Construction of a Multi-Source, Heterogeneous Rice Disease and Pest Knowledge Graph Based on the MARBC Model
Abstract
1. Introduction
2. Materials and Methods
2.1. Data Acquisition and Processing
2.1.1. Structured Data Collection and Extraction
2.1.2. Semi-Structured Data Collection and Extraction
2.1.3. Unstructured Data Collection and Extraction
2.1.4. Data Annotation
2.2. RDP Ontology Construction

| Relations | Domains | Ranges |
|---|---|---|
| Alias | Rice diseases and pests | Rice diseases and pests |
| Pest site | Rice diseases and pests | Rice |
| Distribution area | Rice diseases and pests | Geography |
| Pesticides | Rice diseases and pests | Pesticides |
| Attributes | Domains | Ranges |
|---|---|---|
| Pathogen | Rice diseases | String |
| Symptoms | Rice diseases | String |
| Transmission pathways and conditions | Rice diseases | String |
| Habits | Rice pests | String |
| Scientific name | Rice pests | String |
| Characteristics of the disease | Rice pests | String |
| Morphological characteristics | Rice pests | String |
| Prevention and control methods | Rice diseases and pests | String |

2.3. Joint Extraction of Entity Relationships Based on MARBC Model
2.4. Knowledge Fusion of Multi-Source Heterogeneous Data
3. Results
3.1. Configuration of Experimental Parameters and Evaluation Indicators
3.2. Prediction Results
3.2.1. Comparison Experiment
| Model | Precision (%) | Recall (%) | F1 (%) |
|---|---|---|---|
| BiLSTM-CRF | 91.53 | 87.57 | 89.47 |
| IDCNN-CRF | 92.95 | 88.43 | 90.60 |
| BERT-BiLSTM-CRF | 91.62 | 92.69 | 92.15 |
| MARBC | 95.31 | 93.58 | 94.44 |

3.2.2. Ablation Experiment
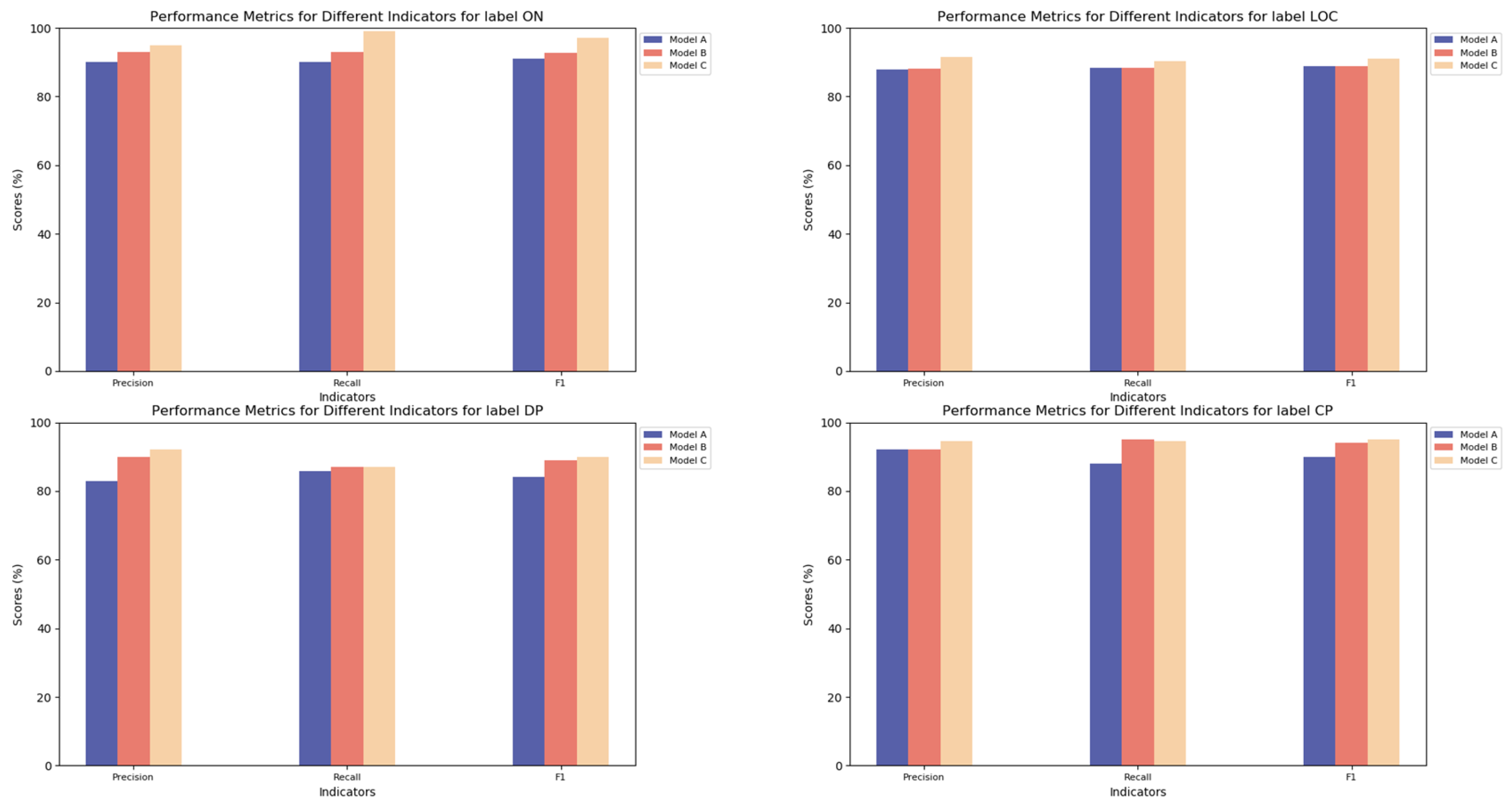
3.2.3. Entity Label Prediction
3.2.4. Discussion of Computational Efficiency of Different Models
| Model | Training Time (h) |
|---|---|
| BiLSTM-CRF | 0.24 |
| IDCNN-CRF | 0.08 |
| BERT-BiLSTM-CRF | 0.34 |
| MARBC | 0.87 |
3.2.5. Discussion of Broader Applications
3.3. Knowledge Storage and Downstream Application
3.3.1. Knowledge Storage
3.3.2. Downstream Application
4. Conclusions
Author Contributions
Funding
Data Availability Statement
Acknowledgments
Conflicts of Interest
References
- Rahman, A.N.M.R.B.; Zhang, J. Trends in rice research: 2030 and beyond. Food Energy Secur. 2023, 12, e390. [Google Scholar] [CrossRef]
- Saberali, S.F.; Darzi-Naftchali, A. Yield gap analysis and the relative importance of factors explaining yield variability in paddy fields. Eur. J. Agron. 2024, 156, 127172. [Google Scholar] [CrossRef]
- Dunn, L.; Latty, T.; Van Ogtrop, F.F.; Tan, D.K. Cambodian rice farmers’ knowledge, attitudes, and practices (KAPs) regarding insect pest management and pesticide use. Int. J. Agric. Sustain. 2023, 21, 2178804. [Google Scholar] [CrossRef]
- Muhammed, D.; Ahvar, E.; Ahvar, S.; Trocan, M.; Montpetit, M.-J.; Ehsani, R. Artificial Intelligence of Things (AIoT) for smart agriculture: A review of architectures, technologies and solutions. J. Netw. Comput. Appl. 2024, 228, 103905. [Google Scholar] [CrossRef]
