Screening of Pre- and Post-Emergence Herbicides for Weed Control in Camelina sativa (L.) Crantz
Abstract
1. Introduction
2. Materials and Methods
2.1. Plant Materials and Herbicides Tested
2.2. Experimental Procedure
2.2.1. Experiment 1. Greenhouse Study for Screening Camelina-Safe Herbicides
2.2.2. Experiment 2. Field Study to Evaluate Weed Control Efficacy and Camelina Safety of the Selected Herbicides
Experimental Site, Design, and Field Management
Weed Control Efficacy and Camelina Yield
Camelina Seed Quality Evaluation
2.3. Statistical Analysis
3. Results
3.1. Greenhouse Study to Screen Camelina-Safe Herbicides
3.2. Field Study with Selected Pre- and Post-Emergence Herbicides
3.2.1. Weather Conditions During the Study Period
3.2.2. Weed Species and Abundance and Weed Control Efficiency
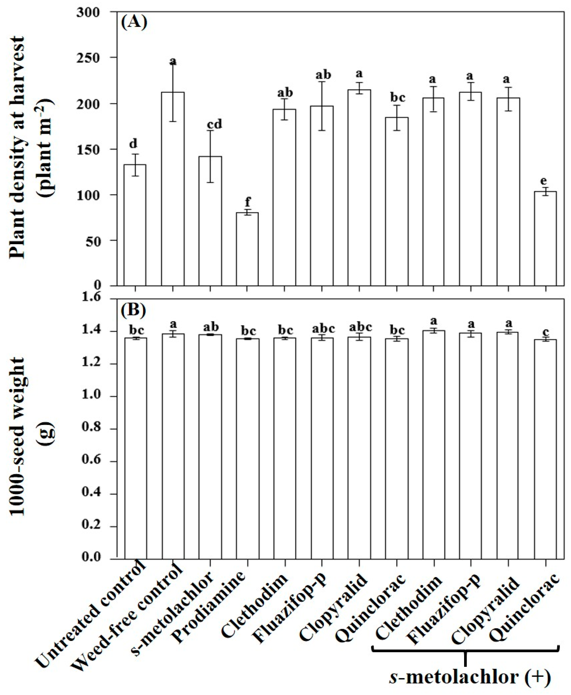
3.2.3. Camelina Plant Density, Seed, and Oil Yield Potential
3.2.4. Effect of Herbicide Treatments on Camelina Oil Quality
4. Discussion
4.1. Evaluation of Safe Herbicides for Camelina
4.2. Weed Control Efficiency, Camelina Yield, and Seed Oil Quality
5. Conclusions
Supplementary Materials
Author Contributions
Funding
Institutional Review Board Statement
Data Availability Statement
Acknowledgments
Conflicts of Interest
Abbreviations
| ACCase | Acetyl-CoA carboxylase; |
| ALS | Acetolactate synthase; |
| HPPD | 4-Hydroxyphenyl pyruvate dioxygenase; |
| IPP | Isopentenyl pyrophosphate (IPP) isomerase |
| MUFA/PUFA | Monounsaturated fatty acid/polyunsaturated fatty acid |
| PPO | Protoporphyrinogen-IX oxidase; |
| PSII | Photosystem II |
| UFA/SFA | Unsaturated fatty acid/saturated fatty acid |
References
- Berti, M.; Gesch, R.; Eynck, C.; Anderson, J.; Cermak, S. Camelina uses, genetics, genomics, production, and management. Ind. Crops Prod. 2016, 94, 690–710. [Google Scholar] [CrossRef]
- Vollmann, J.; Moritz, T.; Kargl, C.; Baumgartner, S.; Wagentristl, H. Agronomic evaluation of camelina genotypes selected for seed quality characteristics. Ind. Crops Prod. 2007, 26, 270–277. [Google Scholar] [CrossRef]
- Zanetti, F.; Monti, A.; Berti, M.T. Challenges and opportunities for new industrial oil seed crops in EU-27: A review. Ind. Crops Prod. 2013, 50, 580–595. [Google Scholar] [CrossRef]
- Hunsaker, D.J.; French, A.N.; Clarke, T.R.; El-Shikha, D.M. Water use, crop coefficients, and irrigation management criteria for camelina production in arid regions. Lrrig. Sci. 2011, 29, 27–43. [Google Scholar] [CrossRef]
- Putnam, D.H.; Budin, J.T.; Field, L.A.; Breene, W.M. Camelina: A Promising Low Input Oilsee; Wiley: New Crops, NY, USA, 1993; p. 314. [Google Scholar]
- Zhang, C.-J.; Gao, Y.; Jiang, C.; Liu, L.; Wang, Y.; Kim, D.-S.; Yu, J.-L.; Yu, L.; Yu, F.; Fan, Y.; et al. Camelina seed yield and quality in different growing environments in northern China. Ind. Crops Prod. 2021, 172, 114071. [Google Scholar] [CrossRef]
- Du, S.; Li, X.; Yu, L.; Xu, M.; Zhang, H.; Zhang, H.; Zhang, H. Progress in characteristics and application of Camelina sativa L. China Oils Fats 2018, 43, 108–111, (In Chinese with English abstract). [Google Scholar]
- Zhang, M. High-yielding cultivation technology of Camelina sativa L. in Heyin. Rural. Econ. Technol. 2012, 12, 123. (In Chinese) [Google Scholar]
