Response Mechanism of Soil Carbon Pool to Soil Nutrients in Jujube Orchard with Different Cultivation Years
Abstract
1. Introduction
2. Materials and Methods
2.1. Overview of Research Area
2.2. Experimental Design
2.3. Determination Method
2.4. Statistical Analysis
3. Results
3.1. Effects of Jujube Orchard with Different Cultivation Years on Soil Physical Characteristics
3.1.1. Soil Electrical Conductivity
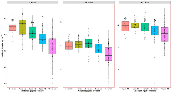
3.1.2. Soil Bulk Density
3.1.3. Soil pH
3.1.4. Specific Gravity of Soil
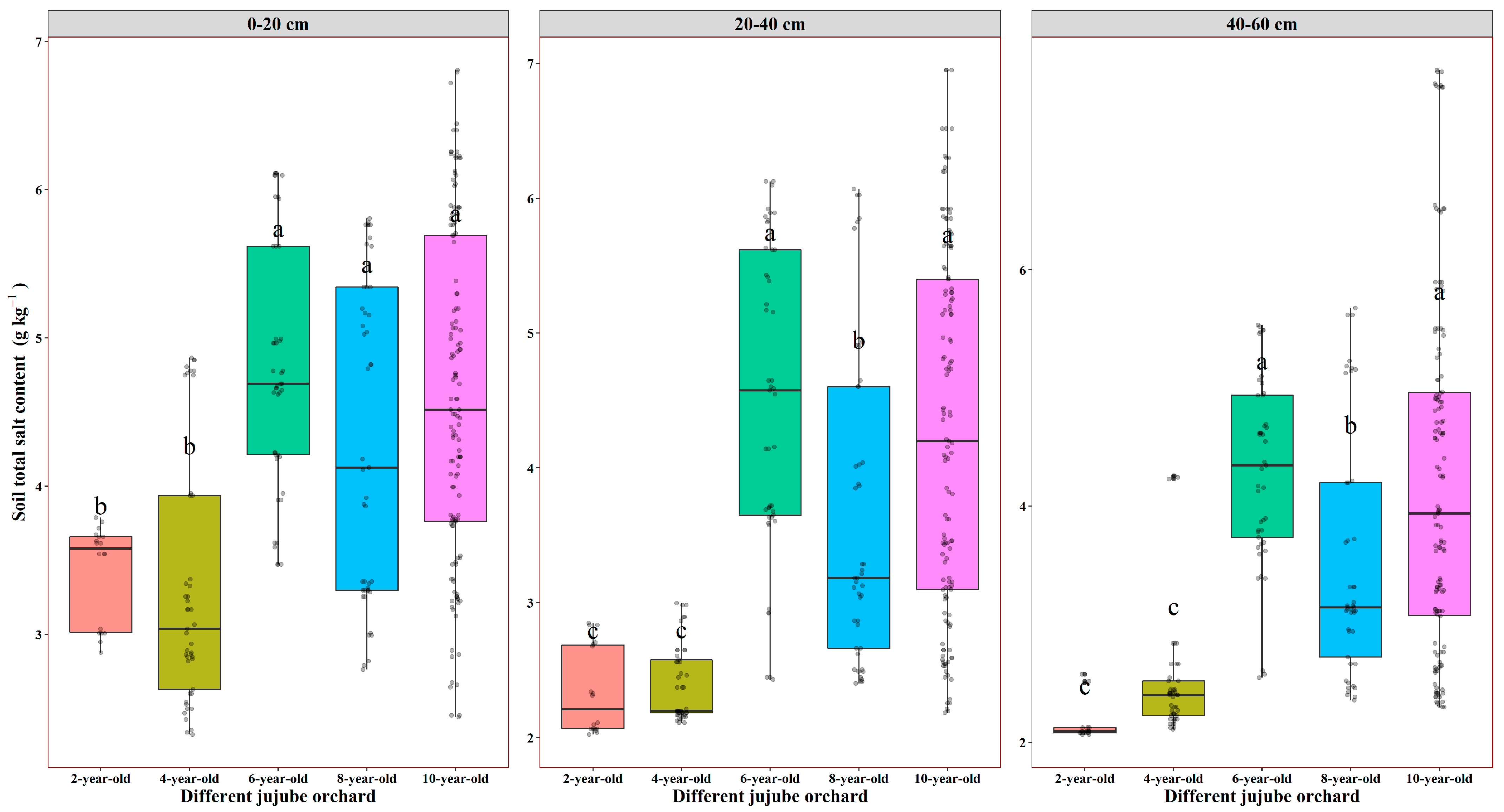
3.1.5. Total Soil Salt Content
3.1.6. Total Soil Porosity
3.2. Effects of Jujube Orchard with Different Cultivation Years on Soil Nitrogen, Phosphorus, and Potassium Content
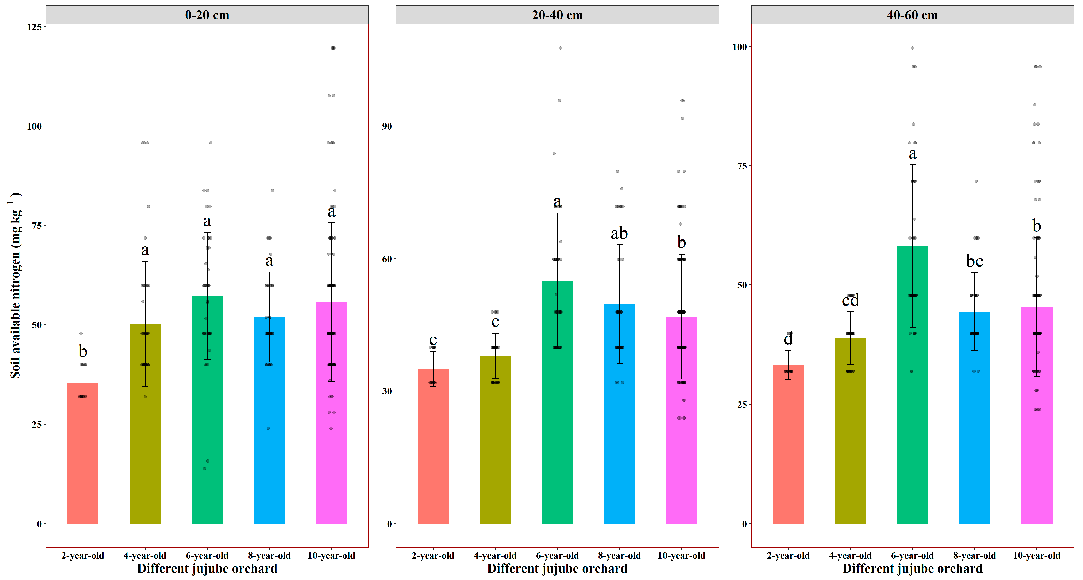
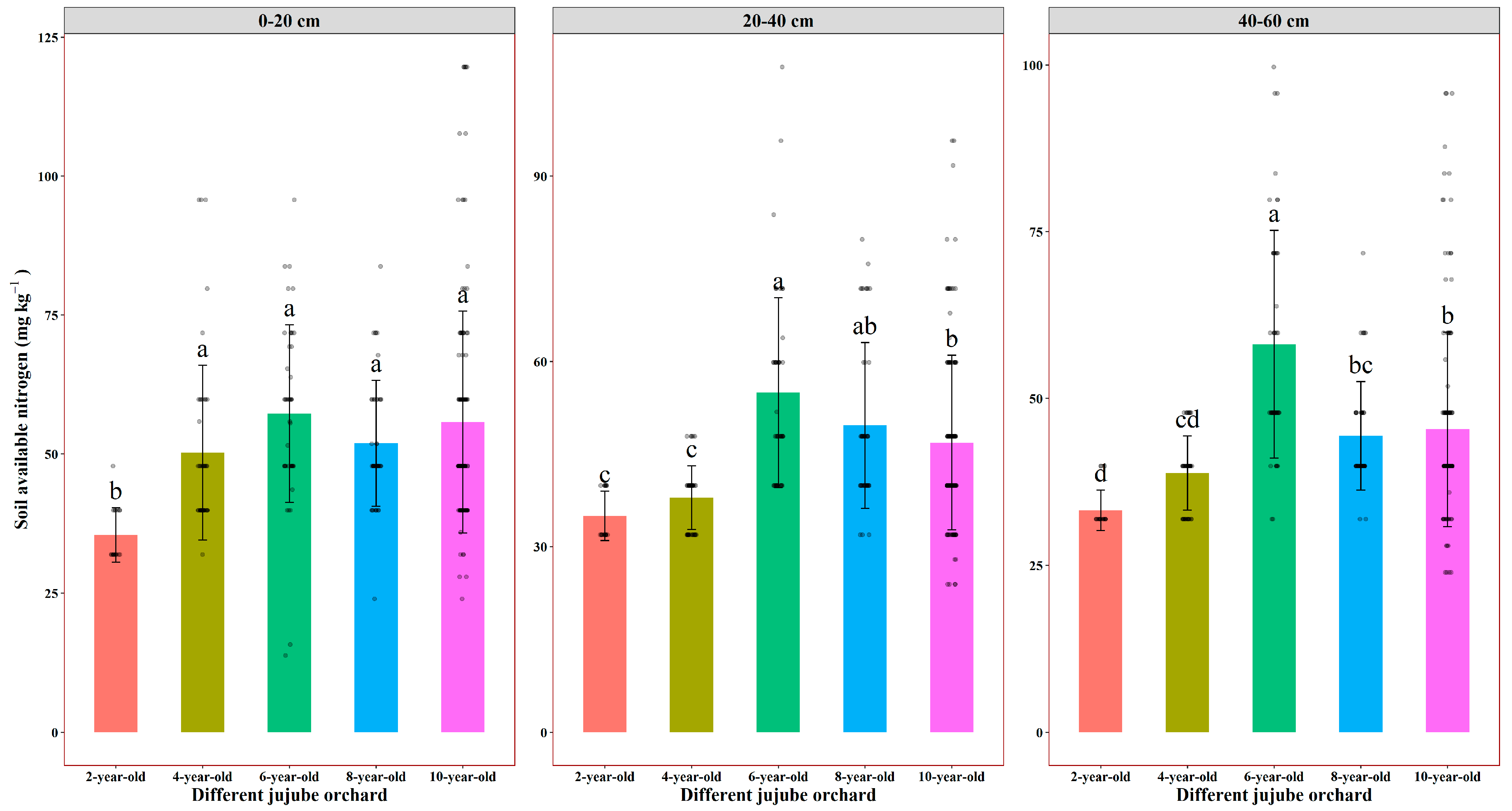
3.2.1. Soil Available Nitrogen
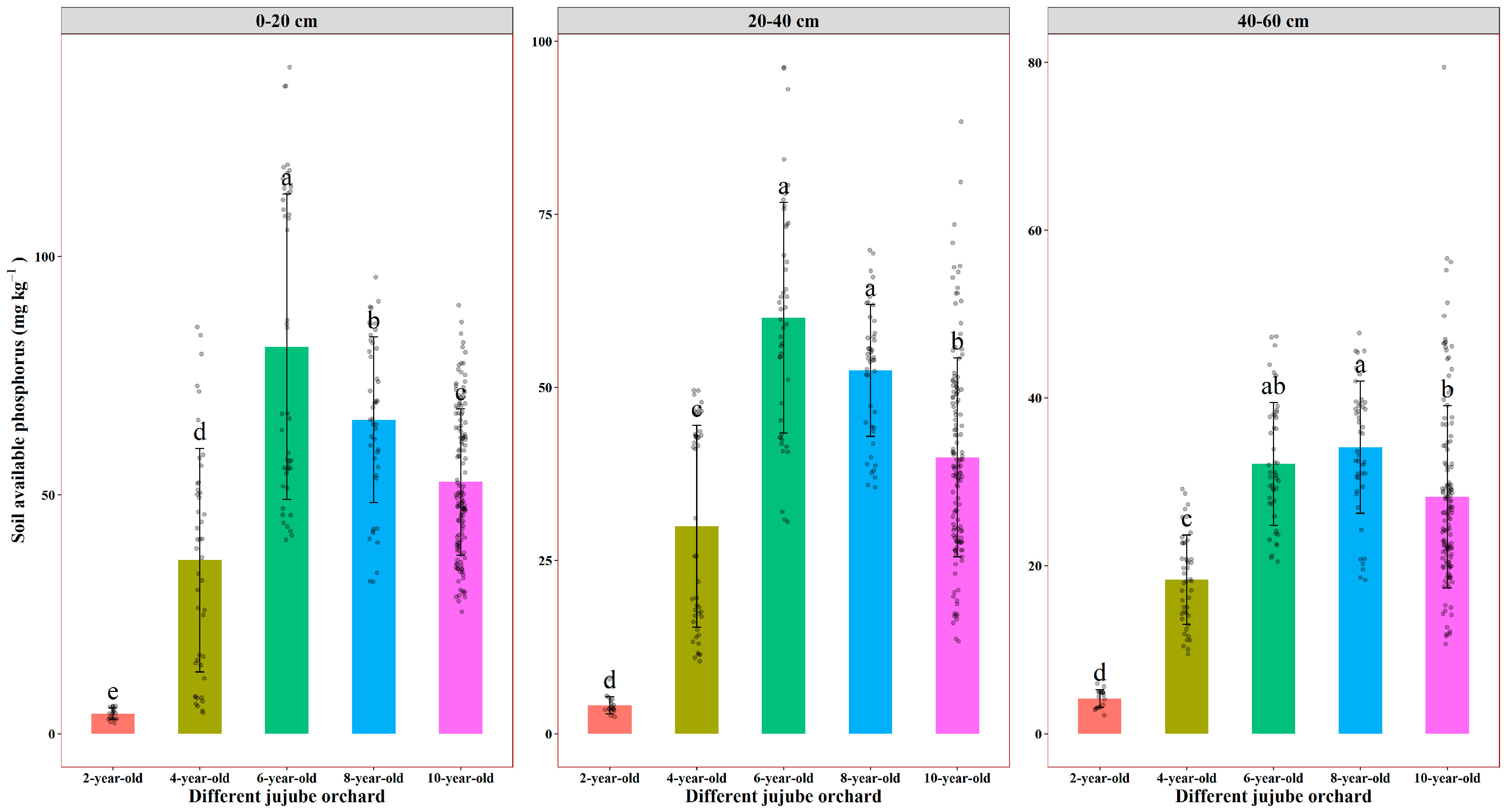
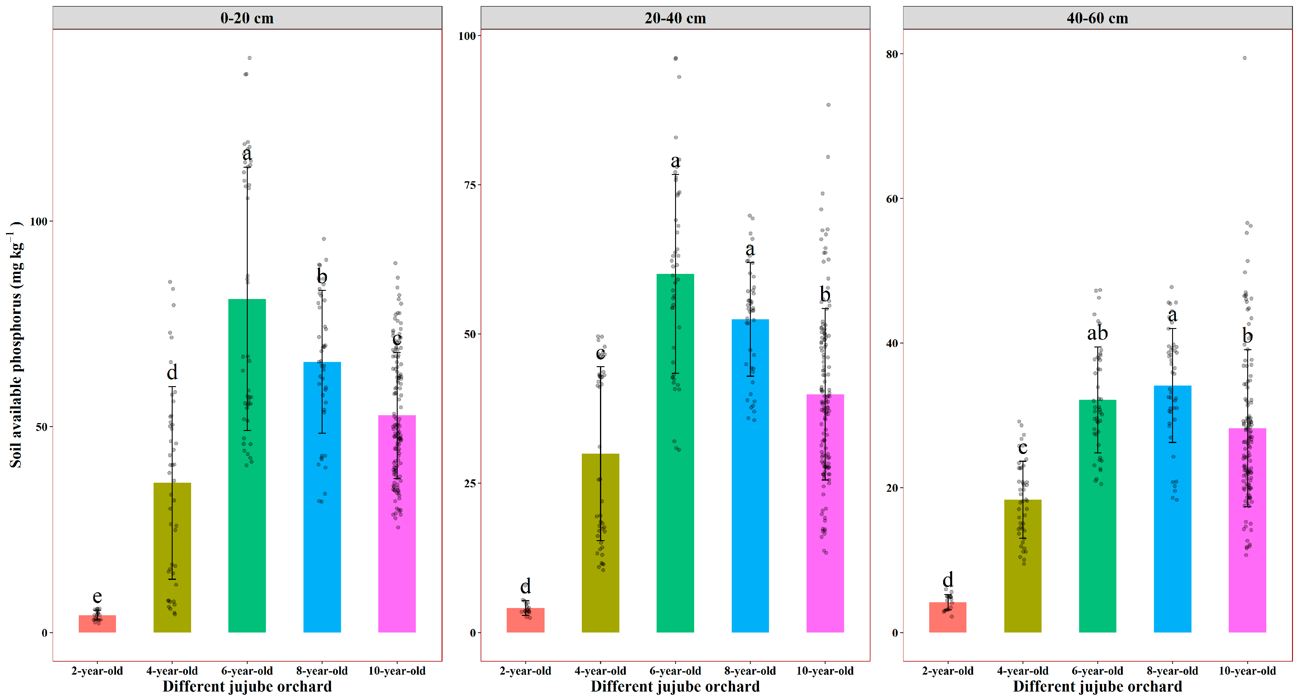
3.2.2. Soil Available Phosphorus
3.3. Effects of Planting Years on Soil Organic Carbon Components
3.3.1. Soil Organic Carbon
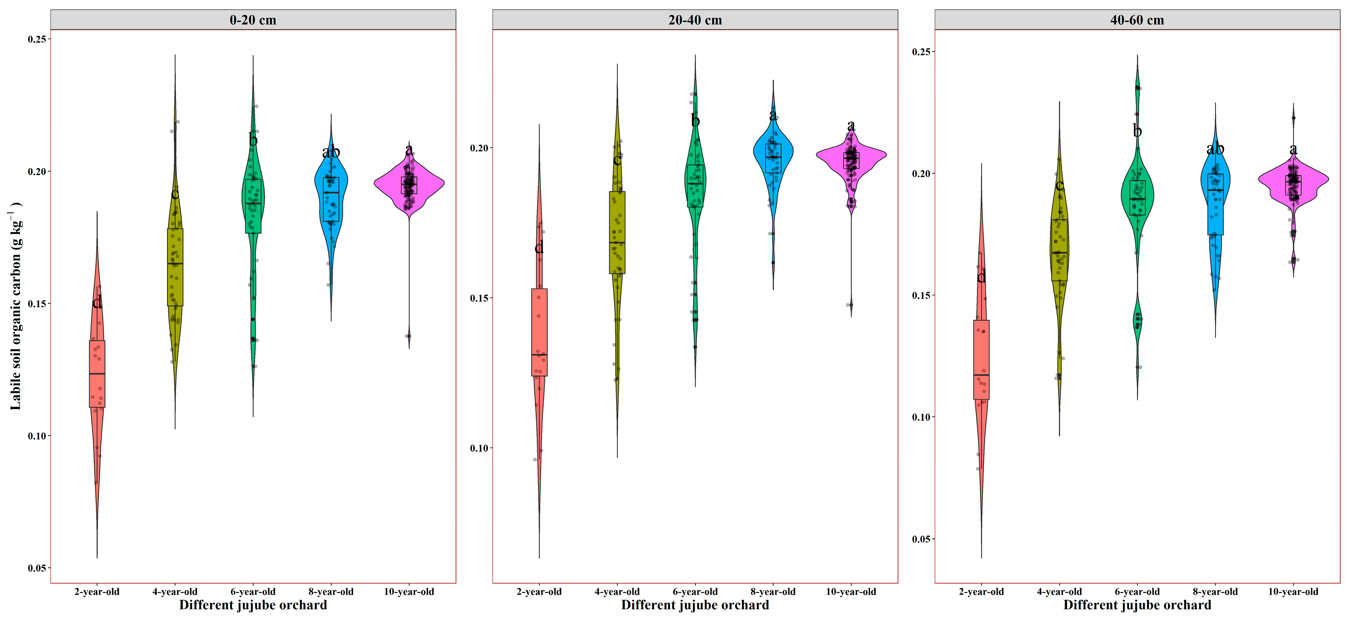
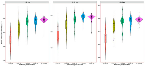
3.3.2. Labile Soil Organic Carbon
3.3.3. Non-Labile Soil Organic Carbon
3.3.4. Sensitivity of Carbon Pool
3.3.5. Correlation of Soil Organic Carbon Components
3.4. Correlation Between Different Indicators
3.4.1. Structural Equation Model of 0–20 cm Soil Layer
3.4.2. Structural Equation Model of 20–40 cm Soil Layer
3.4.3. Structural Equation Model of 40–60 cm Soil Layer
4. Discussion
4.1. Effects of Planting Years on Physical and Chemical Properties of Orchard Soil
4.2. Characteristics of Soil Organic Carbon Fraction Content in Jujube Orchards
4.3. Analysis of Influencing Factors of Soil Carbon Pool Activity in Jujube Orchard
5. Conclusions
