The Effect of Low Temperature and Low Illumination Intensity on the Photosynthetic Characteristics and Antioxidant Enzyme Activity in the Strawberry
Abstract
1. Introduction
2. Materials and Methods
2.1. Plant Material and Treatments
2.2. Leaf Pigment Levels
2.3. Measurement of Photosynthetic Properties
2.4. Determination of Chlorophyll Fluorescence
2.5. Quantification of Malondialdehyde and Proline
2.6. Content of Reactive Oxygen Species
2.7. Antioxidant Enzyme Activity Assay
2.8. Determination of Comprehensive Evaluation Model for Low Temperature and Low Illumination Level
2.8.1. Construction of Standardized Matrix
2.8.2. Determination of Evaluation Index Weights
2.8.3. Construction of Evaluation Model Based on Entropy Weight TOPSIS
2.9. Statistical Analysis
3. Results
3.1. Effects of Low-Temperature and Low-Illumination Stress on Photosynthetic Pigments of Strawberry Leaves During the Flowering Stage
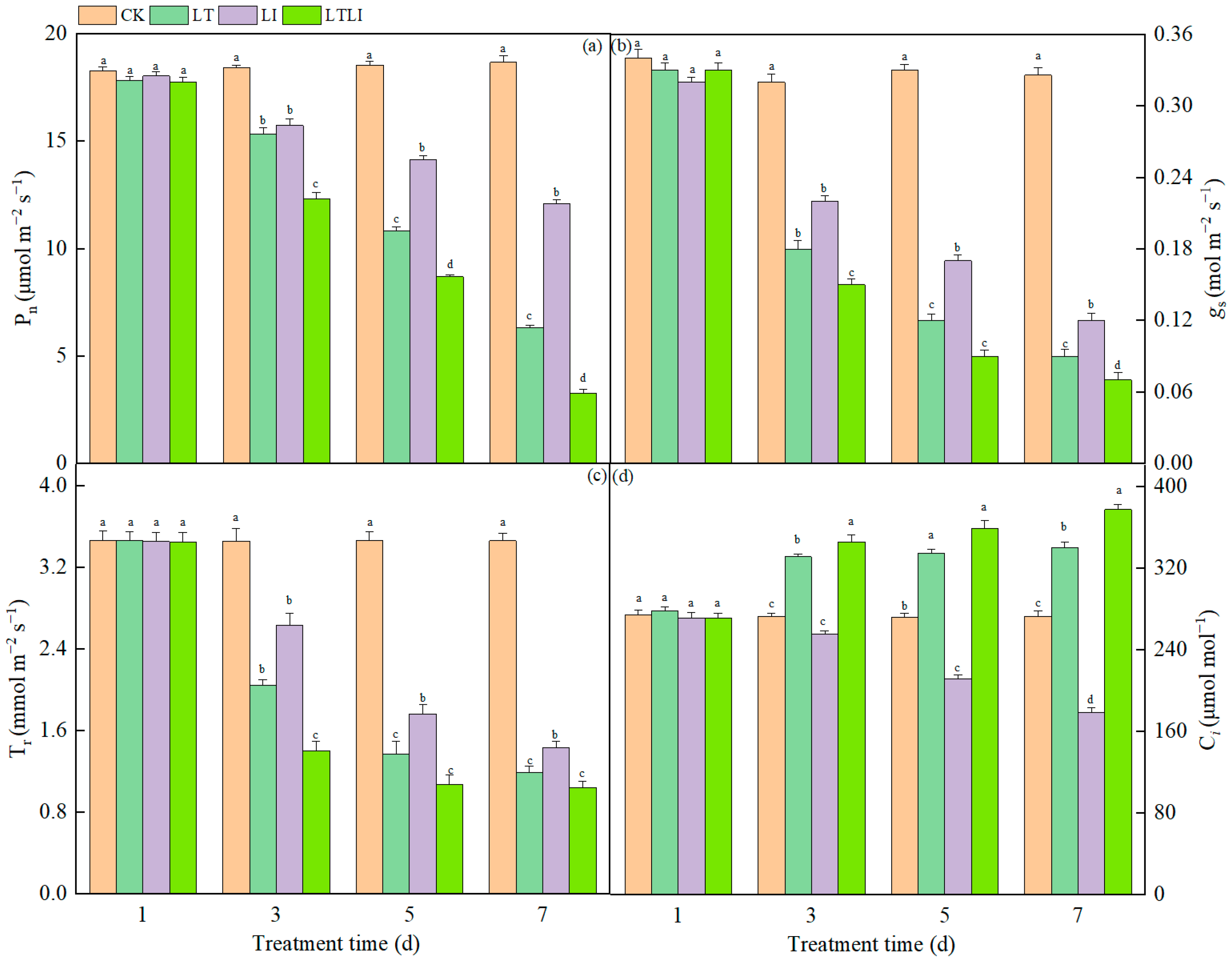
3.2. Effects of Low-Temperature and Low- Illumination Stress on Photosynthetic Gas Exchange Parameters of Strawberry Leaves During the Flowering Stage
3.3. Effects of Low-Temperature and Low-Illumination Stress on Chlorophyll Fluorescence Parameters of Strawberry Leaves During the Flowering Stage
3.4. Effects of Low-Temperature and Low-Illumination Stress on Malondialdehyde and Proline Contents of Strawberry Leaves During the Flowering Stage
3.5. Effects of Low-Temperature and Low-Illumination Stress on Reactive Oxygen Species of Strawberry Leaves During the Flowering Stage
3.6. Effects of Low-Temperature and Low-Illumination Stress on Antioxidant Enzyme Activity of Strawberry Leaves During the Flowering Stage
3.7. A Quantitative Assessment of the Physiological Impact on Strawberry Plants Subjected to Low-Temperature and Low-Illumination Conditions
4. Discussion
5. Conclusions
Author Contributions
Funding
Data Availability Statement
Conflicts of Interest
References
- Tang, Y.; Ma, X.; Li, M.; Wang, Y. The effect of temperature and light on strawberry production in a solar greenhouse. Sol. Energy 2020, 195, 318–328. [Google Scholar]
- Clarke, B.; Otto, F.; Stuart-Smith, R.; Harrington, L. Extreme weather impacts of climate change: An attribution perspective. Environ. Res. 2022, 1, 012001. [Google Scholar]
- Heide, O.; Stavang, J.; Sønsteby, A. Physiology and genetics of flowering in cultivated and wild strawberries—A review. J. Hortic. Sci. Biotech. 2013, 88, 1–18. [Google Scholar]
- Croce, R.; Carmo-Silva, E.; Cho, Y.B.; Ermakova, M.; Harbinson, J.; Lawson, T.; McCormick, A.J.; Niyogi, K.K.; Ort, D.R.; Patel-Tupper, D. Perspectives on improving photosynthesis to increase crop yield. Plant Cell 2024, 36, 3944–3973. [Google Scholar] [CrossRef] [PubMed]
