Research on the Optimal Water and Fertilizer Scheme for Maize in a Typical Hydrological Year Based on the DSSAT Model
Abstract
1. Introduction
2. Materials and Methods
2.1. Subsection Overview of the Study Area
2.2. Field Experiment Design
2.3. Data Measurement and Sources
2.3.1. Plant Growth Measurements
2.3.2. Water Use Efficiency and Yield
- Water consumption of crops (ET, mm)where represents the irrigation volume within a certain period (mm); represents the variation in water storage in the soil layer at a depth of 1 m within the period (mm); represents the effective rainfall during the period (mm); represents the groundwater replenishment volume (mm) within the time period; and represents the leakage volume within a certain period (mm). Because the average groundwater burial depth in the test area is relatively large (greater than 7 m) and the rated drip irrigation water is small, and are not considered.
- Water use efficiency (WUE, mm)where is grain yield (kg·ha−1), is crop water consumption (mm), and is the proportional factor.
- Partial factor productivity of nitrogen fertilizer (PFPN, kg·kg−1)where represents the yield in the nitrogen application area (kg·ha−1) and represents the nitrogen application rate (kg·ha−1).
2.3.3. Meteorological Data
2.3.4. Soil Data
2.4. DSSAT Model Configuration and Scenario Setup
2.4.1. DSSAT Model
2.4.2. Irrigation Period Simulation
2.4.3. Irrigation Amount Simulation
2.4.4. Fertilization Rate Simulation
2.5. Data Analysis and Model Evaluation
3. Results
3.1. Analysis of Maize Growth Characteristics
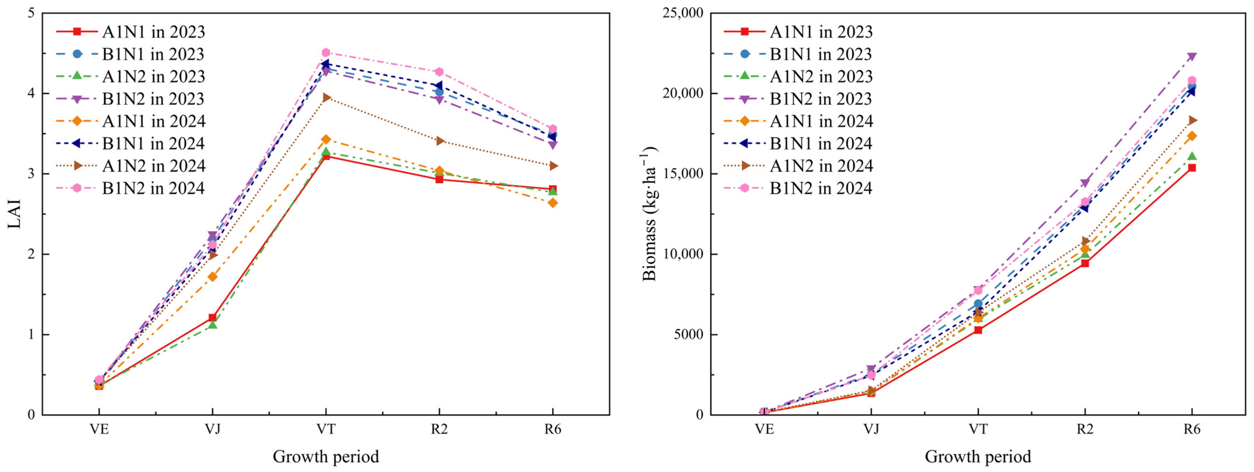
3.1.1. LAI and Biomass
3.1.2. Maize Yield and Yield Components
3.1.3. Soil Water Balance and Soil Water Variation Analysis
3.2. Model Parameter Calibration and Validation
3.3. Scenario Simulation Analysis
3.3.1. Simulation Analysis of the Irrigation Period Under Typical Hydrological Years
3.3.2. Simulation Analysis of Irrigation Volume Under Typical Hydrological Years
3.3.3. Simulation Analysis of Nitrogen Application Rates Under Typical Hydrological Years
4. Discussion
4.1. Maize Growth
4.2. Model Calibration
4.3. Model Application
4.4. Limitations and Future Research Directions
5. Conclusions
- (1)
- We defined six genetic parameters for Zhengdan 958 maize (Beijing Denong Seed Industry Co., Ltd., Beijing, China) in the DSSAT model (P1: 224, P2: 0.78, P5: 813, G2: 857, G3: 8.57, and PHINT: 45). After calibrating with 2023 data and validating with 2024 data, we obtained a highly accurate DSSAT model.
