A Novel Transpiration Drought Index for Winter Wheat in the Huang-Huai-Hai Region, China: A Process-Based Framework Incorporating Improved Crop Water Supply–Demand Dynamics
Abstract
1. Introduction
2. Materials and Methods
2.1. Study Aera
2.2. Data
2.2.1. Meteorological Data Driving the WBWW Model
2.2.2. Parameters for WBWW Model Initialization
2.2.3. Historical Drought Disaster Records
2.2.4. Field Experiment and Transpiration Observations
2.3. Development of a Process-Based Transpiration Drought Index
2.3.1. Defining and Characterizing Drought Events Through the Lens of Transpiration
- (1)
- A drought event’s duration is defined as the continuous period of drought stress (WDSI > 0) or the time span from its initiation and termination of the drought event.
- (2)
- Drought events lasting three days or fewer are classified as non-drought events and are excluded from further analysis.
- (3)
- Consecutive drought events occurring within a one-day interval are merged into a single event. The total duration of the merged event is the sum of the individual event durations.
- (4)
- The severity of a drought event is quantified as the cumulative drought stress the initiation to the termination of this event.
2.3.2. Process-Based Drought Index Based on Bivariate Joint Distribution
2.3.3. Construction of the Drought Index Utilizing Drought Characteristics and Their Joint Distribution
2.3.4. Establishment and Validation of Drought Grade Thresholds for WDAI
3. Results
3.1. Actual Transpiration of Winter Wheat
3.2. Construction of Joint Distributions and Analysis of Regional Drought Characteristics
3.3. Establishment of Drought Grade Thresholds for WDAI in Assessing Drought Impact
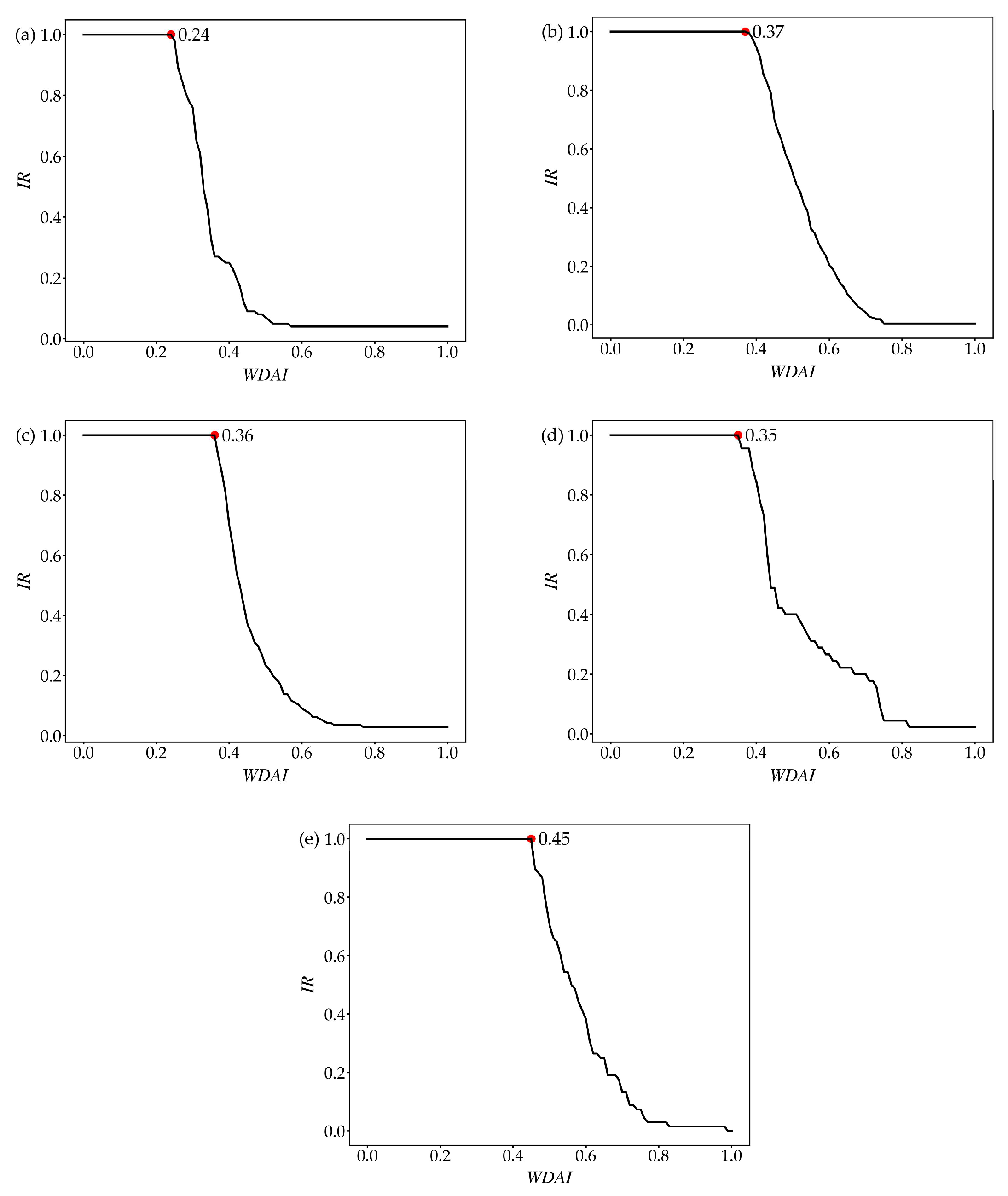
3.3.1. Trigger Thresholds of Drought Disaster
3.3.2. Critical Thresholds of Mild–Moderate and Moderate–Severe Drought
3.4. Validation for the Drought Grade Thresholds of WDAI
4. Discussion
4.1. Incorporating Soil Moisture and Crop Resistance Has Improved Drought Monitoring Capabilities
4.2. WDAI Provides Valuable Information for Irrigation
4.3. Limitations and Developments
5. Conclusions
Author Contributions
Funding
Data Availability Statement
Conflicts of Interest
References
- Huang, H.; Huang, J.; Li, X.; Zhuo, W.; Wu, Y.; Niu, Q.; Su, W.; Yuan, W. A dataset of winter wheat aboveground biomass in China during 2007–2015 based on data assimilation. Sci. Data 2022, 9, 200. [Google Scholar] [CrossRef]
- Wu, X.; Wang, P.; Huo, Z.; Wu, D.; Yang, J. Crop Drought Identification Index for winter wheat based on evapotranspiration in the Huang-Huai-Hai Plain, China. Agric. Ecosyst. Environ. 2018, 263, 18–30. [Google Scholar] [CrossRef]
- Wu, J.; Wang, N.; Xing, X.; Ma, X. Loss of Net primary production of seasonal winter wheat due to multiple drought types in the main Grain-Producing area of China. J. Hydrol. 2023, 625, 130093. [Google Scholar] [CrossRef]
- Ma, Q.; Li, Y.; Liu, F.; Feng, H.; Biswas, A.; Zhang, Q. SPEI and multi-threshold run theory based drought analysis using multi-source products in China. J. Hydrol. 2023, 616, 128737. [Google Scholar] [CrossRef]
- Zhang, Y.; Wang, P.; Chen, Y.; Yang, J.; Wu, D.; Ma, Y.; Huo, Z.; Liu, S. Daily dynamic thresholds of different agricultural drought grades for summer maize based on the Vegetation Water Index. J. Hydrol. 2023, 625, 130070. [Google Scholar] [CrossRef]
- Liu, J.; Si, Z.; Li, S.; Kader Mounkaila Hamani, A.; Zhang, Y.; Wu, L.; Gao, Y.; Duan, A. Variations in water sources used by winter wheat across distinct rainfall years in the North China Plain. J. Hydrol. 2023, 618, 129186. [Google Scholar] [CrossRef]
- Wang, C.; Ye, J.; Zhai, Y.; Kurexi, W.; Xing, D.; Feng, G.; Zhang, Q.; Zhang, Z. Dynamics of Moistube discharge, soil-water redistribution and wetting morphology in response to regulated working pressure heads. Agric. Water Manag. 2023, 282, 108285. [Google Scholar] [CrossRef]
- Yang, C.; Liu, C.; Liu, Y.; Gao, Y.; Xing, X.; Ma, X. Prediction of drought trigger thresholds for future winter wheat yield losses in China based on the DSSAT-CERES-Wheat model and Copula conditional probabilities. Agric. Water Manag. 2024, 299, 108881. [Google Scholar] [CrossRef]
- Yao, N.; Li, L.; Feng, P.; Feng, H.; Li Liu, D.; Liu, Y.; Jiang, K.; Hu, X.; Li, Y. Projections of drought characteristics in China based on a standardized precipitation and evapotranspiration index and multiple GCMs. Sci. Total Environ. 2020, 704, 135245. [Google Scholar] [CrossRef]
