Comprehensive Evaluation and Screening of Autumn-Sown Oat (Avena sativa L.) Germplasm in Different Agropastoral Regions
Abstract
1. Introduction
2. Materials and Methods
2.1. Plant Materials
2.2. Experimental Site and Design
2.3. Measurement Index and Methods
2.3.1. Agronomic Characteristics
2.3.2. Nutritional Indices
2.4. Statistical Analysis
3. Results
3.1. Agronomic Performance
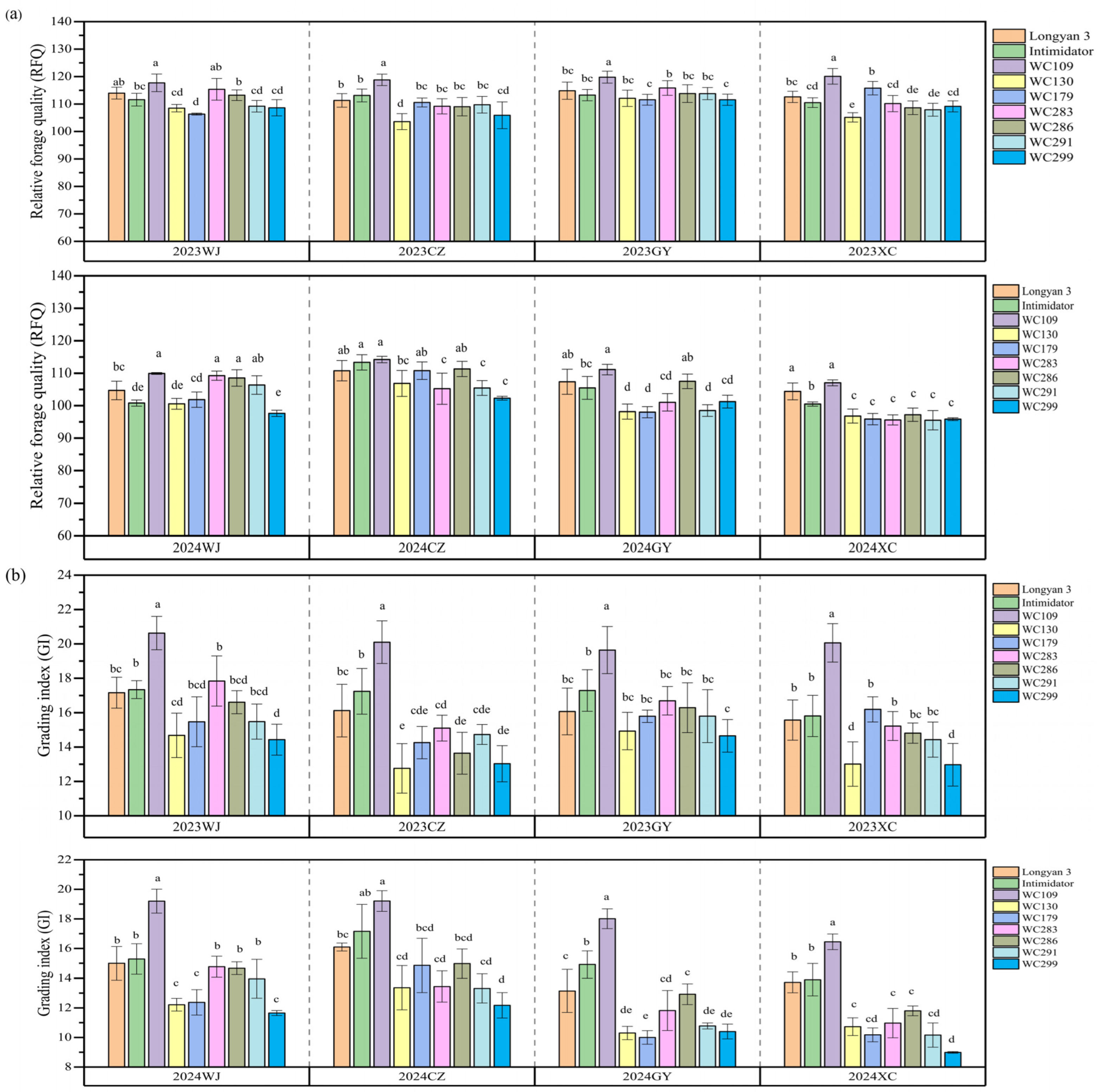
3.2. Nutrient Composition
3.3. Correlation of Agronomic Traits and Nutrients
3.4. Key Factors for Changes in Yield and Feeding Value
3.5. Principal Component Analysis
3.6. Cluster Analysis
3.7. The AMMI Model Was Employed to Evaluate the Yield Stability and High-Yield Potential of the Tested Genotypes
4. Discussion
4.1. Oat Genotypes’ Agronomic Characteristics Comparison
4.2. Oat Genotypes Nutritional Indices Comparison
4.3. Comprehensive Evaluation of Forage Oat Genotype Screening
5. Conclusions
Author Contributions
Funding
Data Availability Statement
Acknowledgments
Conflicts of Interest
References
- Zhu, Y.; Begho, T. Towards responsible production, consumption and food security in China: A review of the role of novel alternatives to meat protein. Future Foods 2022, 6, 100186. [Google Scholar] [CrossRef]
- Capstaff, N.M.; Miller, A.J. Improving the yield and nutritional quality of forage crops. Front. Plant Sci. 2018, 9, 535. [Google Scholar] [CrossRef] [PubMed]
- Pexas, G.; Doherty, B.; Kyriazakis, I. The future of protein sources in livestock feeds: Implications for sustainability and food safety. Front. Sustain. Food Syst. 2023, 7, 1188467. [Google Scholar] [CrossRef]
- Yan, Z.; Gao, Z.; Sun, B.; Dong, X.; Gao, T.; Li, Y. Global degradation trends of grassland and their driving factors since 2000. Int. J. Digit. Earth 2023, 16, 1661–1684. [Google Scholar] [CrossRef]
- Zeng, G.Y.; Ye, M.; Li, M.M.; Chen, W.L.; He, Q.Z.; Pan, X.T.; Zhang, X.; Che, J.; Qian, J.R.; Lv, Y. The influence of three-year grazing on plant community dynamics productivity in Habahe, China. Agronomy 2024, 14, 1855. [Google Scholar] [CrossRef]
- Zhang, Y.J.; Li, S.C.; Dong, X.L.; Mou, Q.Y.; Li, J.J.; Zhang, X.Y.; Lin, M.; Yu, K.; Zhou, P.P.; Liu, X.B.; et al. Evaluation of oat (Avena sativa L.) populations for autumn sowing production in Southwest China. Grass Forage Sci. 2024, 79, 37–46. [Google Scholar] [CrossRef]
- Deng, X.; Gibson, J.; Wang, P. Quantitative measurements of the interaction between net primary productivity and livestock production in Qinghai Province based on data fusion technique. J. Clean. Prod. 2017, 142, 758–766. [Google Scholar] [CrossRef]
- Hou, L.L.; Xia, F.; Chen, Q.H.; Huang, J.K.; He, Y.; Rose, N.; Rozelle, S. Grassland ecological compensation policy in China improves grassland quality and increases herders income. Nat. Commun. 2021, 12, 4683. [Google Scholar] [CrossRef] [PubMed]
- Zhao, Z.; Chen, J.; Bai, Y.; Wang, P. Assessing the sustainability of grass-based livestock husbandry in Hulun Buir, China. Phys. Chem. Earth Parts A/B/C 2020, 120, 102907. [Google Scholar] [CrossRef]