- Ghidoli, M.; Pesenti, M.; Colombo, F.; Nocito, F.F.; Pilu, R.; Araniti, F. Camelina sativa (L.) Crantz as a promising cover crop species with allelopathic potential. Agronomy 2023, 13, 2187. [Google Scholar] [CrossRef]
- Neupane, D.; Lohaus, R.H.; Solomon, J.K.Q.; Cushman, J.C. Realizing the potential of Camelina sativa as a bioenergy crop for a changing global climate. Plants 2022, 11, 772. [Google Scholar] [CrossRef]
- Obour, K.A.; Sintim, H.Y.; O’bend, E.; Jeliazkov, V.D. Oilseed camelina (Camelina sativa L. Crantz): Production systems, prospects and challenges in the USA great plains. Adv. Plants Agric. Res. 2015, 2, 00043. [Google Scholar] [CrossRef]
- Jha, P.; Stougaard, R.N. Camelina (Camelina sativa) tolerance to selected preemergence herbicides. Weed Technol. 2013, 27, 712–717. [Google Scholar] [CrossRef]
- Rizzitello, R.; Zhang, C.J.; Auer, C. Camelina (Camelina sativa L. Crantz) crop performance, insect pollinators, and pollen dispersal in the Northeastern US. BioRxiv 2019. [Google Scholar] [CrossRef]
- Jiang, Y.; Caldwell, C.D. Effect of nitrogen fertilization on camelina seed yield, yield components, and downy mildew infection. Can. J. Plant Sci. 2016, 96, 17–26. [Google Scholar] [CrossRef]
- Leclère, M.; Jeuffroy, M.-H.; Butier, A.; Chatain, C.; Loyce, C. Controlling weeds in camelina with innovative herbicide-free crop management routes across various environments. Ind. Crops Prod. 2019, 140, 111605. [Google Scholar] [CrossRef]
- Lenssen, A.W.; Iversen, W.M.; Sainju, U.M.; Caesar-TonThat, T.C.; Blodgett, S.L.; Allen, B.L.; Evans, R.G. Yield, pests, and water use of durum and selected crucifer oilseeds in two-year rotations. Agron. J. 2012, 104, 1295–1304. [Google Scholar] [CrossRef]
- Anderson, R.L. A multi-tactic approach to manage weed population dynamics in crop rotations. Agron. J. 2005, 97, 1579–1583. [Google Scholar] [CrossRef]
- Nath, C.P.; Singh, R.G.; Choudhary, V.K.; Datta, D.; Nandan, R.; Singh, S.S. Challenges and alternatives of herbicide-based weed management. Agronomy 2024, 14, 126. [Google Scholar] [CrossRef]
- Enjalbert, J.; Johnson, J. Guide for Producing Dryland Camelina in Eastern Colorado; Colorado State University Extension: Fort Collins, CO, USA, 2011. [Google Scholar]
- Sobiech, L.; Grzanka, M.; Kurasiak–Popowska, D.; Radzikowska, D. Phytotoxic effect of herbicides on various camelina [Camelina sativa (L.) Crantz] genotypes and plant chlorophyll fluorescence. Agriculture 2020, 10, 185. [Google Scholar] [CrossRef]
- Gao, Y.; Jiang, C.; Zhang, Y.; Liu, L.; Wang, Y.; Kim, D.S.; Yue, J.; Diao, J.; Wu, N.; Chen, M.; et al. Agronomic performance of camelina genotypes selected for seed yield and quality characteristics in eastern China. Ind. Crop. Prod. 2022, 184, 115007. [Google Scholar] [CrossRef]
- Martinelli, T.; Galasso, I. Phenological growth stages of Camelina sativa according to the extended BBCH scale. Ann. Appl. Biol. 2011, 158, 87–94. [Google Scholar] [CrossRef]
- Xu, Z.; Zhou, G. Identification and Control of Common Weeds; Springer: Dordrecht, The Netherlands, 2022. [Google Scholar]
- R Core Team. R: A Language and Environment for Statistical Computing; R Foundation for Statistical Computing: Vienna, Austria, 2016; Available online: https://www.R-project.org/ (accessed on 10 March 2024).
