in mitigating salt stress in Brassica rapa, critical knowledge gaps persist regarding their combined mechanisms in regulating root system architecture and nutrient acquisition efficiency. Here, we investigate the comparative efficiency of CSL and MI in promoting growth and nutrient acquisition in Chinese cabbage under saline conditions (2.25g·kg−1 NaCl stress). Plant biomass, root architecture, photosynthetic pigment content, and total nitrogen and total phosphorus concentrations were measured. We found that co-application of CSL and MI increased the shoot fresh weight by 124.48% and the root fresh weight by 169.49% and plant total nitrogen content increased by 39.49% and plant total phosphorus content increased by 56.87% as compared to the salt treatment alone. The results emphasize the potential of agricultural waste-derived biostimulants for sustainable crop production under salt stress, with Chinese cabbage exhibiting similar responsiveness to combined CSL-MI application compared to other cabbage under similar stress.

1. Introduction

The rapid industrialization and agricultural modernization in China have brought increasing attention to agricultural waste management challenges [1]. As the world’s largest agricultural producer, China generates staggering quantities of agricultural byproducts annually. Annual livestock manure production reaches nearly 3.8 billion tons globally, yet less than 60% undergoes effective utilization. Meanwhile, crop cultivation yields nearly 900 million tons of straw, over 200 million tons of which remain unutilized [2]. Additionally, agricultural processing industries contribute about 120 million tons of secondary products. Improper disposal of these wastes not only causes severe environmental pollution but also represents significant resource wastage [3]. Among various agricultural byproducts, corn steep liquor (CSL)—a principal processing byproduct in corn refining—presents particularly pressing challenges for value-added utilization. As a major global manufacturer of corn starch, China primarily employs wet milling techniques, resulting in significant CSL production as an inherent byproduct of this manufacturing method [4]. Conventional disposal methods include the following: partial utilization as microbial fermentation media or animal feed additives and application as biostimulants components in agrochemicals. However, these approaches demonstrate limited economic benefits and fail to fully utilize the massive production volume while still posing environmental risks. Notably, CSL contains abundant bioactive components as a natural organic complex, including organic matter, soluble sugars, mineral elements, and various vitamins and growth factors. These components confer unique advantages for agricultural applications [5]. Research has demonstrated CSL’s multifunctional effects as a biostimulant, with its bioactive compounds capable of activating plant stress resistance mechanisms [6]. However, current research on CSL’s agricultural applications remains inadequate in two critical aspects: First, most studies focus on industrial applications, overlooking its potential in agriculture. Second, the synergistic effects between CSL and endogenous stress-resistant substances (e.g., myo-inositol) in saline–alkali soil remediation remain unclear, substantially limiting practical applications.
Currently, plant-derived biostimulants have been extensively investigated, including licorice-derived compounds, plant protein hydrolysates from legumes, and moringa extract [7], while corn steep liquor (CSL) as a kind of biostimulant has not yet received widespread attention. CSL is derived from the byproducts of corn deep processing, it is rich in amino acids, sugars, sulfites, and mineral macronutrients [8]. CSL applied at low concentrations can improve the germination of broad bean seeds and plant growth rate and improve the salt resistance of crops [9]. Navarro-Morillo et al. [7] investigated whether foliar/root application of CSL could mitigate nitrogen deficiency in pepper plants (Capsicum annuum L.) under reduced N supply (25–100% N). While CSL failed to fully compensate for N limitation, it significantly improved nitrogen use efficiency (NUE) and nitrogen utilization efficiency in N-deficient plants. This enhancement was attributed to increased activity of key N-assimilation enzymes (nitrate reductase and glutamine synthetase) and elevated amino acid/protein concentrations in CSL-treated plants. As a vital cellular metabolite, myo-inositol (MI) contributes significantly to both growth promotion and salt stress mitigation in plants [10]. Klages et al. documented dose- and duration-dependent MI accumulation in leaves of Actinidia deliciosa and A. arguta under high salinity, with rapid concentration declines post stress relief [11]. Salt stress upregulates MIPS and IMT gene expression in Mesembryanthemum crystallinum leaves, augmenting the synthesis of MI and its methylated derivatives [12]. MI derivatives (e.g., galactinol, raffinose, and pinitol) serve dual protective roles: osmo protection through osmotic potential regulation and ROS scavenging to mitigate oxidative damage. These mechanisms collectively preserve photosynthetic apparatus integrity and maintain normal plant growth under stress conditions. Previous reports suggest that exogenous application of inositol could not only alleviate stress but also alter the gene expression involved in cell wall biosynthesis, the regulation of phytohormones, redox reactions, and chromosome modifications [13,14,15]. In addition, some inositol isoforms (e.g., myo-inositol) may act as strong chelators of metal cations possibly facilitating the absorption and transport of nutrients. Given the crucial role of inositol in cellular processes, particularly its protective effects under biotic and abiotic stress conditions, there remains a limited understanding of how exogenous inositol application influences plants, including its impact on nutrient uptake and translocation. Salt stress represents a significant environmental challenge in agricultural production, affecting about 20% of the world’s irrigated area [16]. To alleviate salt stress and increase crop yields, chemical amendments such as calcium-based materials and acid materials are often used, but they tend to be monofunctional and short-lived. Both corn steep liquor (CSL) and myo-inositol (MI) are rich in essential nutrients and bioactive compounds. Notably, CSL application in saline–alkali soils can facilitate ion exchange processes, effectively reducing soluble salt content in the soil profile. Concurrently, MI demonstrates significant potential in alleviating plant salt stress through multiple physiological mechanisms. Our previous studies revealed that the co-application of CSL and MI significantly improved the growth performance of Brassica rapa under salt-stress conditions, primarily through enhancing photosynthetic efficiency and ionic homeostasis [17]. Consequently, the co-application of CSL and MI may represent a novel and sustainable approach for saline soil remediation and crop production enhancement. We hypothesize that CSL and MI may serve as potential biostimulants and that their co-application would demonstrate superior efficacy in promoting crop growth and nutrient acquisition compared to individual applications.
Therefore, this work investigated the effects of corn steep liquor (CSL) and myo-inositol (MI) on plant growth, root development, structure, and nutrient utilization under salt stress. The objective was to evaluate the synergistic effects of CSL and MI in stimulating Chinese cabbage growth, improving nutrient uptake, and alleviating salt stress. Our results will promote the roles of CSL and MI as efficient biostimulants in improving plant growth and promoting the resource utilization of agricultural waste.

2. Materials and Methods

2.1. Characteristics of Corn Steep Liquor and Myo-Inositol

The myo-inositol (MI, white powder) and corn steep liquor (CSL) were procured from Shandong Zhucheng Haochen Biotechnology Co., Ltd., Zhucheng, China, and the CSL was directly extracted from the corn-soaking solution. CSL is a yellow-brown liquid rich in polysaccharides, vitamins, organic acids, crop-promoting biomass, etc., and is produced by a deep biochemical extraction process using corn as the raw material [17]. The characteristics of CSL are shown in Table 1.

2.2. Soil and Seedling

The Chinese cabbage (Brassica rapa subsp. pekinensis) seeds (Golden Queen) were purchased from Lanzhou Shengshinong Seed Co., Ltd. (Lanzhou, China). The soil in the experiments was collected from Dongying City, Shandong Province. Large soil blocks, stones, and plant residues were removed from the 0–25 cm soil layer and screened with a 4 mm screen. After sifting, the soil was laid on the ground for drying. Following cabbage harvest, composite soil samples were prepared by thorough mixing and subsequently analyzed for fundamental chemical characteristics, as presented in Table 2.