- (2)
- Based on this, we simulated optimal irrigation and fertilization strategies for different precipitation years using 30-year weather data. In wet years, no irrigation is needed, with a fertilizer rate of 240 kg·ha−1. In normal years, irrigate once at the VT stage (30 mm), with a nitrogen application rate of 240 kg·ha−1. In dry years, irrigate three times at the VE, VT, and R2 stages (total 90 mm), with a nitrogen application rate of 180 kg·ha−1.
Author Contributions
Funding
Data Availability Statement
Conflicts of Interest
References
- Li, Z.; Zhang, Z.; Zhang, J.; Luo, Y.; Zhang, L. A New Framework to Quantify Maize Production Risk from Chilling Injury in Northeast China. Clim. Risk Manag. 2021, 32, 100299. [Google Scholar] [CrossRef]
- Li, Y.; Yin, Y.; Zhang, W. Water Footprint Assessment of Major Crops in Henan Province and Reduction Suggestions. Water 2023, 15, 1135. [Google Scholar] [CrossRef]
- Tilman, D.; Balzer, C.; Hill, J.; Befort, B.L. Global Food Demand and the Sustainable Intensification of Agriculture. Proc. Natl. Acad. Sci. USA 2011, 108, 20260–20264. [Google Scholar] [CrossRef]
- Hou, Y.; Xu, X.; Kong, L.; Zhang, L.; Zhang, Y.; Liu, Z. Improving Nitrogen Contribution in Maize Post-Tasseling Using Optimum Management under Mulch Drip Irrigation in the Semiarid Region of Northeast China. Front. Plant Sci. 2022, 13, 1095314. [Google Scholar] [CrossRef] [PubMed]
- Muhammad, I.; Yang, L.; Ahmad, S.; Zeeshan, M.; Farooq, S.; Ali, I.; Khan, A.; Zhou, X.B. Irrigation and Nitrogen Fertilization Alter Soil Bacterial Communities, Soil Enzyme Activities, and Nutrient Availability in Maize Crop. Front. Microbiol. 2022, 13, 833758. [Google Scholar] [CrossRef] [PubMed]
- Chen, X.; Zhang, H.; Yu, S.; Zhou, C.; Teng, A.; Lei, L.; Ba, Y.; Li, F. Optimizing Irrigation and Nitrogen Application Strategies to Improve Sunflower Yield and Resource Use Efficiency in a Cold and Arid Oasis Region of Northwest China. Front. Plant Sci. 2024, 15, 1429548. [Google Scholar] [CrossRef]
- Liu, D.; An, Y.; Tao, X.; Wang, X.; Lü, D.; Guo, Y.; Chen, X.; Zhang, W. Effects of Different Nitrogen Gradients on Yield and Nitrogen Uptake of Hybrid Seed Maize in Northwest China. Sci. Agric. Sin. 2023, 56, 441–452. [Google Scholar] [CrossRef]
- Yu, C.; Huang, X.; Chen, H.; Godfray, H.C.J.; Wright, J.S.; Hall, J.W.; Gong, P.; Ni, S.; Qiao, S.; Huang, G.; et al. Managing Nitrogen to Restore Water Quality in China. Nature 2019, 567, 516–520. [Google Scholar] [CrossRef]
- Wang, Z.; Zhang, B.; Li, J.; Lian, S.; Zhang, J.; Shi, S. Effects of Deficit-Regulated Irrigation on Root-Growth Dynamics and Water-Use Efficiency of Winter Wheat in a Semi-Arid Area. Water 2024, 16, 2678. [Google Scholar] [CrossRef]
- Yan, F.; Zhang, F.; Fan, X.; Fan, J.; Wang, Y.; Zou, H.; Wang, H.; Li, G. Determining Irrigation Amount and Fertilization Rate to Simultaneously Optimize Grain Yield, Grain Nitrogen Accumulation and Economic Benefit of Drip-Fertigated Spring Maize in Northwest China. Agric. Water Manag. 2021, 243, 106440. [Google Scholar] [CrossRef]
- Zou, H.; Fan, J.; Zhang, F.; Xiang, Y.; Wu, L.; Yan, S. Optimization of Drip Irrigation and Fertilization Regimes for High Grain Yield, Crop Water Productivity and Economic Benefits of Spring Maize in Northwest China. Agric. Water Manag. 2020, 230, 105986. [Google Scholar] [CrossRef]