- Anderson, J.V.; Bigger, B.B.; Howatt, K.; Mettler, J.; Berti, M.T. Weed pressure, nutrient content, and seed yield in field grown sulfonylurea–resistant Camelina sativa and Brassica napus. Agronomy 2022, 12, 2622. [Google Scholar] [CrossRef]
- Walsh, D.T.; Babiker, E.M.; Burke, I.C.; Hulber, S.H. Camelina mutants resistant to acetolactate synthase inhibitor herbicides. Mol. Breeding 2012, 30, 1053–1063. [Google Scholar] [CrossRef]
- Hulbert, S.H.; Craine, W.; Pan, W.L. Registration of WA-HT1, a camelina line with resistance to residual levels of ALS inhibitor herbicides. J. Plant Regist. 2018, 12, 253–256. [Google Scholar] [CrossRef]
- Zhou, Q.; Liu, W.; Zhang, Y.; Liu, K. Action mechanisms of acetolactate synthase-inhibiting herbicides. Pestic. Biochem. Phys. 2007, 89, 89–96. [Google Scholar] [CrossRef]
- Battaglino, B.; Grinzato, A.; Pagliano, C. Binding properties of photosynthetic herbicides with the QB site of the D1 protein in plant photosystem II: A combined functional and molecular docking study. Plants 2021, 10, 1501. [Google Scholar] [CrossRef]
- Leal, J.F.L.; Borella, J.; dos Santos Souza, A.; Langaro, A.C.; de Moura Carneiro, R.; de Souza da Silva, G.; de Oliveira Junior, F.F.; De Souza, F.R.; Machado, A.F.L.; De Pinho, C.F. Photosystem II- and photosystem I-inhibitor herbicides-driven changes in the dynamics of photosynthetic energy dissipation of Conyza spp. Acta Physiol. Plant 2023, 45, 94. [Google Scholar] [CrossRef]
- Ryan, M.R.; Smith, R.C.; Mirsky, S.B.; Mortensen, D.A.; Seidel, R. Management filters and species traits: Weed community assembly in long–term organic and conventional systems. Weed Sci. 2010, 58, 265–277. [Google Scholar] [CrossRef]
- Schumacher, M.; Dieterich, M.; Gerhards, R. Effects of weed biodiversity on the ecosystem service of weed seed predation along a farming intensity gradient. Glob. Ecol. Conserv. 2020, 24, e01316. [Google Scholar] [CrossRef]
- Varanasi, A.; Prasad, P.V.V.; Jugulam, M. Impact of climate change factors on weeds and herbicide efficacy. Adv. Agron. 2016, 135, 107–146. [Google Scholar] [CrossRef]
- Fleenor, R.A. Plant Guide for Camelina (Camelina sativa); USDA-Natural Resources Conservation Service: Spokane, WA, USA, 2011; p. 99201. [Google Scholar]
- James, W.; Peter, D.; Ray, D. Weed Control and the Use of Herbicides in Sesame Production in Herbicides Theory and Applications Edited by Soloneski and Larramendy; InTech: Houston, TX, USA, 2011. [Google Scholar] [CrossRef]
- Bhowmik, P.C.; Bingham, S.W. Preemergence activity of dinitroaniline herbicides used for weed control in cool-season turfgrasses. Weed Technol. 1990, 4, 387–393. [Google Scholar] [CrossRef]
- Song, D.; Jiang, X.; Wang, D.; Fang, S.; Zhou, H.; Kong, F. From the effective herbicide to the environmental contaminant: A review of recent studies on quinclorac. Environ. Exp. Bot. 2022, 193, 104706. [Google Scholar] [CrossRef]
- Abramovič, H.; Abramn, V. Physico-chemical properties, composition and oxidative stability of Camelina sativa oil. Food Technol. Biotech. 2005, 43, 63–70. Available online: https://hrcak.srce.hr/file/162699 (accessed on 20 November 2024).