2.3. Pot Experiment Design

The pot experiment was conducted in the greenhouse of the Chemistry Building of Qingdao Agricultural University from April to June 2023. First, put filter paper on the bottom of the plastic flower pot, mix the sifted soil sample evenly, and then fill the pot with 1 kg of soil in each pot. At the two-leaf-one-heart stage (18 days post-sowing), transplant the baby cabbage into the pot and pad the tray. On the 7th day, 14th day, and 21st day after planting, potted plants of the experimental group were added with treatments as shown in Table 3, including the single and combined application of two materials. Both applications were applied by root application. The pot experiment followed a randomized complete block design with four treatments: (1) CK (salt stress control); (2) JR (salt stress + myo-inositol); (3) YR (salt stress + corn steep liquor); and (4) YJR (salt stress + corn steep liquor + myo-inositol). Each treatment was replicated three times. After 45 days of treatment, shoot and root fresh weights were measured at harvest.

2.4. Physical and Biochemical Analyses

Plant biomass was assessed by measuring fresh weights of stems and roots from uniform plant sections using an electronic balance. After harvest, the roots of Chinese cabbage were washed with deionized water. Root architectural traits, including length, surface area, volume, mean diameter, and tip count, were quantified using a Microtek ScanWizard EZ system coupled with WinRHIZO V700 software [18].
Chlorophyll content was determined following the protocol of Lichtenthaler and Manzoor [19,20]. Leaf samples were extracted in 15 mL of 95% ethanol and kept in darkness for 24 h, followed by spectrophotometric measurement at 665, 646, and 470 nm. For cation analysis (K⁺, Na⁺, Ca2⁺, and Mg2⁺), dried plant material (0.5 g) was ashed at 550 °C for 4 h according to Loupassaki [21]. The ash was dissolved in HCl, diluted to volume, filtered, and analyzed using a flame photometer (M410).
Leaf gas exchange parameters (net photosynthetic rate (Pn), stomatal conductance (Gs), transpiration rate (Tr), and intercellular CO2 concentration (Ci)) were measured using a portable photosynthesis system (CIRAS-3, HansaTech Instruments Co. Ltd., Pentney, UK). Soil organic matter (SOM) was quantified via the K2Cr2O7–H2SO4 oxidation method: 0.5 g samples were digested with 5 mL 0.4 M K2Cr2O7 and 10 mL concentrated H2SO4 at 150 °C for 30 min, followed by titration with FeSO4. Total nitrogen (TN) was determined by the Kjeldahl method [22].
Available phosphorus (AP) and potassium (AK) were analyzed in air-dried soil samples. AP was determined using the sodium hydrogen carbonate solution–Mo–Sb anti spectrophotometric method. AK was determined using the flame atomic absorption spectrophotometry method extracted by 1 M ammonium acetate solution. Soil pH and EC were analyzed at a 1:2.5 soil–water ratio with a pH meter (PHS-3C YouKe, Shanghai, China) [23,24].

2.5. Statistical Analysis

The values represent means ± standard error of three biological replicates. Differences among treatments were assessed by one-way ANOVA (SPSS 21.0) followed by Duncan’s test (p < 0.05). Graphical representations were generated in OriginPro 2023 [25].

3. Results

3.1. Effect of CSL and MI Application on Plant Growth

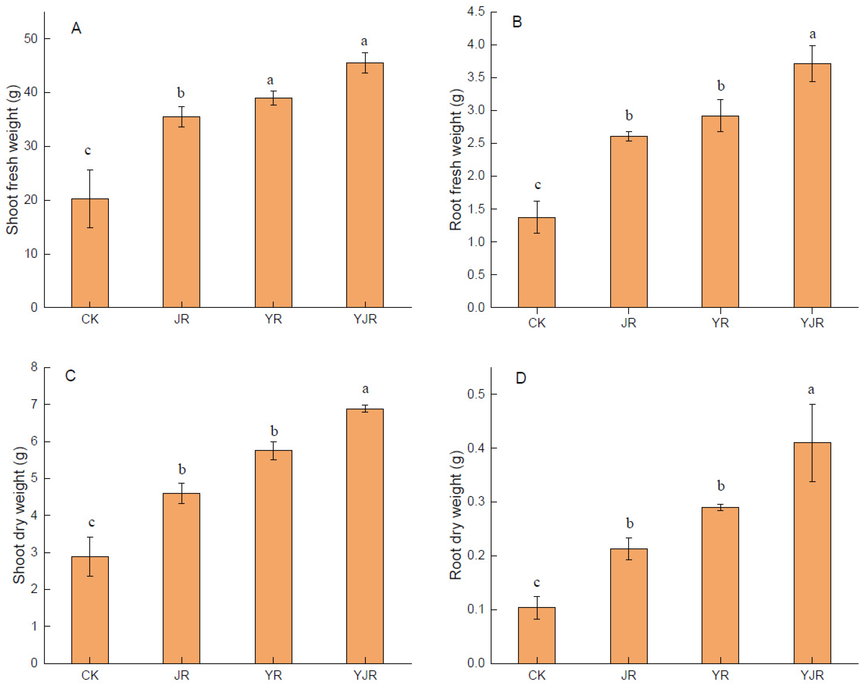
Both individual and combined applications of CSL and MI treatments significantly improved Chinese cabbage biomass production under salt stress, with higher shoot and root fresh/dry weights compared to the CK group (Figure 1). Moreover, compared with CK treatment, YR treatment exhibited a marked increment in shoot fresh weight (92.26%) and root fresh weight (144.07%). JR treatment exhibited a remarkable increment in shoot fresh biomass (74.88%) and root fresh biomass (75.79%). Shoot and root dry weights of Chinese cabbage exhibited similar trends. Specifically, among all treatments, the combined YJR application (CSL with MI) demonstrated the most significant enhancement of Chinese cabbage fresh and dry biomass production.

3.2. Effect of CSL and MI Application on Root Architecture

The impacts of the different treatments on root architecture were assessed by measuring changes in root branching and root growth (Table 4). Different treatments have a significant promoting effect on the root architecture of Chinese cabbage. Compared with salt treatment alone (CK), YJR treatment significantly enhanced root system architecture, increasing total root length (2.61-fold), network area (2.99-fold), root tips (2.84-fold), and branch points (4.22-fold) compared to the CK group (p < 0.05).

