Planting Strategy Optimization Can Increase Maize Yield by Delaying Leaf Senescence and Improving Photosynthetic Capacity
Abstract
1. Introduction
2. Materials and Methods
2.1. Experimental Materials
2.2. Overview of Test Site
2.3. Experimental Design
2.4. Measurement Items and Methods
2.4.1. Net Photosynthesis Rate (Pn) and Transpiration Rate (Tr)
2.4.2. Physiological Indexes
2.4.3. Yield Measurement in the Field and Indoor Seed Test
2.5. Data Analysis
3. Results and Analysis
3.1. Effects of Row Density Interaction on Corn Yield and Grain Composition Factors
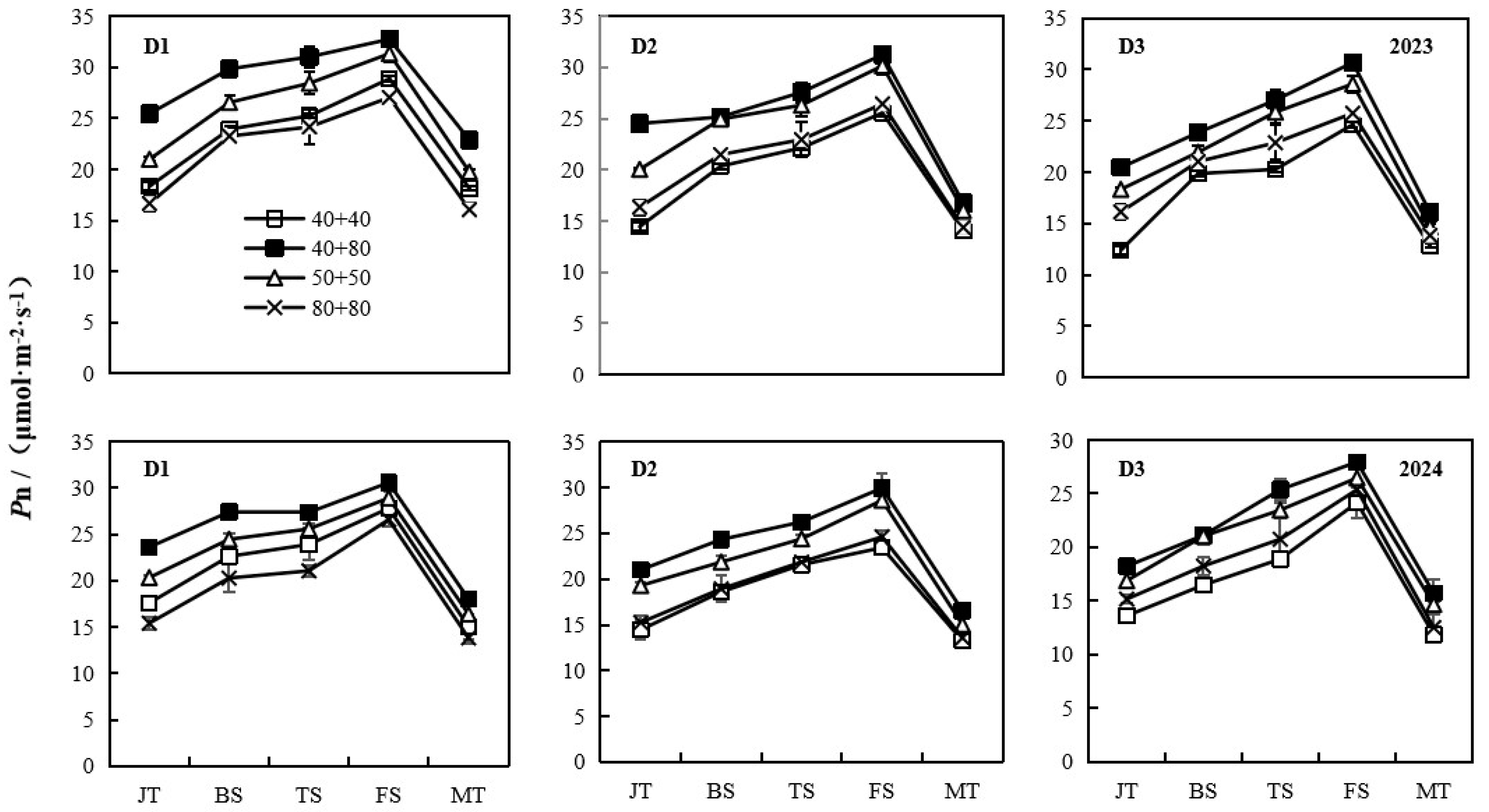
3.2. Effect of Row Density Interactions on Net Photosynthetic Rate of Maize Leaves
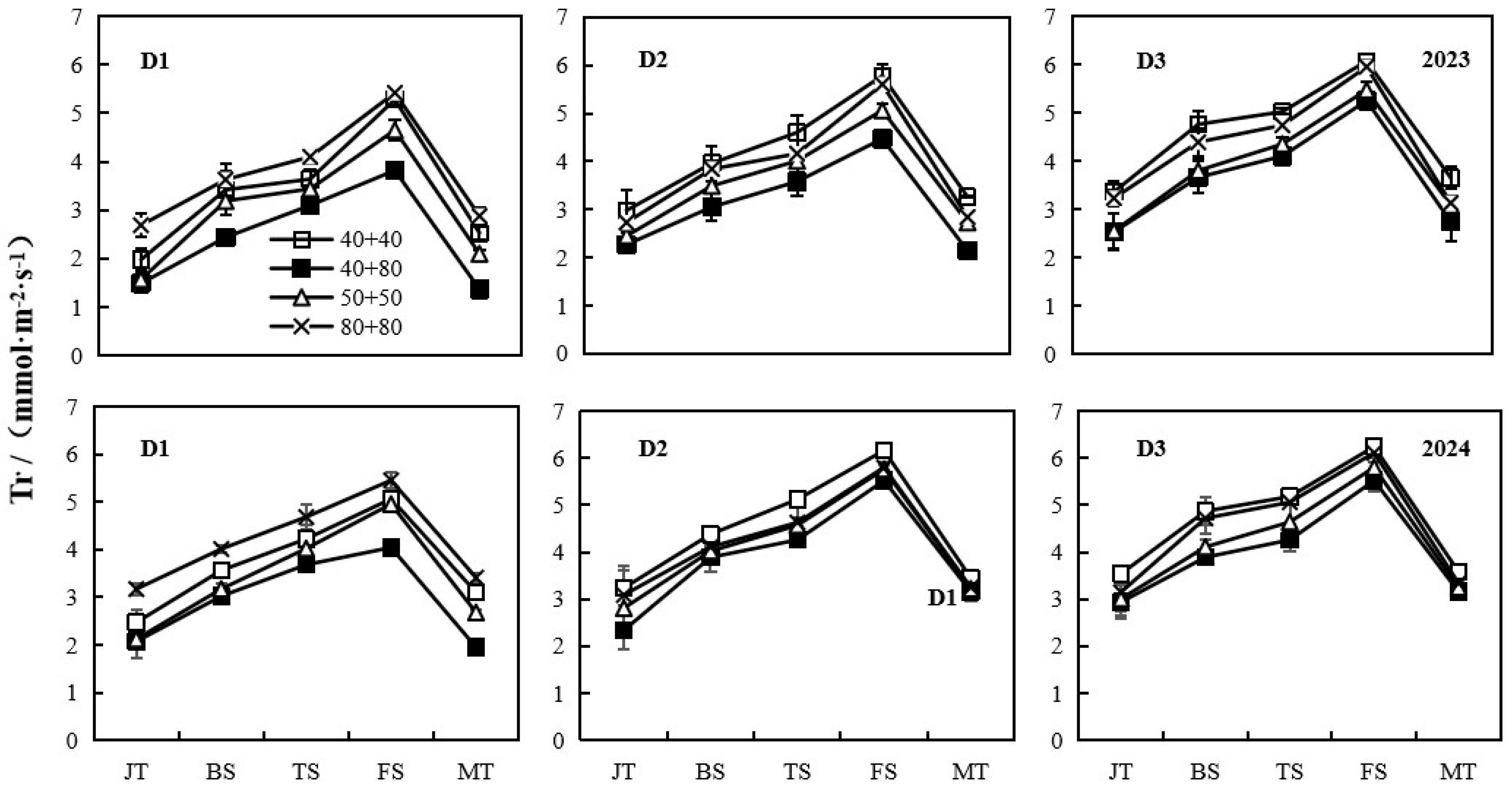
3.3. Effects of Row Density Interaction on Transpiration Rate of Maize Leaves
3.4. Effect of Row Density Interaction on Malondialdehyde (MDA) Content of Maize Leaves
3.5. Effects of Row Density Interactions on Superoxide Dismutase (SOD) in Maize Leaves
3.6. Effect of Row Density Interaction on Catalase (CAT) in Maize Leaves
3.7. Correlation Analysis Between Physiological Activity and Yield During the Irrigation Period
4. Discussions
4.1. Effects of Row Density Interactions on Photosynthetic and Senescence Characteristics of Maize Leaves
4.2. Effects of Row Density Intercropping on Yield and Grain Components of Maize
5. Conclusions
Author Contributions
Funding
Data Availability Statement
Conflicts of Interest
References
- Zhang, K.J.; Zheng, Y.Y.; Yu, F.W. Realistic value, major challenges and effective path of soil health cultivation in the perspective of food security. Chin. J. Eco-Agric. 2024, 32, 2129–2137. [Google Scholar] [CrossRef]
- He, Y.; Duan, S.C.; Xiao, H.M. Agricultural Land Transfer, “Non-Grain Conversion” of Cultivated Land, and Food Security—Also Discussing the Issue of “Who Will Grow Food”. J. Northwest AF Univ. (Soc. Sci. Ed.) 2024, 24, 74–82. [Google Scholar]
- Li, X.; Wang, H.Y.; Niu, W.H.; Zhang, Y.; Chen, G.; Zhao, M. Spatial-temporal evolution of cultivated land use transition and its impact on grain production in the Yellow River Basin. J. China Agric. Univ. 2024, 29, 85–96. [Google Scholar]