- Wang, L.; Yu, X.; Gao, J.; Ma, D.; Guo, H.; Hu, S. Patterns of influence of meteorological elements on maize grain weight and nutritional quality. Agronomy 2023, 13, 424. [Google Scholar] [CrossRef]
- Zhang, J.; Li, J.; Xie, J.; Yu, J.; Dawuda, M.; Lyv, J.; Tang, Z.; Zhang, J.; Zhang, X.; Tang, C. Changes in photosynthesis and carotenoid composition of pepper (Capsicum annuum L.) in response to low-light stress and low temperature combined with low-light stress. Photosynthetica 2020, 58, 125–136. [Google Scholar]
- Ou, L.; Wei, G.; Zhang, Z.; Dai, X.; Zou, X. Effects of low temperature and low irradiance on the physiological characteristics and related gene expression of different pepper species. Photosynthetica 2015, 53, 85–94. [Google Scholar]
- Lamers, J.; Van Der Meer, T.; Testerink, C. How plants sense and respond to stressful environments. Plant Physiol. 2020, 182, 1624–1635. [Google Scholar]
- Yan, N.; Xu, X.-F.; Wang, Z.-D.; Huang, J.-Z.; Guo, D.-P. Interactive effects of temperature and light intensity on photosynthesis and antioxidant enzyme activity in Zizania latifolia turcz. Plants. Photosynthetica 2013, 51, 127–138. [Google Scholar]
- Xu, C.; Wang, M.; Yang, Z.; Zheng, Q. Low temperature and low irradiation induced irreversible damage of strawberry seedlings. Photosynthetica 2020, 58, 156–164. [Google Scholar]
- Berry, J.; Bjorkman, O. Photosynthetic response and adaptation to temperature in higher plants. Annu. Rev. Plant Physiol. 1980, 31, 491–543. [Google Scholar]
- Sohrabi, F.; Saed-Moucheshi, A.; Saed-Moucheshi, Z.; Pessarakli, M. Effects of abiotic stresses on the 26 photosynthesis apparatus in plants. Energy 2024, 680, 700. [Google Scholar]
- Taylor, A.O.; Rowley, J.A. Plants under climatic stress: I. Low temperature, high light effects on photosynthesis. Plant Physiol. 1971, 47, 713–718. [Google Scholar] [CrossRef] [PubMed]
- Hussain, S.; Ulhassan, Z.; Brestic, M.; Zivcak, M.; Zhou, W.; Allakhverdiev, S.I.; Yang, X.; Safdar, M.E.; Yang, W.; Liu, W. Photosynthesis research under climate change. Photosynth. Res. 2021, 150, 5–19. [Google Scholar]
- Liu, Y.; Qi, M.; Li, T. Photosynthesis, photoinhibition, and antioxidant system in tomato leaves stressed by low night temperature and their subsequent recovery. Plant Sci. 2012, 196, 8–17. [Google Scholar]
- Sun, Z.C.; Geng, W.J.; Ren, B.Z.; Zhao, B.; Liu, P.; Zhang, J.W. Responses of the photosynthetic characteristics of summer maize to shading stress. J. Agron. Crop. Sci. 2023, 209, 330–344. [Google Scholar]
- Sui, X.L.; Mao, S.L.; Wang, L.H.; Zhang, B.X.; Zhang, Z.X. Effect of low light on the characteristics of photosynthesis and chlorophyll a fluorescence during leaf development of sweet pepper. J. Integr. Agric. 2012, 11, 1633–1643. [Google Scholar]