- Han, Y.; Gao, H.; Zhang, D.; Wang, Y.; Sun, Y.; Zhang, F.; Zhu, X.; Yuan, M.; Ma, H.; Liu, X.; et al. Farming Modes and Fertilizer Management Practices to Improve Chlorophyll Fluorescence, Agronomic Efficiency and Maize Productivity in Semi-Arid Regions. J. Soil Sci. Plant Nutr. 2023, 23, 3857–3871. [Google Scholar] [CrossRef]
- Liu, P.; Ning, F.; Li, H.; Zhang, Y.; Zhang, Q.; Wang, R.; Wang, X.; Chen, X.; Li, J. Adaptive Nitrogen Inputs Sustain Water-Nitrogen Use and Improve Maize Productivity with Varied Precipitation Conditions on a Semi-Arid Agroecosystem. J. Sci. Food Agric. 2023, 103, 2262–2272. [Google Scholar] [CrossRef]
- Azad, N.; Behmanesh, J.; Rezaverdinejad, V.; Abbasi, F.; Navabian, M. An Analysis of Optimal Fertigation Implications in Different Soils on Reducing Environmental Impacts of Agricultural Nitrate Leaching. Sci. Rep. 2020, 10, 7797. [Google Scholar] [CrossRef]
- Zhang, T.; Zou, Y.; Kisekka, I.; Biswas, A.; Cai, H. Comparison of Different Irrigation Methods to Synergistically Improve Maize’s Yield, Water Productivity and Economic Benefits in an Arid Irrigation Area. Agric. Water Manag. 2021, 243, 106497. [Google Scholar] [CrossRef]
- Zhang, H.; Wang, J.; Liu, M.; Shen, Y.; Pei, H. Water Budget of Urban Turf Field and Optimal Irrigation Schedule Simulation in an Ecotone between Semi-Humid and Semi-Arid Regions, Northern China. Agronomy 2023, 13, 273. [Google Scholar] [CrossRef]
- Chen, S.; Jiang, T.; Ma, H.; He, C.; Xu, F.; Malone, R.W.; Feng, H.; Yu, Q.; Siddique, K.H.M.; Dong, Q.; et al. Dynamic Within-Season Irrigation Scheduling for Maize Production in Northwest China: A Method Based on Weather Data Fusion and Yield Prediction by DSSAT. Agric. For. Meteorol. 2020, 285–286, 107928. [Google Scholar] [CrossRef]
- Figueiredo Moura da Silva, E.H.; Hoogenboom, G.; Boote, K.J.; Cuadra, S.V.; Porter, C.H.; Scivittaro, W.B.; Steinmetz, S.; Cerri, C.E.P. Implications of Water Management on Methane Emissions and Grain Yield in Paddy Rice: A Case Study under Subtropical Conditions in Brazil Using the CSM-CERES-Rice Model. Agric. Water Manag. 2025, 307, 109234. [Google Scholar] [CrossRef]
- Li, L.; Wang, Q.; Zhao, Y.; Zhai, J.; Li, H.; Han, S.; Wang, L.; Gui, Y. Development Potential of Multi-Cropping Systems and Its Influence on Agricultural Water Consumption in the Huang–Huai–Hai River Basin of China. Agric. Water Manag. 2025, 308, 109298. [Google Scholar] [CrossRef]
- Quintero, D.; Mishra, V.; Limaye, A.S.; Van Abel, N.; Bright Ross, J.; Rashid, A. Bayesian Calibration of Management Practices for a Crop Model Implemented in a Subsistence Farming Region. Eur. J. Agron. 2025, 164, 127524. [Google Scholar] [CrossRef]
- Allakonon, M.G.B.; Tovihoudji, P.G.; Akponikpè, P.B.I.; Bielders, C.L. Optimizing Deficit Irrigation and Fertilizer Application for Off-Season Maize Production in Northern Benin. Field Crops Res. 2024, 318, 109613. [Google Scholar] [CrossRef]
- Shen, H.; Jiang, K.; Sun, W.; Xu, Y.; Ma, X. Irrigation Decision Method for Winter Wheat Growth Period in a Supplementary Irrigation Area Based on a Support Vector Machine Algorithm. Comput. Electron. Agric. 2021, 182, 106032. [Google Scholar] [CrossRef]