- Zhao, T.; Dai, A. Uncertainties in historical changes and future projections of drought. Part II: Model-simulated historical and future drought changes. Clim. Change 2017, 144, 535–548. [Google Scholar] [CrossRef]
- Wang, R.; Zhao, H.; Qi, Y.; Zhao, F.; Chen, F.; Ding, W.; Jiang, J.; Zhang, K.; Wang, H. Onset and severity thresholds of drought impacts on wheat. Agric. Water Manag. 2023, 281, 108259. [Google Scholar] [CrossRef]
- Xu, Y.; Zhang, X.; Hao, Z.; Hao, F.; Li, C. Projections of future meteorological droughts in China under CMIP6 from a three-dimensional perspective. Agric. Water Manag. 2021, 252, 106849. [Google Scholar] [CrossRef]
- Markonis, Y.; Kumar, R.; Hanel, M.; Rakovec, O.; Máca, P.; AghaKouchak, A. The rise of compound warm-season droughts in Europe. Sci. Adv. 2021, 7, eabb9668. [Google Scholar] [CrossRef]
- Zhou, S.; Zhang, Y.; Park Williams, A.; Gentine, P. Projected increases in intensity, frequency, and terrestrial carbon costs of compound drought and aridity events. Sci. Adv. 2019, 5, eaau5740. [Google Scholar] [CrossRef]
- Li, H.; Zheng, L.; Lei, Y.; Li, C.; Liu, Z.; Zhang, S. Estimation of water consumption and crop water productivity of winter wheat in North China Plain using remote sensing technology. Agric. Water Manag. 2008, 95, 1271–1278. [Google Scholar] [CrossRef]
- Pérez-Blanco, C.D.; Hrast-Essenfelder, A.; Perry, C. Irrigation Technology and Water Conservation: A Review of the Theory and Evidence. Rev. Environ. Econ. Policy 2020, 14, 216–239. [Google Scholar] [CrossRef]
- Cai, Y.; Yao, C.; Wu, P.; Zhang, L.; Zhu, D.; Chen, J.; Du, Y. Effectiveness of a subsurface irrigation system with ceramic emitters under low-pressure conditions. Agric. Water Manag. 2021, 243, 106390. [Google Scholar] [CrossRef]
- Zhang, Y.; Hao, Z.; Feng, S.; Zhang, X.; Xu, Y.; Hao, F. Agricultural drought prediction in China based on drought propagation and large-scale drivers. Agric. Water Manag. 2021, 255, 107028. [Google Scholar] [CrossRef]
- IPCC. Climate Change 2021—The Physical Science Basis: Working Group I Contribution to the Sixth Assessment Report of the Intergovernmental Panel on Climate Change; Cambridge University Press: Cambridge, UK, 2023. [Google Scholar]
- Wu, D.; Li, Z.; Zhu, Y.; Li, X.; Wu, Y.; Fang, S. A new agricultural drought index for monitoring the water stress of winter wheat. Agric. Water Manag. 2021, 244, 106599. [Google Scholar] [CrossRef]
- Song, C.; Yue, C.; Zhang, W.; Zhang, D.; Hong, Z.; Meng, L. A remote sensing-based method for drought monitoring using the similarity between drought eigenvectors. Int. J. Remote Sens. 2019, 40, 8838–8856. [Google Scholar] [CrossRef]
- Jiao, W.; Wang, L.; McCabe, M.F. Multi-sensor remote sensing for drought characterization: Current status, opportunities and a roadmap for the future. Remote Sens. Environ. 2021, 256, 112313. [Google Scholar] [CrossRef]
- Rouse, J.W.; Haas, R.H.; Schell, J.A.; Deering, D.W. Monitoring Vegetation Systems in the Great Plains with ERTS. NASA Spec. Publ. 1974, 351, 309. [Google Scholar]
- Gao, B.-C. NDWI—A normalized difference water index for remote sensing of vegetation liquid water from space. Remote Sens. Environ. 1996, 58, 257–266. [Google Scholar] [CrossRef]
- Jin, S.; Sader, S.A. Comparison of time series tasseled cap wetness and the normalized difference moisture index in detecting forest disturbances. Remote Sens. Environ. 2005, 94, 364–372. [Google Scholar] [CrossRef]
- Zhao, J.; Peng, H.; Yang, J.; Huang, R.; Huo, Z.; Ma, Y. Response of winter wheat to different drought levels based on Google Earth Engine in the Huang-Huai-Hai Region, China. Agric. Water Manag. 2024, 292, 108662. [Google Scholar] [CrossRef]
- Jin, N.; Shi, Y.; Niu, W.; He, L. Spatial and temporal patterns of agricultural drought in China during 1960–2020 characterized by use of the crop water deficit Abnormal Index. J. Hydrol. 2023, 627, 130454. [Google Scholar] [CrossRef]
- Smith, W.K.; Dannenberg, M.P.; Yan, D.; Herrmann, S.; Barnes, M.L.; Barron-Gafford, G.A.; Biederman, J.A.; Ferrenberg, S.; Fox, A.M.; Hudson, A.; et al. Remote sensing of dryland ecosystem structure and function: Progress, challenges, and opportunities. Remote Sens. Environ. 2019, 233, 111401. [Google Scholar] [CrossRef]