- Shu, S.; Tang, Y.; Yuan, Y.; Sun, J.; Zhong, M.; Guo, S. The role of 24-epibrassinolide in the regulation of photosynthetic characteristics and nitrogen metabolism of tomato seedlings under a combined low temperature and weak light stress. Plant Physiol. Biochem. 2016, 107, 344–353. [Google Scholar]
- Ding, D.; Li, J.; Xie, J.; Li, N.; Bakpa, E.P.; Han, K.; Yang, Y.; Wang, C. Exogenous zeaxanthin alleviates low temperature combined with low light induced photosynthesis inhibition and oxidative stress in pepper (Capsicum annuum L.) plants. Curr. Issues Mol. Biol. 2022, 44, 2453–2471. [Google Scholar] [CrossRef]
- Aslam, M.; Fakher, B.; Ashraf, M.A.; Cheng, Y.; Wang, B.; Qin, Y. Plant low-temperature stress: Signaling and response. Agronomy 2022, 12, 702. [Google Scholar] [CrossRef]
- Rajput, V.D.; Harish; Singh, R.K.; Verma, K.K.; Sharma, L.; Quiroz-Figueroa, F.R.; Meena, M.; Gour, V.S.; Minkina, T.; Sushkova, S. Recent developments in enzymatic antioxidant defence mechanism in plants with special reference to abiotic stress. Biology 2021, 10, 267. [Google Scholar] [CrossRef]
- Baker, N.R. Chlorophyll fluorescence: A probe of photosynthesis in vivo. Annu. Rev. Plant Biol. 2008, 59, 89–113. [Google Scholar] [CrossRef]
- Roháček, K. Chlorophyll fluorescence parameters: The definitions, photosynthetic meaning, and mutual relationships. Photosynthetica 2002, 40, 13–29. [Google Scholar] [CrossRef]
- Jiang, N.; Yang, Z.; Zhang, H.; Xu, J.; Li, C. Effect of low temperature on photosynthetic physiological activity of different photoperiod types of strawberry seedlings and stress diagnosis. Agronomy 2023, 13, 1321. [Google Scholar] [CrossRef]
- Shi, Y.; Fan, X.; Sun, Y.; Yu, Z.; Huang, Y.; Li, D.; Song, Z.; Zhang, K.; Zhang, H. Short-term evaluation of woodland strawberry in response to melatonin treatment under low light environment. Horticulturae 2024, 10, 118. [Google Scholar] [CrossRef]
- Xu, C.; Wang, Y.; Yang, H.; Tang, Y.; Liu, B.; Hu, X.; Hu, Z. Cold acclimation alleviates photosynthetic inhibition and oxidative damage induced by cold stress in citrus seedlings. Plant Signal. Behav. 2023, 18, 2285169. [Google Scholar] [CrossRef]
- Xu, C.; Liu, B.; Wang, Y.; Hu, Z. Construction of freezing injury grade index for nanfeng tangerine plants based on physiological and biochemical parameters. Plants 2024, 13, 3109. [Google Scholar] [CrossRef]
- Chao, X.; Yuqing, T.; Xincheng, L.; Huidong, Y.; Yuting, W.; Zhongdong, H.; Xinlong, H.; Buchun, L.; Jing, S. Exogenous spermidine enhances the photosynthetic and antioxidant capacity of citrus seedlings under high temperature. Plant Signal. Behav. 2022, 17, 2086372. [Google Scholar] [CrossRef]
