Assessing 16 Years of Tillage Dynamics on Soil Physical Properties, Crop Root Growth and Yield in an Endocalcic Chernozem Soil in Hungary
Abstract
1. Introduction
2. Materials and Methods
2.1. Study Location
2.2. Cropping Activities for Wheat and Sunflower
2.3. Soil Sampling and Measurements
2.4. Statistical Analysis
3. Results
3.1. The Effect of Different Tillage Methods on Soil Penetration Resistance from 0–50 cm Depth
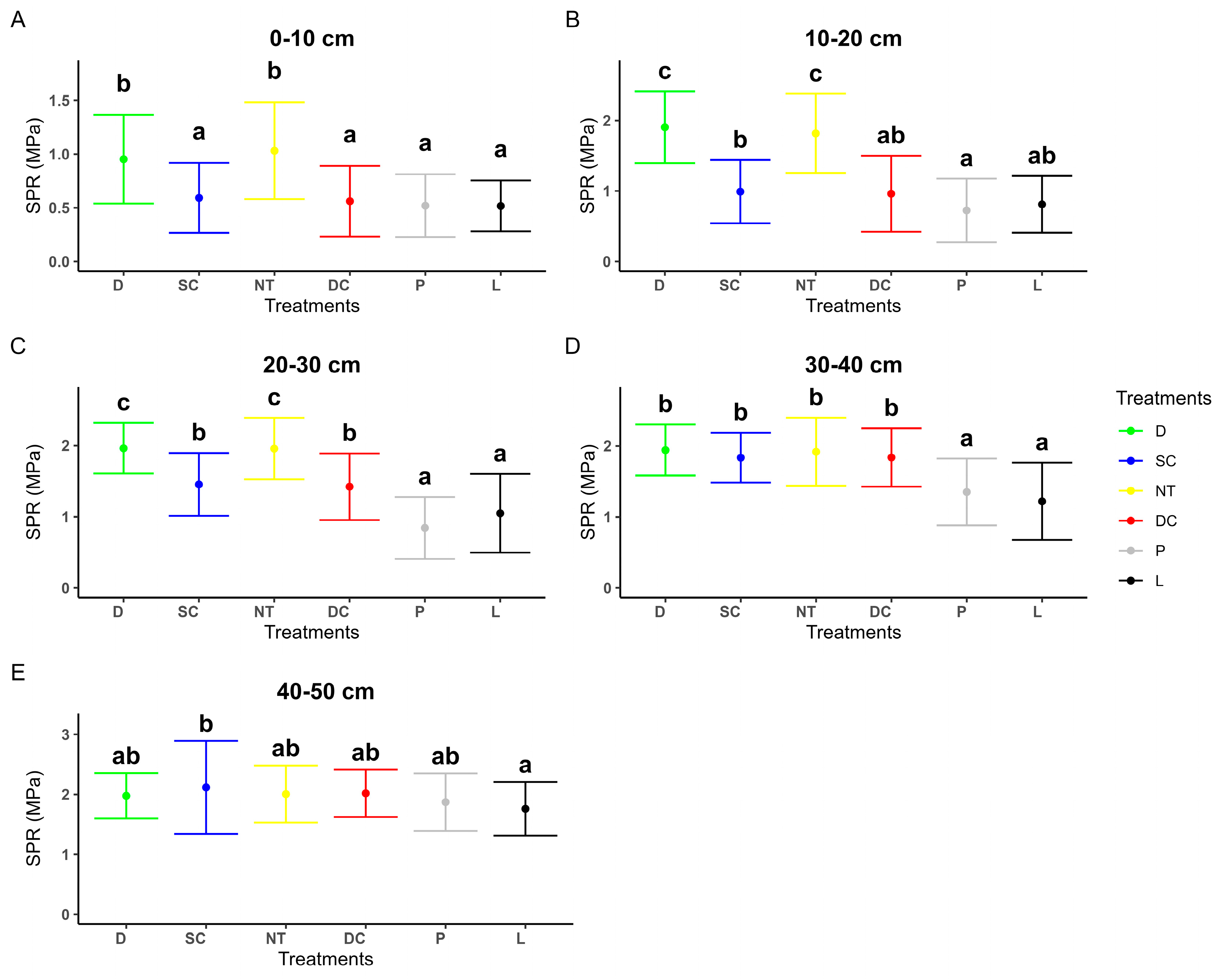
3.2. The Effect of Tillage on SPR at Various Depths
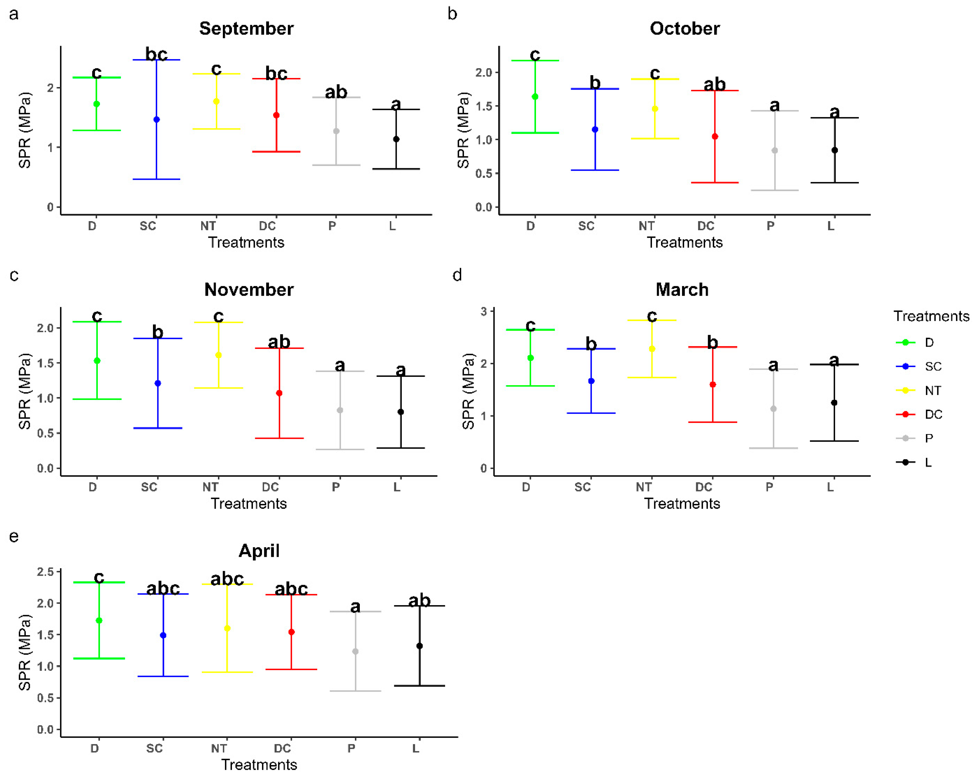
3.3. Monthly Tillage Effect on Soil Penetration Resistance During the Wheat Cropping Season
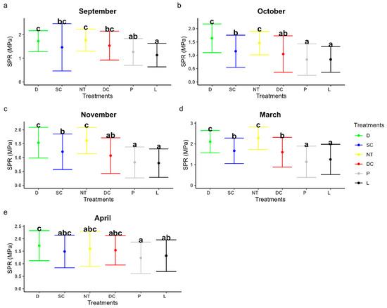
3.4. The Effect of Tillage on Soil Penetration Resistance at Various Depths During the Sunflower Cropping Period
3.5. Temporal Effect of Tillage on Soil Penetration Resistance During the Sunflower Cropping Period
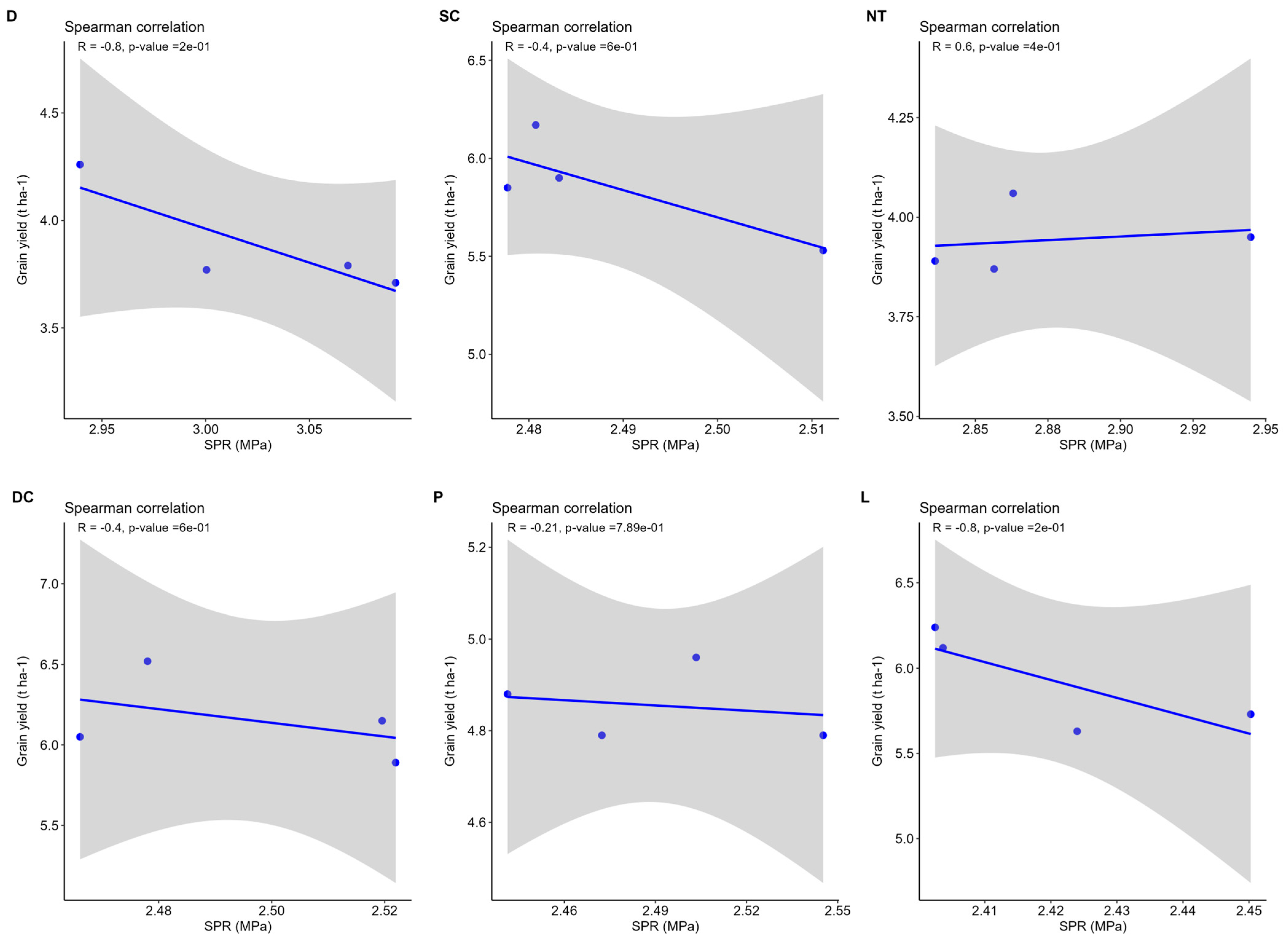
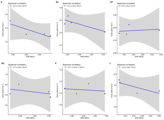
3.6. The Relationship Between Soil Penetration Resistance, Root Weight, and Yield Under Various Tillage Practices
4. Discussion
5. Conclusions
Author Contributions
Funding
Data Availability Statement