- Zhang, J.; Tao, D. Empowering things with intelligence: A survey of the progress, challenges, and opportunities in artificial intelligence of things. IEEE Internet Things J. 2021, 8, 7789–7817. [Google Scholar] [CrossRef]
- Fountas, S.; Espejo-Garcia, B.; Kasimati, A.; Mylonas, N.; Darra, N. The future of digital agriculture: Technologies and opportunities. IT Prof. 2020, 22, 24–28. [Google Scholar] [CrossRef]
- Adli, H.K.; Remli, M.A.; Wong, K.N.S.W.S.; Ismail, N.A.; González-Briones, A.; Corchado, J.M.; Mohamad, M.S. Recent advancements and challenges of AIoT Application in smart agriculture: A review. Sensors 2023, 23, 3752. [Google Scholar] [CrossRef]
- Abu-Salih, B. Domain-specific knowledge graphs: A survey. J. Netw. Comput. Appl. 2021, 185, 103076. [Google Scholar] [CrossRef]
- Ye, H.; Zhang, N.; Chen, H.; Chen, H. Generative knowledge graph construction: A review. arXiv 2022, arXiv:2210.12714. [Google Scholar]
- Peng, C.; Xia, F.; Naseriparsa, M.; Osborne, F. Knowledge Graphs: Opportunities and Challenges. Artif. Intell. Rev. 2023, 56, 13071–13102. [Google Scholar] [CrossRef]
- Ji, S.; Pan, S.; Cambria, E.; Marttinen, P.; Yu, P.S. A survey on knowledge graphs: Representation, acquisition, and applications. IEEE Trans. Neural Netw. Learn. Syst. 2022, 33, 494–514. [Google Scholar] [CrossRef] [PubMed]
- Yang, Y.; Zhuang, Y.; Pan, Y. Multiple knowledge representation for big data artificial intelligence: Framework, applications, and case studies. Front. Inf. Technol. Electron. Eng. 2021, 22, 1551–1558. [Google Scholar] [CrossRef]
- Keraghel, I.; Morbieu, S.; Nadif, M. A survey on recent advances in named entity recognition. arXiv 2024, arXiv:2401.10825. [Google Scholar]
- Yu, H.; Li, H.; Mao, D.; Cai, Q. A relationship extraction method for domain knowledge graph construction. World Wide Web 2020, 23, 735–753. [Google Scholar] [CrossRef]
- Wu, X.; Duan, J.; Pan, Y.; Li, M. Medical knowledge graph: Data sources, construction, reasoning, and applications. Big Data Min. Anal. 2023, 6, 201–217. [Google Scholar] [CrossRef]
- Hou, Y.; Liu, B.; Fan, Q.; Zhou, J. Research on the application mode of knowledge graph in education. In Proceedings of the 2023 6th International Conference on Educational Technology Management, Guangzhou, China, 3–5 November 2023. [Google Scholar]
- Zheng, J.; Wu, X.; Tan, L.; Xu, P.; Xu, H.; Guo, Z.; Li, C. Intelligent financial risk warning for enterprises through knowledge graph-based deep learning. J. Circuits Syst. Comput. 2024, 33, 2450262. [Google Scholar] [CrossRef]
- Zhang, F.; Wu, J.; Nie, Y.; Jiang, L.; Zhou, A.; Xie, N. Research of knowledge graph technology and its applications in agricultural information consultation field. In Proceedings of the 2020 IEEE 39th International Performance Computing and Communications Conference (IPCCC), Austin, TX, USA, 6–8 November 2020. [Google Scholar]
- Qiao, L.; Li, H.; Wang, W.; Wang, D. Aknowledge graph construction method for food nutrition. In Proceedings of the 2022 IEEE/WIC/ACM International Joint Conference on Web Intelligence and Intelligent Agent Technology, WI-IAT, Niagara Falls, ON, Canada, 17–20 November 2022. [Google Scholar]