- Wang, J.T.; Sa, D.W.; Shao, L.H.; Wang, Z.L. Optimizing agricultural structure and accelerating the development of the forage industry. Acta Prataculturae Sin. 2025, 34, 211–220. [Google Scholar] [CrossRef]
- Hou, L.; Bai, W.; Zhang, Q.; Liu, Y.; Sun, H.; Luo, Y.; Song, S.; Zhang, W.H. A new model of two-sown regime for oat forage production in an alpine region of Northern China. Environ. Sci. Pollut. Res. 2022, 29, 70520–70531. [Google Scholar] [CrossRef] [PubMed]
- Noulas, C.; Torabian, S.; Qin, R. Crop nutrient requirements and advanced fertilizer management strategies. Agronomy 2023, 13, 2017. [Google Scholar] [CrossRef]
- Xu, L.; Tang, G.; Wu, D.; Zhang, J. Yield and nutrient composition of forage crops and their effects on soil characteristics of winter fallow paddy in South China. Front. Plant Sci. 2024, 14, 1292114. [Google Scholar] [CrossRef]
- Gao, S.B.; Yang, S.; Wu, K.X.; Yu, B.; Zuo, C.; Chen, D.W.; Rong, T.Z. Challenges and suggestions for sustainable development of food security in Southwest China. Strateg. Study CAE 2019, 21, 54–59. [Google Scholar] [CrossRef]
- Ul, H.I.; Ijaz, S. Sustainable Winter Fodder: Production, Challenges, and Prospects, 1st ed.; CRC Press: Boca Raton, FL, USA, 2021. [Google Scholar]
- Hall, N.M.; Kaya, B.; Dick, J.; Skabi, U.; Niang, A. Effect of improved fallow on crop productivity, soil fertility and climate-forcing gas emissions in semi-arid conditions. Biol. Fertil. Soils 2006, 42, 224–230. [Google Scholar] [CrossRef]
- Favre, J.R.; Albrecht, K.A.; Gutierrez, L.; Picasso, V.D. Harvesting oat forage at late heading increases milk production per unit of area. Crop Forage Turfgrass Manag. 2019, 5, 1–8. [Google Scholar] [CrossRef]
- Kaur, H.; Goyal, M.; Kaur, A.; Kapoor, R. Nutritional and yield potential of oat (Avena sativa L.) genotypes in dual-purpose crop system. Cereal Res. Commun. 2023, 51, 969–980. [Google Scholar] [CrossRef]
- Peng, Y.; Yan, H.; Guo, L.; Deng, C.; Wang, C.L.; Wang, Y.B.; Kang, L.P.; Zhou, P.P.; Yu, K.Q.; Dong, X.L.; et al. Reference genome assemblies reveal the origin and evolution of allohexaploid oat. Nat. Genet. 2022, 54, 1248–1258. [Google Scholar] [CrossRef]
- Wang, G.; Xu, H.X.; Zhao, H.Y.; Wu, Y.G.; Gao, X.; Chai, Z.; Liang, Y.Q.; Zhang, X.K.; Zhen, R.; Yang, Q.; et al. Screening optimal oat varieties for cultivation in arid areas in China: A comprehensive evaluation of agronomic traits. Agronomy 2023, 13, 2266. [Google Scholar] [CrossRef]
- Peng, J.H.; Cheng, M.J.; Dong, Z.X.; Lei, X.; Gou, W.L.; Liu, Y.H.; Chen, S.M.; Tian, K.; Liu, W.; Ma, X. Evaluation on the adaptability of 12 oat varieties in Sichuan Province. Acta Agrestia Sin. 2023, 31, 2128–2136. [Google Scholar]
- Yuan, Y.; Chen, D.M.; Liu, W. Correlation analysis and comprehensive evaluation of production and reproductive of forage oats in Northwest Sichuan Plateau. J. Sichuan Agric. Univ. 2023, 41, 1116–1123. [Google Scholar] [CrossRef]