3.3. Effect of CSL and MI Application on Photosynthetic Pigment Contents and Photosynthesis

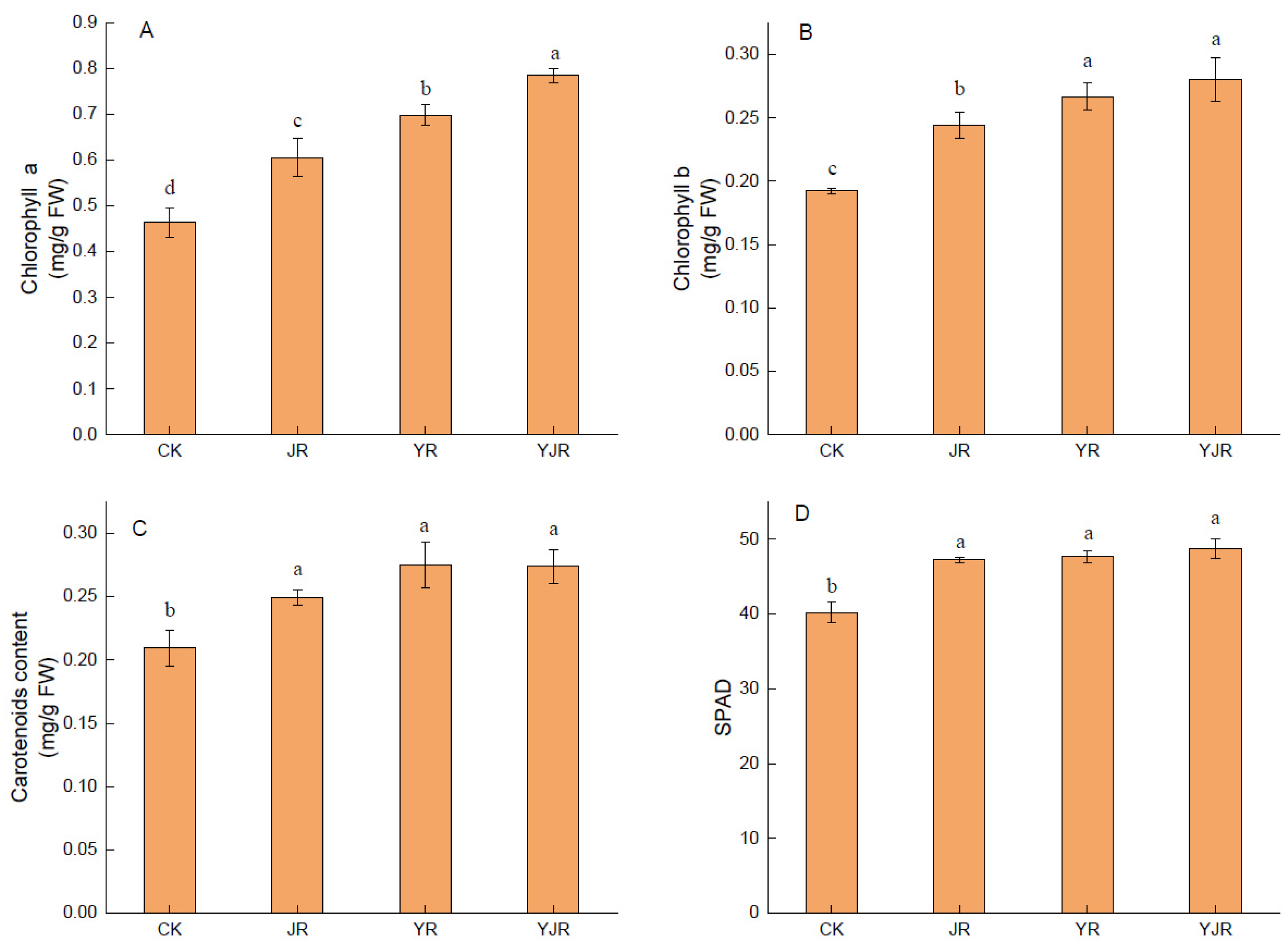
Chlorophyll a and b and carotenoid contents were significantly higher in the YJR treatment compared with the CK treatment (Figure 2). Specially, chlorophyll a content was significantly increased by 30.70%, 50.68%, and 69.23% (p < 0.05) in the YR, JR, and YJR treatment as compared with the CK treatment, chlorophyll b contents were significantly increased by 27.04%, 38.82%, and 45.75% (p < 0.05) in the YR, JR, and YJR treatment compared with the CK treatment, and carotenoids content also displayed a similar trend.
Moreover, compared with the CK group, YJR had the best effect on leaf Soil and Plant Analyzer Development (SPAD), which significantly increased stomatal conductance (Gs), net photosynthetic rate (Pn), and transpiration rate (Tr) and reduced the intercellular CO2 (Ci) of Chinese cabbage relative to the control. Specifically, compared with the CK treatment, when exogenous CSL and MI were added under salt-stress conditions, Pn, Gs, and Tr increased by 121.21%, 98.09%, and 48.35% (Figure 3). Compared to CK, CSL and MI application (YJR) significantly altered ion homeostasis under salt stress, reducing Na⁺ content by 20.9% while increasing K⁺ (61.3%), Ca2⁺ (38.1%), and Mg2⁺ (22.1%) concentrations (Figure 4).
Compared with salt treatment alone, the sole or co-application of CSL and MI significantly enhanced the antioxidant enzyme activity of baby cabbage. The SOD activity of root administration of MI increased by 12% compared with that of salt treatment alone (CK). The SOD activity of the root application of CSL increased by 57.4% compared with salt treatment alone (CK). The effect of root application after the combination of CSL and MI was the most significant. Compared with salt treatment alone (CK), the SOD activity increased by 63.8% (Figure 5).

3.4. Effect of CSL and MI Application on Plant Nutrient Uptake

Nutrient analysis revealed that while CSL treatments (solo or combined) significantly improved cabbage nutrient status under salinity (Figure 6), MI application alone failed to alter total nitrogen content compared to CK. Meanwhile, the effect of YJR treatment was the most significant, and the total nitrogen content of the plants increased by 39.49%. Additionally, the individual and combined applications of CSL and MI significantly increased the total phosphorus content of Chinese cabbage. The individual treatment of CSL and MI increased the total phosphorus content by 45.65% and 40.04%, respectively, and the combined YJR treatment significantly increased the total phosphorus content of Chinese cabbage by 56.87%.
Compared with CK, both individual and combined applications of CSL and MI applications significantly affected soil organic matter (SOM) and available phosphorus (AP) and potassium (AK) contents (Table 5). Specifically, the individual treatment of CSL and MI increased the available phosphorus content by 21.60% and 10.11%, respectively, and the YJR treatment significantly increased the total phosphorus content of Chinese cabbage by 31.64%. Additionally, the individual treatment of CSL and MI increased the available potassium content by 7.00% and 5.23%, respectively, and the YJR treatment significantly enhanced total potassium content in Chinese cabbage by 7.54% (p < 0.05).

3.5. Principal Component and Correlation Analysis of Chinese Cabbage Growth and Nutrient Uptake

Principal component analysis (PCA) of plant nutrient uptake, soil properties, and plant biomass revealed significant differences between the salt treatment control (CK) and treatments supplemented with myo-inositol (JR), corn steep liquor (YR), or their combination (YJR) (Figure 7). The first principal component, PC1, explained 90.3% of the variance and clearly separated the treatments, with the combined YJR treatment showing the strongest positive effects on soil properties (pH, EC, TP, and AK) and plant growth parameters (shoot fresh weight, shoot dry weight, and root dry weight). In contrast, the salt treatment control (CK) was associated with higher TN (total nitrogen) content but poorer performance in another measured indicator.