- Bai, Y.; Yue, W.; Ding, C. Optimize the Irrigation and Fertilizer Schedules by Combining DSSAT and Genetic Algorithm. Environ. Sci. Pollut. Res. 2022, 29, 52473–52482. [Google Scholar] [CrossRef]
- Jing, Q.; McConkey, B.; Qian, B.; Smith, W.; Grant, B.; Shang, J.; Liu, J.; Bindraban, P.; Luce, M.S. Assessing Water Management Effects on Spring Wheat Yield in the Canadian Prairies Using DSSAT Wheat Models. Agric. Water Manag. 2021, 244, 106591. [Google Scholar] [CrossRef]
- Rugira, P.; Ma, J.; Zheng, L.; Wu, C.; Liu, E. Application of DSSAT CERES-Maize to Identify the Optimum Irrigation Management and Sowing Dates on Improving Maize Yield in Northern China. Agronomy 2021, 11, 674. [Google Scholar] [CrossRef]
- Kaur, A.; Singh, K.B.; Brar, A.S.; Gupta, R.K.; Kingra, P.K. Interactive Effect of Nitrogen and Irrigation on Evapotranspiration, Growth, Yield and Water Productivity of Subsurface Drip-Irrigated Spring Maize: Field and Simulation Studies. Irrig. Drain. 2023, 72, 644–663. [Google Scholar] [CrossRef]
- Liu, M.; Liang, F.; Li, Q.; Wang, G.; Tian, Y.; Jia, H. Enhancement Growth, Water Use Efficiency and Economic Benefit for Maize by Drip Irrigation in Northwest China. Sci. Rep. 2023, 13, 8392. [Google Scholar] [CrossRef]
- Du, R.; Li, Z.; Xiang, Y.; Sun, T.; Liu, X.; Shi, H.; Li, W.; Huang, X.; Tang, Z.; Lu, J.; et al. Drip Fertigation Increases Maize Grain Yield by Affecting Phenology, Grain Filling Process, Biomass Accumulation and Translocation: A 4-Year Field Trial. Plants 2024, 13, 1903. [Google Scholar] [CrossRef]
- Guo, H.; Li, S.; Kang, S.; Du, T.; Liu, W.; Tong, L.; Hao, X.; Ding, R. Comparison of Several Models for Estimating Gross Primary Production of Drip-Irrigated Maize in Arid Regions. Ecol. Model. 2022, 468, 109928. [Google Scholar] [CrossRef]
- Wang, C.; Wang, J.; Zhang, Y.; Xu, D. Temporal and Spatial Variation of Morpho-Physiological Characteristics of Spring Maize under Mulched Drip Irrigation in Northeastern China. Crop Pasture Sci. 2022, 73, 1131–1141. [Google Scholar] [CrossRef]
- He, L.; Li, H.; He, J.; Han, D.; Li, R.; Wang, H. Irrigation at Appearance of Top 2nd or Flag Leaf Could Improve Canopy Photosynthesis by Regulating Light Distribution and LAI at Each Leaf Layer. Field Crops Res. 2023, 295, 108883. [Google Scholar] [CrossRef]
- Jiang, L.; Tong, C.; Hu, M.; Li, S.; Zhou, L.; Qi, Z.; Zhang, T. Responses of Maize Photosynthesis and Yield to Different Drip Irrigation Amounts with Full Film Mulching in the Hetao Irrigation District. Soil Water Conserv. 2017, 31, 289–297. [Google Scholar] [CrossRef]
- Marek, G.W.; Marek, T.H.; Xue, Q.; Gowda, P.H.; Evett, S.R.; Brauer, D.K. Simulating Evapotranspiration and Yield Response of Selected Corn Varieties under Full and Limited Irrigation in the Texas High Plains Using DSSAT-CERES-Maize. Trans. ASABE 2017, 60, 837–846. [Google Scholar] [CrossRef]
- Lamlom, S.F.; Abdelghany, A.M.; Ren, H.; Ali, H.M.; Usman, M.; Shaghaleh, H.; Hamoud, Y.A.; El-Sorady, G.A. Revitalizing Maize Growth and Yield in Water-Limited Environments through Silicon and Zinc Foliar Applications. Heliyon 2024, 10, e35118. [Google Scholar] [CrossRef]