Supplementary Materials
Author Contributions
Funding
Data Availability Statement
Conflicts of Interest
References
- Kiem, R.; Kögel-Knabner, I. Contribution of lignin and polysaccharides to the refractory carbon pool in c-depleted arable soils. Soil Biol. Biochem. 2003, 35, 101–118. [Google Scholar] [CrossRef]
- Marfella, L.; Mairota, P.; Marzaioli, R.; Glanville, H.C.; Pazienza, G.; Rutigliano, F.A. Long-term impact of wildfire on soil physical, chemical and biological properties within a pine forest. Eur. J. For. Res. 2024, 143, 1379–1399. [Google Scholar] [CrossRef]
- Bhogal, A.; Nicholson, F.A.; Chambers, B. J Organic carbon additions: Effects on soil bio-physical and physico-chemical properties. Eur. J. Soil Sci. 2010, 60, 276–286. [Google Scholar] [CrossRef]
- Zhang, F.; Li, C.; Wang, Z.; Wu, H. Modeling impacts of management alternatives on soil carbon storage of farmland in northwest China. Biogeosciences 2006, 3, 451–466. [Google Scholar] [CrossRef]
- Mudrák, O.; Angst, Š.; Angst, G.; Veselá, H.; Schnablová, R.; Herben, T.; Frouz, J. Ecological significance of standing dead phytomass: Marcescence as a puzzle piece to the nutrient cycle in temperate eco-systems. J. Ecol. 2023, 111, 2245–2256. [Google Scholar] [CrossRef]
- Lal, R. Soil carbon sequestration impacts on global climate change and food security. Science 2004, 11, 5677. [Google Scholar] [CrossRef]
- Yu, H.; Wei, T.X.; Chen, Y.X.; Sha, G.L.; Ren, K.; Xin, P.C.; Guo, X. Distribution characteristics of soil organic carbon stocks in typical orchards in loess hilly region of northwestern China. J. Beijing For. Univ. 2023, 45, 100–107. [Google Scholar]
- Kovel, C.G.F.D.; Van Mierlo, A.J.E.M.; Wilms, Y.J.O.; Berendse, F. Carbon and nitrogen in soil and vegetation at sites differing in successional age. Plant Ecol. 2000, 149, 43–50. [Google Scholar] [CrossRef]