- Han, J.; Fang, S.; Mi, Q.; Wang, X.; Yu, Y.; Zhuo, W.; Peng, X. A time-continuous land surface temperature (LST) data fusion approach based on deep learning with microwave remote sensing and high-density ground truth observations. Sci. Total Environ. 2024, 914, 169992. [Google Scholar] [CrossRef]
- Lin, J.; Zhou, L.; Wu, J.; Han, X.; Zhao, B.; Chen, M.; Liu, L. Water stress significantly affects the diurnal variation of solar-induced chlorophyll fluorescence (SIF): A case study for winter wheat. Sci. Total Environ. 2024, 908, 168256. [Google Scholar] [CrossRef]
- Cheng, F.; Zhang, Z.; Zhuang, H.; Han, J.; Luo, Y.; Cao, J.; Zhang, L.; Zhang, J.; Xu, J.; Tao, F. ChinaCropSM1 km: A fine 1 km daily soil moisture dataset for dryland wheat and maize across China during 1993–2018. Earth Syst. Sci. Data 2023, 15, 395–409. [Google Scholar] [CrossRef]
- Zhou, L.; Lin, J.; Wu, J.; Du, R.; Chen, M.; Zhao, B.; Yang, R. Assessing the potential of red solar-induced chlorophyll fluorescence for drought monitoring in different growth stages of winter wheat. Ecol. Indic. 2024, 161, 111960. [Google Scholar] [CrossRef]
- Kannenberg, S.A.; Anderegg, W.R.L.; Barnes, M.L.; Dannenberg, M.P.; Knapp, A.K. Dominant role of soil moisture in mediating carbon and water fluxes in dryland ecosystems. Nat. Geosci. 2024, 17, 38–43. [Google Scholar] [CrossRef]
- Nguyen, T.H.; Langensiepen, M.; Gaiser, T.; Webber, H.; Ahrends, H.; Hueging, H.; Ewert, F. Responses of winter wheat and maize to varying soil moisture: From leaf to canopy. Agric. For. Meteorol. 2022, 314, 108803. [Google Scholar] [CrossRef]
- Yang, Z.; Tian, J.; Wang, Z.; Feng, K.; Ouyang, Z.; Zhang, L.; Yan, X. Coupled soil water stress and environmental effects on changing photosynthetic traits in wheat and maize. Agric. Water Manag. 2023, 282, 108246. [Google Scholar] [CrossRef]
- Hao, Z.; AghaKouchak, A.; Nakhjiri, N.; Farahmand, A. Global integrated drought monitoring and prediction system. Sci. Data 2014, 1, 140001. [Google Scholar] [CrossRef] [PubMed]
- Martínez-Fernández, J.; González-Zamora, A.; Sánchez, N.; Gumuzzio, A.; Herrero-Jiménez, C.M. Satellite soil moisture for agricultural drought monitoring: Assessment of the SMOS derived Soil Water Deficit Index. Remote Sens. Environ. 2016, 177, 277–286. [Google Scholar] [CrossRef]
- Hao, Z.; Singh, V.P.; Xia, Y. Seasonal Drought Prediction: Advances, Challenges, and Future Prospects. Rev. Geophys. 2018, 56, 108–141. [Google Scholar] [CrossRef]
- Liu, Y.; Liu, Y.; Wang, W. Inter-comparison of satellite-retrieved and Global Land Data Assimilation System-simulated soil moisture datasets for global drought analysis. Remote Sens. Environ. 2019, 220, 1–18. [Google Scholar] [CrossRef]
- Wu, J.; Gu, Y.; Sun, K.; Wang, N.; Shen, H.; Wang, Y.; Ma, X. Correlation of climate change and human activities with agricultural drought and its impact on the net primary production of winter wheat. J. Hydrol. 2023, 620, 129504. [Google Scholar] [CrossRef]
- Zhang, Y.; Wu, Z.; Singh, V.P.; He, H.; He, J.; Yin, H.; Zhang, Y. Coupled hydrology-crop growth model incorporating an improved evapotranspiration module. Agric. Water Manag. 2021, 246, 106691. [Google Scholar] [CrossRef]
- Huo, Z.; Mao, H.; Yang, J.; Wang, P.; Wu, D.; Ma, Y. Process-based evaluation indicators of grape drought and risk characteristics in the Bohai Rim Region, China. Theor. Appl. Climatol. 2022, 150, 1573–1585. [Google Scholar] [CrossRef]
- Zhang, X.; Pei, D.; Chen, S. Root growth and soil water utilization of winter wheat in the North China Plain. Hydrol. Process. 2004, 18, 2275–2287. [Google Scholar] [CrossRef]
- Liu, Z.; Ma, F.-y.; Hu, T.-x.; Zhao, K.-g.; Gao, T.-p.; Zhao, H.-x.; Ning, T.-y. Using stable isotopes to quantify water uptake from different soil layers and water use efficiency of wheat under long-term tillage and straw return practices. Agric. Water Manag. 2020, 229, 105933. [Google Scholar] [CrossRef]
- Huang, Z.; Zhang, X.; Ashton, R.W.; Hawkesford, M.J.; Whalley, W.R. Root phenotyping and root water uptake calculation using soil water contents measured in a winter wheat field. Agric. Water Manag. 2023, 290, 108607. [Google Scholar] [CrossRef]
- Li, H.; Li, L.; Liu, N.; Chen, S.; Shao, L.; Sekiya, N.; Zhang, X. Root efficiency and water use regulation relating to rooting depth of winter wheat. Agric. Water Manag. 2022, 269, 107710. [Google Scholar] [CrossRef]
