Next Article in Journal
A Dirigent Gene, ZmDIR11, Positively Regulates Drought Tolerance in Maize
Previous Article in Journal
Ecosystem Responses of Jerusalem Artichoke (Helianthus tuberosus L.) in Alpine Desert Environments in Northeastern Qinghai, Tibet Plateau, China
 
 
Font Type:
Arial Georgia Verdana
Font Size:
Aa Aa Aa
Line Spacing:
Column Width:
Background:
Article

Integrated Management of Water, Nitrogen, and Genotype Selection for Enhanced Wheat Productivity in Moroccan Arid and Semi-Arid Regions

1
Laboratory of Agrifood and Health, Faculty of Sciences and Techniques, Hassan First University of Settat, Settat 26000, Morocco
2
Research Unit of Plant Breeding and Genetic Resources Conservation, Regional Center of Agricultural Research of Settat, National Institute of Agricultural Research, Settat 26000, Morocco
*
Author to whom correspondence should be addressed.
Agronomy 2025, 15(3), 612; https://doi.org/10.3390/agronomy15030612
Submission received: 13 July 2024 / Revised: 3 August 2024 / Accepted: 5 August 2024 / Published: 28 February 2025
(This article belongs to the Section Water Use and Irrigation)

Abstract

Bread wheat (Triticum aestivum L.) is essential global nutrition as it provides calories and protein. This study explored the impact of irrigation, environmental factors, nitrogen fertilization, and genotype selection on yield. The experimental stations of Afourar and Sidi El Aidi in Morocco, six bread wheat varieties and varying irrigation systems, were used with varying nitrogen fertilization rates (0, 60, and 120 kg/ha for rainfed and 0, 100, and 200 kg/ha for irrigated conditions). Results showed that the variety ‘Snina’ had the highest yields and biomass, with a 58% yield increase at 120 kg/ha nitrogen under rainfed, and a 28% increase at 100 kg/ha under irrigated conditions. Irrigation significantly enhanced yield and its components. Combined with 100 kg/ha nitrogen fertilization, significant yield improvements were observed across all varieties under irrigated conditions, notably ‘Malika’ with a 32% increase and ‘Kharouba’ with a 24% increase. These varieties also show strong resilience to water stress, making them suitable for regions with variable water availability. Nitrogen fertilization efficiency is influenced by weather and site-specific variability. This study underscores the importance of integrated management strategies, including variety selection, nitrogen application, and environmental conditions, to optimize bread wheat production and ensure agricultural sustainability in the Mediterranean.

1. Introduction

Drought management is a highly relevant global problem. Bread wheat (Triticum aestivum L.) is an essential source of calories and proteins, and plays a crucial role in global nutrition. Adapted to the Mediterranean climate, characterized by dry summers and wet winters, common wheat plays a significant role in agricultural systems and food security in Morocco [1,2,3]. This crop is particularly prominent in the regions of Gharb, Saïss, and Haouz, where favorable agro-climatic conditions and advanced agricultural practices contribute to high yields [1,2,3,4].
Bread wheat (Triticum aestivum L.) cultivation is of paramount importance in the semi-arid regions of Morocco, as it covers a significant area and contributes to national food security. Approximately 1.5 million hectares are dedicated to bread wheat cultivation, representing a substantial proportion of the country’s agricultural land [5]. In these regions, irregular rainfall and frequent drought periods pose major challenges to wheat production. In response, farmers have adopted optimized agricultural practices, such as using drought-resistant wheat varieties and efficient irrigation techniques, such as drip irrigation, applying approximately 50 to 60 mm of water per irrigation cycle [6].
With water resources being limited, average annual rainfall of 200 to 400 mm is insufficient to meet crop water needs, leading to a significant decline in groundwater levels of more than 0.5 m per year in some areas [7]. Groundwater accounts for approximately 50% of the total irrigation water supply, providing significant economic benefits and playing a crucial role in supporting local livelihoods [8]. The application of fertilizers, particularly nitrogen, is also essential for stabilizing production and improving crop resilience. However, inefficient nitrogen management can lead to leaching losses, contributing to water pollution and greenhouse gas emissions [9]. Nitrogen (N) management in wheat cultivation through crop modeling and irrigation methods is crucial for optimizing water consumption and nitrogen application, thus enabling efficient resource use [10,11]. Research conducted in China has shown that optimal nitrogen fertilization rates not only increase yields, but also improves nitrogen use efficiency under various climatic conditions [12]. Furthermore, different nitrogen management practices significantly affect greenhouse gas emissions and wheat yields in conservation agriculture systems, with integrated nitrogen management reducing emissions while maintaining high yields [13]. Optimized management practices can enhance agronomic and environmental outcomes in arid regions through adequate irrigation and nitrogen fertilization [14]. Nitrogen (N), along with water supply and other nutrients such as phosphorus, is a critical factor limiting agricultural productivity. Applying nitrogen fertilizers is the most effective method increasing nitrogen accumulation in plants. The yield and quality of wheat grains strongly depend on nitrogen availability and uptake. High yields of high-quality grains can only be achieved with high nitrogen uptake rates [15,16]. Among the nutrients applied to crops, nitrogen is typically the most expensive for growers [17]. Over the past five decades, the external application of mineral nitrogen fertilizers has increased sevenfold, whereas agricultural food production has only doubled [18]. Unabsorbed nitrogen can be lost to water and the atmosphere, contributing to water pollution and greenhouse gas emissions [19,20,21,22,23,24,25,26,27,28,29]. Enhancing nitrogen use efficiency (NUE) in wheat not only reduces costs for growers but also addresses environmental issues associated with nitrogen runoff and denitrification in wheat-growing regions [21].
Genetic selection plays a crucial role in developing of more nitrogen-efficient varieties; however, achieving this objective remains a challenge. Breeding programs to date have aimed not only to improve wheat crop yields but also enhance nitrogen use efficiency (NUE) [23]. Environmental factors, such as light, temperature, and water supply, significantly influence wheat grain yield response to nitrogen fertilizer application [24]. These variables, which vary across sites and years, play crucial roles in the response of wheat genotypes to nitrogen fertilizer application [25]. Additionally, soil parameters, including water retention capacity and soil type, influence wheat grain yields [26]. The positive correlation between high nitrogen application rates and soil moisture highlights the importance of water for optimal wheat production. Variations in soil water-holding capacity, such as in sandy and clay soils, significantly affect wheat grain yield by influencing water availability to plants throughout the growing season [27].
Wheat plants have developed several adaptive mechanisms to survive drought. These mechanisms include the accumulation of osmolytes such as proline, which helps maintain the osmotic balance of plant cells. Stomatal closure is another key response that reduces water loss via transpiration. Wheat roots can also grow deeper to access groundwater reserves, and significant new variations in root architecture related to grain production have been detected in Moroccan varieties [28]. Additionally, leaves may develop thicker cuticles to reduce evaporation [29,30].
Drought negatively affects several essential physiological processes in wheat. Photosynthesis is often reduced because of stomatal closure, which limits CO2 entry. Additionally, water stress can lead to a decrease in chlorophyll content and alter the chloroplast structure, thereby reducing photosynthetic efficiency. Oxidative stress is another major consequence of the accumulation of free radicals, which damage cell membranes, proteins, and DNA [31,32,33].
Environmental factors are crucial in selecting wheat genotypes adapted to various soil and climatic conditions while maintaining good to moderate yields and efficient nitrogen use. However, researchers must also address the challenges posed by climate change, which affects nitrogen fertilization. Heat and drought are the primary obstacles to wheat yield [34]. Additionally, extreme weather events such as floods, storms, and extreme temperatures significantly impact wheat production and pose substantial challenges for agriculture [35,36,37].
To evaluate crop variety yields, it is essential to consider genetic variability (G), environmental factors (E) such as climate (including annual variability), and geography, as well as farm management of nitrogen fertilizer (N). The combination of these factors and their interactions (G × E × N) determines sustainable and secure crop yields [38]. To date, wheat breeding programs have focused on addressing challenges related to yield potential, quality, and stress tolerance, both biotic and abiotic, through the development of predominantly higher-yielding varieties [38]. We hypothesize that increased nitrogen fertilization and irrigation practices will synergistically enhance the yield and biomass production of selected wheat varieties.
This study aims to evaluate the effect of irrigation, environmental factors, nitrogen fertilization, and genotype on wheat yield, biomass production, and yield components. It seeks to comprehensively understand the complex interactions between these factors. Over two years (2019–2021), this research was conducted under two irrigation systems: irrigated and rainfed. We focused on six Moroccan varieties of bread wheat: three new varieties (“Snina”, “Kharouba”, and “Malika”) and three older cultivars (“Achtar”, “Amal”, and “Arrehane”). The objectives of this study were: (i) to evaluate the impact of irrigation on bread wheat yield, (ii) to analyze the effect of nitrogen fertilization on productivity and assess the performance of different varieties, and (iii) to determine the influence of environmental factors and study the interactions between genotypes, nitrogen fertilization, and environmental conditions in both irrigation systems.

2. Materials and Methods

This study employed a split-plot design with three replications for each irrigation system and each year. The factors examined included environment (year and experimental site), nitrogen fertilization, varieties, and the irrigation system. The objective of this study is to comprehensively assess the effects of irrigation, environmental conditions, nitrogen fertilization, and genotype on the yield and productivity of bread wheat. This evaluation aimed to develop optimized agricultural strategies that maximize production while ensuring sustainable resource use in Mediterranean regions.

2.1. Research Sites and Climatic Conditions

This study was conducted over two years, 2019/2020 and 2021/2022, at two experimental stations affiliated with the National Institute of Agricultural Research (INRA) in Morocco. The research focused on assessing the performance of two irrigation systems: irrigated and rainfed (Figure 1).
Table 1 presents a comprehensive overview of the geographical data, ecosystem types, and two-year precipitation trends for the INRA experimental stations analyzed in our study. It compiles crucial environmental information for the period of the investigation. These data are essential for understanding the local conditions and climatic variations that may have affected the results of our research, especially concerning precipitation fluctuations and the types of ecosystems present at the experimental sites.

2.2. Experimental Setup

The experimental design used was a split-plot with two factors: nitrogen treatment (N) in the main plots and variety (V) in the subplots. Nitrogen factor had three levels: N1 = 0 kg/ha, N2 = 60 kg/ha, and N3 = 120 kg/ha in the rainfed experiment, and N1 = 0 kg/ha, N2 = 100 kg/ha, and N3 = 200 kg/ha in the irrigated system, while considering the different nitrogen absorption capacities under rainfed and irrigated conditions. To meet the irrigation requirements, the total amount of water required ranged from 450 to 650 mm, adjusted according to specific climatic conditions and the recorded precipitation during the growing seasons, with three supply of 90 mm for both sites over the two years. Irrigation allows for better nutrient uptake, thus justifying higher nitrogen rates. Six different varieties were tested in the subplots. Each experimental setup was replicated three times. A summary of the variety characteristics is provided in Table 2.

2.3. Plot Characteristics and Agricultural Practices

The experimental plots covered an area of 6 m2, measuring 5 m in length and 1.20 m in width. To ensure optimal growing conditions, standard agronomic practices such as soil preparation and regular weeding were implemented throughout the growing season. Fertilizers based on ammonium nitrate (33.5% N) and urea (46% N) were applied in two stages. The elementary plots received 33% of the total nitrogen at the tillering stage as ammonium nitrate and 67% at the stem extension stage as urea (ratio 3:7). Before soil analysis, a uniform application of NPK (15-1515) base fertilizer was applied to all plots to ensure adequate baseline nutrition. Application rates were adjusted based on a soil analysis to ensure a targeted nutrient supply. Adhering to USA legislative limits, the EU and other relevant countries.
Seeds were sown at a density of 350 g/m2 in mid-November using a Wintersteiger plot seeder. The row spacing was 20 cm and the planting depth was 3.5 cm, following the recommended planting dates for the two regions under study. Planting dates were carefully chosen to manage pests and avoid the peak of the Hessian fly cycle, with manual weeding conducted to control weed competition. Harvesting took place at the end of June each year, marking the conclusion of the annual growth cycle.

2.4. Statistical Analysis

Statistical analysis was performed using GenStat 14th Edition software. An analysis of variance (ANOVA) was conducted to investigate the effects of variety, nitrogen, environment, and their interactions on the measured variables in the two irrigation systems. For graphical representations, such as bar charts and box plots, we used the R software version 4.3.2.
Additionally, the “metan” tool was used for correlation analysis [39]. And principal component analysis was conducted using the R package version 1.0.7 “factoextra” to gain a deeper insight into how variations impact the characteristics under study [40].