- Tang, J.W.; Bolstad, P.V.; Martin, J.G. Soil carbon fluxes and stocks in a great lakes forest chronosequence. Glob. Change Biol. 2009, 15, 145–155. [Google Scholar] [CrossRef]
- Wang, D.; Fu, B.J.; Zhao, W.W.; Hu, H.F.; Wang, Y.F. Multifractal characteristics of soil particle size distribution under different land-use types on the loess plateau, China. Catena 2008, 72, 29–36. [Google Scholar] [CrossRef]
- Haney, R.L. Use of the Solvita gel system to measure soil carbon dioxide respiration as a measure of soil fertility. Natural Resources Research Update (NRRU), 14 January 2010; Update #0000249763. [Google Scholar]
- Gentile, L.; Floudas, D.; Olsson, U.; Persson, P.; Tunlid, A. Fungal decomposition and transformation of molecular and colloidal fractions of dissolved organic matter extracted from boreal forest soil. Soil Biol. Biochem. 2024, 195, 109473. [Google Scholar] [CrossRef]
- Wang, L.N.; Li, J.G.; Zhao, W.; Sun, J.; Huang, Y.; Wang, S.Q.; Wang, F.M.; Wang, S.; Yang, Z.P.; Wang, H.G. Analysis of soil nutrients and evaluation of fertility in jujube orchards in four regions of southern Xinjiang. Nonwood For. Res. 2022, 40, 144–152. [Google Scholar]
- Uruci, P.; Sippial, D.; Drosatou, A.P.S.N. Estimation of secondary organic aerosol formation parameters for the volatility basis set combining thermodenuder, iso-thermal dilution, and yield measurements. Atmos. Meas. Tech. 2023, 16, 3155–3172. [Google Scholar] [CrossRef]
- Mao, H.T.; Huang, Q.H.; Wu, H.B. Soil salinization features in arid areas farmland. Trans. Chin. Soc. Agric. Eng. 2016, 32, 112–117. [Google Scholar]