- Ma, L. Screening of High Yield and Quality Oat Forage Materials and Correlation Analysis of Agronomic Traits in Pingba Ecological Region, Sichuan Province. Master’s Thesis, Sichuan Agricultural University, Ya’an, China, 2019. [Google Scholar]
- Zhang, Y.J.; Yu, K.Q.; Yan, H.H.; Ma, L.; Zhou, P.P.; Peng, Y.Y. Effect of harvesting time on forage yield and quality of whole-crop oat in autumn-sown regions of China. J. Plant Biol. Crop Res. 2023, 6, 1082. [Google Scholar]
- Van, S.P.J.; Robertson, J.B.; Lewis, B.A. Methods for dietary fiber, neutral detergent fiber, and nonstarch polysaccharides in relation to animal nutrition. J. Dairy Sci. 1991, 74, 3583–3597. [Google Scholar] [CrossRef]
- Thiex, N.J.; Manson, H.; Anderson, S.; Persson, J.A.; Collaborators. Determination of crude protein in animal feed, forage, grain, and oilseeds by using block digestion with a copper catalyst and steam distillation into boric acid: Collaborative study. J. AOAC Int. 2002, 85, 309–317. [Google Scholar] [CrossRef]
- Thiex, N.J.; Anderson, S.; Gildemeister, B.; Collaborators. Crude fat, hexanes extraction, in feed, cereal grain, and forage (Randall/Soxtec/Submersion Method): Collaborative study. J. AOAC Int. 2003, 86, 899–908. [Google Scholar] [CrossRef]
- Quirino, D.F.; Palma, M.N.N.; Franco, M.O.; Detmann, E. Variations in methods for quantification of crude ash in animal feeds. J. AOAC Int. 2023, 106, 6–13. [Google Scholar] [CrossRef]
- Htet, M.N.S.; Wang, H.; Yadav, V.; Sompouviseth, T. Legume integration augments the forage productivity and quality in Maize-Based system in the loess plateau region. Sustainability 2022, 14, 6022. [Google Scholar] [CrossRef]
- Jia, C.H.; Qian, W.X.; Samat, T.; Ao, W.P.; Abdukirem, G. Roughage nutritional value evaluation indices and research methods. Pratacultural. Sci. 2017, 11, 415–427. [Google Scholar]
- Sun, J.P.; Dong, K.H.; Kuai, X.Y.; Xue, Z.H.; Gao, Y.Q. Comparison of productivity and feeding value of introduced oat varieties in the agro-pasture ecotone of Northern Shanxi. Acta Prataculturae Sin. 2017, 26, 222–230. [Google Scholar] [CrossRef]
- Dinkale, T.; Tesfaye, W.; Wekgari, Y. Performance evaluation of improved oat varieties/accessions at East Guji Zone, Oromia, Ethiopia. Ecol. Evol. Biol. 2020, 5, 121–124. [Google Scholar] [CrossRef]
- Tulu, A.; Diribsa, M.; Temesgen, W. Evaluation of seven oat (Avena sativa) genotypes for biomass yield and quality parameters under different locations of Western Oromia, Ethiopia. Adv. Agric. 2020, 882234. [Google Scholar] [CrossRef]
- Wang, J.; Li, Y.F.; Liang, X.Z.; Zheng, M. Morphological diversity of main oat germplasm resources in northern China. Crops 2017, 4, 27–32. [Google Scholar] [CrossRef]
- Saleem, M.; Zamir, M.S.L.; Haq, I.; Irshad, M.Z.; Rehman, S. Yield and quality of forage oat (Avena sativa L.) cultivars as affected by seed inoculation with nitrogenous strains. Am. J. Plant Sci. 2015, 6, 3251–3259. [Google Scholar] [CrossRef]