Acknowledgments
Conflicts of Interest
References
- Cannell, R.Q. Reduced tillage in north-west Europe—A review. Soil Tillage Res. 1985, 5, 129–177. [Google Scholar] [CrossRef]
- Birkás, M.; Antal, J.; Dorogi, I. Conventional and reduced tillage in Hungary—A review. Soil Tillage Res. 1989, 13, 233–252. [Google Scholar]
- Bottlik, L.; Csorba, S.; Gyuricza, C.; Kende, Z.; Birkás, M. Climate challenges and solutions in soil tillage. Appl. Ecol. Environ. Res. 2014, 12, 13–23. [Google Scholar]
- Gallardo-Carrera, A.; Léonard, J.; Duval, Y.; Dürr, C. Effects of seedbed structure and water content at sowing on the development of soil surface crusting under rainfall. Soil Tillage Res. 2007, 95, 207–217. [Google Scholar]
- Jug, D.; Jug, I.; Brozovic, B.; Vukadinovic, V.; Stipeševic, B.; Đurđevic, B. The role of conservation agriculture in mitigation and adaptation to climate change. Agriculture 2018, 24, 35–44. [Google Scholar]
- Dekemati, I.; Simon, B.; Bogunovic, I.; Vinogradov, S.; Modiba, M.M.; Gyuricza, C.; Birkás, M. Three-year investigation of tillage management on the soil physical environment, earthworm populations and crop yields in Croatia. Agronomy 2021, 11, 825. [Google Scholar] [CrossRef]