3. Results

3.1. Combined Impact of Genotype, Environment and Nitrogen on the Productivity of Moroccan Bread Wheat under Different Irrigation Systems

The combined ANOVA analysis (Table 3) reveals that the performance characteristics of Moroccan bread wheat, including biomass, yield, thousand-kernel weight, number of spikes, and number of grains, are significantly influenced (p ≤ 0.001) by multiple factors. These factors include varieties, environments (site and years), nitrogen dose, and their interactions under both rainfed and irrigated conditions. This highlights the necessity of thoroughly understanding these factors to optimize production.
A significant observation concerns the interaction between genotypes and nitrogen doses. In the rainfed system, there is a highly significant difference (p ≤ 0.001) for biomass, number of grains and number of spikes, while no significant difference was detected in yield and thousand-kernel weight. In the irrigated system, significant differences were observed for yield (p < 0.01) and number of grains per square meter (p < 0.01). Additionally, a significant difference was observed for thousand-kernel weight (p < 0.05), although no significant difference was noted in yield. This suggests that the response of bread wheat varieties to nitrogen application can vary depending on water availability, highlighting the complexity of genotype-environment interactions.
In both systems, the interaction between genotypes and nitrogen doses revealed a significant difference for biomass in the irrigated system (p ≤ 0.001), but not in the rainfed system. Yield showed a significant difference in the irrigated system (p < 0.01), but not in the rainfed system. Thousand-kernel weight showed a significant difference in the irrigated system (p < 0.05), but not in the rainfed system. The number of spikes showed a significant difference in the irrigated system (p ≤ 0.001), but not in the rainfed system. Finally, the number of grains (exhibited significant differences in both systems (p ≤ 0.001 in irrigated and p < 0.01 in rainfed). This finding has practical implications for nitrogen management, emphasizing the necessity of tailored management strategies based on environmental conditions.
Similarly, the interaction between genotypes and environments showed a significant difference in biomass, yield, number of spikes, and number of grains in both systems (p ≤ 0.001). However, the thousand-kernel weight did not show a significant difference in either system. Understanding these genotype-environment interactions is crucial for selecting varieties adapted to specific agro-climatic regions, thereby maximizing yield potential and resource use efficiency.
The results of this study (Table 3) show that the interactions between genotypes, environments, and nitrogen doses significantly influence the agronomic performance of Moroccan bread wheat. In the rainfed system, significant differences were observed for biomass (p ≤ 0.001), yield (p ≤ 0.001), number of spikes (p ≤ 0.001), number of grains (p ≤ 0.001), and thousand-kernel weight (p < 0.05). In the irrigated system, only biomass and the number of grains showed significant differences (p ≤ 0.001). These results underscore the importance of adapting nitrogen management strategies based on specific environmental conditions to optimize production. Understanding these interactions is crucial for choosing varieties adapted to different agro-climatic regions, thereby maximizing yield potential and resource use efficiency.

3.2. Genotypic Effects on Yield and Yield Components

During the two-year research period from 2019/2020 and 2020/2021, a significant upward trend was observed: new varieties’ yields were generally higher than that of older ones (Table 3). Among the studied varieties, ‘Snina’ exhibited a notable biomass production, yielding 2340 kg/ha and 5490 kg/ha in rainfed and irrigated systems, respectively, and producing biomasses of 7570 kg/ha and 15,370 kg/ha, respectively. ‘Malika’ and ‘Kharouba’ also achieved impressive results. ‘Malika’ yields were 1940 kg/ha in the rainfed system and 4930 kg/ha in the irrigated system, with biomasses of 6500 kg/ha and 13,240 kg/ha, respectively. Similarly, ‘Kharouba’ produced yields of 1790 kg/ha in the rainfed system and 4450 kg/ha in the irrigated system, with biomasses of 5670 kg/ha and 12,130 kg/ha under the respective conditions. These results underscore the potential of newer and moderately recent varieties to enhance agricultural production.
Additionally, older varieties such as ‘Arrehane’, ‘Achtar’, and ‘Amal’ also demonstrated competitive performance. For instance, ‘Arrehane’ yields were 1610 kg/ha and 4100 kg/ha in rainfed and irrigated systems, respectively, with biomasses of 5150 kg/ha and 10,740 kg/ha. ‘Achtar’ produced yields of 1430 kg/ha and 3660 kg/ha, with biomasses of 4530 kg/ha and 9800 kg/ha under the same conditions. ‘Amal’ also produced respectable yields of 1170 kg/ha and 3180 kg/ha, with biomasses of 3700 kg/ha and 8500 kg/ha.
Overall, all varieties averaged a biomass of 5520 kg/ha in rainfed conditions and 11,630 kg/ha in irrigated conditions, with average yields of 1710 kg/ha in rainfed conditions and 4290 kg/ha in irrigated conditions. These results underscore the importance of new varieties in enhancing agricultural productivity while recognizing the enduring value of older varieties under specific conditions.
Moreover, the analysis of grain size through thousand-kernel weight is a crucial measure for evaluating crop quality. In this study, the variance analysis revealed a highly significant difference between varieties (p ≤ 0.001) under both irrigated and rainfed conditions. This indicates that the observed variations in TKW are influenced by differences between the varieties themselves.
Among the examined varieties, ‘Snina’ emerged as the best performer in terms of TKW, displaying the highest values in both systems, with 34.9 g in the rainfed system and 43.7 g in the irrigated system. These results suggest that ‘Snina’ produces larger grains compared to the other varieties evaluated. In contrast, ‘Amal’ had the lowest TKW among the examined varieties, measuring 27.9 g in rainfed conditions and 34.3 g in irrigated conditions. Although this may indicate lower performance in terms of grain size for ‘Amal’, the TKW analysis highlights significant differences between the studied varieties. ‘Snina’ stands out as the variety with the largest grains, while ‘Amal’ shows comparatively smaller grain size performance.
Analysis of variance also reveals significant variability among grains for the performances of different varieties in terms of the number of spikes per square meter (spikes/m2) under both natural precipitation and irrigated conditions (p ≤ 0.001). The variety ‘Achtar’ stands out by displaying the highest number of spikes per square meter under natural precipitation (599 spikes/m2), while under irrigation, the variety ‘Snina’ had the highest value (794 spikes/m2). Conversely, ‘Snina’ exhibits the lowest number of spikes under rainfed conditions, with 333 spikes/m2, while under irrigation, the variety ‘Amal’ had the lowest number of spikes, with 502 spikes/m2. Additionally, the average plant density across all varieties is significantly higher under irrigation (626 spikes/m2) than under natural no irrigation (450 spikes/m2).
Regarding grains per square meter, the variety ‘Amal’ showed the highest productivity under rainfed conditions, yielding the most grains per square meter at 4974 grains/m2, while ‘Snina’ achieved the highest yield under irrigation with 13,676 grains/m2. In contrast, the variety ‘Malika’ exhibited the lowest number of grains per square meter, recording 4130 grains/m2 under rainfed conditions, while ‘Amal’ had the lowest grains/m2 under irrigation with 7874 grains/m2. Across all varieties and treatments, the average grainsm2 was 5226 grains per square meter under rainfed conditions and 11,197 grains per square meter under irrigation.
The significant difference between rainfed and irrigated conditions suggests that water availability is a factor in determining the productivity of these varieties. The high performance of ‘Snina’ under irrigation and the poor performance of ‘Malika’ and ‘Amal’ under rainfed conditions indicate that some varieties are more dependent on additional water for optimum growth. It underscores the importance of selecting appropriate varieties, based on local water availability and irrigation practices, in order to obtain the best possible yields. These results underline the need to adopt targeted agricultural practices and allocate resources to improve crop productivity under variable environmental conditions.

3.3. Effect of Nitrogen on Yield and Yield Components

The analysis results revealed a significant impact of nitrogen on two key aspects of trial production: yield and its components. Across crops grown under both rainfed and irrigated conditions, nitrogen exhibited a significant effect on yield and its components (p ≤ 0.001) (Table 3). These findings underscore the crucial importance of nitrogen for these parameters.
Under rainfed conditions, application of 120 kg/ha of nitrogen resulted in the highest yield, reaching 2430 kg/ha, whereas no nitrogen application led to the lowest yield of only 1210 kg/ha. For the irrigated trial, the maximum yield was achieved following the application of 100 kg/ha of nitrogen, reaching 4690 kg/ha, while the minimum yield was observed without nitrogen application, at 3950 kg/ha.
Additionally, nitrogen also demonstrated a significant effect on biomass production. In the rainfed treatment, the application of 120 kg/ha of nitrogen resulted in the highest biomass, averaging 7000 kg/ha, whereas no nitrogen application led to the lowest biomass of 4250 kg/ha. In the irrigated treatment, the highest biomass was observed with 100 kg/ha of nitrogen, averaging 12,710 kg/ha, while the absence of nitrogen resulted in reduced biomass, averaging 10,670 kg/ha.
Additionally, the thousand-kernel weight showed significant differences between nitrogen rates in both systems. For crops under rainfed conditions, applying 120 kg/ha of nitrogen resulted in the highest thousand-kernel weight of 32.3 g, whereas without nitrogen, it was lowest at 30.2 g. In irrigated conditions, applying 100 kg/ha of nitrogen resulted in the highest TKW of 46.9 g, compared to the lowest TKW of 39.5 g observed without nitrogen.
Furthermore, the analysis of variance results indicated significant differences in the effect of nitrogen on the number of spikes per square meter (spikes/m2) in both cultivation systems. Under rainfed conditions, applying 120 kg/ha of nitrogen resulted in the highest number of spikes at 583 spikes/m2, while no nitrogen application led to the lowest number of spikes at 435 spikes/m2. In the irrigated treatment, applying 100 kg/ha of nitrogen resulted in the highest number of spikes at 717 spikes/m2 compared to 551 spikes/m2 without nitrogen.
Regarding grains per square meter, applying 120 kg/ha of nitrogen under rainfed conditions resulted in the highest number of grains per square meter at 5195 grains/m2, whereas the absence of nitrogen led to the lowest number of grains (3695 grains/m2). In irrigated conditions, applying 100 kg/ha of nitrogen resulted in the maximum number of grains (11,999 grains/m2), with a lower number observed without nitrogen application (10,482 NG/m2). Overall, the yields of different varieties under two irrigation regimes (rainfed and irrigated) and three levels of nitrogen fertilization levels (N0, N1, AND N2) consistently increased with higher nitrogen doses, indicating a positive response to fertilization.
Under rainfed conditions, yields increased proportionally with nitrogen dose for all varieties, reaching maximum values with N2 (Figure 2). The most notable increases were observed in the Kharouba (1408 kg/ha) and Achtar (1174 kg/ha) varieties. In contrast, under irrigated conditions, although overall yields were higher, a trend of nutrient saturation was observed with high nitrogen doses, as evidenced by yield decreases between N1 and N2 for the Amal (reduction of 805 kg/ha) and Achtar (reduction of 470 kg/ha) varieties. Snina exhibited the largest yield difference between rainfed and irrigated conditions (3088.3 kg/ha), indicating a strong dependence on irrigation and a high sensitivity to water stress. Malika closely followed with a yield difference of 3011.0 kg/ha. In contrast, Achtar and Amal show less pronounced increases (2279.4 kg/ha and 2011.7 kg/ha, respectively), indicating a certain tolerance to water stress. These Figure 2a,b underscore the importance of tailored irrigation management and nitrogen application strategies to optimize yields, while considering varietal specificities and water availability.