- Gong, Y.; Zhao, X.; Cai, Z.; O’Reilly, S.E.; Hao, X.; Zhao, D. A review of oil, dispersed oil and sediment interactions in the aquatic environment: Influence on the fate, transport and remediation of oil spills. Mar. Pollut. Bull. 2014, 79, 16–33. [Google Scholar] [CrossRef]
- Ball, M.C.; Cochrane, M.J.; Rawson, H.M. Growth and water use of the mangroves Rhizophora apiculata and R. stylosa in response to salinity and humidity under ambient and elevated concentrations of atmospheric CO2. Plant Cell Environ. 2010, 20, 1158–1166. [Google Scholar] [CrossRef]
- Withers, P.J.A.; Hartikainen, H.; Barberis, E.; Flynn, N.J.; Warren, G.P. The effect of soil phosphorus on particulate phosphorus in land runoff. Eur. J. Soil Sci. 2010, 60, 994–1004. [Google Scholar] [CrossRef]
- Ramos, M.F.; Almeida, W.R.D.S.; Amaral, R.D.L.D.; Suzuki, L.E.A.S. Degree of compactness and soil quality of peach orchards with different production ages. Soil Tillage Res. 2022, 219, 105324. [Google Scholar] [CrossRef]
- Li, S.; Liu, Y.; Sha, Z.P.; Li, S.; Yang, Q. Adding nitrification inhibitors to N fertilisers induces rhizosphere acidification and enhances P acquisition: A meta-analysis. Eur. J. Agron. 2023, 151, 126967. [Google Scholar] [CrossRef]
- Lv, J.; Zhang, X.; Sha, Z.P.; Li, S.; Chen, X.; Chen, Y.; Liu, X. Mitigation of reactive nitrogen loss from arable soils through microbial inoculant application: A meta-analysis. Soil Tillage Res. 2024, 235, 105883. [Google Scholar] [CrossRef]
- Xu, M.G.; Zhang, W.J.; Huang, S.M. Variation of Soil Fertility in China; China Agricultural Science and Technology Press: Beijing, China, 2015. [Google Scholar]
- Wei, Y.Q.; Xiong, X.; Ryo, M.; Badgery, W.B.; Bi, Y.X.; Yang, G.W.; Zhang, Y.J.; Liu, N. Repeated litter inputs promoted stable soil organic carbon formation by increasing fungal dominance and carbon use efficiency. Biol. Fertil. Soils 2022, 58, 619–631. [Google Scholar] [CrossRef]