- Bao, W.L.; Ren, J.H.; Zhang, T.W.; Zhao, J.M.; Wang, Z.L.; Wang, F.W.; Tang, J.G.; Yin, G.M.; Han, Y.P.; Sun, J.J. Comprehensive evaluation of productivity of 12 forage oat varieties in Ulanqab. Acta Agrestia Sin. 2024, 32, 1169–1176. [Google Scholar] [CrossRef]
- Richman, S.E.; Leafloor, J.O.; Karasov, W.H.; Mcwilliams, S.R. Ecological implications of reduced forage quality on growth and survival of sympatric geese. J. Anim. Ecol. 2015, 84, 284–298. [Google Scholar] [CrossRef]
- Zhang, J.; Iwaasa, A.D.; Han, G.D.; Gu, C.; Wang, H.; Kusler, J.; Jefferson, P.G. Utilizing a multi-index decision analysis method to overall assess forage yield and quality of C3 grasses in the western Canadian prairies. Field Crops Res. 2018, 222, 12–25. [Google Scholar] [CrossRef]
- Kang, J.; Kuang, Y.B.; Sheng, J. Analysis of nutritive value of 10 forages straw. Pratacultural. Sci. 2014, 31, 1951–1956. [Google Scholar] [CrossRef]
- Sadras, V.O.; Mahadevan, M.; Zwer, P.K. Oat phenotypes for drought adaptation and yield potential. Field Crops Res. 2017, 212, 135–144. [Google Scholar] [CrossRef]
- Dar, N.A.; Singh, K.N.; Latief, A.; Sofi, J.A.; Elyass, B.M.; Ahmad, L. Influence of dates of sowing, cultivars and different fertility levels on fodder oat (Avena sativa L.) under temperate conditions of Kashmir valley (India). Range Manag. Agrofor. 2014, 35, 51–55. [Google Scholar]
- Kaur, A.; Goyal, M.; Kaur, M.; Mahal, A.K. Interactive effect of planting dates and development stages on digestibility, qualitative traits and yield of forage oat (Avena sativa L.) genotypes. Cereal Res. Commun. 2022, 50, 1237–1247. [Google Scholar] [CrossRef]
- Wang, Y.T.; Yang, Z.M.; Liu, J.C.; Li, F.; Yu, L.Q.; Yuan, T.; Liang, X.; Zhou, W.X. Comprehensive evaluation of production on performance and nutritional quality of 21 oat varieties in Northwest of Hebei province. Acta Agrestia Sin. 2020, 28, 1311–1328. [Google Scholar] [CrossRef]
- Mut, Z.; Akayb, H.; Erbasa, O.D. Hay yield and quality of oat (Avena sativa L.) genotypes of worldwide origin. Int. J. Plant Prod. 2015, 9, 507–522. [Google Scholar]
- Feyissa, F.; Tolera, A.; Melaku, S. Nutritive value of different varieties and morphological fractions of oats harvested at the soft dough stage. Trop. Sci. 2007, 47, 188–196. [Google Scholar] [CrossRef]
- Usman, S.; Bedasa, E.; Tamirat, D. Performance evaluation of improved oat varieties/accessions at the highland of Guji Zone, Bore, Ethiopia. J. Biol. Agric. Healthc. 2018, 8, 21–26. [Google Scholar]
- Ferreira, J.F.S.; Cornacchione, M.V.; Liu, X.; Saurez, D.L. Nutrient composition, forage parameters, and antioxidant capacity of alfalfa (Medicago sativa, L.) in response to saline irrigation water. Agriculture 2015, 5, 577–597. [Google Scholar] [CrossRef]
- Stewart, D.; McDougall, G. Oat agriculture, cultivation and breeding targets: Implications for human nutrition and health. Br. J. Nutr. 2014, 112, 50–57. [Google Scholar] [CrossRef]