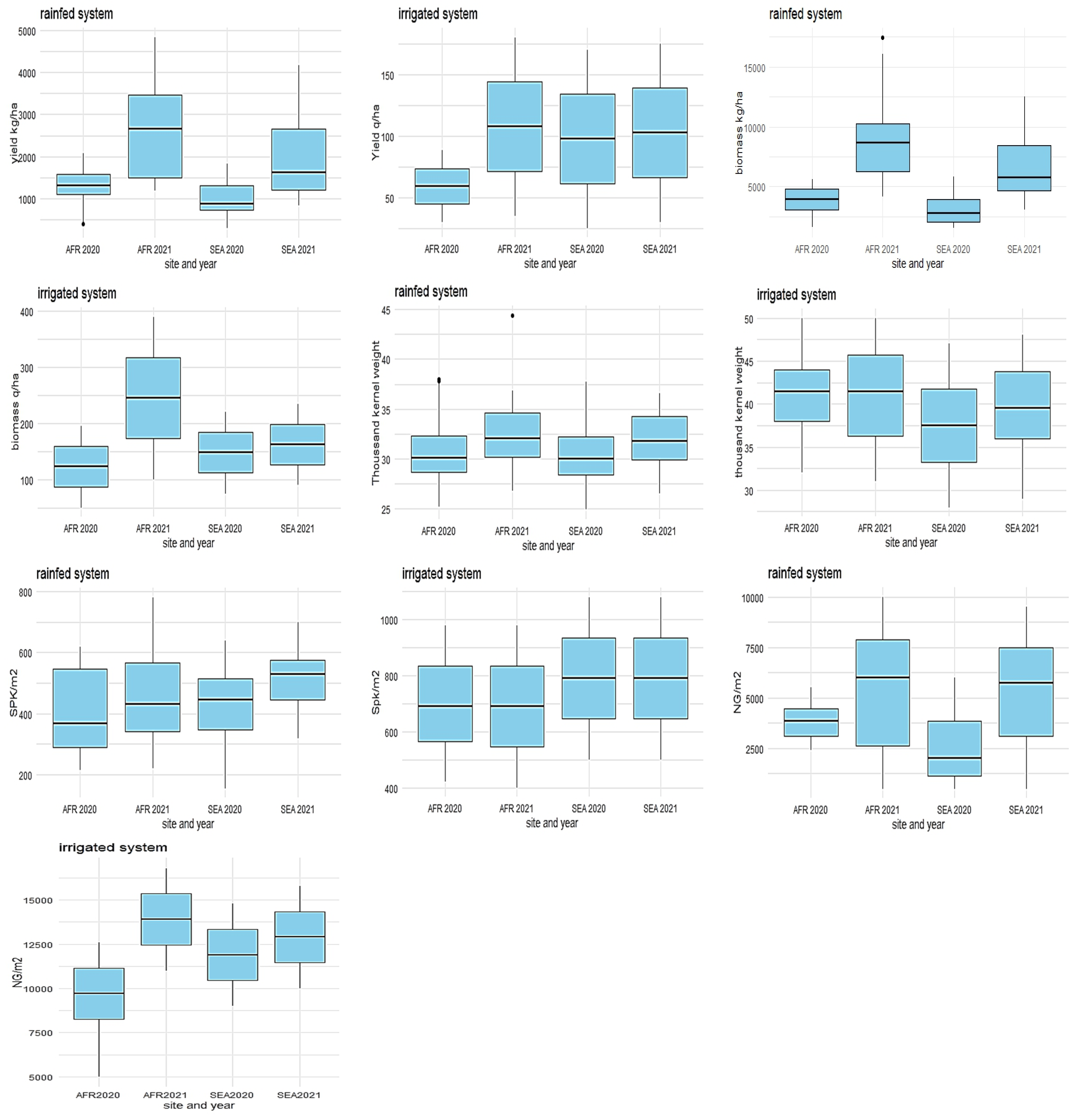
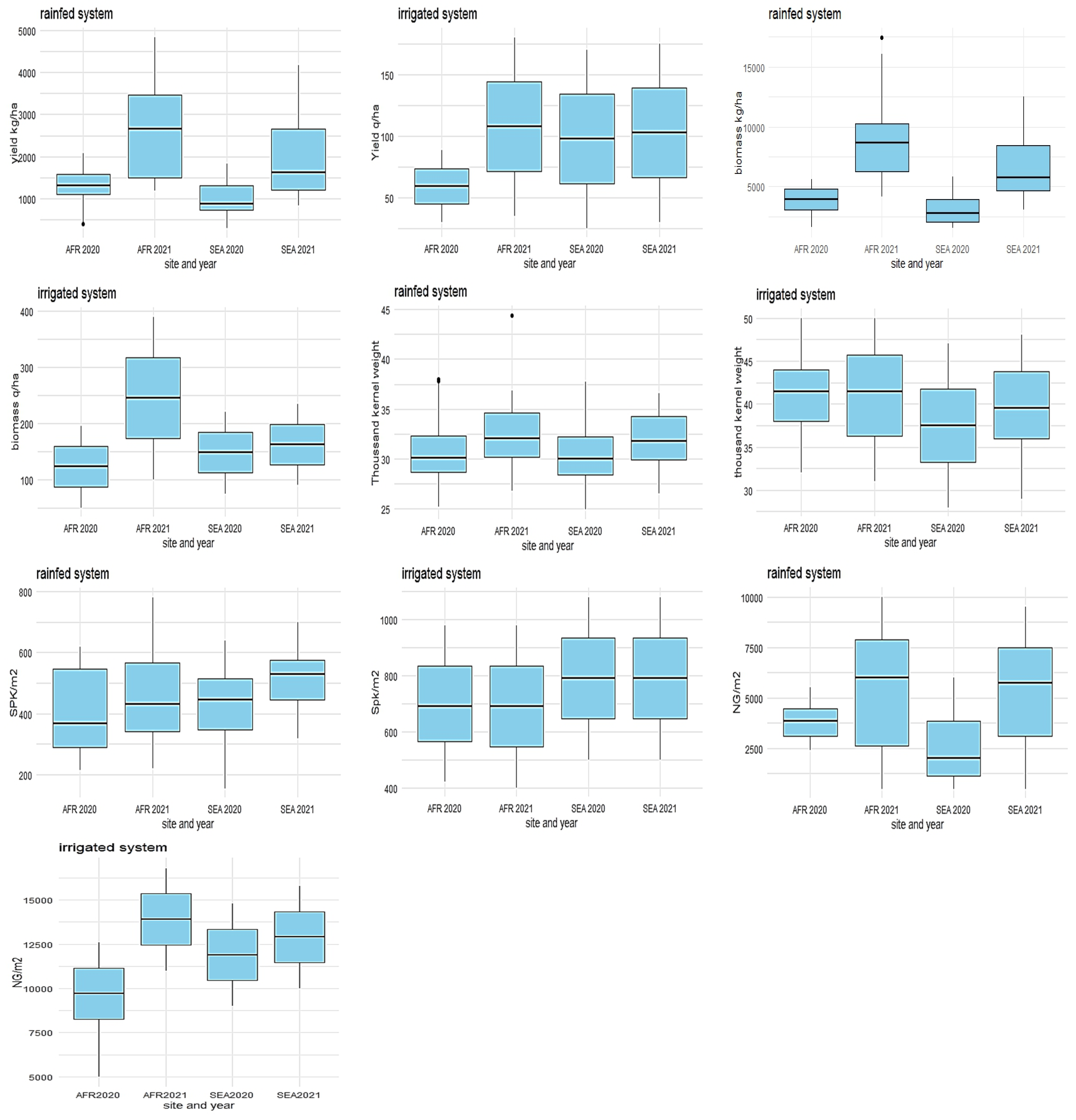
3.4. Effect of Environment (Site × Year) on Biomass, Yield, and Components

The results from the rainfed and irrigated systems at the experimental stations Afourar (AFR) and Sidi El Aidi (SEA) between 2019 and 2021 reveal significant differences in yields and variability. The data indicated consistently higher median yields in the irrigated system compared to the rainfed system across all studied years and sites (Table 3 and Figure 3).
In the rainfed system at the AFR experimental station, median yields increased from 1500 kg/ha in 2020 to 3000 kg/ha in 2021, showing a notable improvement. Specifically, data for AFR were 1300 kg/ha in 2020 and 3650 kg/ha in 2021, indicating an increasing trend. Similarly, at the SEA experimental station, median yields in the rainfed system were 1000 kg/ha in 2020 and 2000 kg/ha in 2021. Specifically, results for SEA were 2580 kg/ha in 2020 and 5190 kg/ha in 2021, demonstrating significant variability but overall increasing yields.
For the irrigated system, median yields were more stable and higher, increasing from 3500 kg/ha in 2020 to 5000 kg/ha in 2021 at the AFR station, and from 3500 kg/ha in 2020 to 4500 kg/ha in 2021 at the SEA station. Specifically, yields for AFR were 3690 kg/ha in 2021 and 1010 kg/ha in 2020, slightly lower than the observed medians but indicating improvement. Furthermore, for SEA, yields were 1960 kg/ha in 2020 and 4650 kg/ha in 2021, showing a significant increase.
In addition to yields, several other agronomic parameters were measured and compared. Biomass was generally higher at the AFR station compared to SEA for both years, with a significant increase observed between 2020 and 2021 at both sites. For instance, at Afourar, biomass increased from 3870 kg/ha in 2020 to 8530 kg/ha in 2021, while at Sidi El Aidi, it increased from 3010 kg/ha in 2020 to 6660 kg/ha in 2021.
Moreover, the thousand-kernel weight (TKW) shows an increasing trend between 2020 and 2021 at both sites, with the highest values observed at AFR in 2021 at 141.1 g. Specifically, TKW at Afourar increased from 99.7 g in 2020 to 141.1 g in 2021, and at Sidi El Aidi, it increased from 101.8 g in 2020 to 122.6 g in 2021.
Additionally, the number of spikes per square meter (spikes/m2) remained relatively stable between years, with a slight increase observed in 2021 at both sites. The highest values were recorded at AFR in 2021 with 593 spikes/m2. Specifically, at Afourar, the number of spikes increased from 442 spikes/m2 in 2020 to 593 spikes/m2, showing an increase from 442 spikes/m2 in 2020. Similarly, at Sidi El Aidi, spikes increased from 440 spikes/m2 in 2020 to 587 spikes/m2 in 2021.
Finally, a general trend of increasing grains per square meter (grains/m2) was observed between 2020 and 2021. The highest values were recorded at SEA in 2021 with 4924 grains/m2, while at AFR, it increased from 4340 grains/m2 in 2020 to 4987 grains/m2 in 2021.

3.5. Comparative Analysis of Wheat Varieties under Varied Nitrogen Application Rates: Two-Year Study in Rainfed and Irrigated Systems

In the rainfed system, which depends on precipitation, our research focused on evaluating the performance of different wheat varieties under various nitrogen application levels. This approach allowed us to understand how these varieties respond to fluctuations in rainfall and soil moisture, providing insights into their adaptability to climate change.

3.5.1. Effect of Nitrogen Fertilization and Wheat Varieties in the Rainfed System (2019–2020)

The 2019–2020 study examined the effect of nitrogen fertilization (N0, N1, AND N2) and wheat varieties (Achtar, Amal, Arrehane, Kharouba, Malika, and Snina) on several agronomic parameters: biomass, grain yield, thousand-kernel weight, number of spikes per square meter and number of grains per square meter.
First, the results (Table 4) demonstrate that nitrogen fertilization significantly influences all parameters. Biomass increased from 2780 kg/ha without nitrogen to 4380 kg/ha with 120 kg/ha of nitrogen. Grain yield increased from 890 kg/ha without nitrogen to 1550 kg/ha with 120 kg/ha. TKW increased from 29.1 g without nitrogen to 31.7 g with 120 kg/ha. The number of spikes per m2 increased from 355 to 532, and the grains/m2 from 3 125 to 3 904, with all these differences being significant.
Next, the wheat varieties exhibited diverse performances. Particularly, Snina, showed high values of biomass and grain yield, reaching 5160 kg/ha and 1750 kg/ha, respectively, with 120 kg/ha of nitrogen. TKW varied from 25.80 g for Amal without nitrogen to 36.5 g for Snina with 120 kg/ha. Arrehane had the highest number of spikes with 695 spikes/m2 under 120 kg/ha. The differences between varieties were significant (Table 4).
Moreover, the interaction between variety and fertilization did not show significant differences for most parameters, suggesting a similar response to fertilization among the varieties (Table 4).
In conclusion, increasing the nitrogen dose resulted in a significant increase in biomass, grain yield, TKW, and the number of spikes per square meter. Snina and Malika stood out due to their high performances. With the consistent effect of fertilization across all varieties, these results are crucial for optimizing agricultural practices and maximizing wheat productivity.

3.5.2. Effect of Nitrogen Fertilization and Wheat Varieties in the Rainfed System (2020–2021)

The 2020–2021 study continued to explore the effect of nitrogen fertilization (N0, N1, AND N2) and wheat varieties on various agronomic parameters. The results (Table 5) revealed a significant effect of nitrogen fertilization on all parameters. Biomass increased from 5670 kg/ha without nitrogen to 9790 kg/ha with 120 kg/ha. Grain yield increased from 1530 kg/ha without nitrogen to 3290 kg/ha with 120 kg/ha. TKW also increased from 31.0 g without nitrogen to 33.3 g with 120 kg/ha. The number of spikes per m2 increased from 413 to 549, and the number of grains per square meter from 3811 to 5767, with all these differences being statistically significant. Furthermore, the varieties exhibited diverse performances. Snina maintained high levels of biomass and yield, reaching 12,240 kg/ha and 4240 kg/ha, respectively, with 120 kg/ha. TKW varied from 27.0 g for Amal without nitrogen to 36.2 g for Snina with 120 kg/ha. The differences between the varieties were significant. Additionally, the interaction between variety and fertilization was not significant for most parameters, indicating a similar response among the varieties.
In conclusion, the results for 2020–2021 indicate that an increase in nitrogen application results in a significant increase in biomass, grain yield, TKW, and the number of spikes per square meter. Snina and Kharouba stood out for their high performances. With the consistent effect of fertilization across all varieties, these results are crucial for optimizing agricultural practices and maximizing wheat productivity.
In the irrigated system, which depends on a controlled water supply, our research shifted focus to evaluate the performance of various Moroccan bread wheat under different nitrogen application levels. This approach helped us understand how these varieties respond to fluctuations in water availability and soil moisture, providing valuable insights into their ability into their adaptation to changing climatic conditions.

3.5.3. Effect of Nitrogen Fertilization on Wheat Varieties’ Yield, and Grain Characteristics in an Irrigated System (2019–2020)

The analysis of data for the 2019–2020 agricultural year in an irrigated system revealed the effects of different nitrogen doses (N0, N1, AND N2) on six wheat varieties in terms of yield and their components (Table 6). Biomass showed a significant increase with higher nitrogen doses. For N0, the average biomass was 9250 kg/ha, which increased to 10,860 kg/ha under N1 and 10,130 kg/ha under N2. The Snina variety had the highest biomass values under all doses, reaching a peak of 13,340 kg/ha under N1. This increase in biomass is attributed to improved nitrogen availability, which promotes vegetative growth.
Grain yield also increased with nitrogen doses. The average yields were 3670 kg/ha for N0, 3910 kg/ha for N1, and 3720 kg/ha for N2. The varieties Malika and Snina showed particularly high yields, with Snina reaching 4570 kg/ha under N1 and 4420 kg/ha under N2. These results indicate that irrigation, combined with adequate nitrogen fertilization, optimizes grain production.
Thousand-kernel weight (TKW) varied among varieties and nitrogen doses. Average values were 36.3 g for N0, 39.8 g for N1, and 39.0 g for N2. The Snina variety exhibited the highest TKW across all nitrogen doses, reaching 45.7 g under N2. This suggests that higher nitrogen doses can improve grain quality by increasing their weight. The number of spikes per square meter showed significant variations among different varieties and nitrogen doses. Under N0, the average was 593 spikes/m2, increasing to 730 spikes/m2 under N1, and slightly decreasing to 652 spikes/m2 under N2. Varieties Amal and Malika showed the highest number of spikes, particularly under N1, suggesting a positive response to irrigation and nitrogen fertilization.
The number of grains per square meter also varied with nitrogen doses, with averages of 8842 grains/m2 for N0, 10,470 grains/m2 for N1, and 9811 grains/m2 for N2. The Amal variety exhibited notably high grain numbers across all nitrogen doses, reaching 12,565 grains/m2 under N1, highlighting its productivity under ideal irrigation and fertilization conditions.
Additionally, the analysis of variance revealed that the effects of nitrogen doses and varieties on the measured parameters (biomass, yield, TKW, spikes/m2, and grains/m2) were significant (p < 0.001), except for the variety × nitrogen interaction, which was not significant (ns). This indicates that while varieties and nitrogen doses individually have a significant impact on performance, their interactions did not show significant variations.