- Li, Z.; Cheng, L.; Zhang, C.; Zhu, X.; Zhao, H. Multi-source education knowledge graph construction and fusion for college curricula. In Proceedings of the 2023 IEEE International Conference on Advanced Learning Technologies, ICALT, Orem, UT, USA, 10–13 July 2023. [Google Scholar]
- Cheng, H.; Wang, K.; Tan, X. A link prediction method for Chinese financial event knowledge graph based on graph attention networks and convolutional neural networks. Eng. Appl. Artif. Intell. 2024, 138, 109361. [Google Scholar] [CrossRef]
- Zhao, X.; Jiang, R.; Han, Y.; Li, A.; Peng, Z. A survey on cybersecurity knowledge graph construction. Comput. Secur. 2024, 136, 103524. [Google Scholar] [CrossRef]
- Wu, W.; Wen, C.; Yuan, Q.; Chen, Q.; Cao, Y. Construction and application of knowledge graph for construction accidents based on deep learning. Eng. Constr. Archit. Manag. 2023, 32, 1097–1121. [Google Scholar] [CrossRef]
- Yang, W.; Yang, S.; Wang, G.; Liu, Y.; Lu, J.; Yuan, W. Knowledge graph construction and representation method for potato diseases and pests. Agronomy 2024, 14, 90. [Google Scholar] [CrossRef]
- Zhang, W.; Wang, C.; Wu, H.; Zhao, C.; Teng, G.; Huang, S.; Liu, Z. Research on the Chinese named-entity–relation-extraction method for crop diseases based on BERT. Agronomy 2022, 12, 2130. [Google Scholar] [CrossRef]
- Lu, J.; Yang, W.; He, L.; Feng, Q.; Zhang, T.; Yang, S. A method for extracting fine-grained knowledge of the wheat production chain. Agronomy 2024, 14, 1903. [Google Scholar] [CrossRef]
- Wang, K.; Miao, Y.; Wang, X.; Li, Y.; Li, F.; Song, H. Research on the construction of a knowledge graph for tomato leaf pests and diseases based on the named entity recognition model. Front. Plant Sci. 2024, 15, 1482275. [Google Scholar] [CrossRef]
- Memon, J.; Sami, M.; Khan, R.A.; Uddin, M. Handwritten optical character recognition (OCR): A comprehensive systematic literature review (SLR). IEEE Access 2020, 8, 142642–142668. [Google Scholar] [CrossRef]
- Asim, M.N.; Wasim, M.; Khan, M.U.G.; Mahmood, W.; Abbasi, H.M. A survey of ontology learning techniques and applications. Database 2018, 2018, bay101. [Google Scholar] [CrossRef]
- Chen, J.; Mashkova, O.; Zhapa-Camacho, F.; Hoehndorf, R.; He, Y.; Horrocks, I. Ontology embedding: A survey of methods, applications and resources. arXiv 2024, arXiv:2406.10964. [Google Scholar]
- Naqvi, M.R.; Elmhadhbi, L.; Sarkar, A.; Archimede, B.; Karray, M.H. Survey on ontology-based explainable AI in manufacturing. J. Intell. Manuf. 2024, 35, 3605–3627. [Google Scholar] [CrossRef]
- Musen, M.A. The protégé project: A look back and a look forward. AI Matters 2015, 1, 4–12. [Google Scholar] [CrossRef]
- Liu, Y. RoBERTa: A robustly optimized BERT pretraining approach. information systems research. arXiv 2019, arXiv:1907.11692. [Google Scholar]
- Wang, S.; Wang, X.; Wang, S.; Wang, D. Bi-directional long short-term memory method based on attention mechanism and rolling update for short-term load forecasting. Int. J. Electr. Power Energy Syst. 2019, 109, 470–479. [Google Scholar] [CrossRef]