- Xu, C.; Wang, X.M.; Chen, B.L.; Chai, Z.P.; Ding, K.; Huo, K.L. Research on the characteristics of soil nutrients in a ‘Korla fragrant pear’ orchard with different ages for the trees. J. Fruit Sci. 2016, 33, 275–282. [Google Scholar]
- Li, J.; Shangguan, Z.; Deng, L. Free particulate organic carbon plays critical roles in carbon accumulations during grassland succession since grazing exclusio. Soil Tillage Res. 2022, 220, 220. [Google Scholar] [CrossRef]
- Fontaine, S.; Barot, S.; Barré, P.; Bdioui, N.; Mary, B.; Rumpel, C. Stability of organic carbon in deep soil layers controlled by fresh carbon supply. Nature 2007, 450, 277–280. [Google Scholar] [CrossRef]
- Huang, X.; Horn, R.; Ren, T. Soil structure effect on deformation, pore water pressure, and consequences for air conductively during compaction and subsequent shearing. Geoderma 2022, 406, 115452. [Google Scholar] [CrossRef]
- Wang, A.N.; Zhang, Y.F.; Wang, G.L.; Zhang, Z.Q. Soil physicochemical properties and microorganisms jointly regulate the variations of soil carbon and nitrogen cycles along vegetation restoration on the loess plateau, China. Plant Soil 2024, 2, 413–436. [Google Scholar] [CrossRef]
- Yu, B.; Stott, P.; Di, X.Y.; Yu, H.X. Assessment of land cover changes and their effect on soil organic carbon and soil total nitrogen in Daqing prefecture, China. Land Degrad. Dev. 2014, 25, 520–531. [Google Scholar] [CrossRef]
- Larkin, R.P.; Griffin, T.S.; Honeycutt, C.W. Rotation and cover crop effects on soilborne potato diseases, tuber yield, and soil microbial communities. Plant Dis. 2010, 94, 1491–1502. [Google Scholar] [CrossRef]