3.5.4. Impact of Nitrogen Fertilization on Wheat Varieties’ Yield, and Grain Characteristics in an Irrigated System (2020–2021)

The analysis of data for 2020–2021 in an irrigated system shows the impact of nitrogen doses (N0, N1, AND N2) on six wheat varieties (Achtar, Amal, Arrehane, Kharouba, Malika, and Snina) regarding biomass, yield, thousand-kernel weight, number of spikes per square meter (spikes/m2), and number of grains per square meter (grains/m2). Increasing nitrogen significantly improves biomass, yield, and TKW. The average biomass increased from 12,290 kg/ha (N0) to 14,430 kg/ha (N1), with N2 showing a statistically significant difference at 128.3 kg/ha, despite no significant difference between N1 and N3. Grain yield increased from 4460 kg/ha (N0) to 5440 kg/ha (N1) and 4850 kg/ha (N2). Snina and Malika showed the best performances, with Snina reaching the highest values. The TKW varied from 37.3 g (N0) to 39.8 g (N1) and 38.2 g (N2), with Snina display the highest values. The number of spikes also increased with nitrogen, reaching 819 spikes/m2 (N1). The number of grains per square meter increased to 13.418 grains/m2 (N1), with Snina showing the best performance. The analysis of variance showed significant effects of nitrogen dose and variety, but not their interaction (Table 7).

3.6. Correlation Analysis: Yield, Yield Components

The Pearson correlation matrices for irrigated and rainfed systems (Figure 4) reveal interesting differences and similarities in the factors influencing yield.
In both systems, biomass exhibits a very strong positive correlation (R = 0.88; p ≤ 0.001) with yield, underscoring its importance as a key indicator of increased yields regardless of irrigation conditions. This robust relationship can be attributed to biomass effectively reflecting the overall health and productivity of crops.
Additionally, thousand-kernel weight shows a moderate positive correlation with yield in both systems (R = 0.55 in irrigated and R = 0.51 in non-irrigated) with (p ≤ 0.001). This highlights that heavier grains are associated with better yields, emphasizing the critical role of grain quality in achieving high yields. However, this correlation is slightly weaker in the non-irrigated system, possibly due to water stress conditions impacting grain development and maturation.
The number of spikes per square meter and the number of grains per square meter (NG) behave differently depending on the system. In the irrigated system, spikes shows a low positive correlation with yield (R = 0.33; p ≤ 0.001), suggesting that a higher number of spikes can positively influence overall yield. However, this correlation is negligible in the non-irrigated system (R = 0.18), indicating that under water stress conditions, the number of spikes per unit area has minimal impact on yield.
Similarly, NG demonstrates a weak but significant correlation with yield in the irrigated system (R = 0.33; p ≤ 0.001) and a moderate correlation in the non-irrigated system (R = 0.40; p ≤ 0.001). This implies that in the absence of irrigation, the number of grains per spike becomes a more crucial determinant of yield. Under water stress, a plant’s ability to increase the number of grains per spike can compensate for the reduction in total spike count, thereby sustaining satisfactory yields.
In conclusion, while biomass remains the primary determinant of yield in both systems, the relative importance of thousand-kernel weight and the number of grains per spike varies with irrigation levels. Thousand-kernel weight retains significance in both systems, albeit with slightly diminished influence under water stress. Conversely, the number of grains per spike assumes greater importance in non-irrigated conditions, underscoring the need to tailor crop management strategies according to irrigation conditions to maximize yields.

3.7. Principal Component Analysis (PCA) of Agronomic Characteristics of Wheat under Rainfed and Irrigated Conditions

Principal component analysis conducted on the agronomic characteristics of wheat under rainfed conditions provides a comprehensive overview of the variance explained by each component, the correlations between variables, and the influence of different environments, varieties, and nitrogen doses (Figure 4).
The scree plot (Figure 5A) illustrates the variance explained by each principal component. The first principal component (Dim1) accounts for 59.6% of the total variance, followed by the second principal component (Dim2) with 22.4%. Together, these components capture 82% of the total variance, indicating their substantial explanatory power. The third, fourth, and fifth components contribute less to the variance, with 13.6%, 3%, and 1.4%, respectively.
In the correlation circle (Figure 5B), variables such as TKW (thousand-kernel weight), biomass, and yield exhibit strong correlations with Dim1, while NG (number of grains) and SPK (spikes) are more closely linked to Dim2. The length and direction of the vectors indicate the magnitude and direction of each variable’s contribution to the principal components.
The biplot (Figure 5C) illustrates how different environments (AFR 2020, AFR 2021, SEA 2020, SEA 2021) are distributed in the space of the first two principal components. AFR 2020 and AFR 2021 are closely grouped, indicating similar environmental conditions or responses, whereas SEA 2020 and SEA 2021 show greater dispersion, suggesting variability across these environments.
In the biplot (Figure 5D), different wheat varieties (Achtar, Amal, Arrehane, Kharouba, Malika, and Snina) are represented based on the first two principal components. Varieties such as Kharouba and Snina show significant differentiation along Dim1, while others are more clustered. The vectors indicate how variables like TKW, biomass, yield, NG, and SPK contribute to distinguishing between the varieties.
The biplot (Figure 5E) displays the distribution of nitrogen doses (N0, N1, AND N2) along the first two principal components. The N2 dose exhibits a distinct separation along Dim1, indicating a strong response of wheat varieties to higher nitrogen doses. Variables such as yield and biomass are prominently associated with Dim1, emphasizing their sensitivity to nitrogen levels.
These analyses provide a comprehensive understanding of how agronomic characteristics, environments, wheat varieties, and nitrogen levels interact and contribute to the variability observed in the dataset.
A scree plot (Figure 6A) illustrates the proportion of total variance explained by each principal component. The first principal component accounts for 57.3% of the total variance, followed by the second component at 28.1%. Together, these first two principal components capture 85.4% of the total data variance. This distribution indicates that the first two dimensions effectively summarize most of the information in the data, justifying their use in subsequent PCA analyses.
Figure 6B displays a correlation circle highlighting the contribution of different variables (TKW, biomass, yield, SPK, NG) to the first two principal components. Vectors representing TKW, biomass, and yield align in the same direction, indicating a strong positive correlation among these variables. The vectors for SPK and NG show positive and negative correlations, respectively, with the other variables. The cos2 plot confirms that all variables are well represented by the first two dimensions, underscoring their significance in the analysis.
Figure 6C presents a PCA biplot illustrating the distribution of samples based on environments (AFR 2020, AFR 2021, SEA 2020, and SEA 2021). The distinct environmental groups show minimal overlap, suggesting significant environmental impacts on the measured variables. SEA environments appear to exert a stronger influence on TKW, biomass, and yield, while AFR environments affect NG and SPK more prominently. This indicates that specific environmental conditions at each experimental station affect the measured parameters differently.
In Figure 6D, a PCA biplot represents various wheat varieties (Achtar, Amal, Arrehane, Kharouba, Malika, and Snina). The dispersion of varieties in the first two dimensions indicates considerable variability among them. Varieties like Achtar, Amal, Kharouba, and Snina show significant influence on TKW, biomass, and yield, whereas NG and SPK are influenced more by varieties such as Arrehane. This dispersion reflects the genetic and phenotypic diversity of the varieties in their response to the measured variables.
Figure 6E presents a PCA biplot for different nitrogen doses (N0, N1, AND N2). The overlapping groups corresponding to nitrogen doses suggest similar effects of different doses on the measured variables. Increasing nitrogen doses appears to promote biomass and yield production while potentially impacting other variables differently.
This comprehensive PCA analysis provides insights into how different variables, environments, wheat varieties, and nitrogen doses interact and contribute to the observed data variability.

4. Discussion

4.1. Influence of Irrigation on Yield and Its Components

Our study complements existing research by examining the influences of nitrogen fertilization levels, wheat varieties, and environmental factors (annual conditions and cultivation practices) on yield and its components.
Irrigation significantly improved the yield and biomass in our study. Modern bread wheat varieties, such as ‘Snina’ and ‘Malika’, exhibit substantial increases in yield under irrigation. These findings align with those of Mekonnen et al. [41] who reported significant yield improvements in crops under irrigation in semi-arid regions. The application of supplemental irrigation during critical growth stages, such as stem elongation and anthesis, has proven particularly beneficial, enhancing both yield and water productivity [42]. Li et al. [43] demonstrated that optimized irrigation practices enhance water use efficiency and drought resistance in wheat. Similarly, Zhang et al. [44] found that irrigation during key growth stages increases the number of spikes and thousand-kernel weight, contributing to higher overall yields. Kumar et al. [45] confirmed that regular irrigation mitigates the adverse effects of climate variability on wheat yield, especially in arid and semi-arid regions. Luo et al. [46] emphasized the importance of irrigation management in maximizing yield and maintaining production stability under water stress conditions. Chen et al. [47] also reported that the combination of irrigation and appropriate fertilization significantly improves plant growth and grain quality. The integration of cropping systems and irrigation methods can significantly influence water consumption, nitrogen fate, and crop yield. Specifically, in the North China Plain, different irrigation methods and cropping systems have shown varying effects on water use efficiency and nitrogen dynamics, underscoring the importance of tailored management practices for different regions and environmental conditions [10].

4.2. Genotype Selection and Nitrogen Application

Apart from irrigation, genotype selection and nitrogen application are pivotal factors in enhancing crop productivity. Recent studies indicate that modern wheat varieties demonstrate superior nitrogen utilization efficiency and higher yields compared to older varieties [48].
The results demonstrate that modern varieties, such as ‘Snina’, ‘Malika’, and ‘Kharouba’, exhibited higher nitrogen use efficiency and yields compared to older varieties like ‘Achtar’ and ‘Amal’. These conclusions are consistent with those of Xu et al. [23], who showed that modern wheat varieties possess improved mechanisms for nitrogen uptake and utilization, resulting in higher yields. The application of nitrogen had a significant impact on biomass, thousand-kernel weight, number of grains per square meter, and number of spikes per square meter, corroborating Hawkesford [49] on the importance of nitrogen for photosynthesis and protein synthesis.
Additionally, Li et al. [50] found that nitrogen fertilization enhanced physiological processes in wheat, leading to improved growth and yield. Zhao et al. [51] indicated that nitrogen application significantly increases the number of grains and spikes, which are critical yield components. Fischer et al. [52] demonstrated a positive correlation between the nitrogen use efficiency and grain yield in wheat.
Optimized nitrogen management practices are essential for maximizing wheat yield under varying environmental conditions [53]. The role of nitrogen in enhancing wheat resilience to abiotic stresses was highlighted by Zhang et al. [54]. The importance of genetic selection of nitrogen-efficient varieties to achieve sustainable wheat production [45].

4.3. Influence of the Environment on Yield and Its Components

Our study highlights the significant impact of the environment on yield and biomass. In the second year (2021), yields and their components exceeded those of the first year (2020), attributed to more favorable climatic conditions. Previous research underscores the critical role of climatic variables such as temperature, precipitation, and sunshine duration in crop growth and biomass production [55]. Additionally, significant variations were observed between sites, with Afourar (AFR) generally yielding higher than Sidi El Aidi (SEA) in 2021, likely due to microclimatic differences and soil fertility [56].