- Rispail, N.; Montilla, B.G.; Sanchez, M.J.; Flors, F.; Howarth, C.; Langdon, T.; Rubiales, D.; Prats, E. Multi-environmental trials reveal genetic plasticity of oat agronomic traits associated with climate variable changes. Front. Plant Sci. 2018, 9, 1358. [Google Scholar] [CrossRef]
- Canales, F.J.; Montilla, B.G.; Gallego, S.L.M.; Flores, F.; Rispail, N.; Prats, E. Deciphering main climate and edaphic components driving oat adaptation to mediterranean environments. Front. Plant Sci. 2021, 12, 780562. [Google Scholar] [CrossRef]









| Genotypes | Growth Stage (d) | |||||||
|---|---|---|---|---|---|---|---|---|
| 2023WJ | 2023CZ | 2023GY | 2023XC | 2024WJ | 2024CZ | 2024GY | 2024XC | |
| Longyan 3 | 178 | 172 | 180 | 166 | 180 | 176 | 185 | 162 |
| Intimidator | 172 | 170 | 183 | 167 | 176 | 172 | 183 | 170 |
| WC109 | 160 | 156 | 171 | 154 | 166 | 167 | 176 | 161 |
| WC130 | 176 | 170 | 182 | 162 | 175 | 171 | 179 | 167 |
| WC179 | 170 | 169 | 180 | 161 | 174 | 166 | 181 | 169 |
| WC283 | 164 | 161 | 179 | 159 | 169 | 161 | 173 | 158 |
| WC286 | 176 | 173 | 188 | 170 | 177 | 170 | 182 | 167 |
| WC291 | 169 | 164 | 174 | 161 | 171 | 164 | 177 | 166 |
| WC299 | 166 | 159 | 169 | 154 | 170 | 162 | 172 | 157 |
| Soil Nutrient | 2023WJ | 2023CZ | 2023GY | 2023XC | 2024WJ | 2024CZ | 2024GY | 2024XC |
|---|---|---|---|---|---|---|---|---|
| Origin matter (g/kg) | 32.31 | 28.54 | 29.20 | 28.40 | 32.49 | 28.62 | 29.31 | 28.44 |
| Total nitrogen (g/kg) | 1.56 | 1.48 | 1.49 | 1.45 | 1.62 | 1.48 | 1.54 | 1.46 |
| Available nitrogen (mg/kg) | 105.88 | 100.29 | 98.28 | 97.86 | 106.03 | 100.30 | 98.33 | 97.93 |
| Available phosphorus (mg/kg) | 15.53 | 12.24 | 12.01 | 11.46 | 15.57 | 12.31 | 12.03 | 11.55 |
| Available potassium (mg/kg) | 148.32 | 150.26 | 119.37 | 115.53 | 148.33 | 150.34 | 119.42 | 115.55 |
| pH | 6.48 | 7.12 | 6.84 | 7.43 | 6.46 | 7.14 | 6.83 | 7.45 |
| Genotypes | DMY(t/ha) | Combined | |||||||
|---|---|---|---|---|---|---|---|---|---|
| 2023WJ | 2023CZ | 2023GY | 2023XC | 2024WJ | 2024CZ | 2024GY | 2024XC | ||
| Longyan 3 | 14.77 ± 1.15 bc | 11.69 ± 1.38 bc | 12.37 ± 0.93 bc | 10.98 ± 0.84 ab | 17.56 ± 0.76 abc | 12.62 ± 0.50 bc | 13.01 ± 0.61 bc | 12.97 ± 0.65 abc | 13.25 |
| Intimidator | 15.82 ± 0.82 ab | 11.88 ± 1.02 bc | 13.87 ± 1.03 a | 10.73 ± 0.69 abc | 18.06 ± 0.41 a | 12.51 ± 0.53 bc | 13.17 ± 0.67 b | 13.16 ± 0.66 ab | 13.65 |
| WC109 | 16.85 ± 0.66 a | 14.20 ± 0.60 a | 13.96 ± 0.63 a | 11.21 ± 0.69 a | 17.90 ± 0.32 ab | 14.94 ± 0.50 a | 14.47 ± 0.81 a | 13.84 ± 1.02 a | 14.58 |
| WC130 | 13.17 ± 0.82 d | 10.77 ± 1.07 cd | 11.87 ± 0.96 bc | 10.04 ± 1.38 abcd | 15.27 ± 0.62 d | 10.85 ± 0.47 de | 12.96 ± 0.64 bc | 10.88 ± 0.13 ef | 11.98 |
| WC179 | 13.01 ± 1.05 d | 10.87 ± 0.67 bcd | 12.46 ± 0.89 bc | 10.84 ± 0.78 abc | 16.41 ± 0.89 c | 11.85 ± 0.23 cd | 11.69 ± 0.30 d | 12.28 ± 0.35 bcd | 12.43 |
| WC283 | 14.46 ± 0.68 c | 12.42 ± 0.99 b | 13.79 ± 0.96 a | 10.32 ± 0.82 abcd | 17.83 ± 0.54 ab | 13.22 ± 0.61 b | 13.35 ± 0.59 b | 12.88 ± 0.79 abc | 13.53 |