- Wang, H.Y.; Zhang, Y.J.; Jiang, X.F.; Li, C.; Zhao, M.; Chen, G. Effects of Plant and Row Spacing on the Root System and Nutrient Absorption of Dense Corn Planting Population. J. Maize Sci. 2024, 32, 74–80. [Google Scholar]
- Assefa, Y.; Vara Prasad, P.V.; Carter, P.; Hinds, M.; Paszkiewicz, S.; Ciampitti, I.A. Yield responses to planting density for United States modern maize hybrids: A Synthesis-Analysis. Crop Sci. 2016, 56, 2802–2817. [Google Scholar] [CrossRef]
- Tian, L.B.; Shen, Z.Y.; Zhao, X.T.; Wang, C.; Li, S.; Zhang, F.; Chen, X. Interactive Effects of Planting Density and Nitrogen Application Rate on Plant Grain Yield and Water Use Efficiency of Two Maize Cultivars. Sci. Agric. Sin. 2024, 57, 4221–4237. [Google Scholar]
- Xin, M.H.; Mi, Y.D.; Wang, G.P.; Li, X.; Li, Y.; Dong, H.; Han, Y.; Feng, L. Effect of row spacing configuration and density regulation on dry matter production and yield in cotton. Acta Agron. Sin. 2025, 51, 221–232. [Google Scholar]
- Liu, F.; Zhou, F.; Wang, X.L.; Li, G.; Zhang, J.; Zhao, B.; Ren, B.; Liu, P. Optimizing nitrogen management enhances stalk lodging resistance and grain yield in dense planting maize by improving canopy light distribution. Eur. J. Agron. 2023, 148, 126871. [Google Scholar] [CrossRef]
- Zhang, Y.; Xu, Z.; Li, J.; Wang, Z.; Liu, P.; Zhao, M.; Ren, X.; Sun, Z. Optimum planting density improves resource use efficiency and yield stability of rainfed maize in semiarid climate. Front. Plant Sci. 2021, 12, 752606. [Google Scholar] [CrossRef]
- Wang, D.; Lv, Y.J.; Yao, F.Y.; Zhang, J.; Ren, B.; Zhao, B.; Liu, P.; Li, S. Leaf senescence characteristics post anthesis at different positions of spring maize canopy under different cultivation models. Chin. J. Eco-Agric. 2022, 30, 1925–1937. [Google Scholar]
- Li, C.Q.; Cao, R.Y.; Zheng, H.M.; Wang, C.; Li, S.; Zhao, J.; Zhang, F. Effects of plan ting density on the development of maize tassel. J. Henan Agric. Univ. 2010, 44, 630–635. [Google Scholar]
- Bai, Y.W.; Zhang, H.J.; Zhu, Y.L.; Wang, Z.; Li, C.; Zhao, M.; Liu, P.; Dong, S. Responses of Canopy Radiation and Nitrogen Distribution, Leaf Senescence and Radiation Use Efficiency on Increased Planting Density of Different Variety Types of Maize. Sci. Agric. Sin. 2020, 53, 3059–3070. [Google Scholar]