- Orlova, O.; Kichko, A.A.; Chirak, E.L.; Zverev, A.O.; Lisina, T.O.; Andronov, E.E. Dependence of soil bacterial community on the amount of available organic matter during straw decomposition. Eurasian Soil Sci. 2023, 56, 639–650. [Google Scholar] [CrossRef]
- Mohiuddin, M.; Ali, J.; Leta, M.K.; Waseem, M.; Irshad, M.; Hussain, Z. Estimation of iodine leaching in soil amended with organic and inorganic materials using hydrus 1-d model. Sustainability 2021, 13, 10967. [Google Scholar] [CrossRef]
- Lorenz, K.; Lal, R. Soil organic carbon sequestration in agroforestry systems. A review. Agron. Sustain. Dev. 2014, 34, 443–454. [Google Scholar] [CrossRef]
- Gong, X.; Liu, Y.Q.; Li, Q.L.; Wei, X.H.; Guo, X.M.; Niu, D.K.; Zhang, W.Y.; Zhang, J.X.; Lu, Z. Sub-tropic degraded red soil restoration: Is soil organic carbon build-up limited by nutrients supply. For. Ecol. Manag. 2013, 300, 77–87. [Google Scholar] [CrossRef]
- Li, J.W.; Sun, X.Q.; Li, M.; Zou, J.Y.; Bian, H.F. Effects of stand age and soil organic matter quality on soil bacterial and fungal community composition in Larix gmelinii orchards, northeast China. Land Degrad. Dev. 2022, 33, 1249. [Google Scholar] [CrossRef]
- Gui, D.; Zhang, Y.; Lv, J.; Guo, J.; Sha, Z.P. Effects of intercropping on soil greenhouse gas emissions—A global meta-analysis. Sci. Total Environ. 2024, 918, 170632. [Google Scholar] [CrossRef]
- Phukongchai, W.; Kaewpradit, W.; Rasche, F. Inoculation of cellulolytic and ligninolytic microorganisms accelerates decomposition of high C/N and cellulose rich sugar-cane straw in tropical sandy soils. Appl. Soil Ecol. 2022, 172, 104355. [Google Scholar] [CrossRef]
- Soumare, A.; Sarr, D.; Didhiou, A.G. Potassium sources, microorganisms and plant nutrition: Challenges and future research directions. Pedosphere 2023, 33, 105–115. [Google Scholar] [CrossRef]