- Li, L.; Li, H.; Liu, N.; Lu, Y.; Shao, L.; Chen, S.; Zhang, X. Water use characteristics and drought tolerant ability of different winter wheat cultivars assessed under whole growth circle and at seedling stage. Agric. Water Manag. 2024, 300, 108921. [Google Scholar] [CrossRef]
- Joiner, J.; Yoshida, Y.; Anderson, M.; Holmes, T.; Hain, C.; Reichle, R.; Koster, R.; Middleton, E.; Zeng, F.-W. Global relationships among traditional reflectance vegetation indices (NDVI and NDII), evapotranspiration (ET), and soil moisture variability on weekly timescales. Remote Sens. Environ. 2018, 219, 339–352. [Google Scholar] [CrossRef] [PubMed]
- Zhang, Y.; Wu, Z.; Singh, V.P.; Lin, Q.; Ning, S.; Zhou, Y.; Jin, J.; Zhou, R.; Ma, Q. Agricultural drought characteristics in a typical plain region considering irrigation, crop growth, and water demand impacts. Agric. Water Manag. 2023, 282, 108266. [Google Scholar] [CrossRef]
- Yang, B.; Wang, P.; You, D.; Liu, W. Coupling evapotranspiration partitioning with root water uptake to identify the water consumption characteristics of winter wheat: A case study in the North China Plain. Agric. For. Meteorol. 2018, 259, 296–304. [Google Scholar] [CrossRef]
- Cui, Y.; Jia, L. Estimation of evapotranspiration of “soil-vegetation” system with a scheme combining a dual-source model and satellite data assimilation. J. Hydrol. 2021, 603, 127145. [Google Scholar] [CrossRef]
- Wang, A.; Gao, X.; Zhou, Z.; Siddique, K.H.M.; Yang, H.; Wang, J.; Zhang, S.; Zhao, X. A novel index for vegetation drought assessment based on plant water metabolism and balance under vegetation restoration on the Loess Plateau. Sci. Total Environ. 2024, 918, 170549. [Google Scholar] [CrossRef]
- Tenreiro, T.R.; García-Vila, M.; Gómez, J.A.; Jimenez-Berni, J.A.; Fereres, E. Water modelling approaches and opportunities to simulate spatial water variations at crop field level. Agric. Water Manag. 2020, 240, 106254. [Google Scholar] [CrossRef]
- de Melo, M.L.A.; de Jong van Lier, Q. Revisiting the Feddes reduction function for modeling root water uptake and crop transpiration. J. Hydrol. 2021, 603, 126952. [Google Scholar] [CrossRef]
- Ajaz, A.; Taghvaeian, S.; Lollato, R.; Alderman, P.D.; Gowda, P.H. Gridded drought response assessment of winter wheat in Oklahoma using big data and AquaCrop-OS. Sci. Total Environ. 2025, 959, 178206. [Google Scholar] [CrossRef] [PubMed]
- Mansoor, S.; Chung, Y.S. Functional phenotyping: Understanding the dynamic response of plants to drought stress. Curr. Plant Biol. 2024, 38, 100331. [Google Scholar] [CrossRef]
- Dong, Z.; Zhang, X.; Li, J.; Zhang, C.; Wei, T.; Yang, Z.; Cai, T.; Zhang, P.; Ding, R.; Jia, Z. Photosynthetic characteristics and grain yield of winter wheat (Triticum aestivum L.) in response to fertilizer, precipitation, and soil water storage before sowing under the ridge and furrow system: A path analysis. Agric. For. Meteorol. 2019, 272–273, 12–19. [Google Scholar] [CrossRef]
- Celis, J.; Xiao, X.; Wagle, P.; Basara, J.; McCarthy, H.; Souza, L. A comparison of moderate and high spatial resolution satellite data for modeling gross primary production and transpiration of native prairie, alfalfa, and winter wheat. Agric. For. Meteorol. 2024, 344, 109797. [Google Scholar] [CrossRef]
- Ersi, C.; Sudu, B.; Song, Z.; Bao, Y.; Wei, S.; Zhang, J.; Tong, Z.; Liu, X.; Le, W.; Rina, S. The potential of NIRvP in estimating evapotranspiration. Remote Sens. Environ. 2024, 315, 114405. [Google Scholar] [CrossRef]
- Pereira, L.S.; Paredes, P.; Jovanovic, N. Soil water balance models for determining crop water and irrigation requirements and irrigation scheduling focusing on the FAO56 method and the dual Kc approach. Agric. Water Manag. 2020, 241, 106357. [Google Scholar] [CrossRef]
- Allen, R.G.; Pereira, L.S.; Raes, D.; Smith, M. Crop Evapotranspiration-Guidelines for Computing Crop Water Requirements-FAO Irrigation and Drainage Paper 56; FAO: Rome, Italy, 1998; Volume 300, p. D05109. [Google Scholar]
- Shuttleworth, W.J.; Wallace, J.S. Evaporation from sparse crops-an energy combination theory. Q. J. R. Meteorolog. Soc. 1985, 111, 839–855. [Google Scholar] [CrossRef]