- Birkás, M.; Kisić, I.; Mesić, M.; Jug, D.; Kende, Z. Climate induced soil deterioration and methods for mitigation. Agric. Conspec. Sci. 2015, 80, 17–24. [Google Scholar]
- Paul, B.K.; Vanlauwe, B.; Ayuke, F.; Gassner, A.; Hoogmoed, M.; Hurisso, T.T.; Koala, S.; Lelei, D.; Ndabamenye, T.; Six, J.; et al. Medium-term impact of tillage and residue management on soil aggregate stability, soil carbon and crop productivity. Agric. Ecosyst. Environ. 2013, 164, 14–22. [Google Scholar]
- Sithole, N.J.; Magwaza, L.S.; Thibaud, G.R. Long-term impact of no-till conservation agriculture and N-fertilizer on soil aggregate stability, infiltration and distribution of C in different size fractions. Soil Tillage Res. 2019, 190, 147–156. [Google Scholar]
- Nugroho, P.A.; Prettl, N.; Kotroczó, Z.; Juhos, K. The effect of molasses application on soil biological indicators and maize growth of different tillage soil: A pot experiment. J. Environ. Geogr. 2023, 16, 119–124. [Google Scholar]
- IUSS Working Group WRB. World Reference Base for Soil Resources 2014, Update 2015. In International Soil Classification System for Naming Soils and Creating Legends for Soil Maps; World Soil Resources Reports No. 106; FAO: Rome, Italy, 2015. [Google Scholar]