- Zhou, B.; Ma, D.; Sun, X.; Ding, Z.; Li, C.; Ma, W.; Zhao, M. Straw Mulching under a Drip Irrigation System Improves Maize Grain Yield and Water Use Efficiency. Crop Sci. 2019, 59, 2806–2819. [Google Scholar] [CrossRef]
- Yu, J.; Wang, W.; Chen, Z.; Cao, M.; Qian, H. Disentangling the Dominance of Atmospheric and Soil Water Stress on Vegetation Productivity in Global Drylands. J. Hydrol. 2025, 657, 133043. [Google Scholar] [CrossRef]
- Wang, C.; Zhang, Y.; Wang, J.; Xu, D.; Gong, S.; Wu, Z.; Mo, Y.; Zhang, Y. Plastic Film Mulching with Drip Irrigation Promotes Maize (Zea Mays L.) Yield and Water-Use Efficiency by Improving Photosynthetic Characteristics. Arch. Agron. Soil Sci. 2021, 67, 191–204. [Google Scholar] [CrossRef]
- Gao, J.; Liu, Z.; Wang, P.; Huang, S. Drip Irrigation Coupled with Appropriate N Input Increased Maize (Zea Mays L.) Yield and Lodging Resistance via Optimizing Root and Stem Trait. Eur. J. Agron. 2024, 160, 127298. [Google Scholar] [CrossRef]
- Bai, Y.; Gao, J. Research on High Photosynthetic Efficient Cultivation with Drip Irrigation under Different Mulch of Maize. Water Supply 2020, 20, 3172–3182. [Google Scholar] [CrossRef]
- Bai, Y.; Gao, J. Optimization of the Nitrogen Fertilizer Schedule of Maize under Drip Irrigation in Jilin, China, Based on DSSAT and GA. Agric. Water Manag. 2021, 244, 106555. [Google Scholar] [CrossRef]
- Amouzou, K.A.; Naab, J.B.; Lamers, J.P.A.; Becker, M. CERES-Maize and CERES-Sorghum for Modeling Growth, Nitrogen and Phosphorus Uptake, and Soil Moisture Dynamics in the Dry Savanna of West Africa. Field Crops Res. 2018, 217, 134–149. [Google Scholar] [CrossRef]
- Dokoohaki, H.; Gheysari, M.; Mousavi, S.-F.; Zand-Parsa, S.; Miguez, F.E.; Archontoulis, S.V.; Hoogenboom, G. Coupling and Testing a New Soil Water Module in DSSAT CERES-Maize Model for Maize Production under Semi-Arid Condition. Agric. Water Manag. 2016, 163, 90–99. [Google Scholar] [CrossRef]
- Di Paolo, E.; Rinaldi, M. Yield Response of Corn to Irrigation and Nitrogen Fertilization in a Mediterranean Environment. Field Crops Res. 2008, 105, 202–210. [Google Scholar] [CrossRef]
- Liu, H.; Liu, H.; Lei, Q.; Zhai, L.; Wang, H.; Zhang, J.; Zhu, Y.; Liu, S.; Li, S.; Zhang, J.; et al. Using the DSSAT Model to Simulate Wheat Yield and Soil Organic Carbon under a Wheat-Maize Cropping System in the North China Plain. J. Integr. Agric. 2017, 16, 2300–2307. [Google Scholar] [CrossRef]
- Jiang, R.; He, W.; Zhou, W.; Hou, Y.; Yang, J.Y.; He, P. Exploring Management Strategies to Improve Maize Yield and Nitrogen Use Efficiency in Northeast China Using the DNDC and DSSAT Models. Comput. Electron. Agric. 2019, 166, 104988. [Google Scholar] [CrossRef]
- Wang, Y.; Jiang, K.; Shen, H.; Wang, N.; Liu, R.; Wu, J.; Ma, X. Decision-Making Method for Maize Irrigation in Supplementary Irrigation Areas Based on the DSSAT Model and a Genetic algorithm. Agric. Water Manag. 2023, 280, 108231. [Google Scholar] [CrossRef]
- Liao, Q.; Gu, S.; Gao, S.; Du, T.; Kang, S.; Tong, L.; Ding, R. Crop Water Stress Index Characterizes Maize Productivity under Water and Salt Stress by Using Growth Stage-Specific Non-Water Stress Baselines. Field Crops Res. 2024, 317, 109544. [Google Scholar] [CrossRef]