| WC286 | 12.92 ± 0.67 d | 11.85 ± 0.97 bc | 12.85 ± 0.51 ab | 9.70 ± 0.94 bcd | 16.85 ± 0.99 bc | 11.77 ± 0.50 cd | 11.97 ± 0.68 cd | 11.95 ± 0.43 cd | 12.48 |
| WC291 | 11.91 ± 1.00 d | 12.28 ± 0.90 bc | 11.99 ± 0.59 bc | 9.51 ± 0.57 cd | 14.89 ± 0.46 d | 11.14 ± 0.23 de | 11.85 ± 0.63 d | 11.73 ± 0.40 de | 11.91 |
| WC299 | 10.47 ± 0.42 e | 9.99 ± 0.73 d | 11.19 ± 0.75 c | 9.05 ± 0.41 d | 13.35 ± 0.43 e | 10.58 ± 1.02 e | 11.18 ± 0.43 d | 9.93 ± 0.36 f | 10.72 |
| Mean | 13.64 | 11.77 | 12.71 | 10.27 | 16.46 | 12.16 | 12.63 | 12.18 | 12.73 |
| CV(%) | 13.96 | 11.93 | 9.19 | 9.75 | 9.90 | 11.14 | 8.64 | 10.21 | 10.58 |
| G | 74.481 *** | ||||||||
| Y | 118.475 *** | ||||||||
| L | 345.238 *** | ||||||||
| G × Y | 4.786 *** | ||||||||
| G × L | 4.145 *** | ||||||||
| Y × L | 57.318 *** | ||||||||
| G × Y × L | 2.127 ** | ||||||||
| Genotypes | PH(cm) | Combined | |||||||
|---|---|---|---|---|---|---|---|---|---|
| 2023WJ | 2023CZ | 2023GY | 2023XC | 2024WJ | 2024CZ | 2024GY | 2024XC | ||
| Longyan 3 | 163.6 ± 4.2 d | 162.4 ± 6.6 ab | 133.4 ± 4.3 b | 135.4 ± 3.9 bc | 174.1 ± 5.1 b | 158.6 ± 5.0 cd | 147.0 ± 3.7 b | 148.5 ± 5.5 abc | 152.9 |
| Intimidator | 187.1 ± 2.6 a | 165.0 ± 4.6 a | 136.5 ± 3.9 b | 134.6 ± 3.2 bc | 184.4 ± 4.4 a | 166.6 ± 3.8 b | 147.4 ± 1.7 b | 154.1 ± 3.3 ab | 159.5 |
| WC109 | 179.8 ± 3.0 b | 160.6 ± 5.3 ab | 149.4 ± 5.7 a | 138.5 ± 0.6 b | 175.4 ± 2.7 b | 175.6 ± 3.6 a | 157.4 ± 5.3 a | 150.0 ± 4.3 a | 160.8 |
| WC130 | 179.0 ± 4.8 b | 151.5 ± 4.1 cd | 125.3 ± 4.9 c | 144.8 ± 0.7 a | 173.1 ± 1.6 b | 157.4 ± 3.8 cd | 157.3 ± 4.6 a | 145.8 ± 3.0 ef | 154.3 |
| WC179 | 175.7 ± 4.8 bc | 159.4 ± 5.9 abc | 123.5 ± 5.5 c | 135.5 ± 2.4 bc | 176.0 ± 1.7 b | 166.4 ± 4.4 b | 123.9 ± 6.4 d | 139.2 ± 1.1 bcd | 149.9 |
| WC283 | 177.6 ± 3.7 bc | 154.7 ± 4.4 bc | 133.0 ± 5.7 b | 146.7 ± 1.4 a | 178.7 ± 3.1 ab | 163.2 ± 3.3 bc | 136.3 ± 1.5 c | 159.4 ± 5.9 abc | 156.4 |
| WC286 | 172.5 ± 2.5 c | 152.5 ± 5.9 cd | 131.0 ± 5.6 bc | 133.1 ± 1.2 c | 179.1 ± 5.7 ab | 159.6 ± 4.0 cd | 148.0 ± 2.2 b | 145.7 ± 4.2 cd | 152.7 |
| WC291 | 132.6 ± 5.2 e | 146.5 ± 2.8 d | 110.4 ± 3.6 d | 134.8 ± 4.1 bc | 163.7 ± 6.2 c | 153.1 ± 1.7 d | 131.3 ± 1.5 c | 103.1 ± 3.5 de | 134.5 |
| WC299 | 119.9 ± 3.6 f | 117.6 ± 5.6 e | 95.9 ± 5.2 e | 119.1 ± 2.0 d | 129.3 ± 3.1 d | 120.2 ± 1.9 e | 97.3 ± 3.8 e | 99.1 ± 5.3 f | 112.3 |
| Mean | 165.3 | 152.2 | 126.5 | 135.8 | 170.5 | 157.9 | 138.4 | 138.5 | 148.1 |
| CV(%) | 13.42 | 9.29 | 12.10 | 5.69 | 9.28 | 9.48 | 13.21 | 15.20 | 9.85 |
| G | 356.302 *** | ||||||||
| Y | 140.298 *** | ||||||||
| L | 910.628 *** | ||||||||
| G × Y | 5.050 *** | ||||||||
| G × L | 14.288 *** | ||||||||
| Y × L | 14.295 *** | ||||||||
| G × Y × L | 15.765 *** | ||||||||
| Genotypes | TN | Combined | |||||||
|---|---|---|---|---|---|---|---|---|---|
| 2023WJ | 2023CZ | 2023GY | 2023XC | 2024WJ | 2024CZ | 2024GY | 2024XC | ||