4. Discussion

High pH in salt soils often leads to plant growth inhibition; when the pH of the soil around the plant root system increased, some metal ions, such as Ca2+ and Fe3+ Mg+, were deposited, accompanied with a decrease in inorganic anions, and the uptake of mineral nutrients by the plant was impeded, resulting in severe nutrient stress, which in turn inhibited the growth of the plant [25]. Corn steep liquor (CSL) and myo-inositol (MI) exhibit cross-crop conservation in their salt mitigation effects. In pepper (Capsicum annuum), CSL alleviates stress by reducing MDA content (3.5-fold) and enhancing photosynthesis [26], while the use of 1% corn steep liquor solution modified soil chemistry by increasing pH and improving nutrient accessibility, which subsequently stimulated faster vegetative growth and induced earlier flowering phases in soybean [9], suggesting that leguminous crops may amplify the nutrient-enhancing effects of CSL through their nodule symbiosis system. In contrast, MI in halophytes like Mesembryanthemum crystallinum primarily drives osmotic adjustment via upregulation of MIPS/IMT genes [12], whereas in malus hupehensis rehd, it preferentially regulate Na⁺/K⁺ homeostasis [27], indicating the existence of metabolic preference in the MI response among different crops. In this study, we showed that corn steep liquor (CSL) and myo-inositol (MI), alone or in combination, significantly increased tolerance to salt stress and promoted the biomass of Chinese cabbage (Figure 1). Biomass serves as a reliable indicator for stress assessment in plants, reflecting their physiological performance [28]. We believed that the increase in biomass of Chinese cabbage was primarily due to the essential nutrients, such as minerals, amino acids, and phenolic acids, present in CSL and MI. These nutrients are essential for plant growth and development [29,30]. Firstly, they increase the chlorophyll content, which in turn promotes photosynthesis in the plant to some extent. Secondly, they regulate the osmotic balance, which has the potential to alleviate ionic stress induced by salt stress on Chinese cabbage. In other words, these substances inhibit Na+ uptake and promote K+, Ca2+, and Mg2+ uptake, thereby enabling the plant to grow under salt-stress conditions [9,27].
As the principal interface between plants and soil, roots facilitate the absorption of water and essential nutrients. The root system of plants can utilize the chelating coordination function of special amino acids and small peptides to bind available nutrients, thus improving the utilization of nutrients, promoting plant growth, and increasing crop yields [9]. Previous studies have found a strong relationship between root biomass and length and nutrient uptake by plants [31]. We also found that YJR treatment significantly enhanced root elongation and total nitrogen accumulation in Chinese cabbage (p < 0.05) (Table 4; Figure 6), which suggests that corn steep liquor and myo-inositol application improved the osmoregulatory capacity of the Chinese cabbage root system, and the main reason was that the bioactive substances contained in the corn steep liquor significantly improved the root conformation of Chinese cabbage and promoted root development, which explained the increase in the indexes of root vigor, total root length, and root volume. Similarly, Campobenedetto et al. demonstrated that tannin-derived biostimulants can modify root architecture and enhance salt-stress tolerance in tomato plants [32], this root system architectural optimization phenomenon is not unique to Chinese cabbage. In tomato studies, CSL was found to induce lateral root proliferation through IAA signaling, while MI treatment in quinoa (Chenopodium quinoa) promoted root hair density enhancement [33].
Chlorophyll, as the primary pigment driving photosynthetic processes, is highly sensitive to abiotic stress [34]. Building upon our previous findings in Brassica rapa, where MI+CSL increased chlorophyll a and chlorophyll b content by 54.84% and 37.84% under 150 mM NaCl stress, the current study reveals even stronger protection (chlorophyll a and chlorophyll b content increased by 69.23% and 45.75% under 2.25g·kg−1 NaCl stress), demonstrating dose-dependent efficacy [17]. Similar to the previous research [35], our study demonstrates that salt stress significantly suppressed chlorophyll content (Figure 2) and impaired photosynthetic efficiency (Figure 3). These observations can be attributed to three key mechanisms: (1) direct degradation of chlorophyll pigments by reactive oxygen species, (2) structural damage to thylakoid membranes, and (3) stomatal limitation-induced CO2 deprivation [36]. Notably, corn steep liquor (CSL) and myo-inositol (MI) co-application effectively mitigated these stress responses, likely through preserving photosystem II integrity and maintaining stomatal functionality. This protective effect holds particular significance given chlorophyll’s dual role in both light harvesting and electron transport chain activation—processes that ultimately determine the quantum yield of photosynthesis [37]. In addition, CSL and myo-inositol application could also increase the ion content of Chinese cabbage leaves and promote the uptake of K+, Ca2+, and Mg2+, thus alleviating the ionic stress caused by salt stress on Chinese cabbage seedlings (Figure 4). Similarly, exogenous inositol can significantly improve plant productivity. Myo-inositol is considered a growth factor that interacts closely with plant hormones to regulate growth [38,39]. For example, myo-inositol can conjugate with IAA to form IAA-mi, which promotes the long-distance transport of growth hormones in plants [40]. The promising properties of corn steep liquor and inositol as biostimulants suggest that their application can lead to significant improvements in plant growth and stress tolerance. By enhancing root conformation and boosting photosynthetic pigment content, these biostimulants can help plants thrive even in challenging environments [41,42].
In phosphorus-fixing soils, the organic acid components in CSL mobilize fixed phosphorus, while MI expands the phosphorus acquisition area through induced lateral root proliferation. Comparative studies reveal weaker phosphorus efficiency improvement by MI in hydroponic systems, underscoring that the soil–root interaction serves as a critical mediator for the synergistic effects [43]. Nutrient homeostasis is a fundamental aspect of plant growth, and our study has gained valuable insights into the effects of exogenous CSL and MI treatments on plant nutrient uptake and homeostasis. Based on our findings, we observed that a combination of CSL and MI treatments significantly improved the TP and TN of Chinese cabbage and soil nutrients (Table 5; Figure 6). The reason may be that the combined application of both treatments enhanced the root structure of Chinese cabbage, which is crucial for nutrient and water uptake in plants. A healthy and vigorous root system in the early stages of a plant’s life is critical for its long-term growth and sustainability [44]. In addition, corn steep liquor and myo-inositol act as plant biostimulants by enhancing key metabolic enzymes, antioxidant activity, and secondary metabolite production in root systems [45,46]. Biostimulants have a beneficial impact on crop growth by enhancing the uptake of nutrients. When crops face salt stress, their root systems are often curtailed, which limits their growth. However, biostimulants can help alleviate salt stress, which allows the crop’s root system to expand, resulting in a greater area of contact with the soil. This expansion not only improves nutrient uptake but also promotes healthy root development [47,48,49]. Low levels of nitrogen promote the growth of deep vertical roots, while low levels of phosphorus and other micronutrients promote the growth of lateral roots and root hairs [49,50]. The application of both substances promotes the growth of lateral roots in Chinese cabbage, because it helps the plant utilize phosphorus more efficiently. Phosphate does not move around much in the soil, so growing lateral roots is a good way to encourage root growth and improve phosphorus uptake in hydroponic systems such as water hyacinth cultivation [51]. The characteristic increase in lateral root growth under phosphorus deficiency remains evident, as nutrient transport limitations are minimized and hydroponically grown chickpeas [43]. The application of CSL and MI can cause changes in root growth, which can help to explain the uptake of nitrogen (N) and phosphorus. In soil growth, phosphorus limitation is a common problem that hinders plant growth and often results in over-fertilization and phosphorus accumulation in the soil [52]. Therefore, the application of CSL and MI under phosphorus-deficient conditions may be a strategy for improving plant phosphorus uptake.

5. Conclusions

In the present study, we found that the combination of corn steep liquor and myo-inositol is effective in reducing the negative effects of salt stress on Chinese cabbage. It promotes root development, increases chlorophyll content, and inhibits the uptake of Na+. Additionally, it promotes the uptake of K+, Ca2+, and Mg2+ in Chinese cabbage, which helps to further reduce the negative effects of salt stress. Moreover, this combination helps in the uptake of phosphorus by improving the morphological structure of the root system, increasing the number and length of roots, and enhancing the surface area of the root system. Furthermore, the results hint that the biostimulants, CSL and MI, derived from agricultural waste should, in the future, find applications for improving plant growth and productivity under abiotic stresses condition.

Author Contributions

X.W.: Methodology, Data curation, Writing—original draft; X.Y.: Data curation, Visualization; X.Z.: Software, Formal analysis, Writing—review and editing; L.L.: Data curation, Writing—review and editing; Q.Q.: Data curation, Writing—review and editing; W.C.: Methodology, Data curation, Writing—review and editing; Q.C.: Conceptualization, Methodology, Writing—review and editing; K.M.: Conceptualization, Methodology, Supervisor, Funding acquisition, Writing—review and editing. All authors have read and agreed to the published version of the manuscript.

Funding

This research was funded by the 145th National Key Research and Development Plan project (2023YFD1700204-3).

Data Availability Statement

The data that support the findings of this study are available from the corresponding author upon reasonable request.