- Jin, X.; Feng, H.; Zhu, X.; Li, Z.; Song, S.; Song, X.; Yang, G.; Xu, X.; Guo, W. Assessment of the AquaCrop Model for Use in Simulation of Irrigated Winter Wheat Canopy Cover, Biomass, and Grain Yield in the North China Plain. PLoS ONE 2014, 9, e86938. [Google Scholar] [CrossRef]
- Zhu, H.; Zheng, B.; Nie, W.; Fei, L.; Shan, Y.; Li, G.; Liang, F. Optimization of Maize Irrigation Strategy in Xinjiang, China by AquaCrop Based on a Four-Year Study. Agric. Water Manag. 2024, 297, 108816. [Google Scholar] [CrossRef]
- Hou, L.; Wang, X.-S.; Zhou, Y.; Zhu, G.; Gao, Y.; Zhou, J. Cropland-Scale Interaction between Maize Evapotranspiration and Groundwater in a Well-Irrigation District in Mu Us Sandy Land, Northwest China. Agric. Ecosyst. Environ. 2025, 378, 109282. [Google Scholar] [CrossRef]
- Jiang, Y.; Zhang, L.; Zhang, B.; He, C.; Jin, X.; Bai, X. Modeling Irrigation Management for Water Conservation by DSSAT-Maize Model in Arid Northwestern China. Agric. Water Manag. 2016, 177, 37–45. [Google Scholar] [CrossRef]
- Liu, Y.; Guan, X.; Yang, M.; Ding, C.; Cui, J.; Huang, J.; Mei, F.; Wang, H.; Wang, T. Optimization simulation of summer maize irrigation system in northern Henan Province based on DSSAT model. Acta Ecol. Sin. 2019, 39, 5348–5358. [Google Scholar]
- Xu, M.; Zhang, Y.; Wang, Y.; Wang, L.; Bai, Y.; Lu, Y. Optimizing Nitrogen Input and Nitrogen Use Efficiency through Soil Nitrogen Balance in a Long-Term Winter Wheat-Summer Maize Rotation System in North China. Eur. J. Agron. 2023, 149, 126908. [Google Scholar] [CrossRef]
- Li, B.; Yan, L.; Zhang, W. Study on N Application and N Reduction Potential of Farmland in China. Environ. Monit. Assess. 2023, 195, 1156. [Google Scholar] [CrossRef]
- Mosaad, I.S.M.; El-Samit, R.M.; Seadh, A.K.; Abdelhamied, A.S.; Mustafa, A.E.-Z.M.A.; Elshikh, M.S. Quantitative Nitrate Leaching Relationship Models Based on Nitrogen Fertilisation and the Intervals between Maize Irrigations in the Salt-Affected Soil. J. King Saud Univ. Sci. 2024, 36, 103187. [Google Scholar] [CrossRef]
- Wei, Q.; Wei, Q.; Xu, J.; Liu, Y.; Wang, D.; Chen, S.; Qian, W.; He, M.; Chen, P.; Zhou, X.; et al. Nitrogen Losses from Soil as Affected by Water and Fertilizer Management under Drip Irrigation: Development, Hotspots and Future Perspectives. Agric. Water Manag. 2024, 296, 108791. [Google Scholar] [CrossRef]
- Kumar, K.; Parihar, C.M.; Nayak, H.S.; Sena, D.R.; Godara, S.; Dhakar, R.; Patra, K.; Sarkar, A.; Bharadwaj, S.; Ghasal, P.C.; et al. Modeling Maize Growth and Nitrogen Dynamics Using CERES-Maize (DSSAT) under Diverse Nitrogen Management Options in a Conservation Agriculture-Based Maize-Wheat System. Sci. Rep. 2024, 14, 11743. [Google Scholar] [CrossRef]
- Ome, U.K.; Eke, J.; Ojili, S.N. Simulation-Based Modeling of Soil Dynamics for Understanding Crop Responses. Int. J. Latest Technol. Eng. Manag. Appl. Sci. 2024, XIII, 19–28. [Google Scholar] [CrossRef]
- Eitzinger, J.; Thaler, S.; Schmid, E.; Strauss, F.; Ferrise, R.; Moriondo, M.; Bindi, M.; Palosuo, T.; Rötter, R.; Kersebaum, K.C.; et al. Sensitivities of Crop Models to Extreme Weather Conditions during Flowering Period Demonstrated for Maize and Winter Wheat in Austria. J. Agric. Sci. 2013, 151, 813–835. [Google Scholar] [CrossRef]