- Tóth, E.; Gelybó, G.; Dencső, M.; Kása, I.; Birkás, M.; Horel, Á. Soil CO2 emissions in a long-term tillage treatment experiment. In Soil Management and Climate Change; Academic Press: Cambridge, MA, USA, 2018; pp. 293–307. [Google Scholar]
- Ács, F.; Breuer, H.; Skarbit, N. Climate of Hungary in the twentieth century according to Feddema. Theor. Appl. Climatol. 2015, 119, 161–169. [Google Scholar] [CrossRef]
- New, M.; Lister, D.; Hulme, M.; Makin, I. A high-resolution data set of surface climate over global land areas. Clim. Res. 2002, 21, 1–25. [Google Scholar] [CrossRef]
- Modiba, M.M.; Ocansey, C.M.; Ibrahim, H.T.M.; Birkás, M.; Dekemati, I.; Simon, B. Assessing the Impact of Tillage Methods on Soil Moisture Content and Crop Yield in Hungary. Agronomy 2024, 14, 1606. [Google Scholar] [CrossRef]
- Dekemati, I. Compliance of Climate-Sensitive and Climate-Protective Tillage Systems on Different Soils. Ph.D. Thesis, Hungarian University of Agriculture and Life Sciences (Former Szent Istvan University), Gödöllő, Hungary, 2020. Available online: http://real-phd.mtak.hu/id/eprint/1670 (accessed on 5 February 2025).