- Wang, Y.; Zhao, C.; Fan, Z.L.; Liu, P.; Zhang, J.; Ren, B.; Zhao, B.; Li, S. Characteristics of dry matter accumulation and yield formation of dense planting maize in different row spacings. Chin. J. Eco-Agric. 2020, 28, 652–661. [Google Scholar]
- Zhang, Y.B.; Zhang, L.N.; Wang, J.D. Effects of full-film wide and narrow row planting of corn on soil moisture and yield in central Gansu dry farming area. Water Sav. Irrig. 2023, 12, 9–17. [Google Scholar]
- Wang, Y.; Qi, X.N.; Liu, S.Q.; Zhang, J.; Zhao, B.; Ren, B.; Liu, P.; Li, S. Effects of Wide-narrow Row Planting Pattern on Leaf Senescence During Seed Filling in Maize. Soils Crop. 2016, 5, 211–214. [Google Scholar]
- Li, F.H.; Fan, X.L.; Shi, Z.S.; Wang, F.; Liu, Y.; Zhang, J.; Wang, J. The influence of different planting methods on the morphological and physiological indicators and yield of maize. China Seed Ind. 2011, 38–40. [Google Scholar]
- Fan, X.L.; Li, F.H.; Shi, Z.S.; Wang, Z.; Zhang, F. Research on Yield Increasing Effect and Physiological Characteristics of Maize Planted in Partial Ridge-Narrow/wide Row. J. Maize Sci. 2010, 18, 108–111. [Google Scholar]
- Tian, C.; Wang, Y. Effects of Row and Planting Pattern on Senescence Physiological Characteristics of Maize Leaves at Mature Period. Acta Agric. Boreali-Sin. 2018, 33, 111–116. [Google Scholar]
- Jin, R.; Li, Z.; Wang, X.L.; Fan, L.; Kong, F.L.; Liu, Q.L.; Lan, T.Q.; Feng, D.J.; Yuan, J.C. Optimizing row spacing increases stalk lodging resistance by improving light distribution in dense maize populations. Agronomy 2023, 13, 462. [Google Scholar] [CrossRef]
- Gardner, F.P. Responses of maize to plant population density, I Canopy development, light relationships, and vegetative growth. Agron. J. 1988, 80, 930–935. [Google Scholar]
- Gao, J. Experimental Techniques in Plant Physiology; Xi’an World Book Publishing Company: Xi’an, China, 2000; pp. 196–197. [Google Scholar]
- Qian, J. Method for Determination of Enzymes; China Light Industry Press: Beijing, China, 1992; pp. 186–194. [Google Scholar]