| Longyan 3 | 6.1 ± 0.6 abc | 5.2 ± 0.6 bc | 6.2 ± 0.7 a | 6.2 ± 0.7 a | 5.7 ± 0.8 b | 5.2 ± 0.6 b | 6.4 ± 0.6 a | 6.2 ± 0.7 a | 5.9 |
| Intimidator | 6.3 ± 0.6 ab | 5.7 ± 0.6 ab | 5.3 ± 0.4 bc | 6.1 ± 0.5 a | 7.1 ± 0.5 a | 5.3 ± 0.6 b | 5.9 ± 0.3 a | 6.3 ± 0.6 a | 6.0 |
| WC109 | 7.0 ± 0.7 a | 6.5 ± 0.6 a | 5.7 ± 0.5 ab | 5.7 ± 0.6 ab | 7.8 ± 0.5 a | 6.6 ± 0.4 a | 6.0 ± 0.2 a | 6.7 ± 0.7 a | 6.5 |
| WC130 | 4.8 ± 0.6 d | 4.6 ± 0.6 c | 4.7 ± 0.4 c | 4.7 ± 0.3 cd | 5.9 ± 0.5 b | 4.3 ± 0.7 b | 4.8 ± 0.4 c | 5.2 ± 0.4 bc | 4.9 |
| WC179 | 5.0 ± 0.9 d | 4.3 ± 0.4 c | 4.5 ± 0.5 c | 4.9 ± 0.5 bcd | 6.0 ± 0.7 b | 4.4 ± 0.3 b | 4.8 ± 0.6 c | 4.5 ± 0.2 c | 4.8 |
| WC283 | 5.4 ± 0.7 bcd | 5.2 ± 0.4 bc | 4.8 ± 0.6 bc | 5.4 ± 0.7 abc | 6.2 ± 0.5 b | 5.2 ± 0.4 b | 5.8 ± 0.7 ab | 5.9 ± 0.4 ab | 5.5 |
| WC286 | 5.3 ± 0.5 cd | 4.7 ± 0.6 c | 4.6 ± 0.5 c | 4.5 ± 0.4 d | 5.7 ± 0.4 ab | 4.5 ± 0.7 b | 4.7 ± 0.3 c | 4.9 ± 0.4 c | 4.9 |
| WC291 | 4.9 ± 0.5 d | 4.6 ± 0.7 c | 4.4 ± 0.6 c | 4.4 ± 0.5 d | 5.6 ± 0.2 b | 5.0 ± 0.7 b | 4.2 ± 0.6 c | 4.7 ± 0.6 c | 4.7 |
| WC299 | 5.2 ± 0.7 cd | 4.6 ± 0.5 c | 4.7 ± 0.7 c | 5.4 ± 0.6 abc | 5.3 ± 0.4 b | 5.2 ± 0.5 b | 4.9 ± 0.7 bc | 5.3 ± 0.5 bc | 5.1 |
| Mean | 5.5 | 5.0 | 4.9 | 5.2 | 6.1 | 5.1 | 5.3 | 5.5 | 5.4 |
| CV(%) | 16.13 | 16.03 | 15.23 | 15.09 | 13.92 | 15.83 | 15.40 | 15.33 | 11.01 |
| G | 31.824 *** | ||||||||
| Y | 15.887 *** | ||||||||
| L | 25.754 *** | ||||||||
| G × Y | 0.971 NS | ||||||||
| G × L | 1.799 * | ||||||||
| Y × L | 1.620 * | ||||||||
| G × Y × L | 0.995 NS | ||||||||
| Genotypes | SLR(%) | Combined | |||||||
|---|---|---|---|---|---|---|---|---|---|
| 2023WJ | 2023CZ | 2023GY | 2023XC | 2024WJ | 2024CZ | 2024GY | 2024XC | ||
| Longyan 3 | 75.64 ± 5.80 ab | 73.90 ± 7.19 c | 66.14 ± 5.22 ab | 61.68 ± 6.81 bc | 85.67 ± 8.02 ab | 57.00 ± 5.29 e | 59.00 ± 3.24 b | 84.29 ± 2.85 a | 70.42 |
| Intimidator | 77.79 ± 6.49 ab | 64.23 ± 6.11 de | 58.51 ± 2.62 c | 54.77 ± 4.66 c | 88.00 ± 3.61 a | 68.33 ± 5.11 cd | 59.71 ± 1.30 b | 81.17 ± 4.54 a | 69.06 |
| WC109 | 73.57 ± 6.73 abc | 52.84 ± 5.46 f | 60.35 ± 5.45 bc | 61.22 ± 8.60 bc | 86.33 ± 3.22 ab | 62.00 ± 5.20 de | 62.15 ± 5.02 ab | 84.33 ± 3.93 a | 67.85 |
| WC130 | 75.29 ± 1.77 ab | 68.21 ± 4.99 cd | 61.56 ± 2.66 abc | 63.42 ± 5.00 bc | 83.33 ± 4.16 ab | 82.00 ± 4.58 ab | 62.49 ± 2.31 ab | 78.78 ± 8.07 ab | 71.88 |
| WC179 | 72.16 ± 6.79 bc | 57.72 ± 4.76 ef | 62.32 ± 2.77 abc | 63.56 ± 5.14 bc | 78.67 ± 4.51 b | 63.67 ± 6.43 de | 63.60 ± 1.31 ab | 71.13 ± 7.28 bc | 66.60 |
| WC283 | 75.22 ± 5.79 ab | 84.94 ± 7.74 ab | 59.66 ± 4.94 bc | 59.42 ± 7.06 bc | 89.67 ± 5.03 a | 65.67 ± 7.10 de | 60.60 ± 2.06 ab | 63.92 ± 4.64 c | 70.32 |
| WC286 | 76.96 ± 6.08 ab | 77.36 ± 4.76 bc | 63.36 ± 3.09 abc | 74.09 ± 6.85 a | 88.67 ± 6.03 a | 76.00 ± 3.61 bc | 63.87 ± 1.30 ab | 78.15 ± 3.14 ab | 75.75 |
| WC291 | 65.62 ± 4.24 c | 53.06 ± 4.91 f | 61.68 ± 3.46 abc | 69.50 ± 6.96 ab | 85.00 ± 2.00 ab | 63.67 ± 2.31 de | 62.70 ± 3.41 ab | 80.01 ± 2.82 ab | 67.65 |