- Catania, P.; Badalucco, L.; Laudicina, V.A.; Vallone, M. Effects of tilling methods on soil penetration resistance, organic carbon and water stable aggregates in a vineyard of semiarid Mediterranean environment. Environ. Earth Sci. 2018, 77, 348. [Google Scholar] [CrossRef]
- Celik, I.; Gunal, H.; Budak, M.; Akpinar, C. Effects of long-term organic and mineral fertilizers on bulk density and penetration resistance in semi-arid Mediterranean soil conditions. Geoderma 2010, 160, 236–243. [Google Scholar] [CrossRef]
- Mwiti, F.M.; Gitau, A.N.; Mbuge, D.O. Edaphic response and behavior of agricultural soils to mechanical perturbation in tillage. AgriEngineering 2022, 4, 335–355. [Google Scholar] [CrossRef]
- Dekemati, I.; Simon, B.; Vinogradov, S.; Birkás, M. The effects of various tillage treatments on soil physical properties, earthworm abundance and crop yield in Hungary. Soil Tillage Res. 2019, 194, 104334. [Google Scholar] [CrossRef]
- Bogunovic, I.; Kisic, I.; Jurisic, J. Soil compaction under different tillage system on Stagnic Luvisol. Agric. Conspec. Sci. 2014, 79, 57–63. [Google Scholar]
- Birkás, M.; Jolánkai, M.; Gyuricza, C.; Percze, A. Tillage effects on compaction, earthworms and other soil quality indicators in Hungary. Soil Tillage Res. 2004, 78, 185–196. [Google Scholar] [CrossRef]
- Madden, N.M.; Southard, R.J.; Mitchell, J.P. Soil water content and soil disaggregation by disking affects PM10 emissions. J. Environ. Qual. 2009, 38, 36–43. [Google Scholar] [CrossRef]
- Materechera, S.A.; Alston, A.M.; Kirby, J.M.; Dexter, A.R. Influence of root diameter on the penetration of seminal roots into a compacted subsoil. Plant Soil 1992, 144, 297–303. [Google Scholar]
- Guan, D.; Zhang, Y.; Al-Kaisi, M.M.; Wang, Q.; Zhang, M.; Li, Z. Tillage practices effect on root distribution and water use efficiency of winter wheat under rain-fed condition in the North China Plain. Soil Tillage Res. 2015, 146, 286–295. [Google Scholar]
- Ampoorter, E.; Van Nevel, L.; De Vos, B.; Hermy, M.; Verheyen, K. Assessing the effects of initial soil characteristics, machine mass and traffic intensity on forest soil compaction. For. Ecol. Manag. 2010, 260, 1664–1676. [Google Scholar] [CrossRef]
- Cambi, M.; Grigolato, S.; Neri, F.; Picchio, R.; Marchi, E. Effects of forwarder operation on soil physical characteristics: A case study in the Italian alps. Croat. J. Forest Eng. J. Theory Appl. For. Eng. 2016, 37, 233–239. [Google Scholar]
- Sakai, H.; Nordfjell, T.; Suadicani, K.; Talbot, B.; Bøllehuus, E. Soil compaction on forest soils from different kinds of tires and tracks and possibility of accurate estimation. Croat. J. For. Eng. J. Theory Appl. For. Eng. 2008, 29, 15–27. [Google Scholar]
- Małecka, I.; Blecharczyk, A.; Sawinska, Z.; Dobrzeniecki, T. The effect of various long-term tillage systems on soil properties and spring barley yield. Turk. J. Agric. For. 2012, 36, 217–226. [Google Scholar]