- Zhao, J.H.; Lai, H.J.; Bi, C.; Zhao, M.; Liu, Y.; Li, X.; Yang, D. Effects of paclobutrazol application on plant architecture, lodging resistance, photosynthetic characteristics, and peanut yield at different single-seed precise sowing densities. Crop J. 2023, 11, 301–310. [Google Scholar] [CrossRef]
- Bernhard, B.J.; Below, F.E. Plant population and row spacing effects on corn: Plant growth, phenology, and grain yield. Agron. J. 2020, 112, 2456–2465. [Google Scholar] [CrossRef]
- Haarhoff, S.J.; Swanepoel, P.A. Plant population and row spacing affects growth and yield of rainfed maize in semi-arid environments. Front. Plant Sci. 2022, 13, 761121. [Google Scholar] [CrossRef] [PubMed]
- Zhao, L.; Xie, G.M.; Fan, M.Y.; Sumera, A.; Zhang, Q.; Lu, J.Y.; Zhang, L.G.; Gao, F.; Wang, C.Y. Mulching and planting density on photosynthesis, lodging resistance, and yield of maize. Int. J. Plant Prod. 2023, 17, 651–665. [Google Scholar] [CrossRef]
- Wang, C.Y.; Zhao, L.; Wang, L.J.; Hou, Y.; Wang, M. The effect of different planting densities on leaf photosynthetic performance and yield of corn. Crops 2013, 96–99. [Google Scholar]
- Li, R.F.; Zhang, G.Q.; Xie, R.Z.; Hou, P.; Bo, M.; Xue, J.; Wang, K.R.; Li, S.K. Optimizing row spacing increased radiation use efficiency and yield of maize. Agron. J. 2021, 113, 4806–4818. [Google Scholar] [CrossRef]
- Yu, N.N.; Ren, B.Z.; Zhao, B.; Liu, P.; Zhang, J.W. Optimized agronomic management practices narrow the yield gap of summer maize through regulating canopy light interception and nitrogen distribution. Eur. J. Agron. 2022, 137, 126520. [Google Scholar] [CrossRef]







| Year | Total Nitrogen | Alkaline Nitrogen | Total Phosphorus | Available Phosphorus | Total Potassium | Available Potassium | Soil Organic Matter | pH | 
|---|---|---|---|---|---|---|---|---|
| 2023 | 0.96 g/kg | 67.1 mg/kg | 0.78 g/kg | 17.9 mg/kg | 17.06 g/kg | 176 mg/kg | 14.09 g/kg | 8.55 | 
| 2024 | 0.59 g/kg | 56.65 mg/kg | 1.20 g/kg | 28.79 mg/kg | 21.94 g/kg | 234.57 mg/kg | 14.85 g/kg | 8.26 | 
| Year | Density | Row Spacing/cm | Ear Length/cm | Bald Tip Long/cm | Ear Grain Number | 100-Grain Weight/g | Yield/(kg/hm2) | 
|---|---|---|---|---|---|---|---|