4.4. Interaction between Nitrogen Application Rate, Genotypes and Environment

The interaction between nitrogen application levels and genotypes revealed varied responses among genotypes to the applied nitrogen levels (Var × ND interaction). Genotypes such as ‘Snina’ and ‘Malika’ demonstrated higher responsiveness to increased nitrogen levels, significantly boosting biomass and yield under both irrigated and rainfed conditions. These findings are in line with those of Sylvester-Bradley and Kindred [57], who found that nitrogen use efficiency (NUE) varies significantly among genotypes and environmental conditions.
Further evidence supporting these results was provided by Foulkes et al. [58], who demonstrated that genotype-specific responses to nitrogen application can significantly influence yield and biomass production, emphasizing the importance of selecting appropriate genotypes for specific nitrogen management strategies. Gao et al. [59] also reported that environmental factors, such as soil moisture and temperature, interact with nitrogen application rates to affect wheat growth and productivity, corroborating our observations. Moreover, Muurinen et al. [60] highlighted the critical role of genotype-environment interactions in determining NUE, suggesting that breeding programs should focus on developing genotypes optimized for specific environmental conditions and nitrogen application regimes. Similarly, Gaju et al. [61] found that genotypes with higher NUE tended to perform better under diverse environmental conditions, reinforcing the need for targeted genotype selection. Hawkesford et al. [62], underscored the importance of integrating nitrogen management with genetic selection to enhance wheat yield and sustainability. Their research indicated that optimizing nitrogen use according to genotype-specific requirements can lead to significant improvements in yield and environmental sustainability.
The effectiveness of nitrogen application also varies with annual conditions and site-specific factors (ND × SY interaction), influenced by climatic variations and local soil characteristics. Higher yields and biomass in 2021 compared to 2020 are attributed to favorable climatic conditions, including adequate precipitation and optimal temperatures [63]. Additionally, AFR and SEA sites exhibit distinct performance differences, with AFR generally outperforming SEA, particularly in 2021. These variations underscore the need for adaptive fertilization strategies based on annual climate conditions and specific site attributes to optimize nitrogen use efficiency [21].
However, the performance of applied nitrogen is significantly enhanced under irrigation compared to rainfed conditions. Adequate water availability under irrigation ensures efficient nitrogen absorption, promoting higher biomass and yields compared to rainfed conditions. Nonetheless, applied nitrogen still demonstrates significant productivity improvements even under rainfed conditions, albeit with lower but observable yields and biomass compared to irrigated conditions [63].
The SY × Var interaction underscores how genotype-specific yield variations are influenced by site-specific conditions, annual variations, and irrigation status. Under irrigation, this interaction is more predictable and manageable, with maximum yields achieved when specific genotypes are cultivated in well-adapted sites with optimized nitrogen management each year [57]. For example, genotypes with high nitrogen use efficiency like Snina and Malika exhibit superior yields when managed under optimal nitrogen conditions. Irrigation stabilizes yields despite annual climate variations by ensuring consistent water availability and optimizing nitrogen uptake efficiency by plants [64,65].
Conversely, rainfed conditions introduce more variability in crop performance due to reliance on precipitation. Understanding and managing yield variations require careful consideration of interactions among sites, years, and genotypes. Drought-tolerant varieties such as Snina and Malika perform better under rainfed conditions when nitrogen applications are optimized for peak precipitation periods. Moderate nitrogen application can mitigate plant stress during dry years, highlighting the importance of flexible management strategies that adapt to variable climatic conditions [66,67].
The SY × Var interaction emphasizes the need for management strategies tailored to local conditions. Genotypes with moderate nitrogen use efficiency require precise management to achieve their full potential. In sites with fertile soils and stable precipitation, these genotypes can perform optimally with moderate nitrogen application. However, in less fertile soils or regions with irregular precipitation, intensive nitrogen management and the selection of stress-tolerant varieties are essential to avoid yield losses [21].
The SY × ND × Var interaction is crucial for understanding and optimizing crop performance across environments, particularly under irrigated and rainfed conditions observed at Afourar (AFR) and Sidi El Aidi (SEA) experimental stations. Under irrigation, optimizing nitrogen application according to specific sites and genotypes maximizes yields. Studies indicate that certain genotypes, such as Snina and Malika, respond favorably to higher nitrogen doses in well-irrigated conditions, promoting optimal growth and efficient nitrogen uptake [66]. For instance, at Afourar, where irrigation is well regulated, adjusting nitrogen doses stabilizes yields despite annual climate variations, enhancing nitrogen uptake and nutrient use efficiency by plants [64].
In rainfed conditions like those at Sidi El Aidi, nitrogen management and genotype selection become critical due to precipitation variability. Drought-tolerant varieties like Snina and Malika perform better when nitrogen doses are tailored to peak precipitation periods. During dry years, reducing nitrogen application can prevent excessive plant stress and optimize yield [45,46]. Flexible management practices that adjust annually are necessary to optimize nitrogen use efficiency and mitigate water stress risks due to annual precipitation variability [19,68].
The SY × ND × Var interaction underscores the importance of adapting management strategies to local conditions. In fertile sites with stable precipitation, genotypes like Snina, which possess moderate nitrogen use efficiency, can achieve optimal performance with specific nitrogen applications. However, in less fertile soils or regions with irregular precipitation, intensive nitrogen management and precise adjustments are essential to prevent yield losses [21,68].

4.5. Physiological Effects of Drought on Wheat

Drought significantly impacts several physiological processes in wheat, including photosynthesis, pigment content, and stomatal regulation. Under drought conditions, stomatal closure limits CO2 uptake, thereby reducing photosynthetic efficiency [31]. Additionally, chlorophyll degradation under water stress diminishes the plant’s ability to perform photosynthesis, increasing susceptibility to oxidative damage [69]. Chlorophyll loss, coupled with the accumulation of reactive oxygen species (ROS), results in cellular damage that adversely affects growth and productivity [70]. Drought-tolerant varieties exhibit more effective antioxidant mechanisms, thereby maintaining cellular integrity under water stress.
Moreover, drought affects the synthesis of photosynthetic pigments such as carotenoids, which play a crucial role in protecting against photooxidative damage [71]. Deeper and denser root systems in some varieties enhance water and nutrient uptake [28]. While the accumulation of compatible solutes like proline helps plants maintain cellular turgor under stress conditions [72]. Hormonal responses, particularly those involving abscisic acid (ABA), are vital in mediating stomatal closure and activating stress defense mechanisms [73]. Our observations, indicating reduced yield and biomass in varieties such as ‘Malika’ and ‘Amal’ under rainfed conditions, align with these physiological responses.

4.6. Correlation Analysis and Principal Component Analysis (PCA)

Pearson correlation matrices provide valuable insights into linear relationships between various agronomic variables under both irrigated and rainfed conditions. The high correlation between yield and biomass (R = 0.88) in both systems indicates that biomass is a critical determinant of yield, regardless of irrigation conditions. This finding aligns with previous research emphasizing biomass production as a key indicator of crop performance under favorable and water-stressed conditions [65,66,67,68,69,70,71,72,73,74].
There is a significant positive correlation between thousand-kernel weight (TKW) and yield in both systems (R = 0.51 under rainfed conditions and R = 0.55 under irrigated conditions). This relationship suggests that heavier grains contribute to higher yield, consistent with observations by [75], indicating that grain weight is a key factor in cereal productivity under both water stress and irrigation.
The correlation between the number of grains and yield varies between the two systems. The positive and significant correlation (R = 0.40) between the number of grains per square meter (NG) and yield under rainfed conditions observed in our study was comparable to the findings of Zhao et al. [76] and Raza et al. [33]. These studies also reported that an increase in the number of grains per spike could compensate for the reduction in the total number of spikes under water stress conditions. Fischer [77] demonstrated that variations in the number of grains per spike are strongly influenced by growth conditions, making this metric a good indicator of crop performance in water-limited environments. In contrast, under irrigated conditions, the correlation is slightly weaker (R = 0.33), suggesting that irrigation can modify the dynamics between the number of grains and yield, likely by enabling compensation between the number and weight of grains [78].
The correlation between spikes per square meter (SPK) and yield is significant under irrigation (R = 0.33) but not significant under non-irrigated conditions (R = 0.18). This indicates that the number of spikes plays a more important role in determining yield when water is not a limiting factor. These results suggest that under irrigation, the number of spikes can be a more reliable indicator of productivity [65].
Pearson correlation matrices reveal complex relationships between different agronomic variables under irrigated and rainfed conditions. Biomass emerges as a determining factor of yield in both conditions, while grain weight and the number of grains show variable relationships depending on water availability. These observations highlight the importance of adaptive crop management based on irrigation conditions to optimize yield.
Principal component analysis (PCA) shows that the first two principal components capture the majority of the variance in the data, with 82% under non-irrigated and 85.4% under irrigated conditions. This distribution suggests that the first two dimensions are sufficient to summarize most of the information in the data, justifying their use in subsequent PCA analyses [79,80].
The variety biplots illustrate the distribution of soft wheat varieties based on the first two principal components. Under rainfed conditions, the varieties “Kharouba” and “Snina” are particularly prominent on Dim1. Conversely, under irrigated conditions, the varieties “Achtar”, “Amal”, “Kharouba”, and “Snina” exhibit a strong influence on TKW, biomass, and yield. The vectors of the variables indicate their respective contributions: “yield” and “biomass” strongly affect Dim1, while “NG” and “SPK” have a greater impact on Dim2. This indicates significant genetic variability among the varieties, affecting their response to cultivation conditions and treatments [21,22,23,24,25,26,27,28,29,30,31,32,33,34,35,36,37,38,39,40,41,42,43,44,45,46,47,48,49,50,51,52,53,54,55,56,57,58,59,60,61,62,63].
The environment biplots illustrate the distribution of environments (AFR 2020, AFR 2021, SEA 2020, and SEA 2021). Under non-irrigated conditions, the environmental groups are distinct with minimal overlap. Under irrigated conditions, SEA environments strongly influence TKW, biomass, and yield, while AFR environments influence NG and SPK more. This highlights the impact of environmental conditions on variety performance [81,82].
The nitrogen dose biplots illustrate the distribution of nitrogen doses (N0, N1, AND N2). Under non-irrigated conditions, the groups corresponding to nitrogen doses exhibit similar effects on the measured variables, with some distinction for the N2 dose on Dim1. Under irrigated conditions, traits like TKW, biomass, and yield display a positive correlation with higher nitrogen doses, while NG is negatively correlated with these doses. This indicates that increasing nitrogen doses enhances biomass and yield production but may have adverse effects on other variables [21,64].
PCA revealed that the first two principal components explain most of the variance in the data, which is sufficient to capture the essential information. Different environments, varieties, and nitrogen doses distinctly influence the measured variables. Thousand-kernel weight (TKW), biomass, and yield variables are strongly correlated and influenced by specific conditions such as environment, variety, and nitrogen dose. These results highlight the importance of considering these factors when managing irrigated and rainfed systems to optimize yields and biomass production.

5. Conclusions

This paper provides a comprehensive study of the importance of integrated management strategies to optimize soft wheat production in arid and semi-arid Mediterranean regions. Our results show that varietal selection, nitrogen application, and irrigation management play crucial roles in improving yields and resilience to water stress. Among the recommended varieties, ‘Snina’ stands out for its high yield and efficient use of nitrogen under both rainfed and irrigated conditions, with significant yield increases when irrigation is available. Kharouba’ shows good drought tolerance and significant yield improvements under rainfed conditions with nitrogen application, making it suitable for both semi-arid and rainfed regions. Malika excelled in irrigated areas, showing substantial yield improvements with additional water resources. ‘Achtar’ and ‘Amal’ show some tolerance to water stress, with less pronounced yield increases under irrigation, making them suitable for areas with limited water resources. When nitrogen was applied under rainfed conditions, yields increased in proportion to the nitrogen dose, reaching maximum values with N2 (120 kg/ha), notably for ‘Kharouba’ and ‘Achtar.’ Under irrigated conditions, although overall yields are higher, high nitrogen doses can lead to nutrient saturation and reduced yields, particularly for ‘Amal’ and ‘Achtar.’ Therefore, it is advisable to apply 100 kg/ha nitrogen to all varieties. Irrigation management should focus on providing supplementary irrigation during critical growth stages, such as stem elongation and anthesis, to maximize the yield. This is particularly important for ‘Snina’ and ‘Malika’, which require significant irrigation for optimum performance, while ‘Achtar’ and ‘Amal’, being more tolerant to water stress, require less intensive irrigation. These integrated strategies, which combine varietal selection, nitrogen application, and irrigation management, are essential for improving wheat productivity and sustainability in drought-prone Mediterranean regions.

Author Contributions

I.K. was responsible for the original draft writing and data visualization; A.B. oversaw project administration, supervision, and resource provision; O.H. contributed to study validation; and A.A. conducted review and editing, supervised data curation, and provided resources. All authors have read and agreed to the published version of the manuscript.

Funding

This research received no external funding.

Data Availability Statement

The raw data supporting the conclusions of this article will be made available by the authors on request.

Acknowledgments

The authors express their gratitude to their institutional affiliations for their continued support, as well as to their colleagues for their insightful contributions to this study. Appreciation is also extended to the reviewers for their guidance in manuscript improvement.

Conflicts of Interest

The authors declare no conflict of interest.