| Year | Treatment | Irrigation Date | Irrigation Quota (mm) | Base Fertilizer (kg·ha−1) | Top Dressing (kg·ha−1) | |
|---|---|---|---|---|---|---|
| 2023 | A1 | N1 | - | - | 68 | 53 |
| N2 | - | 76 | ||||
| B1 | N1 | 6.10 6.27 7.27 9.18 | 120 | 53 | ||
| N2 | 76 | |||||
| 2024 | A1 | N1 | - | - | 68 | 53 |
| N2 | - | 76 | ||||
| B1 | N1 | 6.8 6.29 9.10 | 90 | 53 | ||
| N2 | 76 | |||||
| Soil Layer (cm) | 0–20 | 20–40 | 40–60 | 60–80 | 80–100 |
|---|---|---|---|---|---|
| Bulk density (g·cm−3) | 1.47 | 1.44 | 1.52 | 1.54 | 1.46 |
| Field capacity (cm3·cm−3) | 0.26 | 0.25 | 0.32 | 0.3 | 0.22 |
| Volumetric water (cm3·cm−3) | 0.21 | 0.23 | 0.21 | 0.24 | 0.23 |
| Nitrate nitrogen (mg·cm−3) | 4.77 | 3.01 | 1.61 | 1.29 | 0.81 |
| Ammonium nitrogen (mg·cm−3) | 1.01 | 0.97 | 0.22 | 0.14 | 0.06 |
| Organic carbon (%) | 1.21 | 0.82 | 0.62 | 0.61 | 0.5 |
| pH | 8.12 | 8.2 | 8.11 | 8.22 | 8.21 |
| Sand (%) | 31.9 | 34.4 | 29.9 | 40.5 | 66.1 |
| Silt (%) | 46.5 | 44.2 | 49.3 | 48.3 | 23.5 |
| Clay (%) | 21.6 | 21.4 | 20.8 | 11.2 | 10.4 |
| Treatment | Irrigation Quota (mm) | Irrigation Period | Treatment | Irrigation Quota (mm) | Irrigation Period |
|---|---|---|---|---|---|
| W1 | 0 | rainfed | W9 | 100 | VJ and VT |
| W2 | 50 | VE | W10 | 100 | VJ and R2 |
| W3 | 50 | VJ | W11 | 100 | VT and R2 |
| W4 | 50 | VT | W12 | 150 | VE, VJ, and VT |
| W5 | 50 | R2 | W13 | 150 | VE, VJ, and R2 |
| W6 | 100 | VE and VJ | W14 | 150 | VE, VT, and R2 |
| W7 | 100 | VE and VT | W15 | 150 | VJ, VT, and R2 |
| W8 | 100 | VE and R2 | W16 | 200 | VE, VJ, VT, and R2 |
| Year | Treatment | Ear Length (cm) | Ear Diameter (cm) | Kernel Number per Ear (Kernel) | 100-Grain Weight (g) | Yield (kg·ha−1) |
|---|---|---|---|---|---|---|
| 2023 | A1N1 | 12.36 b | 2.93 b | 403.5 b | 24.73 b | 7165 b |
| A1N2 | 13.12 b | 3.07 ab | 422.54 b | 26.75 b | 7454 b | |
| B1N1 | 14.62 ab | 3.26 a | 459.31 a | 29.47 a | 10,783 a | |
| B1N2 | 16.03 a | 3.43 a | 489.83 a | 32.34 a | 11,049 a | |
| 2024 | A1N1 | 12.67 b | 3.04 ab | 416.38 b | 25.92 b | 8463 b |
| A1N2 | 13.45 b | 3.31 a | 427.64 b | 27.65 b | 8801 b | |
| B1N1 | 15.36 a | 3.41 a | 461.94 a | 30.83 a | 10,642 a | |
| B1N2 | 16.42 a | 3.46 a | 485.32 a | 32.57 a | 10,934 a |
| Year | Treatment | Irrigation Volume (mm) | Precipitation (mm) | Evapotranspiration (mm) | Water Balance Difference (mm) |
|---|---|---|---|---|---|
| 2023 | A1N1 | 0 | 471.53 | 357.25 | 114.28 |
| A1N2 | 369.51 | 102.02 | |||
| B1N1 | 120 | 453.62 | 137.91 | ||
| B1N2 | 467.39 | 124.14 | |||
| 2024 | A1N1 | 0 | 528.17 | 412.63 | 115.54 |
| A1N2 | 425.24 | 102.93 | |||
| B1N1 | 90 | 467.36 | 150.81 | ||
| B1N2 | 486.49 | 131.68 |
| Item | 2023 (Calibration) | R2 | RMSE | nRMSE | MB | 2024 (Verification) | R2 | RMSE | nRMSE | MB | |||||||
|---|---|---|---|---|---|---|---|---|---|---|---|---|---|---|---|---|---|
| A1N1 | A1N2 | B1N1 | B1N2 | A1N1 | A1N2 | B1N1 | B1N2 | ||||||||||
| Anthesis (DAP) | Measured data | 52 | 52 | 53 | 53 | 1 | 1 | 1.9 | 1 | 54 | 54 | 53 | 53 | 1 | 1 | 1.87 | 0.75 |
| Simulated data | 53 | 53 | 54 | 54 | 55 | 55 | 54 | 54 | |||||||||
| Maturity (DAP) | Measured data | 103 | 103 | 104 | 104 | 1 | 2 | 1.93 | 2 | 102 | 103 | 102 | 102 | 1 | 1 | 0.97 | 1 |