- Guo, Z.; Cai, L.; Liu, C.; Chen, Z.; Guan, S.; Ma, W.; Pan, G. Low-temperature stress affects reactive oxygen species, osmotic adjustment substances, and antioxidants in rice (Oryza sativa L.) at the reproductive stage. Sci. Rep. 2022, 12, 6224. [Google Scholar] [CrossRef]
- Lee, K.; Kang, H. Recent insights into the physio-biochemical and molecular mechanisms of low temperature stress in tomato. Plants 2024, 13, 2715. [Google Scholar] [CrossRef]
- Sofo, A.; Dichio, B.; Xiloyannis, C.; Masia, A. Effects of different irradiance levels on some antioxidant enzymes and on malondialdehyde content during rewatering in olive tree. Plant Sci. 2004, 166, 293–302. [Google Scholar] [CrossRef]
- Elsayed, E.A.; Dawood, A.S.; Karthikeyan, R. Evaluating alternatives through the application of topsis method with entropy weight. Int. J. Eng. Trends Technol. 2017, 46, 60–66. [Google Scholar]
- Simkin, A.J.; Kapoor, L.; Doss, C.G.P.; Hofmann, T.A.; Lawson, T.; Ramamoorthy, S. The role of photosynthesis related pigments in light harvesting, photoprotection and enhancement of photosynthetic yield in planta. Photosynth. Res. 2022, 152, 23–42. [Google Scholar]
- Longo, V.; Kamran, R.V.; Michaletti, A.; Toorchi, M.; Zolla, L.; Rinalducci, S. Proteomic and physiological response of spring barley leaves to cold stress. Cell 2017, 6, 1–10. [Google Scholar]
- Singh, V.; Dey, S.; Murty, K. Effect of low light stress on growth and yield of rice. Indian J. Plant Physiol. 1988, 31, 84–91. [Google Scholar]
- Evans, J.R. Improving photosynthesis. Plant Physiol. 2013, 162, 1780–1793. [Google Scholar]
- Qi, M.; Liu, X.; Li, Y.; Song, H.; Yin, Z.; Zhang, F.; He, Q.; Xu, Z.; Zhou, G. Photosynthetic resistance and resilience under drought, flooding and rewatering in maize plants. Photosynth. Res. 2021, 148, 1–15. [Google Scholar]
- Jones, H. Partitioning stomatal and non-stomatal limitations to photosynthesis. Plant Cell Environ. 1985, 8, 95–104. [Google Scholar]
- Didaran, F.; Kordrostami, M.; Ghasemi-Soloklui, A.A.; Pashkovskiy, P.; Kreslavski, V.; Kuznetsov, V.; Allakhverdiev, S.I. The mechanisms of photoinhibition and repair in plants under high light conditions and interplay with abiotic stressors. J. Photoch. Photobio. B 2024, 259, 113004. [Google Scholar]
- Vosnjak, M.; Sircelj, H.; Vodnik, D.; Usenik, V. Physio-biochemical responses of sweet cherry leaf to natural cold conditions. Plants 2022, 11, 3507. [Google Scholar] [CrossRef]
- Osório, M.L.; Osório, J.; Romano, A. Chlorophyll fluorescence in micropropagated Rhododendron ponticum subsp. Baeticum plants in response to different irradiances. Biol. Plant. 2010, 54, 415–422. [Google Scholar]