References

  1. Food and Agriculture Organization of the United Nations (FAO). Mediterranean Agricultural Systems. FAO 2021. Available online: https://www.fao.org/food-systems/news-events/news-detail/en/c/1666237/ (accessed on 20 May 2024).
  2. García-González, I.; Fonti, P.; González-Rouco, J.F. Mediterranean Wheat Cultivation and Adaptation. J. Agric. Sci. 2016, 154, 425–439. [Google Scholar]
  3. Langridge, P.; Alaux, M.; Almeida, N.F.; Ammar, K.; Baum, M.; Bekkaoui, F.; Zhang, X. Meeting the Challenges Facing Wheat Production: The Strategic Research Agenda of the Global Wheat Initiative. Agronomy 2022, 12, 2767. [Google Scholar] [CrossRef]
  4. Belkhodja, M.; Benmoussa, H. Strategies for Wheat Production in Morocco. Mor. J. Agric. Sci. 2019, 5, 198–210. [Google Scholar]
  5. Ministry of Agriculture, Maritime Fisheries, Rural Development, and Water and Forests (MAPMDREF). Annual Report on Agriculture in Morocco; MAPMDREF: Rabat, Morocco, 2020. [Google Scholar]
  6. National Institute of Agronomic Research (INRA). Strategies for Crop Adaptation to Climate Change; INRA: Rabat, Morocco, 2019. [Google Scholar]
  7. Bouaziz, A.; El Attari, A.; Ouda, S. Impacts of Climate Change on Water Resources in Morocco. J. Water Environ. 2021, 12, 123–135. [Google Scholar]
  8. El Attari, A.; Bouaziz, A.; Ouda, S. Water Resource Management and Agricultural Development in Morocco. Mor. J. Agron. Vet. Sci. 2014, 5, 78–89. [Google Scholar]
  9. Ouda, S.; Bouaziz, A.; El Attari, A. Nitrogen Management in Agricultural Systems in Morocco. Agron. Environ. 2022, 15, 212–224. [Google Scholar]
  10. Leghari, S.J.; Hu, K.; Wei, Y.; Wang, T.; Laghari, Y. Modelling the Effects of Cropping Systems and Irrigation Methods on Water Consumption, N Fates and Crop Yields in the North China Plain. Comput. Electron. Agric. 2024, 218, 108677. [Google Scholar] [CrossRef]
  11. Leghari, S.J.; Han, W.; Soomro, A.A.; Shoukat, M.R.; Zain, M.; Wei, Y.; Laghari, A.H. Exploration of Water and Nitrogen Management Practices for Sustainable Wheat Production through Optimized Model-Based Management Systems: A Case Study from China and Pakistan. Agric. Water Manag. 2024, 300, 108917. [Google Scholar] [CrossRef]
  12. Zhao, X.H.; Meng, Y.; Liu, M.R.; Duan, J.Z.; He, L. Establishment of Critical Nitrogen Concentration Models in Winter Wheat under Different Irrigation Levels. Agronomy 2023, 10, 556. [Google Scholar]
  13. Wang, X.; Cai, H.; Ma, C.; Lu, Y.; Ding, Y. Effect of Nitrogen Management on the Environmental and Economic Sustainability of Wheat Production in Different Climates. Agric. Water Manag. 2022, 258, 107076. [Google Scholar]
  14. Li, Y.; White, R.; Chen, D.; Zhang, J.; Li, B.; Zhang, Y. A Spatially Referenced Water and Nitrogen Management Model (WNMM) for (Irrigated) Intensive Cropping Systems in the North China Plain. Ecol. Model. 2021, 203, 345–362. [Google Scholar] [CrossRef]
  15. Barraclough, P.B.; Howarth, J.R.; Jones, J.; Lopez-Bellido, R.; Parmar, S.; Shepherd, C.E.; Hawkesford, M.J. Nitrogen Efficiency of Wheat: Genotypic and Environmental Variation and Prospects for Improvement. Eur. J. Agron. 2010, 33, 1–11. [Google Scholar] [CrossRef]
  16. Ma, G.; Liu, W.; Li, S.; Zhang, P.; Wang, C.; Lu, H.; Wang, L.; Xie, Y.; Ma, D.; Kang, G. Determining the Optimal N Input to Improve Grain Yield and Quality in Winter Wheat with Reduced Apparent N Loss in the North China Plain. Front. Plant Sci. 2019, 10, 181. [Google Scholar] [CrossRef] [PubMed]
  17. Zahraoui, R.; Boufous, M. Economic and Social Aspects of Wheat Production in Morocco. Int. J. Agric. Econ. 2018, 7, 56–72. [Google Scholar]
  18. Smith, D.R.; Knapp, J.A.; Castellano, M.J. Corn Yield Response to Multiple Nitrogen Fertilizer Application Rates at V9 Stage in Southeast Michigan. Agronomy 2020, 10, 760. [Google Scholar] [CrossRef]
  19. Tilman, D.; Cassman, K.G.; Matson, P.A.; Naylor, R.; Polasky, S. Agricultural Sustainability and Intensive Production Practices. Nature 2002, 418, 671–677. [Google Scholar] [CrossRef] [PubMed]
  20. Good, A.G.; Beatty, P.H. Fertilizing Nature: A Tragedy of Excess in the Commons. PLoS Biol. 2011, 9, e1001124. [Google Scholar] [CrossRef]
  21. Hirel, B.; Le, G.J.; Ney, B.; Gallais, A. The Challenge of Improving Nitrogen Use Efficiency in Crop Plants: Towards a More Central Role for Genetic Variability and Quantitative Genetics within Integrated Approaches. J. Exp. Bot. 2007, 58, 2369–2387. [Google Scholar] [CrossRef]
  22. Alpuerto, J.B.; Brasier, K.G.; Griffey, C.A.; Thomason, W.E.; Fukao, T. Accelerated Senescence and Nitrogen Remobilization in Flag Leaves Enhance Nitrogen Use Efficiency in Soft Red Winter Wheat. Plant Prod. Sci. 2021, 24, 490–504. [Google Scholar] [CrossRef]
  23. Xu, Y.; Wang, R.; Tong, Y.; Zhao, H.; Xie, Q. Nitrogen Use Efficiency in Crop Plants: A New Approach Using High-Throughput Phenotyping. Front. Plant Sci. 2020, 11, 633. [Google Scholar] [CrossRef]
  24. Feng, X.; Li, Y.; Zhao, Y.; Chen, J. Spatial Variability Analysis of Wheat Nitrogen Yield Response: A Case Study of Henan Province, China. Agronomy 2023, 13, 1796. [Google Scholar] [CrossRef]
  25. Simon, A.; Russu, F.; Bardas, M.; Chetan, F.; Alin, P.O.P.A.; Ceclan, A. The Influence of N and P Fertilization on Winter Wheat Yield. Life Sci. Sustain. Dev. 2022, 3, 54–59. [Google Scholar] [CrossRef]
  26. Sadras, V.O.; Giordano, N.; Correndo, A.; Cossani, C.M.; Ferreyra, J.M.; Caviglia, O.P.; Coulter, J.A.; Ciampitti, I.A.; Lollato, R.P. Temperature-Driven Developmental Modulation of Yield Response to Nitrogen in Wheat and Maize. Front. Agron. 2022, 4, 903340. [Google Scholar] [CrossRef]
  27. Khan, S.; Anwar, S.; Shaobo, Y.; Gao, Z.; Sun, M.; Ashraf, M.Y.; Ren, A.; Yang, Z. Soil Water Consumption, Water Use Efficiency and Winter Wheat Production in Response to Nitrogen Fertilizer and Tillage. PeerJ 2020, 8, e8892. [Google Scholar] [CrossRef]
  28. Khlila, I.; Baidani, A.; Hnizil, O.; Amamou, A. Detection of New Variations in Root Architecture Related to Grain Production in Moroccan Bread Wheat Varieties. Afr. Mediterr. Agric. J.-Al Awamia 2023, 141, 1–22. [Google Scholar]
  29. Farooq, M.; Wahid, A.; Kobayashi, N.; Fujita, D.; Basra, S.M.A. Plant Drought Stress: Effects, Mechanisms and Management. Agron. Sustain. Dev. 2017, 37, 153–188. [Google Scholar] [CrossRef]
  30. Ali, S.; Rizwan, M.; Arif, M.S.; Ahmad, R.; Hasanuzzaman, M.; Rasool, A. Approaches in Enhancing Nitrogen Use Efficiency: A Step Towards Sustainable Agriculture. J. Sci. Food Agric. 2021, 101, 4237–4243. [Google Scholar]
  31. Flexas, J.; Bota, J.; Galmés, J.; Medrano, H.; Ribas-Carbó, M. Keeping a Positive Carbon Balance under Adverse Conditions: Responses of Photosynthesis and Respiration to Water Stress. Physiol. Plant. 2006, 127, 343–352. [Google Scholar] [CrossRef]
  32. Farooq, M.; Hussain, M.; Siddique, K.H.M. Drought Stress in Wheat during Flowering and Grain-Filling Periods. Crit. Rev. Plant Sci. 2014, 33, 331–349. [Google Scholar] [CrossRef]
  33. Raza, A.; Razzaq, A.; Mehmood, S.S.; Zou, X.; Zhang, X.; Lv, Y.; Xu, J. Impact of Climate Change on Crops Adaptation and Strategies to Tackle Its Outcome: A Review. Plants 2019, 8, 34. [Google Scholar] [CrossRef] [PubMed]
  34. Mălinaş, A.; Vidican, R.; Rotar, I.; Mălinaş, C.; Moldoveanu, C.M.; Proorocu, M. État Actuel et Perspectives Futures de l’Efficacité de l’Utilisation de l’Azote dans le Blé (Triticum aestivum L.). Plants 2022, 11, 217. [Google Scholar] [CrossRef]
  35. Lesk, C.; Rowhani, P.; Ramankutty, N. Influence of Extreme Weather Disasters on Global Crop Production. Nature 2016, 529, 84–87. [Google Scholar] [CrossRef] [PubMed]
  36. Trnka, M.; Rötter, R.P.; Ruiz-Ramos, M.; Kersebaum, K.C.; Olesen, J.E.; Žalud, Z.; Semenov, M.A. Adverse Weather Conditions for European Wheat Production Will Become More Frequent with Climate Change. Nat. Clim. Chang. 2014, 4, 637–643. [Google Scholar] [CrossRef]
  37. Tack, J.; Barkley, A.; Nalley, L.L. Effect of Warming Temperatures on US Wheat Yields. Proc. Natl. Acad. Sci. USA 2015, 112, 6931–6936. [Google Scholar] [CrossRef] [PubMed]
  38. Hawkesford, M.J.; Riche, A.B. Impacts of G × E × M on Nitrogen Use Efficiency in Wheat and Future Prospects. Front. Plant Sci. 2020, 11, 1157. [Google Scholar] [CrossRef] [PubMed]
  39. Olivoto, T.; Lúcio, A.D.C. metan: An R Package for Multi-Environment Trial Analysis. Methods Ecol. Evol. 2020, 11, 783–789. [Google Scholar] [CrossRef]
  40. Kassambara, A.; Mundt, F. factoextra: Extract and Visualize the Results of Multivariate Data Analyses. R Package Version 1.0.5. Available online: https://CRAN.R-project.org/package=factoextra (accessed on 20 May 2024).
  41. Mekonnen, M.M.; Gerbens-Leenes, P.W.; Hoekstra, A.Y. Future Water Scarcity and Crop Production in a Water-Food-Energy Nexus Perspective: A Global Analysis. Water Resour. Econ. 2022, 37, 100184. [Google Scholar]
  42. Wang, H.; Zhao, Y.; Chen, F.; Zhang, H. Supplemental Irrigation Improves Grain Yield and Water Use Efficiency of Winter Wheat under Different Planting Patterns. Agric. Water Manag. 2021, 248, 106786. [Google Scholar]
  43. Li, Y.; Li, Y.; Li, Z.; Li, X. Effects of Water-Saving Irrigation on Wheat Growth, Yield and Water Use Efficiency: A Meta-Analysis. Agric. Water Manag. 2020, 236, 106152. [Google Scholar]
  44. Zhang, X.; Pei, D.; Chen, S. Effects of Limited Irrigation on Yield and Water Use Efficiency of Winter Wheat in the North China Plain. J. Integr. Agric. 2019, 18, 1419–1430. [Google Scholar]
  45. Yadav, M.R.; Kumar, R.; Parihar, C.M.; Yadav, R.K.; Jat, S.L.; Ram, H.; Meena, R.K.; Singh, M.; Birbal; Verma, P.A.; et al. Stratégies pour améliorer l’efficacité de l’utilisation de l’azote: Une revue. Agric. Rev. 2017, 38, 29–40. [Google Scholar] [CrossRef]
  46. Luo, W.; Liu, J.; Zhang, L.; Ding, W. Impact of Irrigation Management on Wheat Yield and Water Use Efficiency in Different Climate Regions. Agric. Syst. 2021, 191, 103164. [Google Scholar]
  47. Chen, Y.; Lu, D.; Yang, Q.; Li, X. Combining Irrigation and Fertilization Strategies to Enhance Wheat Yield and Quality under Water-Limited Conditions. Field Crops Res. 2020, 250, 107763. [Google Scholar]
  48. Xu, Y.; Li, P.; Zhang, X. Enhancing Nitrogen Use Efficiency in Modern Wheat Varieties through Genetic Improvement. Field Crops Res. 2012, 127, 85–92. [Google Scholar]
  49. Hawkesford, M.J. Genetic Variation in Traits for Nitrogen Use Efficiency in Wheat. J. Exp. Bot. 2017, 68, 2627–2632. [Google Scholar] [CrossRef]
  50. Li, Y.; Wang, Y.; Liu, X.; Zhang, Y.; Yang, Y.; Hou, P.; Gao, Y. Effects of Nitrogen Fertilization on Physiological Processes and Yield of Wheat. Agric. Ecosyst. Environ. 2021, 313, 107365. [Google Scholar]
  51. Zhao, C.; Zhang, Y.; Du, J.; Guo, X.; Wen, W.; Gu, S.; Wang, J.; Fan, J.; Li, L. Nitrogen Application Affects Yield and Photosynthetic Characteristics of Wheat. Agronomy 2020, 10, 1040. [Google Scholar]
  52. Fischer, R.A.; Byerlee, D.; Edmeades, G.O. Crop Yields and Global Food Security: Will Yield Increase Continue to Feed the World? Aust. Cent. Int. Agric. Res. 2019, 158, 56–62. [Google Scholar]
  53. Wang, R.; Zhang, L.; Zhang, Y. Effects of Nitrogen Management on Wheat Yield and Water Use Efficiency in Different Climate Regions. Field Crops Res. 2019, 238, 105007. [Google Scholar]
  54. Zhang, H.; Jiang, L.; Li, X.; Zhao, J.; Zhang, L. Role of Nitrogen in Enhancing Wheat Resilience to Abiotic Stresses. Front. Plant Sci. 2021, 12, 665392. [Google Scholar]
  55. Jones, P.; Smith, A.; Brown, B. Climate Impacts on Agricultural Yields: A Review. J. Agric. Sci. 2012, 150, 123–135. [Google Scholar]
  56. Smith, L.; Johnson, R.; White, D. Soil and Microclimate Variations: Impacts on Crop Performance. Agric. Res. J. 2015, 45, 98–110. [Google Scholar]
  57. Sylvester-Bradley, R.; Kindred, D.R. Analysing Nitrogen Responses of Cereals to Prioritize Routes to the Improvement of Nitrogen Use Efficiency. J. Exp. Bot. 2009, 60, 1939–1951. [Google Scholar] [CrossRef] [PubMed]
  58. Foulkes, J.; Reynolds, M.P.; Sylvester-Bradley, R. Revisiting Breeding for High Biomass and Yield in Wheat. Euphytica 2020, 216, 89–102. [Google Scholar]
  59. Gao, Y.; Lynch, J.P.; Kemanian, A.R. Soil Moisture, Temperature, and Nitrogen Interactions with Wheat Genotype Affect Growth and Productivity. Field Crops Res. 2021, 264, 108095. [Google Scholar]
  60. Muurinen, S.; Peltonen-Sainio, P.; Jauhiainen, L.; Laurila, H. Genotype-Environment Interactions in Nitrogen Use Efficiency in Wheat: Implications for Breeding. Agronomy 2021, 11, 349. [Google Scholar]
  61. Gaju, O.; Allard, V.; Martre, P.; Le Gouis, J.; Moreau, D.; Bogard, M.; Hubbart, S.; Foulkes, J. Nitrogen Use Efficiency in Wheat: A Genotypic Perspective. Field Crops Res. 2019, 234, 65–77. [Google Scholar]
  62. Hawkesford, M.J.; Barraclough, P.B.; Zhao, F.J.; Millar, S.; Ma, J.; Hawkesford, R.C. Integrating Nitrogen Management and Genetic Improvement to Sustain Wheat Yield and Environmental Quality. Front. Plant Sci. 2020, 11, 1157. [Google Scholar]
  63. Gooding, M.J.; Ellis, R.H.; Shewry, P.R.; Schofield, J.D. Effects of Restricted Water Availability and Increased Temperature on the Grain Filling, Drying and Quality of Winter Wheat. J. Cereal Sci. 2012, 15, 235–247. [Google Scholar] [CrossRef]
  64. Ladha, J.K.; Singh, Y.; Erenstein, O.; Hardy, B. Integrated Crop and Resource Management in the Rice-Wheat System of South Asia; International Rice Research Institute (IRRI): Los Baños, Philippines, 2009. [Google Scholar]
  65. Reynolds, M.P.; Chapman, S.C.; Crespo-Herrera, L.; Molero, G.; Mondal, S.; Pequeno, D.N.L.; Braun, H.J. Chapter Four—Breeder Friendly Phenotyping. In Application of Physiology in Wheat Breeding; Reynolds, M.P., Molero, G., Crespo-Herrera, L., Chapman, S., Mondal, S., Eds.; Elsevier: Amsterdam, The Netherlands, 2016; pp. 129–151. [Google Scholar]
  66. Assefa, Y.; Prasad, P.V.V.; Vara Prasad, P.V.; Foster, A.J.; Ciampitti, I.A. Yield Response of Corn to Applied Nitrogen and Sulfur in Irrigated No-Till Continuous Corn Production Systems. Agron. J. 2021, 111, 2420–2432. [Google Scholar]
  67. Foulkes, M.J.; Slafer, G.A.; Davies, W.J.; Berry, P.M.; Sylvester-Bradley, R.; Martre, P.; Calderini, D.F.; Griffiths, S.; Reynolds, M.P. Raising Yield Potential of Wheat. III. Optimizing Partitioning to Grain while Maintaining Lodging Resistance. J. Exp. Bot. 2011, 62, 469–486. [Google Scholar] [CrossRef]
  68. Sarker, A.; Rahman, M.; Karim, M.R.; Akhter, M. Comparative Performance of Wheat Cultivars under Irrigated and Rainfed Conditions. J. Agric. Sci. Technol. 2020, 20, 687–699. [Google Scholar]
  69. Ahmad, P.; Jaleel, C.A.; Sharma, S. Antioxidant Defense System, Lipid Peroxidation, Proline Metabolism, and Glycinebetaine Accumulation in Two High Yielding Genotypes of Oryza sativa L. under Salt Stress. Plant Stress 2020, 1, 1–12. [Google Scholar]
  70. Mittler, R. ROS Are Good. Trends Plant Sci. 2017, 22, 11–19. [Google Scholar] [CrossRef]
  71. Cazzonelli, C.I. Carotenoids in Nature: Insights from Plants and Beyond. Funct. Plant Biol. 2011, 38, 833–847. [Google Scholar] [CrossRef]
  72. Szabados, L.; Savouré, A. Proline: A Multifunctional Amino Acid. Trends Plant Sci. 2010, 15, 89–97. [Google Scholar] [CrossRef]
  73. Cutler, S.R.; Rodriguez, P.L.; Finkelstein, R.R.; Abrams, S.R. Abscisic Acid: Emergence of a Core Signaling Network. Annu. Rev. Plant Biol. 2010, 61, 651–679. [Google Scholar] [CrossRef]
  74. Blum, A. Plant Breeding for Water-Limited Environments; Springer Science & Business Media: Berlin, Germany, 2011. [Google Scholar]