Conflicts of Interest

Author Qingzhen Qi was employed by the company Zhucheng Haochen Biotechnology Co., Ltd. The remaining authors declare that the research was conducted in the absence of any commercial or financial relationships that could be construed as a potential conflict of interest.

Abbreviations

CSL, corn steep liquor; MI, myo-inositol; TN, total nitrogen; TK, total potassium; TP, total phosphorus; EC, electric conductivity; AK, available potassium; AP, available phosphorus; SOM, organic matter; Pn, photosynthetic rate; Gs, stomatal conductance; Tr, transpiration rate; Ci, intercellular CO2 concentration. CK: salt treatment control; JR: salt treatment + myo-inositol; YR: salt treatment + corn steep liquid; YJR: salt treatment + corn steep liquid + myo-inositol.

References

  1. Gontard, N.; Sonesson, U.; Birkved, M.; Majone, M.; Bolzonella, D.; Celli, A.; Angellier-Coussy, H.; Jang, G.; Verniquet, A.; Broeze, J.; et al. A research challenge vision regarding management of agricultural waste in a circular bio-based economy. Crit. Rev. Environ. Sci. Technol. 2018, 48, 614–654. [Google Scholar] [CrossRef]
  2. Yin, Q.; Wang, Q.; Du, M.; Wang, F.; Sun, W.; Chen, L.; Tang, H. Promoting the resource utilization of agricultural wastes in China with public-private-partnership mode: An evolutionary game perspective. J. Clean. Prod. 2024, 434, 140206. [Google Scholar] [CrossRef]
  3. Koul, B.; Yakoob, M.; Shah, M.P. Agricultural waste management strategies for environmental sustainability. Environ. Res. 2022, 206, 112285. [Google Scholar] [CrossRef]
  4. Jiao, Y.; Chen, H.; Han, H.; Chang, Y. Development and utilization of corn processing by-products: A review. Foods. 2022, 11, 3709. [Google Scholar] [CrossRef]
  5. Tauqir, N.A.; Faraz, A.; Passantino, A.; Shahzad, M.A.; Bilal, R.M.; Tahir, A.; Ishaq, H.M.; Waheed, A. Impact of Corn Steep Liquor and Enzose Mixture on Growth Performance of Chicks. Pak. J. Zool. 2022, 54, 491–494. [Google Scholar] [CrossRef]
  6. Zhou, K.; Yu, J.; Ma, Y.; Cai, L.; Zheng, L.; Gong, W.; Liu, Q. Corn Steep Liquor: Green Biological Resources for Bioindustry. Appl. Biochem. Biotech. 2022, 194, 3280–3295. [Google Scholar] [CrossRef]
  7. Navarro-Morillo, I.; Blasco, B.; Cámara-Zapata, J.M.; Muñoz-Acero, J.; Simón-Grao, S.; Alfosea-Simón, M.; Plasencia, F.; García-Sanchez, F. Corn Steep Liquor application on pepper plants (Capsicum annum L.) stimulates growth under nitrogen-deficient growing conditions. Sci. Hortic. 2024, 328, 112955. [Google Scholar] [CrossRef]
  8. Cornejo-Villegas, M.D.L.Á.; Rincón-Londoño, N.; Del Real-López, A.; Rodríguez-García, M.E. The effect of Ca2+ ions on the pasting, morphological, structural, vibrational, and mechanical properties of corn starch–water system. J. Cereal Sci. 2018, 79, 174–182. [Google Scholar] [CrossRef]
  9. Zhu, M.; Liu, E.; Bao, Y.; Duan, S.; She, J.; Liu, H.; Wu, T.; Cao, X.; Zhang, J.; Li, B. Low concentration of corn steep liquor promotes seed germination, plant growth, biomass production and flowering in soybean. Plant Growth Regul. 2019, 87, 29–37. [Google Scholar] [CrossRef]
  10. Case, K.C.; Salsaa, M.; Yu, W.; Greenberg, M.L. Regulation of Inositol Biosynthesis: Balancing Health and Pathophysiology. Handb. Exp. Pharmacol. 2020, 259, 221–260. [Google Scholar]
  11. Klages, K.; Boldingh, H.; Smith, G.S. Accumulation of myo-inositol in Actinidia seedlings subjected to salt stress. Ann. Bot. 1999, 84, 521–527. [Google Scholar] [CrossRef]
  12. Li, H.; Fan, Y.; Zhang, H.; Chen, Y. Effects of myo-inositol on NaCl stress in Tamarix ramosissima: Insights from transcriptomics and metabolomics. Forests 2023, 14, 1686. [Google Scholar] [CrossRef]
  13. Ye, W.; Ren, W.; Kong, L.; Zhang, W.; Wang, T. Transcriptomic profiling analysis of Arabidopsis thaliana treated with exogenous myo-inositol. PLoS ONE 2016, 11, e0161949. [Google Scholar] [CrossRef]
  14. Chatterjee, J.; Majumder, A.L. Salt-induced abnormalities on root tip mitotic cells of Allium cepa: Prevention by inositol pretreatment. Protoplasma 2010, 245, 165–172. [Google Scholar] [CrossRef] [PubMed]
  15. Donahue, J.L.; Alford, S.R.; Torabinejad, J.; Kerwin, R.E.; Nourbakhsh, A.; Ray, W.K.; Hernick, M.; Huang, X.; Lyons, B.M.; Hein, P.P. The Arabidopsis thaliana myo-inositol 1-phosphate synthase1 gene is required for myo-inositol synthesis and suppression of cell death. Plant Cell. 2010, 22, 888–903. [Google Scholar] [CrossRef]
  16. Singh, A. Soil salinization management for sustainable development: A review. J. Environ. Manag. 2021, 277, 111383. [Google Scholar] [CrossRef]
  17. Zhang, X.; Wang, X.; Zhang, W.; Chen, Q. Combined Application of Myo-Inositol and Corn Steep Liquor from Agricultural Waste Alleviate Salt Stress in Brassica rapa. Plants 2023, 12, 4110. [Google Scholar] [CrossRef]
  18. Seethepalli, A.; Dhakal, K.; Griffiths, M.; Guo, H.; Freschet, G.T.; York, L.M. RhizoVision Explorer: Open-source software for root image analysis and measurement standardization. AoB Plants 2021, 13, plab056. [Google Scholar] [CrossRef]
  19. Mardonova, M.; Han, Y. Environmental, hydrological, and social impacts of coal and nonmetal minerals mining operations. J. Environ. Manag. 2023, 332, 117387. [Google Scholar] [CrossRef]
  20. Lichtenthaler, H.K. 34Chlorophylls and carotenoids: Pigments of photosynthetic biomembranes. Methods Enzymol. 1987, 148, 350–382. [Google Scholar]
  21. Loupassaki, M.H.; Chartzoulakis, K.S.; Digalaki, N.B.; Androulakis, I.I. Effects of salt stress on concentration of nitrogen, phosphorus, potassium, calcium, magnesium, and sodium in leaves, shoots, and roots of six olive cultivars. J. Plant Nutr. 2002, 25, 2457–2482. [Google Scholar] [CrossRef]
  22. Li, Y.; Feng, H.; Dong, Q.; Xia, L.; Li, J.; Li, C.; Zang, H.; Andersen, M.N.; Olesen, J.E.; Jørgensen, U. Ammoniated straw incorporation increases wheat yield, yield stability, soil organic carbon and soil total nitrogen content. Field Crop Res. 2022, 284, 108558. [Google Scholar] [CrossRef]
  23. Xin, X.; Nepal, J.; Wright, A.L.; Yang, X.; He, Z. Carbon nanoparticles improve corn (Zea mays L.) growth and soil quality: Comparison of foliar spray and soil drench application. J. Clean. Prod. 2022, 363, 132630. [Google Scholar] [CrossRef]
  24. Min, X.; Xu, D.; Hu, X.; Li, X. Changes in total organic carbon and organic carbon fractions of reclaimed minesoils in response to the filling of different substrates. J. Environ. Manag. 2022, 312, 114928. [Google Scholar] [CrossRef] [PubMed]
  25. Kaya, C.; Kirnak, H.; Higgs, D.; Saltali, K. Supplementary calcium enhances plant growth and fruit yield in strawberry cultivars grown at high (NaCl) salinity. Sci. Hortic. 2002, 93, 65–74. [Google Scholar] [CrossRef]
  26. Navarro-Morillo, I.; Pardo-Pina, S.; Garcia-Sánchez, F.; Ruiz, J.; Laserna-Arcas, S.; Plasencia, F.; Cámara-Zapata, J. Corn Steep Liquor Application Improves Pepper (Capsicum annum L.) Tolerance to Salinity. Horticulturae 2023, 9, 785. [Google Scholar] [CrossRef]
  27. Hu, L.; Zhou, K.; Li, Y.; Chen, X.; Liu, B.; Li, C.; Gong, X.; Ma, F. Exogenous myo-inositol alleviates salinity-induced stress in Malus hupehensis Rehd. Plant Physiol. Bioch. 2018, 133, 116–126. [Google Scholar] [CrossRef] [PubMed]
  28. Li, F.; Yuan, Y.; Gong, P.; Imazumi, Y.; Na, R.; Shimizu, N. Comparative effects of mineral fertilizer and digestate on growth, antioxidant system, and physiology of lettuce under salt stress. Hortic. Environ. Biotechnol. 2023, 64, 379–391. [Google Scholar] [CrossRef]
  29. Joardar, S.; Duarah, P.; Purkait, M.K. Recent advances in myo-inositol recovery and purification from agricultural sources as potential dietary supplements: A review. Sustain. Chem. Pharm. 2023, 36, 101331. [Google Scholar] [CrossRef]
  30. Martinez-Arcos, A.; Moldes, A.B.; Vecino, X. Adding value to secondary streams of corn wet milling industry. Cyta-J. Food. 2021, 19, 675–681. [Google Scholar] [CrossRef]
  31. Carvalho, P.; Foulkes, M.J. Roots and Uptake of Water and Nutrients. In Sustainable Food Production; Christou, P., Savin, R., Costa-Pierce, B.A., Misztal, I., Whitelaw, C.B.A., Eds.; Springer: New York, NY, USA, 2013; pp. 1390–1404. [Google Scholar]