- Reza, S.; Ferreira, M.C.; Machado, J.; Tavares, J.M.R. A multi-head attention-based transformer model for traffic flow forecasting with a comparative analysis to recurrent neural networks. Expert Syst. Appl. 2022, 202, 117275. [Google Scholar] [CrossRef]
- Bose, K.; Sarkar, K. Named entity recognition in bengali and hindi using muril and conditional random fields. SN Comput. Sci. 2024, 5, 856. [Google Scholar] [CrossRef]
- Ma, R.; Han, X.; Yan, L.; Khan, N.; Ma, Z. Modeling and querying temporal RDF knowledge graphs with relational databases. J. Intell. Inf. Syst. 2023, 61, 569–609. [Google Scholar] [CrossRef]
- Miller, J.J. Graph database applications and concepts with Neo4j. In Proceedings of the Southern Association for Information Systems Conference, Atlanta, GA, USA, 23–24 March 2018; pp. 141–147. [Google Scholar]















| Entity (English Name) | Synonym | Pathogen Type | Geographical Distribution |
|---|---|---|---|
| Rice bakanae disease | Phytophthora | Fusarium oxysporum | The whole world |
| Rice ragged stunt virus | Dwarfism with stippled epiphyses | Rice tungro bacilliform virus | Guangdong, Guangxi, Hunan, Fujian |
| Rice dwarf | General dwarf, green dwarf | Plant reovirus group viruses | Southern China |
| Parameter Name | Parameter Value |
|---|---|
| batch_size | 32 |
| seq_max_len | 128 |
| dropout | 0.5 |
| learning rate | 1 × 10−5 |
| Model | Precision (%) | Recall (%) | F1 (%) |
|---|---|---|---|
| RoBERTa-MA-CRF(RMAC) | 93.48 | 91.66 | 93.56 |
| RoBERTa-BiLSTM-CRF(RBC) | 92.35 | 93.01 | 92.68 |
| BiLSTM-MA-CRF(BMAC) | 91.72 | 89.70 | 90.70 |
| MARBC | 95.31 | 93.58 | 94.44 |
Disclaimer/Publisher’s Note: The statements, opinions and data contained in all publications are solely those of the individual author(s) and contributor(s) and not of MDPI and/or the editor(s). MDPI and/or the editor(s) disclaim responsibility for any injury to people or property resulting from any ideas, methods, instructions or products referred to in the content. |
© 2025 by the authors. Licensee MDPI, Basel, Switzerland. This article is an open access article distributed under the terms and conditions of the Creative Commons Attribution (CC BY) license (https://creativecommons.org/licenses/by/4.0/).
Share and Cite
Li, C.; Yang, S.; Liang, D.; Chen, P.; Dong, W. Construction of a Multi-Source, Heterogeneous Rice Disease and Pest Knowledge Graph Based on the MARBC Model. Agronomy 2025, 15, 566. https://doi.org/10.3390/agronomy15030566
Li C, Yang S, Liang D, Chen P, Dong W. Construction of a Multi-Source, Heterogeneous Rice Disease and Pest Knowledge Graph Based on the MARBC Model. Agronomy. 2025; 15(3):566. https://doi.org/10.3390/agronomy15030566
Chicago/Turabian StyleLi, Chunchun, Siyi Yang, Dong Liang, Peng Chen, and Wei Dong. 2025. "Construction of a Multi-Source, Heterogeneous Rice Disease and Pest Knowledge Graph Based on the MARBC Model" Agronomy 15, no. 3: 566. https://doi.org/10.3390/agronomy15030566
APA StyleLi, C., Yang, S., Liang, D., Chen, P., & Dong, W. (2025). Construction of a Multi-Source, Heterogeneous Rice Disease and Pest Knowledge Graph Based on the MARBC Model. Agronomy, 15(3), 566. https://doi.org/10.3390/agronomy15030566