  75. Sadras, V.O.; Richards, R.A. Improvement of Crop Yield in Dry Environments: Benchmarks, Levels of Organisation and the Role of Nitrogen. J. Exp. Bot. 2014, 65, 1981–1995. [Google Scholar] [CrossRef]
  76. Zhao, Y.; Chen, M.; Ding, L.; Liu, L.; Han, Y.; Yu, J. Effect of Water Deficit on Yield and Grain Quality of Winter Wheat. Agric. Water Manag. 2021, 255, 107039. [Google Scholar]
  77. Fischer, R.A. Understanding the Physiological Basis of Yield Potential in Wheat. J. Agric. Sci. 2007, 145, 99–113. [Google Scholar] [CrossRef]
  78. Fischer, R.A. Wheat Physiology: A Review of Recent Developments. Crop Pasture Sci. 2011, 62, 95–114. [Google Scholar] [CrossRef]
  79. Jolliffe, I.T.; Cadima, J. Principal Component Analysis: A Review and Recent Developments. Philos. Trans. R. Soc. A Math. Phys. Eng. Sci. 2016, 374, 2065. [Google Scholar] [CrossRef] [PubMed]
  80. Abdi, H.; Williams, L.J. Principal Component Analysis. Wiley Interdiscip. Rev. Comput. Stat. 2010, 2, 433–459. [Google Scholar] [CrossRef]
  81. Mansour, E.; Moustafa, E.S.; Soliman, T. Genetic Diversity among Wheat Genotypes for Grain Yield and Its Components under Water Stress Conditions. Agronomy 2018, 8, 152. [Google Scholar]
  82. Corsa, J.; Smith, P.; Reynolds, M. Evaluating the Impact of Irrigation and Nitrogen Use on Wheat Yield in Mediterranean Climates. J. Agric. Sci. 2010, 148, 567–578. [Google Scholar]
Figure 1. Monthly Precipitation and Temperature Trends for Afourar and Sidi El Aydi Experimental Stations (2019–2021). The red line represents the average temperature trend over the period.
Figure 1. Monthly Precipitation and Temperature Trends for Afourar and Sidi El Aydi Experimental Stations (2019–2021). The red line represents the average temperature trend over the period.
Agronomy 15 00612 g001
Figure 2. Impact of nitrogen rate on yield for various wheat varieties under rainfed (a) and irrigated (b) conditions. Values represent the average yields over the two years included in this study. Error bars indicate the standard error of the mean. Letters above the bars represent statistically significant groups determined by Tukey’s test.
Figure 2. Impact of nitrogen rate on yield for various wheat varieties under rainfed (a) and irrigated (b) conditions. Values represent the average yields over the two years included in this study. Error bars indicate the standard error of the mean. Letters above the bars represent statistically significant groups determined by Tukey’s test.
Agronomy 15 00612 g002
Figure 3. Boxplots of yield variations and their components for AFR and SEA sites over the period 2019–2021 in rainfed and irrigated systems.
Figure 3. Boxplots of yield variations and their components for AFR and SEA sites over the period 2019–2021 in rainfed and irrigated systems.
Agronomy 15 00612 g003
Figure 4. Pearson correlation matrix for essential agronomic traits, namely thousand-kernel weight (TKW), the number of spikes per square meter (spikes/m2), and grains per square meter (G/m2). The significance of the correlations is indicated as follows: * indicates significance at p ≤ 0.05; *** indicates significance at p ≤ 0.001.
Figure 4. Pearson correlation matrix for essential agronomic traits, namely thousand-kernel weight (TKW), the number of spikes per square meter (spikes/m2), and grains per square meter (G/m2). The significance of the correlations is indicated as follows: * indicates significance at p ≤ 0.05; *** indicates significance at p ≤ 0.001.
Agronomy 15 00612 g004
Figure 5. (AE) Multivariate analysis of agronomic characteristics of wheat under rainfed conditions: (A) variance, (B) variable correlations, (C) environmental influences, (D) variety distributions, and (E) nitrogen dose effects. thousand-kernel weight (TKW), the number of spikes per square meter (spikes/m2), and grains per square meter (G/m2). Afourar (AFR); Sidi El Aidi (SEA). N0 = 0 kg/ha, N1 = 60 kg/ha and N2 = 120 kg/ha.
Figure 5. (AE) Multivariate analysis of agronomic characteristics of wheat under rainfed conditions: (A) variance, (B) variable correlations, (C) environmental influences, (D) variety distributions, and (E) nitrogen dose effects. thousand-kernel weight (TKW), the number of spikes per square meter (spikes/m2), and grains per square meter (G/m2). Afourar (AFR); Sidi El Aidi (SEA). N0 = 0 kg/ha, N1 = 60 kg/ha and N2 = 120 kg/ha.
Agronomy 15 00612 g005
Figure 6. (AE) Multivariate analysis of agronomic characteristics of wheat under irrigated conditions: (A) variance, (B) variable correlations, (C) environmental influences, (D) variety distributions, and (E) nitrogen dose effects.
Figure 6. (AE) Multivariate analysis of agronomic characteristics of wheat under irrigated conditions: (A) variance, (B) variable correlations, (C) environmental influences, (D) variety distributions, and (E) nitrogen dose effects.
Agronomy 15 00612 g006
Table 1. Geographical coordinates, ecosystem types, and precipitation trends during the agricultural season for the INRA experimental stations from 2019 to 2021. The crop year precipitation values represent the accumulated precipitation over seven months.
Table 1. Geographical coordinates, ecosystem types, and precipitation trends during the agricultural season for the INRA experimental stations from 2019 to 2021. The crop year precipitation values represent the accumulated precipitation over seven months.
Station Name Ecosystem TypeLocation (Lat, Long)2019–20202020–2021
Sidi El Aidi (SED)Semi-Arid Rainfed33.12218° N 7.63315° W242 mm267 mm
Afourar (AFR)Semi-Arid Rainfed, Irrigated32.26009° N 6.53312° W304.5 mm364 mm
Note: The total precipitation values for each year represent the accumulated precipitation over seven months, starting from December 2019 to June 2020 for the 2019–2020 period, and from December 2020 to June 2021 for the 2020–2021 period.
Table 2. Detailed information on the variety used in the experiment.
Table 2. Detailed information on the variety used in the experiment.
VarietiesYear of ReleaseMain CharacteristicsZone of Adaptation
Arrehane1996Drought tolerant, Hessian fly resistanceSemi-arid regions
Achtar1988Grain quality and yield potentialFavourable and irrigated areas
Amal1933Yield potential and grain qualitySub-humid regions and irrigated areas
Kharouba2010Drought tolerant and yield potentialSemi-arid, favourable, and irrigated areas
Malika2016Drought tolerant, Hessian fly resistanceSemi-arid, favourable, and irrigated regions
Snina2017Drought tolerant, Hessian fly resistance and grain qualityArid and semi-arid areas
Table 3. ANOVA analysis of the factors affecting yield and its components in Moroccan soft wheat varieties under rainfed (RF) and irrigated (IR) conditions.
Table 3. ANOVA analysis of the factors affecting yield and its components in Moroccan soft wheat varieties under rainfed (RF) and irrigated (IR) conditions.
Source of Variation Biomass kg/haYield kg/haTKWSPKNG
IrrigatedRFIRRFIRRFIRRFIRRFIR
Genotype
Achtar4530 b9800 b1430 b3660 b29.4 ab35.2 b599 c542 d4892 b9797 a
Amal3700 a8500 a1170 a3180 a27.9 a34.3 a589 c502 d4974 b7874 b
Arrehane5150 c10,740 c1610 c4100 c30.6 bc37.0 c584 c629 c4894 b11,322 a
Kharouba5670 d12,130 d1790 d4450 c31.7 cd39.8 d578 c698 a4704 b11,950 c
Malika 6500 e13,240 e1940 e4930 d33.1 d40.4 d410 b591 b4130 a12,564 b
Snina7570 f15,370 f2340 f5490 e34.9 e43.7 e333 a794 a4261 a13,676 a
Nitrogen
N0 4250 a10,670 a1210 a3950 a30.2 a39.5 a435 a551 a3695 a10,482 a
N15310 b12,710 c1500 b4690 c31.3 b46.9 c528 b717 c5038 b11,999 b
N27000 c11,510 b2430 c4230 b32.3 c42.3 b583 c610 b5195 c11,110 b
Site Year
AFR 203870 b9970 a1300 a3650 a29.4 a40.4 d442 a727 d4340 a9098 c
AFR 218530 d14,110 c2580 c5190 c32.3 b39.8 c593 a500 b4987 a13,027 b
SEA 203010 a10,180 a1010 a3690 a30.4 a36.5 a440 b612 c4320 b10,177 a
SEA 216660 c12,260 b1960 b4650 b31.8 a37.1 b587 b655 a4924 b12,494 a
mean552011,6301710429031.338.4450626522611,197
Var*****************************
ND******************************
SY******************************
Var × ND***nsns**ns****ns*****
ND × SY************ns*************
Var × SY************ns***************
SY × ND ×VAR*******ns*************ns
TKW = thousand-kernel weight, SPK = spikes per square meter, and NG = grains per square meter. RF = rainfed; IR = irrigated. Var = genotype, ND = nitrogen rate (N0 = (0 kg/ha), N1 = (60 kg/ha in rainfed and 100 Kg/ha in irrigated), N2 = (120 kg/ha in rainfed and 200 Kg/ha in irrigated)), SY = site year, AFR 20 = Afourar from 2019 to 2020, AFR 21 = Afourar from 2020 to 2021, SEA 20 = Sidi El Aidi from 2019 to 2020, SEA 20 = Sidi El Aidi from 2020 to 2021, ANOVA—analysis of variance, where * = significant at p ≤ 0.05; ** = significant at p ≤ 0.01; *** = significant at p ≤ 0.001; ns = not significant. Means without a common letter also vary greatly.
Table 4. Effect of nitrogen application levels on the yield performance of wheat varieties (2019–2020) under rainfed conditions.
Table 4. Effect of nitrogen application levels on the yield performance of wheat varieties (2019–2020) under rainfed conditions.
NitrogenVarietyBiomass (kg/ha)Yield (kg/ha)TKW SPKNG
N0Achtar2150 a840 bc27.5 abc469 def3023 a
Amal2020 a380 a25.8 a276 ab3569 a
Arrehane2550 a920 bc29.5 abcde507 efg3023 a
Kharouba2720 ab960 bc30.2 bcde427 bcde3513 a
Malika2900 abc1010 bcd30.5 bcde222 a2737 a
Snina4330 def1240 cdef30.9 cde232 a2886 a
Mean2778 a891 a29.1 a355 a3125 a
N1Achtar2290 a840 bc28.5 abcd468 def3452 a
Amal2030 a710 ab26.7 ab318 abcd3760 a
Arrehane2990 abcd980 bc29.7 bcde548 efgh3551 a
Kharouba3120 abcde1110 bcd30.9 cde491 defg3600 a
Malika4120 cdef1120 cdef32.6 efg327 abcd3483 a
Snina4380 ef1360 cde34.9 fg288 abc3092 a
Mean3155 a1020 b30.5 b407 b3490 ab
N2Achtar4040 bcdef1450 defg28.5 abcd606 fgh4373 a
Amal3070 abcde1140 bcde30.1 bcde456 cdef4263 a
Arrehane4070 cdef1570 efg30.8 cde695 h3904 a
Kharouba4870 f1670 fg31.6 def650 gh4312 a
Malika5090 f1750 g32.7 efg409 bcde3463 a
Snina5160 f1750 g36.5 g375 abcde3108 a
Mean4383 b1555 c31.7 c532 c3904 b
Analyse of variance
Nitrogen**************
Variety*************
Variety × nitrogen nsnsnsnsns
TKW = thousand-kernel weight, SPK = spikes per square meter, and NG = grains per square meter. ANOVA—analysis of variance, where * = significant at p ≤ 0.05; ** = significant at p ≤ 0.01; *** = significant at p ≤ 0.001; ns = not significant. Means without a common letter also vary greatly.
Table 5. Effect of nitrogen application levels on the yield performance of wheat varieties (2020–2021) under rainfed conditions.
Table 5. Effect of nitrogen application levels on the yield performance of wheat varieties (2020–2021) under rainfed conditions.
NitrogenVarietyBiomass (kg/ha)Yield (kg/ha)TKW SPKNG
N0Achtar4580 ab1130 a30.2 bc460 bcdef4777 ab
Amal3940 a1080 a27.0 a270 a4495 ab
Arrehane5470 abc1300 ab29.7 bc553 def4502 ab
Kharouba5640 abc1390 ab30.9 cd489 bcdef5139 abc
Malika6340 abcd1810 abcd32.5 bc371 abc3981 a
Snina8060 cdefg2450 defg35.4 f337 ab4077 a
Mean5671 a1526 a31.0 a413 a3811 a
N1Achtar5090 abc1420 abc30.5 cd521 cdef4799 abc
Amal4020 ab1190 a28.2 ab324 ab4962 abc
Arrehane6500 abcd1790 abcd31.3 cd751 gh5039 abc
Kharouba7250 bcdef2110 bcde32.3 de581 efg5387 abc
Malika9830 efgh2220 cdef34.3 ef395 abcd4553 ab
Snina11,260 gh3140 gh35.5 f369 abc4231 a
Mean7325 b1978 b32.0 b490 b4977 b
N2Achtar9020 defgh2870 efgh31.1 cd598 fg5963 bc
Amal7120 abcde2520 defg29.3 bc394 abcd5932 bc
Arrehane9280 defgh3090 fgh32.4 de783 h5848 bc
Kharouba10,390 fgh3500 hi34.3 ef614 fgh6385 c
Malika10,690 gh3570 hi36.1 f486 bcdef5405 abc
Snina12,240 h4240 i36.2 f421 abcde5169 abc
Mean9790 c3298 c33.3 c549 c5767 c
Analyse of variance
Nitrogen***************
variety***************
Variety × nitrogen nsnsnsnsns
TKW = thousand-kernel weight, SPK = spikes per square meter, and NG = grains per square meter. ANOVA—analysis of variance, where *** = significant at p ≤ 0.001; ns = not significant. Means without a common letter also vary greatly.
Table 6. Effect of nitrogen application levels on the yield performance of wheat varieties (2019–2020) under irrigated conditions.
Table 6. Effect of nitrogen application levels on the yield performance of wheat varieties (2019–2020) under irrigated conditions.
NitrogenVarietyBiomass (kg/ha)Yield (kg/ha)TKWSPKNG
N0Achtar8140 bcd2830 abc32.8 ab510 abc8439 abcd
Amal6140 a2320 a31.2 a687 defg11,796 efg
Arrehane8360 bcde3020 bcd35.5 abcd510 abc8093 abc
Kharouba9720 defg3720 ef37.9 bcdef365 a5984 a
Malika10,230 efg4090 efgh38.9 cdef763 fghi9511 bcde
Snina12,860 ij4210 fgh41.6 efgh723 efghi9231 bcde
Mean9241 a3365 a36.3 a593 a8842 a
N1Achtar9590 cdef3470 cde37.2 bcde705 defgh11,277 efg
Amal7710 abc2640 ab36.1 abcd722 efghi12,565 g
Arrehane10,540 fgh3730 ef37.6 bcde642 cdefg10,180 cdefg
Kharouba11,550 ghij4490 gh40.2 cdefg591 bcde7661 abc
Malika12,380 hij4580 h43.2 fgh853 bc10,924 defg
Snina13,340 j4570 gh44.8 gh868 i10,214 cdefg
Mean10,851 c3913 c39.8 b730 c10,470 b
N2Achtar8550 bcde3440 cde35.2 abc615 cdef9979 cdef
Amal6980 ab2620 ab31.2 a715 defghi12,478 fg
Arrehane10,080 efg3670 def39.2 cdef560 bcd9368 bcde
Kharouba10,770 fgh3920 efg40.7 defgh444 ab6953 ab
Malika11,100 fghi4280 fgh42.3 efgh794 ghi10,051 cdefg
Snina13,290 j4420 gh45.7 h784 ghi10,038 cdefg
Mean10,128 b3725 b39.0 b652 b9811 b
Analyse of variance
Nitrogen**************
variety***************
Variety × nitrogen nsnsnsnsns
TKW = thousand-kernel weight, SPK = spikes per square meter, and NG = grains per square meter, ANOVA—analysis of variance, where ** = significant at p ≤ 0.01; *** = significant at p ≤ 0.001; ns = not significant. Means without a common letter also vary greatly.
Table 7. Effect of nitrogen application levels on the yield performance of wheat varieties (2020–2021) under irrigated conditions.
Table 7. Effect of nitrogen application levels on the yield performance of wheat varieties (2020–2021) under irrigated conditions.
NitrogenVarietyBiomass (kg/ha)Yield (kg/ha)TKW SPKNG
N0Achtar10,110 ab3710 abc34.3 a697 abc11,141 abcd
Amal9180 a3130 a34.3 a714 abc12,514 bcdef
Arrehane10,540 ab3910 abcd35.7 ab665 abc10,736 abc
Kharouba12,520 bcde4450 bcdef38.9 abcd510 a8316 a
Malika14,390 defg5220 fgh38.0 abcd694 abc13,828 cdef
Snina17,010 ghi6270 hi42.4 cde774 bcd14,589 f
Mean12,291 a4578 a37.3 a676 a11,854 a
N1Achtar12,060 abcde4620 cdef36.0 ab831 cd14,727 f
Amal11,700 abcd4840 def37.6 abc807 cd14,428 ef
Arrehane13,890 cdefg5530 fghi37.8 abc793 cd12,013 bcdef
Kharouba14,870 efgh5150 efg39.3 abcd685 a9500 ab
Malika15,880 fgh5940 ghi40.0 bcd935 d14,731 f
Snina18,180 i6540 i46.2 e860 cd15,109 f
Mean14,440 b5437 c39.8 c819 c13,418 c
N2Achtar10,400 ab4160 abcde34.6 ab840 cd14,491 f
Amal9410 ab3540 ab35.6 ab770 bcd13,163 cdef
Arrehane11,070 abc4750 cdef36.8 ab688 abc11,297 abcde
Kharouba13,690 cdef4600 bcdef39.1 abcd580 ab8738 a
Malika14,830 efgh5520 fghi39.9 bcd852 cd13,883 def
Snina17,560 hi6540 i43.3 de807 cd14,505 f
Mean12,826 a4851 b38.2 b756 b12,679 b
Analyse of variance
Nitrogen***************
variety***************
Variety × nitrogen nsnsnsnsns
TKW = thousand-kernel weight, SPK = spikes per square meter, and NG = grains per square meter. ANOVA—analysis of variance, where *** = significant at p ≤ 0.001; ns = not significant. Means without a common letter also vary greatly.
Disclaimer/Publisher’s Note: The statements, opinions and data contained in all publications are solely those of the individual author(s) and contributor(s) and not of MDPI and/or the editor(s). MDPI and/or the editor(s) disclaim responsibility for any injury to people or property resulting from any ideas, methods, instructions or products referred to in the content.