- Beata, H.; Rastislav, B.; Jarmila, M. Contribution of good agricultural practices to soil biodiversity. Open J. Ecol. 2021, 11, 75–85. [Google Scholar]
- Tao, J.; Zhang, Z.H.; Zhang, L.M.; Li, J.W.; Wu, Y.F.; Pei, C.L.; Nie, F.L. Quantifying the relative contributions of aqueous phase and photochemical processes to water-soluble organic carbon formation in winter in a megacity of south China. Chemosphere 2022, 300, 134598. [Google Scholar] [CrossRef]
- Zhang, G.; Dou, S.; Meng, F.; Yin, X.; Zhou, X. Transformation of biochar into extracted humic substances under short-term laboratory incubation conditions: Evidence from stable carbon isotopes. Soil Tillage Res. 2022, 215, 105189. [Google Scholar] [CrossRef]
- Li, X.; Zhang, Q.; Feng, J.; Jiang, D.; Zhu, B. Forest management causes soil carbon loss by reducing particulate organic carbon in Guangxi, southern China. For. Ecosyst. 2023, 10, 100092. [Google Scholar] [CrossRef]
- Suzuki, L.E.A.S.; Reinert, D.J.; Secco, T.R.J.M. Soil structure under forest and pasture land-uses affecting compressive behavior and air permeability in a subtropical soil. Soil Syst. 2022, 6, 98. [Google Scholar] [CrossRef]
- Cheng, B.B. Determination of soil pH. Chem. Teach. Learn. 2014, 04, 95–97. [Google Scholar]
- Cai, L.H.; Chen, L.; Zhang, Y.P. Study and application of conductivity method for determination of total salt content in water and soil. Xinjiang Agric. Reclam. Sci. Technol. 2015, 38, 62–65. [Google Scholar]
- Bao, S.D. Soil and Agricultural Chemistry Analysis; China Agriculture Press: Beijing, China, 2000. [Google Scholar]
- Liu, B.; Chen, H.L. Comparison of methods for determination of organic matter in soil. Guangdong Chem. Ind. 2017, 14, 238–240. [Google Scholar]