- Ding, R.; Kang, S.; Li, F.; Zhang, Y.; Tong, L. Evapotranspiration measurement and estimation using modified Priestley–Taylor model in an irrigated maize field with mulching. Agric. For. Meteorol. 2013, 168, 140–148. [Google Scholar] [CrossRef]
- Priestley, C.H.B.; Taylor, R.J. On the Assessment of Surface Heat Flux and Evaporation Using Large-Scale Parameters. Mon. Weather Rev. 1972, 100, 81–92. [Google Scholar] [CrossRef]
- Kool, D.; Agam, N.; Lazarovitch, N.; Heitman, J.L.; Sauer, T.J.; Ben-Gal, A. A review of approaches for evapotranspiration partitioning. Agric. For. Meteorol. 2014, 184, 56–70. [Google Scholar] [CrossRef]
- Gong, X.; Liu, H.; Sun, J.; Gao, Y.; Zhang, H. Comparison of Shuttleworth-Wallace model and dual crop coefficient method for estimating evapotranspiration of tomato cultivated in a solar greenhouse. Agric. Water Manag. 2019, 217, 141–153. [Google Scholar] [CrossRef]
- Ramos, T.B.; Darouich, H.; Oliveira, A.R.; Farzamian, M.; Monteiro, T.; Castanheira, N.; Paz, A.; Gonçalves, M.C.; Pereira, L.S. Water use and soil water balance of Mediterranean tree crops assessed with the SIMDualKc model in orchards of southern Portugal. Agric. Water Manag. 2023, 279, 108209. [Google Scholar] [CrossRef]
- Li, K.Y.; De Jong, R.; Boisvert, J.B. An exponential root-water-uptake model with water stress compensation. J. Hydrol. 2001, 252, 189–204. [Google Scholar] [CrossRef]
- Peters, A. Modified conceptual model for compensated root water uptake—A simulation study. J. Hydrol. 2016, 534, 1–10. [Google Scholar] [CrossRef]
- Albasha, R.; Mailhol, J.-C.; Cheviron, B. Compensatory uptake functions in empirical macroscopic root water uptake models—Experimental and numerical analysis. Agric. Water Manag. 2015, 155, 22–39. [Google Scholar] [CrossRef]
- Mi, Q.; Li, M.; Huo, Z.; Zhang, L.; Kong, R.; Jiang, M.; Zhang, F. Simulating the Vertical Distribution of Soil Moisture for Winter Wheat Based on a Hydrodynamic-Processes-Driven Water Balance Model in the Huang-Huai-Hai Region, China. SSRN Preprint 2024. Available online: https://ssrn.com/abstract=4876023 (accessed on 15 November 2024).
- Ru, C.; Hu, X.; Chen, D.; Wang, W.; Zhen, J.; Song, T. Individual and combined effects of heat and drought and subsequent recovery on winter wheat (Triticum aestivum L.) photosynthesis, nitrogen metabolism, cell osmoregulation, and yield formation. Plant Physiol. Biochem. 2023, 196, 222–235. [Google Scholar] [CrossRef] [PubMed]
- Wang, L.; Liu, X.; Liu, X.; Bao, X.; Zhang, X.; Yin, B.; Wang, W.; Wang, Y.; Zhen, W. Effects of spring limited irrigation on grain yield and root characteristics of winter wheat in groundwater-overexploitation areas in the North China Plain. Agric. Water Manag. 2024, 294, 108729. [Google Scholar] [CrossRef]
- Zhang, X.; Chen, N.; Li, J.; Chen, Z.; Niyogi, D. Multi-sensor integrated framework and index for agricultural drought monitoring. Remote Sens. Environ. 2017, 188, 141–163. [Google Scholar] [CrossRef]
- Zhao, L.; Li, Q.; Zhang, Y.; Wang, H.; Du, X. Normalized NDVI valley area index (NNVAI)-based framework for quantitative and timely monitoring of winter wheat frost damage on the Huang-Huai-Hai Plain, China. Agric. Ecosyst. Environ. 2020, 292, 106793. [Google Scholar] [CrossRef]
- Wu, D.; Fang, S.; Li, X.; He, D.; Zhu, Y.; Yang, Z.; Xu, J.; Wu, Y. Spatial-temporal variation in irrigation water requirement for the winter wheat-summer maize rotation system since the 1980s on the North China Plain. Agric. Water Manag. 2019, 214, 78–86. [Google Scholar] [CrossRef]
- Luo, Y.; Zhang, Z.; Chen, Y.; Li, Z.; Tao, F. ChinaCropPhen1km: A high-resolution crop phenological dataset for three staple crops in China during 2000–2015 based on leaf area index (LAI) products. Earth Syst. Sci. Data 2020, 12, 197–214. [Google Scholar] [CrossRef]
- Shangguan, W.; Dai, Y.; Liu, B.; Zhu, A.; Duan, Q.; Wu, L.; Ji, D.; Ye, A.; Yuan, H.; Zhang, Q. A China data set of soil properties for land surface modeling. J. Adv. Model Earth. Syst. 2013, 5, 212–224. [Google Scholar] [CrossRef]
- Saxton, K.E.; Rawls, W.J. Soil water characteristic estimates by texture and organic matter for hydrologic solutions. Soil Sci. Soc. Am. J. 2006, 70, 1569–1578. [Google Scholar] [CrossRef]
- Wan, L.; Bento, V.A.; Qu, Y.; Qiu, J.; Song, H.; Zhang, R.; Wu, X.; Xu, F.; Lu, J.; Wang, Q. Drought characteristics and dominant factors across China: Insights from high-resolution daily SPEI dataset between 1979 and 2018. Sci. Total Environ. 2023, 901, 166362. [Google Scholar] [CrossRef]