- De Moraes, M.T.; Debiasi, H.; Carlesso, R.; Franchini, J.C.; da Silva, V.R.; da Luz, F.B. Soil physical quality on tillage and cropping systems after two decades in the subtropical region of Brazil. Soil Tillage Res. 2016, 155, 351–362. [Google Scholar]
- Cárceles Rodríguez, B.; Durán-Zuazo, V.H.; Soriano Rodríguez, M.; García-Tejero, I.F.; Gálvez Ruiz, B.; Cuadros Tavira, S. Conservation agriculture as a sustainable system for soil health: A review. Soil Syst. 2022, 6, 87. [Google Scholar] [CrossRef]
- Bogunović, I.; Kovács, P.G.; Dekemati, I.; Kisić, I.; Balla, I.; Birkás, M. Long-term effect of soil conservation tillage on soil water content, penetration resistance, crumb ratio and crusted area. Plant Soil Environ. 2019, 65, 442–448. [Google Scholar]
- Chemura, A.; Nangombe, S.S.; Gleixner, S.; Chinyoka, S.; Gornott, C. Changes in climate extremes and their effect on maize (Zea mays L.) suitability over Southern Africa. Front. Clim. 2022, 4, 890210. [Google Scholar]
- Tracy, S.R.; Black, C.R.; Roberts, J.A.; Mooney, S.J. Exploring the interacting effect of soil texture and bulk density on root system development in tomato (Solanum lycopersicum L.). Environ. Exp. Bot. 2013, 91, 38–47. [Google Scholar]
- Hernandez-Ramirez, G.; Lawrence-Smith, E.J.; Sinton, S.M.; Tabley, F.; Schwen, A.; Beare, M.H.; Brown, H.E. Root responses to alterations in macroporosity and penetrability in a silt loam soil. Soil Sci. Soc. Am. J. 2014, 78, 1392–1403. [Google Scholar]
- Gao, W.; Whalley, W.R.; Tian, Z.; Liu, J.; Ren, T. A simple model to predict soil penetrometer resistance as a function of density, drying and depth in the field. Soil Tillage Res. 2016, 155, 190–198. [Google Scholar]
- Peixoto, D.S.; da Silva, L.D.C.M.; de Melo, L.B.B.; Azevedo, R.P.; Araújo, B.C.L.; de Carvalho, T.S.; Moreira, S.G.; Curi, N.; Silva, B.M. Occasional tillage in no-tillage systems: A global meta-analysis. Sci. Total Environ. 2020, 745, 140887. [Google Scholar]










| Sunflower Cropping Period Activities | ||
|---|---|---|
| Activity | Description | Date |
| Spraying | Weed killer spraying | 10 September 2020 |
| Tillage | P, L, D, DC, and SC | 16 October 2020 |
| Fertilizer application | 120 kg/ha 27% “Pétisó CAN” NH4 + NO3 + dolomite | 31 March 2021 |
| Weed control | Weed control with Fozát 480, 6 L/ha | 31 March 2021 |
| Bed making | Appropriate land preparation with Metalwolf 3.8/4.2 combiner | 23 April 2021 |
| Sowing | 56,000 mag/ha, Syngenta SY Onestar CLP Clearfield plus planted with KUHN Maxima 6 sowing machine | 23 April 2021 |
| Sowing | Additional sowing in the border | 1 June 2021 |
| Weed control | Pulsar 40SL, 1.2 L/ha + Silvet Star 0.1 L/ha | 1 June 2021 |
| Desiccation | Dessicash20SL (active ingredient = diquat), 1.6 L/ha | 30 August 2021 |
| Harvest | Harvesting with a Claas Lexion 660, combine harvester with 12 lines | 12 September 2021 |
| Wheat cropping period activities | ||
| Fertilizer spreading | NPK (20, 100, 60 kg/ha) | 10 October 2018 |
| Foundation cultivation | Plowing, cultivation with cultivators | 10 October 2018 |
| Cultivation | Loosening, discing, plowing, and processing with a disc | 11 October 2018 |