| WC299 | 81.87 ± 6.86 a | 88.40 ± 7.18 a | 67.63 ± 5.95 a | 69.41 ± 7.64 ab | 88.33 ± 1.53 a | 86.33 ± 6.51 a | 65.78 ± 3.43 a | 86.47 ± 2.61 a | 77.90 |
| Mean | 74.90 | 68.96 | 62.36 | 64.12 | 85.96 | 69.41 | 62.21 | 78.69 | 71.22 |
| CV(%) | 8.75 | 19.54 | 7.37 | 12.51 | 5.76 | 14.81 | 4.97 | 9.90 | 5.07 |
| G | 15.184 *** | ||||||||
| Y | 87.610 *** | ||||||||
| L | 108.015 *** | ||||||||
| G × Y | 5.588 *** | ||||||||
| G × L | 5.769 *** | ||||||||
| Y × L | 27.904 *** | ||||||||
| G × Y × L | 3.574 *** | ||||||||
| Treatment | NDF | ADF | CP | EE | ASH |
|---|---|---|---|---|---|
| G | 30.543 *** | 19.814 *** | 47.620 *** | 30.476 *** | 14.843 *** |
| Y | 580.737 *** | 88.225 *** | 16.727 *** | 16.564 *** | 160.224 *** |
| L | 69.907 *** | 77.559 *** | 16.302 *** | 5.559 *** | 97.711 *** |
| G × Y | 5.124 *** | 2.840 ** | 3.864 *** | 3.278 ** | 1.922 * |
| G × L | 2.587 *** | 3.334 *** | 1.702 * | 4.982 *** | 3.558 *** |
| Y × L | 77.148 *** | 128.155 *** | 6.463 *** | 27.228 *** | 88.681 *** |
| G × Y × L | 3.251 *** | 1.957 ** | 1.738 * | 6.129 *** | 3.157 *** |
Disclaimer/Publisher’s Note: The statements, opinions and data contained in all publications are solely those of the individual author(s) and contributor(s) and not of MDPI and/or the editor(s). MDPI and/or the editor(s) disclaim responsibility for any injury to people or property resulting from any ideas, methods, instructions or products referred to in the content. |
© 2025 by the authors. Licensee MDPI, Basel, Switzerland. This article is an open access article distributed under the terms and conditions of the Creative Commons Attribution (CC BY) license (https://creativecommons.org/licenses/by/4.0/).
Share and Cite
Zhang, Y.; Wu, X.; Li, Q.; Liang, X.; Zhang, Y.; Zhang, X.; Dong, X.; Yu, K.; Zhao, Z.; Luo, X.; et al. Comprehensive Evaluation and Screening of Autumn-Sown Oat (Avena sativa L.) Germplasm in Different Agropastoral Regions. Agronomy 2025, 15, 994. https://doi.org/10.3390/agronomy15040994
Zhang Y, Wu X, Li Q, Liang X, Zhang Y, Zhang X, Dong X, Yu K, Zhao Z, Luo X, et al. Comprehensive Evaluation and Screening of Autumn-Sown Oat (Avena sativa L.) Germplasm in Different Agropastoral Regions. Agronomy. 2025; 15(4):994. https://doi.org/10.3390/agronomy15040994
Chicago/Turabian StyleZhang, Yongjie, Xinyue Wu, Qinkun Li, Xiaotian Liang, Yuzhen Zhang, Xingjia Zhang, Xiaolong Dong, Kaiquan Yu, Zilin Zhao, Xiaoling Luo, and et al. 2025. "Comprehensive Evaluation and Screening of Autumn-Sown Oat (Avena sativa L.) Germplasm in Different Agropastoral Regions" Agronomy 15, no. 4: 994. https://doi.org/10.3390/agronomy15040994
APA StyleZhang, Y., Wu, X., Li, Q., Liang, X., Zhang, Y., Zhang, X., Dong, X., Yu, K., Zhao, Z., Luo, X., Yang, R., & Peng, Y. (2025). Comprehensive Evaluation and Screening of Autumn-Sown Oat (Avena sativa L.) Germplasm in Different Agropastoral Regions. Agronomy, 15(4), 994. https://doi.org/10.3390/agronomy15040994