- Chen, D.; Guo, Y.; Zhao, Y.; Zhang, J.; Liu, X.; Tong, Z.; Zhao, C. Dynamic evolution characteristics and hazard assessment of compound drought/waterlogging and low temperature events for maize. Sci. Total Environ. 2024, 946, 174427. [Google Scholar] [CrossRef]
- Zhao, Z.; Wang, H.; Yu, C.; Deng, C.; Liu, C.; Wu, Y.; Yan, J.; Wang, C. Changes in spatiotemporal drought characteristics over northeast China from 1960 to 2018 based on the modified nested Copula model. Sci. Total Environ. 2020, 739, 140328. [Google Scholar] [CrossRef] [PubMed]
- Mu, W.; Yu, F.; Xie, Y.; Liu, J.; Li, C.; Zhao, N. The Copula Function-Based Probability Characteristics Analysis on Seasonal Drought & Flood Combination Events on the North China Plain. Atmos 2014, 5, 847–869. [Google Scholar]
- Tosunoglu, F.; Can, I. Application of copulas for regional bivariate frequency analysis of meteorological droughts in Turkey. Nat. Hazard. 2016, 82, 1457–1477. [Google Scholar] [CrossRef]
- Amirataee, B.; Montaseri, M.; Rezaie, H. Regional analysis and derivation of copula-based drought Severity-Area-Frequency curve in Lake Urmia basin, Iran. J. Environ. Manag. 2018, 206, 134–144. [Google Scholar] [CrossRef] [PubMed]
- Zhang, Q.; Yu, X.; Qiu, R.; Liu, Z.; Yang, Z. Evolution, severity, and spatial extent of compound drought and heat events in north China based on copula model. Agric. Water Manag. 2022, 273, 107918. [Google Scholar] [CrossRef]
- Fang, L.; Yin, J.; Wang, Y.; Xu, J.; Wang, Y.; Wu, G.; Zeng, Z.; Zhang, X.; Zhang, J.; Meshyk, A. Machine learning and copula-based analysis of past changes in global droughts and socioeconomic exposures. J. Hydrol. 2024, 628, 130536. [Google Scholar] [CrossRef]
- Zhao, Q.; Zhang, X.; Li, C.; Xu, Y.; Fei, J. Compound ecological drought assessment of China using a Copula-based drought index. Ecol. Indic. 2024, 164, 112141. [Google Scholar] [CrossRef]
- Tawn, J.A. An extreme-value theory model for dependent observations. J. Hydrol. 1988, 101, 227–250. [Google Scholar] [CrossRef]
- Nelsen, R.B. An Introduction to Copulas; Springer: Berlin/Heidelberg, Germany, 2006. [Google Scholar]
- Ahluwalia, O.; Singh, P.C.; Bhatia, R. A review on drought stress in plants: Implications, mitigation and the role of plant growth promoting rhizobacteria. Resour. Environ. Sustain. 2021, 5, 100032. [Google Scholar] [CrossRef]
- Montaseri, M.; Amirataee, B.; Rezaie, H. New approach in bivariate drought duration and severity analysis. J. Hydrol. 2018, 559, 166–181. [Google Scholar] [CrossRef]
- Tang, J.; Wang, P.; Li, X.; Yang, J.; Wu, D.; Ma, Y.; Li, S.; Jin, Z.; Huo, Z. Disaster event-based spring frost damage identification indicator for tea plants and its applications over the region north of the Yangtze River, China. Ecol. Indic. 2023, 146, 109912. [Google Scholar] [CrossRef]
- Li, H.; Jia, B.; Wang, H.; Li, D.; Fang, Q.; He, J.; Li, R. Yield response of supplementary irrigation at the anthesis stage of winter wheat. Agric. Water Manag. 2023, 284, 108352. [Google Scholar] [CrossRef]
- Wu, B.; Ma, Z.; Yan, N. Agricultural drought mitigating indices derived from the changes in drought characteristics. Remote Sens. Environ. 2020, 244, 111813. [Google Scholar] [CrossRef]
- Zhang, X.; Zhang, X.; Liu, X.; Shao, L.; Sun, H.; Chen, S. Incorporating root distribution factor to evaluate soil water status for winter wheat. Agric. Water Manag. 2015, 153, 32–41. [Google Scholar] [CrossRef]
- Zhao, J.; Yang, J.; Huang, R.; Xie, H.; Qin, X.; Hu, Y. Estimating evapotranspiration and drought dynamics of winter wheat under climate change: A case study in Huang-Huai-Hai region, China. Sci. Total Environ. 2024, 949, 175114. [Google Scholar] [CrossRef] [PubMed]
- Wang, H.; Vicente-Serrano, S.M.; Tao, F.; Zhang, X.; Wang, P.; Zhang, C.; Chen, Y.; Zhu, D.; Kenawy, A.E. Monitoring winter wheat drought threat in Northern China using multiple climate-based drought indices and soil moisture during 2000–2013. Agric. For. Meteorol. 2016, 228–229, 1–12. [Google Scholar] [CrossRef]
- Lv, H.Q.; Zhang, Y.S.; Li, M.S.; Wang, J.L.; Zhang, S.J.; Lou, X.R.; Zhang, Y.H.; Wu, M.X. Grade of Agricultural Drought; General Administration of Quality Supervision, Inspection and Quarantine of the People’s Republic of China: Beijing, China, 2015.