- Eidhin, D.N.; Burke, J.; Beirne, D. Oxidative stability of ω3-rich camelina oil and camelina oil-based spread compared with plant and fish oils and sunflower spread. J. Food Sci. 2006, 68, 345–353. [Google Scholar] [CrossRef]
- Kurasiak-Popowska, D.; Ryńska, B.; Stuper-Szablewska, K. Analysis of distribution of selected bioactive compounds in Camelina sativa from seeds to pomace and oil. Agronomy 2019, 9, 168. [Google Scholar] [CrossRef]
- Mondor, M.; Hernández-Álvarez, A.J. Camelina sativa composition, attributes, and applications: A review. Euro. Fed. Lipid 2021, 124, 2100035. [Google Scholar] [CrossRef]
- Zubr, J. Oil-seed crop: Camelina sativa. Ind. Crops Prod. 1997, 6, 113–119. [Google Scholar] [CrossRef]
- Bodnar, V.R.; Lofton, R.; Manuchehri, M.R.; Zander, A.D. Impact of late-season herbicide applications on winter canola yield and seed quality. Agrosyst. Geosci. Environ. 2019, 2, 180053. [Google Scholar] [CrossRef]
- Pilla, T.P.; Galon, L.; Brandler, D.; Bianchessi, F.; Tonin, R.J.; Toni, J.R.; Forte, C.T.; Vargas, L. Physical, physiological and sanitary quality of canola seeds after the application of maturing herbicides. J. Agric. Sci. 2020, 8, 721. [Google Scholar] [CrossRef]
- Bellaloui, N.; Smith, J.R.; Ray, J.D.; Mengistu, A.; Gillen, A.M.; Fisher, D.K.; Singh, G. Responses of seed yield, quality, and composition to the harvest-aid paraquat in soybean grown in Mississippi. Agrosyst. Geosci. Environ. 2022, 5, e20262. [Google Scholar] [CrossRef]
- Bradley, C.A.; Hartman, G.L.; Wax, L.M.; Pedersen, W.L. Quality of harvested seed associated with soybean cultivars and herbicides under weed-free conditions. Plant Dis. 2002, 86, 1036–1042. [Google Scholar] [CrossRef]
- Nainwal, R.; Saxena, S.C. Effect of herbicides on plant growth and seed yield and quality of soybean (Glycine max L. Merr.). Environ. Conserv. J. 2023, 24, 77–82. [Google Scholar] [CrossRef]
- Salisbury, P.A.; Potter, T.D.; Gurung, A.M.; Mailer, W.M.; Tei, W.F. Potential impact of weedy Brassicaceae species on oil and meal quality of oilseed rape (canola) in Australia. Weed Res. 2018, 58, 200–209. [Google Scholar] [CrossRef]
- Canadian Food Inspection Agency (CFIA). 2021. Available online: https://active.inspection.gc.ca/english/plaveg/pbrpov/cropreport/caml/app00011240e.shtml (accessed on 1 January 2024).