| 2023 | D1 | 40 + 40 | 15.49 ± 0.06 b | 0.99 ± 0.24 a | 474.58 ± 3.29 c | 31.25 ± 0.22 b | 10785.60 ± 106.63 c | 
| 40 + 80 | 17.97 ± 0.12 a | 0.57 ± 0.05 a | 601.12 ± 5.85 a | 36.89 ± 0.52 a | 13068.80 ± 726.76 a | ||
| 50 + 50 | 17.26 ± 0.04 a | 0.70 ± 0.04 a | 569.34 ± 0.78 b | 34.02 ± 0.57 b | 11936.59 ± 381.07 b | ||
| 80 + 80 | 15.83 ± 0.11 b | 0.81 ± 0.03 a | 488.99 ± 5.71 c | 32.76 ± 0.52 b | 11142.75 ± 129.74 bc | ||
| D2 | 40 + 40 | 18.03 ± 0.48 c | 0.41 ± 0.07 b | 714.06 ± 0.76 c | 33.90 ± 0.04 c | 12634.48 ± 117.04 c | |
| 40 + 80 | 20.44 ± 0.18 a | 0.07 ± 0.01 c | 811.00 ± 9.42 a | 40.70 ± 0.42 a | 14168.24 ± 61.94 a | ||
| 50 + 50 | 18.72 ± 0.23 b | 0.29 ± 0.08 b | 757.98 ± 5.85 b | 37.75 ± 0.27 b | 12955.80 ± 148.36 b | ||
| 80 + 80 | 16.89 ± 0.28 d | 0.62 ± 0.13 a | 712.44 ± 8.66 c | 33.85 ± 0.28 c | 11617.32 ± 45.21 c | ||
| D3 | 40 + 40 | 16.19 ± 0.03 d | 0.85 ± 0.13 a | 598.72 ± 2.94 b | 33.42 ± 0.04 d | 11469.74 ± 126.18 d | |
| 40 + 80 | 19.46 ± 0.16 a | 0.57 ± 0.01 a | 711.54 ± 34.37 a | 37.92 ± 0.51 a | 13114.14 ± 98.08 a | ||
| 50 + 50 | 18.14 ± 0.08 b | 0.70 ± 0.04 a | 619.04 ± 7.58 b | 36.11 ± 0.13 b | 12392.95 ± 107.89 b | ||
| 80 + 80 | 17.31 ± 0.18 c | 0.74 ± 0.20 a | 610.40 ± 2.04 b | 34.75 ± 0.06 c | 11926.20 ± 134.00 c | ||
| 2024 | D1 | 40 + 40 | 15.04 ± 0.27 c | 1.05 ± 0.42 a | 472.78 ± 10.10 c | 31.05 ± 0.27 c | 10656.36 ± 89.18 c | 
| 40 + 80 | 17.11 ± 0.14 a | 0.68 ± 0.13 a | 588.00 ± 4.75 a | 35.11 ± 0.14 a | 12049.75 ± 189.19 a | ||
| 50 + 50 | 16.57 ± 0.01 b | 0.79 ± 0.10 a | 493.36 ± 4.36 b | 32.41 ± 0.57 b | 11123.11 ± 184.18 b | ||
| 80 + 80 | 15.29 ± 0.07 c | 0.98 ± 0.01 a | 477.68 ± 1.98 c | 31.21 ± 0.14 c | 10711.27 ± 212.76 c | ||
| D2 | 40 + 40 | 17.58 ± 0.08 c | 0.45 ± 0.18 b | 674.46 ± 6.08 b | 35.24 ± 0.28 c | 12094.37 ± 130.71 c | |
| 40 + 80 | 20.01 ± 0.28 a | 0.18 ± 0.11 c | 709.56 ± 22.32 a | 38.65 ± 0.93 a | 13664.68 ± 52.08 a | ||
| 50 + 50 | 18.34 ± 0.08 b | 0.37 ± 0.14 b | 688.14 ± 21.75 ab | 37.01 ± 0.17 b | 12701.83 ± 156.59 b | ||
| 80 + 80 | 16.22 ± 0.06 d | 0.64 ± 0.16 a | 594.88 ± 18.22 c | 34.18 ± 0.08 c | 11730.58 ± 99.98 c | ||
| D3 | 40 + 40 | 15.89 ± 0.59 bc | 0.89 ± 0.10 a | 566.08 ± 3.85 c | 31.98 ± 0.58 d | 10975.54 ± 109.75 d | |