  32. Campobenedetto, C.; Mannino, G.; Beekwilder, J.; Contartese, V.; Karlova, R.; Bertea, C.M. The application of a biostimulant based on tannins affects root architecture and improves tolerance to salinity in tomato plants. Sci. Rep. 2021, 11, 354. [Google Scholar] [CrossRef]
  33. Al-Mushhin, A.A.; Qari, S.H.; Fakhr, M.A.; Alnusairi, G.S.; Alnusaire, T.S.; ALrashidi, A.A.; Latef, A.A.H.A.; Ali, O.M.; Khan, A.A.; Soliman, M.H. Exogenous myo-inositol alleviates salt stress by enhancing antioxidants and membrane stability via the upregulation of stress responsive genes in Chenopodium quinoa L. Plants 2021, 10, 2416. [Google Scholar] [CrossRef]
  34. Parida, A.K.; Das, A.B. Salt tolerance and salinity effects on plants: A review. Ecotoxicol. Environ. Safe 2005, 60, 324–349. [Google Scholar] [CrossRef] [PubMed]
  35. Yan, F.; Chen, X.; Wang, Z.; Xia, Y.; Zheng, D.; Xue, S.; Zhao, H.; Huang, Z.; Niu, Y.; Zhang, G. Melatonin Alleviates Abscisic Acid Deficiency Inhibition on Photosynthesis and Antioxidant Systems in Rice under Salt Stress. Phyton 2024, 93, 0031–9457. [Google Scholar] [CrossRef]
  36. Zhao, Y.; Yu, H.; Zhou, J.; Smith, S.M.; Li, J. Malate circulation: Linking chloroplast metabolism to mitochondrial ROS. Trends Plant Sci. 2020, 25, 446–454. [Google Scholar] [CrossRef]
  37. Zhou, H.; Shi, H.; Yang, Y.; Feng, X.; Chen, X.; Xiao, F.; Lin, H.; Guo, Y. Insights into plant salt stress signaling and tolerance. J. Genet. Genom. 2024, 51, 16–34. [Google Scholar] [CrossRef] [PubMed]
  38. Cui, M.; Liang, D.; Wu, S.; Ma, F.; Lei, Y. Isolation and developmental expression analysis of L-myo-inositol-1-phosphate synthase in four Actinidia species. Plant Physiol. Biochem. 2013, 73, 351–358. [Google Scholar] [CrossRef]
  39. Loewus, F.A.; Murthy, P.P.N. myo-Inositol metabolism in plants. Plant Sci. 2000, 150, 1–19. [Google Scholar] [CrossRef]
  40. Chen, H.; Xiong, L. myo-Inositol-1-phosphate Synthase Is Required for Polar Auxin Transport and Organ Development*. J. Biol. Chem. 2010, 285, 24238–24247. [Google Scholar] [CrossRef]
  41. Kano, K.; Kitazawa, H.; Suzuki, K.; Widiastuti, A.; Odani, H.; Zhou, S.; Chinta, Y.D.; Eguchi, Y.; Shinohara, M.; Sato, T. Effects of Organic Fertilizer on Bok Choy Growth and Quality in Hydroponic Cultures. Agronomy 2021, 11, 491. [Google Scholar] [CrossRef]
  42. Chinta, Y.D.; Kano, K.; Widiastuti, A.; Fukahori, M.; Kawasaki, S.; Eguchi, Y.; Misu, H.; Odani, H.; Zhou, S.; Narisawa, K.; et al. Effect of corn steep liquor on lettuce root rot (Fusarium oxysporum f.sp. lactucae) in hydroponic cultures. J. Sci. Food Agric. 2014, 94, 2317–2323. [Google Scholar] [CrossRef] [PubMed]
  43. Xie, Y.; Yu, D. The significance of lateral roots in phosphorus (P) acquisition of water hyacinth (Eichhornia crassipes). Aquat. Bot. 2003, 75, 311–321. [Google Scholar] [CrossRef]
  44. Bellini, C.; Pacurar, D.I.; Perrone, I. Adventitious roots and lateral roots: Similarities and differences. Annu. Rev. Plant Biol. 2014, 65, 639–666. [Google Scholar] [CrossRef] [PubMed]
  45. Lau, S.; Teo, W.F.A.; Teoh, E.Y.; Tan, B.C. Microbiome engineering and plant biostimulants for sustainable crop improvement and mitigation of biotic and abiotic stresses. Discover Food. 2022, 2, 9. [Google Scholar] [CrossRef]
  46. Rouphael, Y.; Carillo, P.; Garcia-Perez, P.; Cardarelli, M.; Senizza, B.; Miras-Moreno, B.; Colla, G.; Lucini, L. Plant biostimulants from seaweeds or vegetal proteins enhance the salinity tolerance in greenhouse lettuce by modulating plant metabolism in a distinctive manner. Sci. Hortic. 2022, 305, 111368. [Google Scholar] [CrossRef]
  47. Miao, Y.; Luo, X.; Gao, X.; Wang, W.; Li, B.; Hou, L. Exogenous salicylic acid alleviates salt stress by improving leaf photosynthesis and root system architecture in cucumber seedlings. Sci. Hortic. 2020, 272, 109577. [Google Scholar] [CrossRef]
  48. Koevoets, I.T.; Venema, J.H.; Elzenga, J.T.M.; Testerink, C. Roots Withstanding their Environment: Exploiting Root System Architecture Responses to Abiotic Stress to Improve Crop Tolerance. Front. Plant Sci. 2016, 7, 1335. [Google Scholar] [CrossRef]
  49. López-Bucio, J.; Cruz-Ramirez, A.; Herrera-Estrella, L. The role of nutrient availability in regulating root architecture. Curr. Opin. Plant Biol. 2003, 6, 280–287. [Google Scholar] [CrossRef]
  50. Xiao, S.; Liu, L.; Zhang, Y.; Sun, H.; Zhang, K.; Bai, Z.; Dong, H.; Li, C. Fine root and root hair morphology of cotton under drought stress revealed with RhizoPot. J. Agron. Crop Sci. 2020, 206, 679–693. [Google Scholar] [CrossRef]
  51. Zhu, J.; Lynch, J.P. The contribution of lateral rooting to phosphorus acquisition efficiency in maize (Zea mays) seedlings. Funct. Plant Biol. FPB 2004, 31, 949–958. [Google Scholar] [CrossRef]
  52. Yan, Z.; Liu, P.; Li, Y.; Ma, L.; Alva, A.; Dou, Z.; Chen, Q.; Zhang, F. Phosphorus in China’s Intensive Vegetable Production Systems: Overfertilization, Soil Enrichment, and Environmental Implications. J. Environ. Qual. 2013, 42, 982–989. [Google Scholar] [CrossRef] [PubMed]
Figure 1. Effect of different treatments on the fresh and dry weight of Chinese cabbage under salt stress. (A): Shoot fresh weight of Chinese cabbage; (B): root fresh weight of Chinese cabbage; (C): shoot dry weight of Chinese cabbage; (D): root dry weight of Chinese cabbage; CK: salt treatment control; JR: salt treatment + myo-inositol; YR: salt treatment + corn steep liquid; YJR: salt treatment + corn steep liquid + myo-inositol; data are means ± SE. Statistical significance among treatments was determined by Duncan’s test (p < 0.05), where means not sharing common letters (a–c) differ significantly.
Figure 1. Effect of different treatments on the fresh and dry weight of Chinese cabbage under salt stress. (A): Shoot fresh weight of Chinese cabbage; (B): root fresh weight of Chinese cabbage; (C): shoot dry weight of Chinese cabbage; (D): root dry weight of Chinese cabbage; CK: salt treatment control; JR: salt treatment + myo-inositol; YR: salt treatment + corn steep liquid; YJR: salt treatment + corn steep liquid + myo-inositol; data are means ± SE. Statistical significance among treatments was determined by Duncan’s test (p < 0.05), where means not sharing common letters (a–c) differ significantly.
Agronomy 15 01196 g001
Figure 2. Effects of different treatments on the photosynthetic pigments of Chinese cabbage under salt stress. (A): Chlorophyll a content of Chinese cabbage; (B): chlorophyll b content of Chinese cabbage; (C): carotenoids content of Chinese cabbage; (D): Soil and Plant Analyzer Development (SPAD) value of Chinese cabbage; CK: salt treatment control; JR: salt treatment + myo-inositol; YR: salt treatment + corn steep liquid; YJR: salt treatment + corn steep liquid + myo-inositol; data are means ± SE. Statistical significance among treatments was determined by Duncan’s test (p < 0.05), where means not sharing common letters (a–d) differ significantly.
Figure 2. Effects of different treatments on the photosynthetic pigments of Chinese cabbage under salt stress. (A): Chlorophyll a content of Chinese cabbage; (B): chlorophyll b content of Chinese cabbage; (C): carotenoids content of Chinese cabbage; (D): Soil and Plant Analyzer Development (SPAD) value of Chinese cabbage; CK: salt treatment control; JR: salt treatment + myo-inositol; YR: salt treatment + corn steep liquid; YJR: salt treatment + corn steep liquid + myo-inositol; data are means ± SE. Statistical significance among treatments was determined by Duncan’s test (p < 0.05), where means not sharing common letters (a–d) differ significantly.
Agronomy 15 01196 g002
Figure 3. Effects of different treatments on the photosynthetic parameters of Chinese cabbage under salt stress. (A): Net photosynthetic rate (Pn) of Chinese cabbage; (B): stomatal conductance (Gs) of Chinese cabbage; (C): transpiration rate (Tr) of Chinese cabbage; (D): intercellular CO2 concentration (Ci) of Chinese cabbage; CK: salt treatment control; JR: salt treatment + myo-inositol; YR: salt treatment + corn steep liquid; YJR: salt treatment + corn steep liquid + myo-inositol; data are means ± SE. Statistical significance among treatments was determined by Duncan’s test (p < 0.05), where means not sharing common letters (a–d) differ significantly.