Share and Cite

MDPI and ACS Style

Khlila, I.; Baidani, A.; Hnizil, O.; Amamou, A. Integrated Management of Water, Nitrogen, and Genotype Selection for Enhanced Wheat Productivity in Moroccan Arid and Semi-Arid Regions. Agronomy 2025, 15, 612. https://doi.org/10.3390/agronomy15030612

AMA Style

Khlila I, Baidani A, Hnizil O, Amamou A. Integrated Management of Water, Nitrogen, and Genotype Selection for Enhanced Wheat Productivity in Moroccan Arid and Semi-Arid Regions. Agronomy. 2025; 15(3):612. https://doi.org/10.3390/agronomy15030612

Chicago/Turabian Style

Khlila, Ilham, Aziz Baidani, Oussama Hnizil, and Ali Amamou. 2025. "Integrated Management of Water, Nitrogen, and Genotype Selection for Enhanced Wheat Productivity in Moroccan Arid and Semi-Arid Regions" Agronomy 15, no. 3: 612. https://doi.org/10.3390/agronomy15030612

APA Style

Khlila, I., Baidani, A., Hnizil, O., & Amamou, A. (2025). Integrated Management of Water, Nitrogen, and Genotype Selection for Enhanced Wheat Productivity in Moroccan Arid and Semi-Arid Regions. Agronomy, 15(3), 612. https://doi.org/10.3390/agronomy15030612

Note that from the first issue of 2016, this journal uses article numbers instead of page numbers. See further details here.

Article Metrics

Back to TopTop