- Walsh, K.D.; Hills, M.J.; Martin, S.L.; Hall, L.M. Pollen-mediated gene flow in Camelina sativa (L.) Crantz. Crop Sci. 2015, 55, 196–202. [Google Scholar] [CrossRef]
- Zhang, C.-J.; Auer, C. Hybridization between Camelina sativa (L.) Crantz and common Brassica weeds. Ind. Crop. Prod. 2020, 147, 112240. [Google Scholar] [CrossRef]
- Zhang, C.-J.; Kim, D.-S.; Jiang, C.; Mahoney, J.; Liu, B.; Wang, Y.; Gao, Y.; Zhang, Y.; Sun, S.; Fan, J.; et al. Hourly pollen dispersal of Camelina sativa (L.) Crantz under different weather conditions and mitigation of wind-blown pollen dispersal using maize barrier. Ind. Crop. Prod. 2021, 162, 113318. [Google Scholar] [CrossRef]
- Mallory-Smith, C.; Hall, L.M.; Burgos, N.R. Experimental methods to study gene flow. Weed Sci. 2015, 63, 12–22. [Google Scholar] [CrossRef]





| Herbicide | CAS No. | Formulation a | Standard Application Dose (g a.i. ha−1) | Mode of Action | Manufacturer |
|---|---|---|---|---|---|
| Oxyfluorfen | 42874-03-3 | EC (240 g L−1) | 144 | Protoporphyrinogen-IX-Oxidase (PPO) | NanTong Jiahe Chemicals Co., Ltd., Nantong, China |
| Clomazone | 81777-89-1 | CS (360 g L−1) | 648 | Isopentenyl pyrophosphate (IPP) isomerase | FMC (Shanghai) Chemical Technology Co., Ltd., Shanghai, China |
| s-metolachlor | 87392-12-9 | EC (960 g L−1) | 1440 | Cell division | Hefei Xingyu Chemical Co., Ltd., Hefei, China |
| Pendimethalin | 40487-42-1 | EC (330 g L−1) | 990 | Microtubule assembly | Rotam CropSciences Ltd., Tianjin, China |
| Prodiamine | 29091-21-2 | WG (65%) | 780 | Microtubule assembly | Oriental (Luzhou) Agrochemical Co., Ltd., Luzhou, China |
| Flumetsulam | 98967-40-9 | WG (80%) | 1212 | Acetolactate Synthase (ALS) | Zhengzhou Lawngreen Biotechnology Co., Ltd., Zhengzhou, China |
| Bentazon | 25057-89-0 | AS (480 g L−1) | 1080 | Photosystem II (PSII) | BASF Crop Protection (Jiangsu) Co., Ltd., Nantong, China |
| Clethodim | 99129-21-2 | EC (120 g L−1) | 63 | Acetyl-CoA carboxylase (ACCase) | Innovation Meiland (Hefei) Co., Ltd., Hefei, China |
| Quizalofop-p-ethyl | 94051-08-8 | EC (10%) | 90 | ACCase | Hubei Best Agricultural Chemical Co., Ltd., Suizhou, China |
| Haloxyfop-p | 95977-29-0 | EC (108 g L−1) | 48.6 | ACCase | Jiangsu Flag Chemical Industry Co., Ltd., Nanjing, China |
| Fluazifop-p | 83066-88-0 | EC (15%) | 67.5 | ACCase | Wuhan Wulong pesticide Co., Ltd., Wuhan, China |
| Mesotrione | 104206-82-8 | OD (10%) | 225 | 4-Hydroxyphenyl pyruvate dioxygenase (HPPD) | Shandong Vicome Greenland Chemical Co., Ltd., Jinan, China |
| Fomesafen | 72178-02-0 | AS (250 g L−1) | 562.5 | PPO | Hubei Best Agricultural Chemical Co., Ltd., Suizhou, China |
| Clopyralid | 1702-17-6 | SG (75%) | 101.3 | Synthetic auxin | Shandong Huimin Vanda Biological Technology Co., Ltd., Jinan, China |
| Quinclorac | 84087-01-4 | WP (50%) | 225 | Synthetic auxin | Anhui Province Shengdan Biochemical Co., Ltd., Anqing, China |
| Benazolin-ethyl | 25059-80-7 | SC (30%) | 225 | Synthetic auxin | Jiangsu Futian Agrochemical Co., Ltd., Nanjing, China |
| Nicosulfuron | 111991-09-4 | OD (40 g L−1) | 42 | ALS | Hebei Green Agricultural Science and Technology Group Co., Ltd., Cangzhou, China |