- Huang, M.; Wang, C.; Qi, W.; Zhang, Z.; Xu, H. Modelling the integrated strategies of deficit irrigation, nitrogen fertilization, and biochar addition for winter wheat by AquaCrop based on a two-year field study. Field Crops Res. 2022, 282, 108510. [Google Scholar] [CrossRef]
- Xu, X.; Zhang, M.; Li, J.; Liu, Z.; Zhao, Z.; Zhang, Y.; Zhou, S.; Wang, Z. Improving water use efficiency and grain yield of winter wheat by optimizing irrigations in the North China Plain. Field Crops Res. 2018, 221, 219–227. [Google Scholar] [CrossRef]
- Togneri, R.; Felipe dos Santos, D.; Camponogara, G.; Nagano, H.; Custódio, G.; Prati, R.; Fernandes, S.; Kamienski, C. Soil moisture forecast for smart irrigation: The primetime for machine learning. Expert Syst. Appl. 2022, 207, 117653. [Google Scholar] [CrossRef]
- Karandish, F.; Šimůnek, J. A comparison of numerical and machine-learning modeling of soil water content with limited input data. J. Hydrol. 2016, 543, 892–909. [Google Scholar] [CrossRef]
- Zeng, J.; Yuan, X.; Ji, P. The important role of reliable land surface model simulation in high-resolution multi-source soil moisture data fusion by machine learning. J. Hydrol. 2024, 630, 130700. [Google Scholar] [CrossRef]
- Barnard, D.M.; Germino, M.J.; Bradford, J.B.; O’Connor, R.C.; Andrews, C.M.; Shriver, R.K. Are drought indices and climate data good indicators of ecologically relevant soil moisture dynamics in drylands? Ecol. Indic. 2021, 133, 108379. [Google Scholar] [CrossRef]
- Li, J.Z.; Wang, Y.X.; Li, S.F.; Hu, R. A Nonstationary Standardized Precipitation Index incorporating climate indices as covariates. J. Geophys. Res. Atmos. 2015, 120, 12,082–12,095. [Google Scholar] [CrossRef]
- Sun, P.; Ge, C.; Yao, R.; Bian, Y.; Yang, H.; Zhang, Q.; Xu, C.-Y.; Singh, V.P. Development of a nonstationary Standardized Precipitation Evapotranspiration Index (NSPEI) and its application across China. Atmos. Res. 2024, 300, 107256. [Google Scholar] [CrossRef]
- Chen, W.; Yao, R.; Sun, P.; Zhang, Q.; Singh, V.P.; Sun, S.; AghaKouchak, A.; Ge, C.; Yang, H. Drought Risk Assessment of Winter Wheat at Different Growth Stages in Huang-Huai-Hai Plain Based on Nonstationary Standardized Precipitation Evapotranspiration Index and Crop Coefficient. Remote Sens. 2024, 16, 1625. [Google Scholar] [CrossRef]










| Category | JJJ | SD | HN | AH | JS | |
|---|---|---|---|---|---|---|
| Training Set | Mild | 52 | 87 | 73 | 14 | 39 |
| Moderate | 31 | 76 | 50 | 16 | 21 | |
| Severe | 53 | 101 | 39 | 17 | 20 | |
| Total | 136 | 264 | 162 | 47 | 80 | |
| Testing Set | Mild | 14 | 25 | 15 | 7 | 5 |
| Moderate | 11 | 20 | 18 | 2 | 10 | |
| Severe | 10 | 21 | 8 | 3 | 5 | |
| Total | 35 | 66 | 41 | 12 | 20 |
| Phenology Stage | Treatments | Irrigation Time and Water Volume |
|---|---|---|
| P1 | T1 | 8 April 2024: 45 mm; 29 April 2024: 55 mm |
| T2 | 12 April 2024: 63 mm; 3 May 2024: 45 mm | |
| T3 | 22 April 2024: 55mm; | |
| T4 | - | |
| P2 | T1 | 29 April 2024: 55 mm |
| T2 | 14 April 2024: 17.5 mm | |
| T3 | 7 May 2024: 45 mm | |
| T4 | - | |
| - | CK | 8 April 2024: 45 mm; 29 April 2024: 55 mm |
| Marginal Distribution | DWDSI | SWDSI | ||||||||
|---|---|---|---|---|---|---|---|---|---|---|
| JJJ | SD | HN | AH | JS | JJJ | SD | HN | AH | JS | |
| GAM | 0.4653 | 0.3840 | 0.4171 | 0.4819 | 0.4133 | 0.4648 | 0.4294 | 0.5190 | 0.4413 | 0.3628 |
| EXP | 0.4376 | 0.3967 | 0.3548 | 0.4148 | 0.2892 | 0.4481 | 0.3559 | 0.3701 | 0.4130 | 0.3572 |
| GGAM | 0.3039 | 0.4043 | 0.4016 | 0.3166 | 0.3133 | 0.2662 | 0.3936 | 0.4158 | 0.3198 | 0.2790 |
| WB | 0.4510 | 0.4629 | 0.4515 | 0.4070 | 0.3285 | 0.4058 | 0.4045 | 0.4147 | 0.4682 | 0.3131 |
| EWB | 0.2123 | 0.3231 | 0.2457 | 0.2398 | 0.1559 | 0.2657 | 0.3104 | 0.3235 | 0.2476 | 0.1722 |
| BP | 0.0292 | 0.0899 | 0.0467 | 0.0374 | 0.0447 | 0.0219 | 0.0677 | 0.0427 | 0.0373 | 0.0396 |
| FISK | 0.2872 | 0.3603 | 0.3200 | 0.3257 | 0.2064 | 0.2633 | 0.3139 | 0.2825 | 0.2795 | 0.2856 |