- Yang, Z.; Yuan, C.; Han, W.; Li, Y.; Xiao, F. Effects of low irradiation on photosynthesis and antioxidant enzyme activities in cucumber during ripening stage. Photosynthetica 2016, 54, 251–258. [Google Scholar]
- Chen, M.; Zhu, X.; Hou, M.; Luo, W.; Jiang, Y.; Yu, Y.; Wang, J.; Yuan, H.; Huang, X.; Hua, J. Effects of low-temperature stress on cold resistance biochemical characteristics of dali and siqiu tea seedlings. Horticulturae 2024, 10, 823. [Google Scholar] [CrossRef]
- Mishra, K.B.; Mishra, A.; Kubásek, J.; Urban, O.; Heyer, A.G.; Govindjee. Low temperature induced modulation of photosynthetic induction in non-acclimated and cold-acclimated Arabidopsis thaliana: Chlorophyll a fluorescence and gas-exchange measurements. Photosynth. Res. 2019, 139, 123–143. [Google Scholar]
- Dong, Z.; Men, Y.; Li, Z.; Zou, Q.; Ji, J. Chlorophyll fluorescence imaging as a tool for analyzing the effects of chilling injury on tomato seedlings. Sci. Hortic. 2019, 246, 490–497. [Google Scholar]
- Ashrostaghi, T.; Aliniaeifard, S.; Shomali, A.; Azizinia, S.; Abbasi Koohpalekani, J.; Moosavi-Nezhad, M.; Gruda, N.S. Light intensity: The role player in cucumber response to cold stress. Agronomy 2022, 12, 201. [Google Scholar] [CrossRef]
- Hendrickson, L.; Förster, B.; Furbank, R.T.; Chow, W.S. Processes contributing to photoprotection of grapevine leaves illuminated at low temperature. Physiol. Plant. 2004, 121, 272–281. [Google Scholar]
- Das, K.; Roychoudhury, A. Reactive oxygen species (ros) and response of antioxidants as ros-scavengers during environmental stress in plants. Front. Environ. Sci. 2014, 2, 53. [Google Scholar]
- Huang, H.; Ullah, F.; Zhou, D.-X.; Yi, M.; Zhao, Y. Mechanisms of ros regulation of plant development and stress responses. Front. Plant Sci. 2019, 10, 800. [Google Scholar]
- You, J.; Chan, Z. Ros regulation during abiotic stress responses in crop plants. Front. Plant Sci. 2015, 6, 1092. [Google Scholar]
- Bhattacharjee, S. Membrane lipid peroxidation and its conflict of interest: The two faces of oxidative stress. Curr. Sci. 2014, 107, 1811–1823. [Google Scholar]
- Sharma, P.; Jha, A.B.; Dubey, R.S.; Pessarakli, M. Reactive oxygen species, oxidative damage, and antioxidative defense mechanism in plants under stressful conditions. J. Bot. 2012, 2012, 217037. [Google Scholar]
- Rivera-Ingraham, G.A.; Lignot, J.-H. Osmoregulation, bioenergetics and oxidative stress in coastal marine invertebrates: Raising the questions for future research. J. Exp. Biol. 2017, 220, 1749–1760. [Google Scholar]
- Chu, T.; Jusaitis, M.; Aspinall, D.; Paleg, L. Accumulation of free proline at low temperatures. Physiol. Plant. 1978, 43, 254–260. [Google Scholar]