| Halosulfuron-methyl | 100784-20-1 | WG (75%) | 33.8 | ALS | Jiangsu Agrochem Laboratory Co., Ltd., Changzhou, China |
| Bispyribac-sodium | 125401-92-5 | WP (20%) | 45 | ALS | Shanghai Hulian Biopharmaceutical Co., Ltd., Shanghai, China |
| Pyrazosulfuron-ethyl | 93697-74-6 | WP (10%) | 22.5 | ALS | Qiqihar Tianfeng Chemical Co., Ltd., Qiqihar, China |
| Florasulam | 145701-23-1 | SC (50 g L−1) | 3.8 | ALS | Zhangye Dagong PesticideChemistry Co., Ltd., Zhangye, China |
| Imazethapyr | 81385-77-5 | AS (5%) | 75 | ALS | Shandong Cynda Chemical Co., Ltd., Jinan, China |
| Year of Study | Source of Variation | Significant Level Determined by p Value | ||||||||
|---|---|---|---|---|---|---|---|---|---|---|
| Greenhouse study (2019–2020) | Visual efficacy | Plant height | Seed yield per plant | Biomass per plant | ||||||
| DF | F values | p | F values | p | F values | p | F values | p | ||
| Camelina genotype (CG) | 1 | >1020 | ** | 98 | *** | 15 | ** | 24 | *** | |
| Treatment (T) | 66 | >1020 | *** | 3080 | *** | 168 | *** | 362 | *** | |
| CG × T | 66 | >1020 | ** | 48 | ** | 7 | ** | 11 | ** | |
| Residual | 268 | – | – | – | – | |||||
| Field study (2020–2022) | Final plant density | 1000-seed weight | Seed yield ha−1 | Oil content | ||||||
| DF | F values | p | F values | p | F values | p | F values | p | ||
| Year (Y) | 1 | 133.5 | NS | 2.9 | NS | 126.3 | *** | 187.6 | * | |
| Treatment (T) | 11 | 354.2 | *** | 7.2 | NS | 86.4 | *** | 46.9 | *** | |
| Y × T | 11 | 297.8 | * | 23.2 | ** | 234.2 | *** | 3.5 | NS | |
| Residual | 48 | – | – | – | – | |||||
| Weed Species | Family | Life Form | Abundance (%) of Individual Weed | Mean (%) | |
|---|---|---|---|---|---|
| 2021 | 2022 | ||||
| Crabgrass [Digitaria sanguinalis (L.) Scop.] | Poaceae | Annual | 50.2% (31) | 51.7% (37.0) | 50.6% |
| Common vetch (Vicia sativa L.) | Fabaceae | Annual | 10.3% (6.3) | 17.3% (12.7) | 13.8% |
| Shepherd’s purse [Capsella bursa-pastoris (L.) Medik.] | Brassicaceae | Annual | 14.4% (9.0) | 6.1% (4.7) | 10.2% |
| False cleavers (Galium spurium L.) | Rubiaceae | Annual | 10.0% (6.3) | 3.8% (2.7) | 6.9% |
| Sticky chickweed (Cerastium glomeratum L.) | Caryophyllaceae | Annual | 6.1% (4.0) | 10.2% (7.3) | 8.2% |
| Birdeye speedwell (Veronica persica Poir.) | Plantaginaceae | Annual | 4.3% (3.0) | 0 (0) | 2.1% |
| Annual fleabane [Erigeron annuus (L.) Pers.] | Asteraceae | Annual | 2.0% (1.3) | 0 (0) | 1.0% |
| Carolina geranium (Geranium carolinianum L.) | Geraniaceae | Annual | 1.6% (1.0) | 7.8% (5.7) | 4.6% |
| Sun spurge (Euphorbia helioscopia L.) | Euphorbiaceae | Annual | 1.5% (1.0) | 0 (0) | 0.8% |
| Chinese mugwort (Artemisia argyi Levl. et Vant.) | Asteraceae | Perennial | 0 | 3.1% (2.3) | 1.5% |
| Treatment | Principal Fatty Acid Concentration (%) | UFA/SFA Ratio | MUFA/PUFA Ratio | |||||||
|---|---|---|---|---|---|---|---|---|---|---|
| C18:1 | C18:2 | C18:3 | C20:1 | C22:1 | SFA | MUFA | PUFA | |||
| Untreated control | 13.67 d | 21.34 c | 32.03 de | 10.29 ab | 1.71 b | 11.68 b | 26.33 b | 57.73 a | 6.83 a | 0.48 a |