Figure 3. Effects of different treatments on the photosynthetic parameters of Chinese cabbage under salt stress. (A): Net photosynthetic rate (Pn) of Chinese cabbage; (B): stomatal conductance (Gs) of Chinese cabbage; (C): transpiration rate (Tr) of Chinese cabbage; (D): intercellular CO2 concentration (Ci) of Chinese cabbage; CK: salt treatment control; JR: salt treatment + myo-inositol; YR: salt treatment + corn steep liquid; YJR: salt treatment + corn steep liquid + myo-inositol; data are means ± SE. Statistical significance among treatments was determined by Duncan’s test (p < 0.05), where means not sharing common letters (a–d) differ significantly.
Agronomy 15 01196 g003
Figure 4. Effects of different treatments on the ion content of leaves on Chinese cabbage under salt stress. (A): Na+ Ions content of leaves on Chinese cabbage; (B): K+ ion content of leaves on Chinese cabbage; (C): Ca2+ ion content of leaves on Chinese cabbage; (D): Mg2+ ion content of leaves on Chinese cabbage; CK: salt treatment control; JR: salt treatment + myo-inositol; YR: salt treatment + corn steep liquid; YJR: salt treatment+ corn steep liquid + myo-inositol; data are means ± SE. Statistical significance among treatments was determined by Duncan’s test (p < 0.05), where means not sharing common letters (a–d) differ significantly.
Figure 4. Effects of different treatments on the ion content of leaves on Chinese cabbage under salt stress. (A): Na+ Ions content of leaves on Chinese cabbage; (B): K+ ion content of leaves on Chinese cabbage; (C): Ca2+ ion content of leaves on Chinese cabbage; (D): Mg2+ ion content of leaves on Chinese cabbage; CK: salt treatment control; JR: salt treatment + myo-inositol; YR: salt treatment + corn steep liquid; YJR: salt treatment+ corn steep liquid + myo-inositol; data are means ± SE. Statistical significance among treatments was determined by Duncan’s test (p < 0.05), where means not sharing common letters (a–d) differ significantly.
Agronomy 15 01196 g004
Figure 5. Effects of different treatments on the enzyme activities of leaves on Chinese cabbage under salt stress. (A): SOD enzyme activity of leaves on Chinese cabbage; (B): POD enzyme activity of leaves on Chinese cabbage; (C): CAT enzyme activity of leaves on Chinese cabbage; CK: salt treatment control; JR: salt treatment + myo-inositol; YR: salt treatment+ corn steep liquid; YJR: salt treatment + corn steep liquid + myo-inositol; data are means ± SE. Statistical significance among treatments was determined by Duncan’s test (p < 0.05), where means not sharing common letters (a–d) differ significantly.
Figure 5. Effects of different treatments on the enzyme activities of leaves on Chinese cabbage under salt stress. (A): SOD enzyme activity of leaves on Chinese cabbage; (B): POD enzyme activity of leaves on Chinese cabbage; (C): CAT enzyme activity of leaves on Chinese cabbage; CK: salt treatment control; JR: salt treatment + myo-inositol; YR: salt treatment+ corn steep liquid; YJR: salt treatment + corn steep liquid + myo-inositol; data are means ± SE. Statistical significance among treatments was determined by Duncan’s test (p < 0.05), where means not sharing common letters (a–d) differ significantly.
Agronomy 15 01196 g005
Figure 6. Effects of different treatments on nutrients of Chinese cabbage under salt stress. (A): Total nitrogen content of Chinese cabbage; (B): total phosphorus content of Chinese cabbage; CK: salt treatment control; JR: salt treatment + myo-inositol; YR: salt treatment + corn steep liquid; YJR: salt treatment + corn steep liquid + myo-inositol; data are means ± SE. Statistical significance among treatments was determined by Duncan’s test (p < 0.05), where means not sharing common letters (a–c) differ significantly.
Figure 6. Effects of different treatments on nutrients of Chinese cabbage under salt stress. (A): Total nitrogen content of Chinese cabbage; (B): total phosphorus content of Chinese cabbage; CK: salt treatment control; JR: salt treatment + myo-inositol; YR: salt treatment + corn steep liquid; YJR: salt treatment + corn steep liquid + myo-inositol; data are means ± SE. Statistical significance among treatments was determined by Duncan’s test (p < 0.05), where means not sharing common letters (a–c) differ significantly.
Agronomy 15 01196 g006
Figure 7. Effects of CSL, MI, and their combination on the growth and nutrient uptake traits of Chinese cabbage under salt-stress conditions, with red arrows indicating correlation direction and strength.
Figure 7. Effects of CSL, MI, and their combination on the growth and nutrient uptake traits of Chinese cabbage under salt-stress conditions, with red arrows indicating correlation direction and strength.
Agronomy 15 01196 g007
Table 1. Basic chemical properties of corn steep liquor.
Table 1. Basic chemical properties of corn steep liquor.
pHOrganic Matter
(g·L−1)
Organic Acid
(g·L−1)
Amino Acid
(g·L−1)
Sugar
(g·L−1)
TN
(g·L−1)
TK
(g·L−1)
TP
(g·L−1)
4.50200297.818010030.7252.3717.35
Notes: TN: total nitrogen; TK: total potassium; TP: total phosphorus.
Table 2. Basic chemical properties of soil.
Table 2. Basic chemical properties of soil.
pHEC
(μS·cm−1)
TN
(g·kg−1)
AK
(mg·kg−1)
AP
(mg·kg−1)
SOM
(g·kg−1)
Na Content
(g·kg−1)
8.9313732.433.14411.4110.520.47
Notes: EC: electric conductivity; TN: total nitrogen; AK: available potassium; AP: available phosphorus; SOM: organic matter.
Table 3. Pot experiment treatment.
Table 3. Pot experiment treatment.
TreatmentNaCl
(g·kg−1)
Corn Steep Liquor
(g·kg−1)
Myo-Inositol
(mg·kg−1)
CK2.2500
JR2.25045
YR2.250.70
YJR2.250.745
Notes: CK: salt treatment control; JR: salt treatment + myo-inositol; YR: salt treatment + corn steep liquid; YJR: salt treatment + corn steep liquid + myo-inositol
Table 4. Effects of different treatments on the root system of Chinese cabbage under salt stress.
Table 4. Effects of different treatments on the root system of Chinese cabbage under salt stress.
Total Root Length (cm)Average Diameter (mm)Network Area (cm2)Number of Root TipsNumber of Branch Points
CK634.26 ± 255.57 c0.27 ± 0.03 ab54.45 ± 23.58 c3763 ± 1076.39 c3385 ± 2381 b
JR1420.73 ± 36.73 b0.26 ± 0.02 b116.07 ± 23.97 bc9085 ± 3234.01 b8417 ± 3378 b
YR1588.29 ± 186.03 b0.28 ± 0.01 ab140.78 ± 17.04 ab10,622 ± 1307.68 ab10,601 ± 1634 ab
YJR2292.19 ± 58.89 a0.38 ± 0.11 a217.07 ± 78.85 a14461 ± 2197.29 a17,666 ± 8208 a
Notes: CK: salt treatment control; JR: salt treatment + myo-inositol; YR: salt treatment + corn steep liquid; YJR: salt treatment + corn steep liquid + myo-inositol; data are means ± SE. Statistical significance among treatments was determined by Duncan’s test (p < 0.05), where means not sharing common letters (a–c) differ significantly.
Table 5. Effects of different treatments on soil nutrients under salt stress.
Table 5. Effects of different treatments on soil nutrients under salt stress.
OM (g/kg−1)TN (g/kg−1)AP (mg/kg−1)AK (mg/kg−1)
CK8.38 ± 0.24 b1.22 ± 0.08 a19.54 ± 0.55 d380.59 ± 3.27 c
JR8.52 ± 0.10 b1.23 ± 0.06 a21.52 ± 0.58 c400.50 ± 2.56 b
YR8.97 ± 0.26 a1.32 ± 0.06 a23.77 ± 0.44 b407.23 ± 0.27 a
YJR9.11 ± 0.20 a1.34 ± 0.08 a26.24 ± 1.42 a410.08 ± 3.23 a
Notes: CK: salt treatment control; JR: salt treatment + myo-inositol; YR: salt treatment + corn steep liquid; YJR: salt treatment + corn steep liquid + myo-inositol; data are means ± SE. Statistical significance among treatments was determined by Duncan’s test (p < 0.05), where means not sharing common letters (a–d) differ significantly.
Disclaimer/Publisher’s Note: The statements, opinions and data contained in all publications are solely those of the individual author(s) and contributor(s) and not of MDPI and/or the editor(s). MDPI and/or the editor(s) disclaim responsibility for any injury to people or property resulting from any ideas, methods, instructions or products referred to in the content.