- Raza, A.; Charagh, S.; Abbas, S.; Hassan, M.U.; Saeed, F.; Haider, S.; Sharif, R.; Anand, A.; Corpas, F.J.; Jin, W. Assessment of proline function in higher plants under extreme temperatures. Plant Biol. 2023, 25, 379–395. [Google Scholar]
- Zuo, S.; Li, J.; Gu, W.; Wei, S. Exogenous proline alleviated low temperature stress in maize embryos by optimizing seed germination, inner proline metabolism, respiratory metabolism and a hormone regulation mechanism. Agriculture 2022, 12, 548. [Google Scholar] [CrossRef]
- Zulfiqar, F.; Ashraf, M. Proline alleviates abiotic stress induced oxidative stress in plants. J. Plant Growth Regul. 2023, 42, 4629–4651. [Google Scholar]
- Araz, O.; Ekinci, M.; Yuce, M.; Shams, M.; Agar, G.; Yildirim, E. Low-temperature modified DNA methylation level, genome template stability, enzyme activity, and proline content in pepper (Capsicum annuum L.) genotypes. Sci. Hortic. 2022, 294, 110761. [Google Scholar]
- Gill, S.S.; Tuteja, N. Reactive oxygen species and antioxidant machinery in abiotic stress tolerance in crop plants. Plant Physiol. Biochem. 2010, 48, 909–930. [Google Scholar]
Treatment | Temperature (°C) | Illumination Intensity (μmol m−2 s−1) |
---|---|---|
NT | 20 | 800 |
LT | 6 | 800 |
LI | 20 | 100 |
LTLI | 6 | 100 |
Treatments | Chla (mg g−1) | Chlb (mg g−1) | Chla/b | |||||||||
---|---|---|---|---|---|---|---|---|---|---|---|---|
1d | 3d | 5d | 7d | 1d | 3d | 5d | 7d | 1d | 3d | 5d | 7d | |
NT | 3.21 ± 0.01 b | 3.20 ± 0.01 b | 3.22 ± 0.01 b | 3.22 ± 0.02 b | 1.14 ± 0.03 a | 1.13 ± 0.01 a | 1.13 ± 0.02 b | 1.14 ± 0.01 b | 2.82 ± 0.02 c | 2.83 ± 0.01 c | 2.85 ± 0.01 d | 2.84 ± 0.01 c |
LT | 3.14 ± 0.02 c | 3.12 ± 0.03 c | 3.11 ± 0.02 c | 3.08 ± 0.01 c | 1.11 ± 0.01 a | 1.03 ± 0.01 b | 0.98 ± 0.01 c | 0.82 ± 0.02 c | 2.83 ± 0.01 a | 3.03 ± 0.02 b | 3.17 ± 0.02 b | 3.15 ± 0.03 b |
LI | 3.29 ± 0.02 a | 3.29 ± 0.01 a | 3.47 ± 0.02 a | 3.49 ± 0.03 a | 1.16 ± 0.01 a | 1.17 ± 0.01 a | 1.22 ± 0.01 a | 1.31 ± 0.01 a | 2.84 ± 0.01 c | 2.81 ± 0.01 c | 2.97 ± 0.02 c | 2.66 ± 0.01 d |
LTLI | 3.12 ± 0.01 c | 3.08 ± 0.02 c | 3.01 ± 0.01 d | 2.96 ± 0.02 d | 1.05 ± 0.01 b | 0.99 ± 0.01 a | 0.84 ± 0.02 d | 0.78 ± 0.02 c | 2.95 ± 0.02 b | 3.11 ± 0.02 a | 3.58 ± 0.03 a | 3.79 ± 0.02 a |
Treatments | SOD (U g−1 min−1) | CAT (U g−1 min−1) | POD (U g−1 min−1) | |||||||||
---|---|---|---|---|---|---|---|---|---|---|---|---|
1d | 3d | 5d | 7d | 1d | 3d | 5d | 7d | 1d | 3d | 5d | 7d | |
NT | 61.31 ± 0.02 b | 61.28 ± 0.03 c | 60.90 ± 0.02 d | 61.89 ± 0.03 b | 12.32 ± 0.02 c | 12.32 ± 0.01 d | 12.32 ± 0.01 d | 12.41 ± 0.02 b | 0.18 ± 0.01 c | 0.18 ± 0.01 c | 2.01 ± 0.02 d | 0.19 ± 0.01 d |