| Weed-free control | 14.03 bcd | 22.45 b | 33.09 a | 10.28 ab | 2.01 ab | 11.96 ab | 26.85 ab | 58.19 a | 7.20 a | 0.49 a |
| s-metolachlor | 14.36 abcd | 22.18 b | 32.68 abc | 10.98 ab | 1.91 ab | 11.88 ab | 26.82 ab | 57.46 a | 7.24 a | 0.48 a |
| Prodiamine | 14.65 abc | 22.26 b | 32.17 cd | 10.93 ab | 1.98 ab | 12.04 ab | 27.49 a | 57.71 a | 7.22 a | 0.49 a |
| Clethodim | 14.22 abcd | 22.11 b | 32.91 ab | 10.58 ab | 1.96 ab | 12.49 a | 27.58 a | 57.41 a | 7.37 a | 0.48 a |
| Fluazifop-p | 14.32 abcd | 23.4 a | 32.61 abc | 11.29 a | 2.08 a | 11.98 ab | 27.17 ab | 58.41 a | 7.26 a | 0.48 a |
| Clopyralid | 14.29 abcd | 22.19 b | 32.36 bcd | 10.49 b | 1.94 ab | 12.64 a | 27.13 ab | 57.83 a | 6.77 a | 0.47 a |
| Quinclorac | 13.87 cd | 21.02 c | 31.44 e | 10.37 b | 1.96 ab | 12.21 ab | 27.18 ab | 57.54 a | 7.06 a | 0.48 a |
| s-metolachlor + clethodim | 14.2 abcd | 22.19 b | 31.93 de | 10.77 ab | 1.91 ab | 12.41 ab | 26.78 ab | 57.77 a | 7.21 a | 0.49 a |
| s-metolachlor + fluazifop-p | 14.46 abcd | 22.12 b | 32.81 abc | 10.93 ab | 1.94 ab | 12.26 ab | 26.75 ab | 57.98 a | 7.29 a | 0.48 a |
| s-metolachlor + clopyralid | 14.85 a | 22.14 b | 32.27 bcd | 10.59 ab | 1.93 ab | 12.21 ab | 27.28 ab | 58.03 a | 7.15 a | 0.48 a |
| s-metolachlor + quinclorac | 14.07 bcd | 21.98 b | 31.84 de | 10.52 ab | 1.92 ab | 12.27 ab | 26.99 ab | 57.18 a | 6.99 a | 0.49 a |
| Mean across treatments | 14.25 | 22.12 | 32.42 | 10.66 | 1.94 | 12.17 | 26.97 | 57.76 | 7.12 | 0.48 |
Disclaimer/Publisher’s Note: The statements, opinions and data contained in all publications are solely those of the individual author(s) and contributor(s) and not of MDPI and/or the editor(s). MDPI and/or the editor(s) disclaim responsibility for any injury to people or property resulting from any ideas, methods, instructions or products referred to in the content. |
© 2025 by the authors. Licensee MDPI, Basel, Switzerland. This article is an open access article distributed under the terms and conditions of the Creative Commons Attribution (CC BY) license (https://creativecommons.org/licenses/by/4.0/).
Share and Cite
Dai, S.-Z.; Wang, Y.; Yook, M.-J.; Wu, H.-Z.; Chen, M.; Zhang, C.-J. Screening of Pre- and Post-Emergence Herbicides for Weed Control in Camelina sativa (L.) Crantz. Agronomy 2025, 15, 640. https://doi.org/10.3390/agronomy15030640
Dai S-Z, Wang Y, Yook M-J, Wu H-Z, Chen M, Zhang C-J. Screening of Pre- and Post-Emergence Herbicides for Weed Control in Camelina sativa (L.) Crantz. Agronomy. 2025; 15(3):640. https://doi.org/10.3390/agronomy15030640
Chicago/Turabian StyleDai, Si-Zhe, Yawen Wang, Min-Jung Yook, Hui-Zhen Wu, Min Chen, and Chuan-Jie Zhang. 2025. "Screening of Pre- and Post-Emergence Herbicides for Weed Control in Camelina sativa (L.) Crantz" Agronomy 15, no. 3: 640. https://doi.org/10.3390/agronomy15030640
APA StyleDai, S.-Z., Wang, Y., Yook, M.-J., Wu, H.-Z., Chen, M., & Zhang, C.-J. (2025). Screening of Pre- and Post-Emergence Herbicides for Weed Control in Camelina sativa (L.) Crantz. Agronomy, 15(3), 640. https://doi.org/10.3390/agronomy15030640