Share and Cite

MDPI and ACS Style

Wang, X.; Yan, X.; Zhang, X.; Li, L.; Qi, Q.; Cui, W.; Chen, Q.; Mu, K. Enhancing Growth and Nutrient Uptake in Chinese Cabbage Through the Application of Corn Steep Liquor and Myo-Inositol in Salt-Stressed Soils. Agronomy 2025, 15, 1196. https://doi.org/10.3390/agronomy15051196

AMA Style

Wang X, Yan X, Zhang X, Li L, Qi Q, Cui W, Chen Q, Mu K. Enhancing Growth and Nutrient Uptake in Chinese Cabbage Through the Application of Corn Steep Liquor and Myo-Inositol in Salt-Stressed Soils. Agronomy. 2025; 15(5):1196. https://doi.org/10.3390/agronomy15051196

Chicago/Turabian Style

Wang, Xian, Xu Yan, Xinjun Zhang, Longcheng Li, Qingzhen Qi, Wenjing Cui, Qing Chen, and Kangguo Mu. 2025. "Enhancing Growth and Nutrient Uptake in Chinese Cabbage Through the Application of Corn Steep Liquor and Myo-Inositol in Salt-Stressed Soils" Agronomy 15, no. 5: 1196. https://doi.org/10.3390/agronomy15051196

APA Style

Wang, X., Yan, X., Zhang, X., Li, L., Qi, Q., Cui, W., Chen, Q., & Mu, K. (2025). Enhancing Growth and Nutrient Uptake in Chinese Cabbage Through the Application of Corn Steep Liquor and Myo-Inositol in Salt-Stressed Soils. Agronomy, 15(5), 1196. https://doi.org/10.3390/agronomy15051196

Note that from the first issue of 2016, this journal uses article numbers instead of page numbers. See further details here.

Article Metrics

Back to TopTop