LT | 62.41 ± 0.02 a | 69.23 ± 0.03b | 74.31 ± 0.02 b | 61.22 ± 0.03 c | 13.12 ± 0.01 b | 14.32 ± 0.02 b | 15.22 ± 0.02 b | 12.11 ± 0.02 c | 2.03 ± 0.01 a | 2.94 ± 0.02 b | 3.45 ± 0.02 b | 2.12 ± 0.01 c |
LI | 61.22 ± 0.03 b | 64.77 ± 0.01 c | 65.31 ± 0.01 c | 66.89 ± 0.01 a | 12.62 ± 0.02 c | 12.74 ± 0.02 c | 13.12 ± 0.02 c | 13.12 ± 0.02 a | 0.19 ± 0.01 c | 2.21 ± 0.01 c | 2.37 ± 0.01 c | 2.46 ± 0.02 b |
LTLI | 62.44 ± 0.01 a | 77.89 ± 0.02 a | 83.87 ± 0.01 a | 61.23 ± 0.02 c | 13.52 ± 0.01 a | 15.24 ± 0.01 a | 16.43 ± 0.02 a | 11.08 ± 0.02 c | 2.55 ± 0.01 b | 3.18 ± 0.01 a | 4.65 ± 0.02 a | 2.99 ± 0.01 a |
Treatments | Comprehensive Evaluation Value of Stress Levels | |||
---|---|---|---|---|
1d | 3d | 5d | 7d | |
LT | 0.87 | 0.82 | 0.79 | 0.63 |
LI | 0.96 | 0.95 | 0.93 | 0.92 |
LTLI | 0.87 | 0.80 | 0.79 | 0.60 |
Disclaimer/Publisher’s Note: The statements, opinions and data contained in all publications are solely those of the individual author(s) and contributor(s) and not of MDPI and/or the editor(s). MDPI and/or the editor(s) disclaim responsibility for any injury to people or property resulting from any ideas, methods, instructions or products referred to in the content. |
© 2025 by the authors. Licensee MDPI, Basel, Switzerland. This article is an open access article distributed under the terms and conditions of the Creative Commons Attribution (CC BY) license (https://creativecommons.org/licenses/by/4.0/).
Share and Cite
Hu, X.; Xu, C.; Tao, H.; Wang, S.; Zhang, M.; Chen, Q.; Zhang, H.; Li, G.; Yan, C. The Effect of Low Temperature and Low Illumination Intensity on the Photosynthetic Characteristics and Antioxidant Enzyme Activity in the Strawberry. Agronomy 2025, 15, 860. https://doi.org/10.3390/agronomy15040860
Hu X, Xu C, Tao H, Wang S, Zhang M, Chen Q, Zhang H, Li G, Yan C. The Effect of Low Temperature and Low Illumination Intensity on the Photosynthetic Characteristics and Antioxidant Enzyme Activity in the Strawberry. Agronomy. 2025; 15(4):860. https://doi.org/10.3390/agronomy15040860
Chicago/Turabian StyleHu, Xinlong, Chao Xu, Huihui Tao, Siyu Wang, Meng Zhang, Qian Chen, Huanxin Zhang, Guoquan Li, and Chengpu Yan. 2025. "The Effect of Low Temperature and Low Illumination Intensity on the Photosynthetic Characteristics and Antioxidant Enzyme Activity in the Strawberry" Agronomy 15, no. 4: 860. https://doi.org/10.3390/agronomy15040860
APA StyleHu, X., Xu, C., Tao, H., Wang, S., Zhang, M., Chen, Q., Zhang, H., Li, G., & Yan, C. (2025). The Effect of Low Temperature and Low Illumination Intensity on the Photosynthetic Characteristics and Antioxidant Enzyme Activity in the Strawberry. Agronomy, 15(4), 860. https://doi.org/10.3390/agronomy15040860