- Zhao, H.; Lv, Y.Z.; Yang, X.; Zhou, L.R.; Jin, X.S. Effects of Different Fertilization Proportions on Organic Carbon Content of Black Soil and Carbon Pool Management Index. Sci. Agric. Sin. 2009, 9, 3164–3169. [Google Scholar]
















Disclaimer/Publisher’s Note: The statements, opinions and data contained in all publications are solely those of the individual author(s) and contributor(s) and not of MDPI and/or the editor(s). MDPI and/or the editor(s) disclaim responsibility for any injury to people or property resulting from any ideas, methods, instructions or products referred to in the content. |
© 2025 by the authors. Licensee MDPI, Basel, Switzerland. This article is an open access article distributed under the terms and conditions of the Creative Commons Attribution (CC BY) license (https://creativecommons.org/licenses/by/4.0/).
Share and Cite
Zhang, Y.; Li, X.; Zhou, X.; Duan, B.; Wu, C.; Jing, S. Response Mechanism of Soil Carbon Pool to Soil Nutrients in Jujube Orchard with Different Cultivation Years. Agronomy 2025, 15, 472. https://doi.org/10.3390/agronomy15020472
Zhang Y, Li X, Zhou X, Duan B, Wu C, Jing S. Response Mechanism of Soil Carbon Pool to Soil Nutrients in Jujube Orchard with Different Cultivation Years. Agronomy. 2025; 15(2):472. https://doi.org/10.3390/agronomy15020472
Chicago/Turabian StyleZhang, Yuyang, Xiangyu Li, Xiaofeng Zhou, Bianhui Duan, Cuiyun Wu, and Shaungquan Jing. 2025. "Response Mechanism of Soil Carbon Pool to Soil Nutrients in Jujube Orchard with Different Cultivation Years" Agronomy 15, no. 2: 472. https://doi.org/10.3390/agronomy15020472
APA StyleZhang, Y., Li, X., Zhou, X., Duan, B., Wu, C., & Jing, S. (2025). Response Mechanism of Soil Carbon Pool to Soil Nutrients in Jujube Orchard with Different Cultivation Years. Agronomy, 15(2), 472. https://doi.org/10.3390/agronomy15020472