| 40 + 80 | 18.97 ± 0.23 b | 0.61 ± 0.04 a | 611.36 ± 1.36 a | 37.24 ± 0.27 a | 12580.77 ± 117.47 a | ||
| 50 + 50 | 18.03 ± 0.08 a | 0.72 ± 0.16 a | 591.52 ± 15.47 ab | 36.06 ± 0.03 b | 12375.79 ± 141.37 b | ||
| 80 + 80 | 16.89 ± 0.14 c | 0.76 ± 0.03 a | 587.52 ± 14.37 bc | 34.25 ± 0.13 c | 11754.60 ± 241.33 c | 
| Disclaimer/Publisher’s Note: The statements, opinions and data contained in all publications are solely those of the individual author(s) and contributor(s) and not of MDPI and/or the editor(s). MDPI and/or the editor(s) disclaim responsibility for any injury to people or property resulting from any ideas, methods, instructions or products referred to in the content. | 
© 2025 by the authors. Licensee MDPI, Basel, Switzerland. This article is an open access article distributed under the terms and conditions of the Creative Commons Attribution (CC BY) license (https://creativecommons.org/licenses/by/4.0/).
Share and Cite
Zhao, L.; Duan, X.; Zhang, X.; Zhang, X.; Song, L.; Chen, P.; Liang, M.; Zhang, C.; Wang, C. Planting Strategy Optimization Can Increase Maize Yield by Delaying Leaf Senescence and Improving Photosynthetic Capacity. Agronomy 2025, 15, 1099. https://doi.org/10.3390/agronomy15051099
Zhao L, Duan X, Zhang X, Zhang X, Song L, Chen P, Liang M, Zhang C, Wang C. Planting Strategy Optimization Can Increase Maize Yield by Delaying Leaf Senescence and Improving Photosynthetic Capacity. Agronomy. 2025; 15(5):1099. https://doi.org/10.3390/agronomy15051099
Chicago/Turabian StyleZhao, Li, Xinrong Duan, Xinping Zhang, Xin Zhang, Linzhuan Song, Pei Chen, Min Liang, Chang Zhang, and Chuangyun Wang. 2025. "Planting Strategy Optimization Can Increase Maize Yield by Delaying Leaf Senescence and Improving Photosynthetic Capacity" Agronomy 15, no. 5: 1099. https://doi.org/10.3390/agronomy15051099
APA StyleZhao, L., Duan, X., Zhang, X., Zhang, X., Song, L., Chen, P., Liang, M., Zhang, C., & Wang, C. (2025). Planting Strategy Optimization Can Increase Maize Yield by Delaying Leaf Senescence and Improving Photosynthetic Capacity. Agronomy, 15(5), 1099. https://doi.org/10.3390/agronomy15051099
 
        
 
       