| BUR | 0.0194 | 0.1144 | 0.0716 | 0.0440 | 0.0423 | 0.0179 | 0.0950 | 0.0740 | 0.0504 | 0.0352 |
| PAR | 0.0000 | 0.0000 | 0.0000 | 0.0000 | 0.0000 | 0.0000 | 0.0000 | 0.0000 | 0.0000 | 0.0000 |
| LNORM | 0.2083 | 0.2834 | 0.2918 | 0.1745 | 0.1955 | 0.1954 | 0.3334 | 0.3059 | 0.2813 | 0.1715 |
| Copula | JJJ | SD | HN | AH | SJ | |||||
|---|---|---|---|---|---|---|---|---|---|---|
| AIC | BIC | AIC | BIC | AIC | BIC | AIC | BIC | AIC | BIC | |
| Ali–Mikhail–Haq | −257.7 | −247.2 | −200.6 | −190.3 | −202.1 | −191.7 | −227.9 | −217.5 | −203.7 | −193.3 |
| Clayton | −268.6 | −258.2 | −199.0 | −188.5 | −208.6 | −198.2 | −235.6 | −225.2 | −208.6 | −198.2 |
| Frank | −277.0 | −266.5 | −193.4 | −182.9 | −170.5 | −160.1 | −173.4 | −163.0 | −135.4 | −125.0 |
| Gumbel | −298.6 | −288.1 | −149.0 | −138.5 | −173.1 | −162.6 | −95.1 | −84.7 | −90.6 | −80.2 |
| Joe | −238.4 | −228.0 | −111.5 | −101.1 | −123.4 | −113.0 | −38.0 | −27.6 | −44.1 | −33.6 |
| Gaussian | −340.0 | −329.6 | −216.6 | −206.4 | −232.1 | −221.7 | −183.8 | −173.4 | −173.6 | −163.1 |
| Student’s t | −324.4 | −314.0 | −170.1 | −159.7 | −227.9 | −217.4 | 160.0 | −149.6 | −163.6 | −153.1 |
| Galambos | −322.2 | −311.6 | −195.4 | −184.9 | −204.2 | −193.8 | −172.3 | −161.9 | −137.4 | −127.0 |
| Gumbel–Hougaard | −298.2 | −287.9 | −201.0 | −190.6 | −192.2 | −181.8 | −170.6 | −160.1 | −142.3 | −131.9 |
| Husler–Reiss | −300.5 | −290.0 | −182.9 | −172.4 | −209.7 | −199.3 | −114.7 | −104.3 | −106.2 | −95.8 |
| Mixed-model | −307.0 | −296.6 | −195.6 | −185.2 | −214.7 | −204.2 | −60.7 | −50.3 | −96.9 | −86.4 |
| Category | JJJ | SD | HN | AH | JS |
|---|---|---|---|---|---|
| No drought | <0.24 | <0.37 | <0.36 | <0.35 | <0.45 |
| Mild drought | 0.24–0.72 | 0.37–0.79 | 0.36–0.79 | 0.35–0.84 | 0.45–0.85 |
| Moderate drought | 0.72–0.90 | 0.79–0.95 | 0.79–0.95 | 0.84–0.97 | 0.85–0.98 |
| Severe drought | ≥0.90 | ≥0.95 | ≥0.95 | ≥0.97 | ≥0.98 |
Disclaimer/Publisher’s Note: The statements, opinions and data contained in all publications are solely those of the individual author(s) and contributor(s) and not of MDPI and/or the editor(s). MDPI and/or the editor(s) disclaim responsibility for any injury to people or property resulting from any ideas, methods, instructions or products referred to in the content. |
© 2025 by the authors. Licensee MDPI, Basel, Switzerland. This article is an open access article distributed under the terms and conditions of the Creative Commons Attribution (CC BY) license (https://creativecommons.org/licenses/by/4.0/).
Share and Cite
Mi, Q.; Huo, Z.; Li, M.; Zhang, L.; Kong, R.; Zhang, F.; Wang, Y.; Huo, Y. A Novel Transpiration Drought Index for Winter Wheat in the Huang-Huai-Hai Region, China: A Process-Based Framework Incorporating Improved Crop Water Supply–Demand Dynamics. Agronomy 2025, 15, 679. https://doi.org/10.3390/agronomy15030679
Mi Q, Huo Z, Li M, Zhang L, Kong R, Zhang F, Wang Y, Huo Y. A Novel Transpiration Drought Index for Winter Wheat in the Huang-Huai-Hai Region, China: A Process-Based Framework Incorporating Improved Crop Water Supply–Demand Dynamics. Agronomy. 2025; 15(3):679. https://doi.org/10.3390/agronomy15030679
Chicago/Turabian StyleMi, Qianchuan, Zhiguo Huo, Meixuan Li, Lei Zhang, Rui Kong, Fengyin Zhang, Yi Wang, and Yuxin Huo. 2025. "A Novel Transpiration Drought Index for Winter Wheat in the Huang-Huai-Hai Region, China: A Process-Based Framework Incorporating Improved Crop Water Supply–Demand Dynamics" Agronomy 15, no. 3: 679. https://doi.org/10.3390/agronomy15030679
APA StyleMi, Q., Huo, Z., Li, M., Zhang, L., Kong, R., Zhang, F., Wang, Y., & Huo, Y. (2025). A Novel Transpiration Drought Index for Winter Wheat in the Huang-Huai-Hai Region, China: A Process-Based Framework Incorporating Improved Crop Water Supply–Demand Dynamics. Agronomy, 15(3), 679. https://doi.org/10.3390/agronomy15030679