| Simulated data | 105 | 105 | 106 | 106 | 104 | 104 | 105 | 105 | |||||||||
| Maximum leaf area index | Measured data | 3.22 | 3.27 | 105 | 4.28 | 0.98 | 0.22 | 5.91 | 0.18 | 3.43 | 3.62 | 4.73 | 4.51 | 0.96 | 0.11 | 2.82 | 1.11 |
| Simulated data | 3.27 | 3.34 | 4.31 | 4.56 | 3.51 | 3.53 | 4.57 | 4.62 | |||||||||
| Biomass at Flowering (kg/ha) | Measured data | 5284 | 5963 | 4.52 | 7839 | 0.94 | 685.49 | 10.54 | 630.25 | 6024 | 6388 | 6347 | 7748 | 0.98 | 653.79 | 9.87 | 648 |
| Simulated data | 6048 | 6957 | 6931 | 8312 | 6574 | 7039 | 7132 | 8354 | |||||||||
| Biomass at Maturity (kg/ha) | Measured data | 15,375 | 16,045 | 7221 | 22,355 | 0.97 | 1851.1 | 9.98 | 1793.5 | 17,364 | 18,337 | 20,127 | 20,848 | 0.98 | 1655.33 | 8.64 | 1408.25 |
| Simulated data | 16,783 | 18,621 | 20,446 | 23,953 | 17,856 | 18,934 | 22,537 | 22,952 | |||||||||
| Yield (kg/ha) | Measured data | 7165 | 7454 | 22,038 | 11,049 | 0.96 | 866.38 | 9.51 | 712.25 | 8463 | 8801 | 10,642 | 10,934 | 0.98 | 803.86 | 8.28 | 791.75 |
| Simulated data | 7634 | 8016 | 10,783 | 12,596 | 9457 | 9531 | 11,257 | 11,762 | |||||||||
| Parameter | P1 | P2 | P5 | G2 | G3 | PHINT |
|---|---|---|---|---|---|---|
| Range | 100–400 | 0–4 | 600–1000 | 500–1000 | 5–12 | 30–75 |
| Optimal value | 224 | 0.78 | 813 | 857 | 8.57 | 45 |
| Typical Hydrological Years | Irrigation Period | Irrigation Quota (mm) | Nitrogen Application Rate (kg·ha−1) |
|---|---|---|---|
| Wet hydrological years | Rainfed | 0 | 240 |
| Normal hydrological years | VT | 30 | 240 |
| Dry hydrological years | VE, VT, R2 | 90 | 180 |
Disclaimer/Publisher’s Note: The statements, opinions and data contained in all publications are solely those of the individual author(s) and contributor(s) and not of MDPI and/or the editor(s). MDPI and/or the editor(s) disclaim responsibility for any injury to people or property resulting from any ideas, methods, instructions or products referred to in the content. |
© 2025 by the authors. Licensee MDPI, Basel, Switzerland. This article is an open access article distributed under the terms and conditions of the Creative Commons Attribution (CC BY) license (https://creativecommons.org/licenses/by/4.0/).
Share and Cite
Ma, J.; Wang, Y.; Liu, L.; Cui, B.; Ding, Y.; Zhao, Y. Research on the Optimal Water and Fertilizer Scheme for Maize in a Typical Hydrological Year Based on the DSSAT Model. Agronomy 2025, 15, 1085. https://doi.org/10.3390/agronomy15051085
Ma J, Wang Y, Liu L, Cui B, Ding Y, Zhao Y. Research on the Optimal Water and Fertilizer Scheme for Maize in a Typical Hydrological Year Based on the DSSAT Model. Agronomy. 2025; 15(5):1085. https://doi.org/10.3390/agronomy15051085
Chicago/Turabian StyleMa, Jianqin, Yongqing Wang, Lei Liu, Bifeng Cui, Yu Ding, and Yan Zhao. 2025. "Research on the Optimal Water and Fertilizer Scheme for Maize in a Typical Hydrological Year Based on the DSSAT Model" Agronomy 15, no. 5: 1085. https://doi.org/10.3390/agronomy15051085
APA StyleMa, J., Wang, Y., Liu, L., Cui, B., Ding, Y., & Zhao, Y. (2025). Research on the Optimal Water and Fertilizer Scheme for Maize in a Typical Hydrological Year Based on the DSSAT Model. Agronomy, 15(5), 1085. https://doi.org/10.3390/agronomy15051085