| Bed preparation | Breaking and rolling | 24 October 2018 |
| Sowing | 258 kg/ha | 26 October 2018 |
| Germination and cultivation | Wheat emergence and shallow plowing | 10 November–23 December 2018 |
| Fertilization | Head fertilization | 11 February 2019 |
| Weed control | Weed killer spraying | 9 April 2019 |
| Disease control | Fungicide spraying, spraying against seed bleaching | 3–4 June 2019, |
| Harvesting | Harvesting and straw chopping | 18–19 July 2019 |
| Tillage Method | Depth of Soil Disturbance | Implement |
|---|---|---|
| Disking (D) | 12–14 cm | Väderstad Carrier 500(Väderstad AB, located in Östergötland County, Sweden) |
| Shallow cultivation (SC) | 18–20 cm | Kverneland CLC Pro (Kverneland Group, Klepp, Norway) |
| No-tillage (NT) | 4–6 (depth of sowing) | Väderstad Rapid 300C/Kuhn Maxima 6 (Väderstad AB, Väderstad, Östergötland County, Sweden) |
| Deep cultivation (DC) | 22–25 cm | Kverneland CLC Pro (Kuhn Group, Saverne, France) |
| Plowing (P) | 28–30 cm | Kverneland LM100 + packomat (Kverneland Group, Klepp, Norway) |
| Loosening (L) | 40–45 cm | Vogel and Noot TerraDig XS (Vogel & Noot, Hasbergen, Germany) |
Disclaimer/Publisher’s Note: The statements, opinions and data contained in all publications are solely those of the individual author(s) and contributor(s) and not of MDPI and/or the editor(s). MDPI and/or the editor(s) disclaim responsibility for any injury to people or property resulting from any ideas, methods, instructions or products referred to in the content. |
© 2025 by the authors. Licensee MDPI, Basel, Switzerland. This article is an open access article distributed under the terms and conditions of the Creative Commons Attribution (CC BY) license (https://creativecommons.org/licenses/by/4.0/).
Share and Cite
Modiba, M.M.; Ocansey, C.M.; Ibrahim, H.T.M.; Birkás, M.; Dekemati, I.; Simon, B. Assessing 16 Years of Tillage Dynamics on Soil Physical Properties, Crop Root Growth and Yield in an Endocalcic Chernozem Soil in Hungary. Agronomy 2025, 15, 801. https://doi.org/10.3390/agronomy15040801
Modiba MM, Ocansey CM, Ibrahim HTM, Birkás M, Dekemati I, Simon B. Assessing 16 Years of Tillage Dynamics on Soil Physical Properties, Crop Root Growth and Yield in an Endocalcic Chernozem Soil in Hungary. Agronomy. 2025; 15(4):801. https://doi.org/10.3390/agronomy15040801
Chicago/Turabian StyleModiba, Maimela Maxwell, Caleb Melenya Ocansey, Hanaa Tharwat Mohamed Ibrahim, Márta Birkás, Igor Dekemati, and Barbara Simon. 2025. "Assessing 16 Years of Tillage Dynamics on Soil Physical Properties, Crop Root Growth and Yield in an Endocalcic Chernozem Soil in Hungary" Agronomy 15, no. 4: 801. https://doi.org/10.3390/agronomy15040801
APA StyleModiba, M. M., Ocansey, C. M., Ibrahim, H. T. M., Birkás, M., Dekemati, I., & Simon, B. (2025). Assessing 16 Years of Tillage Dynamics on Soil Physical Properties, Crop Root Growth and Yield in an Endocalcic Chernozem Soil in Hungary. Agronomy, 15(4), 801. https://doi.org/10.3390/agronomy15040801

