Abstract
The tillage method and straw returning are the two most important agronomic measures for crop production, but their combined effects on nutrient accumulation and utilization and grain yield in dryland winter wheat (Triticum aestivum L., namely wheat)–summer maize (Zea mays L., namely maize) double-cropping system are still poorly understood. The present study delves into the impact of the tillage method and straw returning on yield and nutrient accumulation and utilization in wheat–maize double-cropping system based on a field split-plot positioning experiment (started in October 2009). Three tillage methods—plowing (PT, 30–35 cm in depth), rotary tillage (RT, 12–15 cm in depth), no-tillage (NT)—and two straw management—zero straw returning (S0) and straw returning (SR)—were assigned to the main plots and subplots, respectively, thus encompassing six distinct treatments of PTS0, PTSR, RTS0, RTSR, NTS0, and NTSR. The grain yield and its components; the nitrogen (N), phosphorus (P), and potassium (K) accumulation at maturity; and the internal efficiency of N, P, and K in wheat and maize from 2018 to 2022 were investigated. The results indicated that in the experimental years, tillage methods and straw management significantly affected wheat, maize, and annual yield. Compared with NT, RT significantly increased wheat yield by 9.5% and maize K accumulation by 5.8%, and PT significantly increased wheat K accumulation by 11.1% and the yield and N, P, and K accumulation of maize by 6.3%, 7.8%, 8.9%, and 5.3%. Compared with RT, PT significantly increased yield and K accumulation in wheat and yield and N and P accumulation in maize. Compared with NTSR, PTSR significantly increased the yield and N, P, and K accumulation in wheat, but it did not affect yield and nutrient accumulation in maize; RTSR significantly increased wheat yield while it significantly decreased yield and N, P, and K accumulation in maize. Compared with RTSR, PTSR significantly increased the yield and N, P, and K accumulation by 4.0%, 19.5%, 19.6%, and 7.0% in wheat, respectively, and 7.5%, 6.1%, 13.3% and 13.6% in maize. Under the same tillage method, compared with S0, SR significantly increased crop yield and N, P, and K accumulation by 2.4–25.4%, 8.5–43.3%, 12.9–37.8%, and 11.0–51.0%, but it significantly reduced wheat K internal efficiency and maize N, P, K internal efficiency. The effectiveness of straw management on crop yield and N, P, and K accumulation was greater than that of tillage methods. Therefore, the combination of plowing tillage with straw returning (PTSR) is an effective tactic to promote crop yield in dryland wheat–maize double-cropping system. This study offered insights for achieving high yield by regulating the accumulation and internal efficiency of plant N, P, and K nutrients in wheat–maize double-cropping system in drought-prone areas and environments similar to the study areas.
1. Introduction
Drylands account for 75% of arable land in the world and are at the forefront of the production of major staple crops such as maize and wheat []. The winter wheat and summer maize (hereafter referred to as wheat–maize) double-cropping system is one of the important planting systems in drylands []. However, the wheat–maize double-cropping regions in drylands face challenges such as water scarcity, poor soil fertility, and relatively backward cultivation practices, resulting in generally low and unstable crop yields []. Nitrogen (N), phosphorus (P), and potassium (K) are the three essential elements required in large amounts by plants to ensure growth, development, grain yield, and quality, and their accumulation and utilization characteristics are closely related to crop yield formation [,]. The nutrient internal efficiency reflects the grain production capacity of the accumulated nutrients such as N, P, and K in above-ground parts [,], which can be regulated by many agronomic measures [,,,]. Higher nutrient internal efficiency means that a higher yield was obtained under the same nutrient accumulation []. Therefore, it is of great importance to improve the N, P, and K accumulation and its internal efficiency in the wheat–maize double-cropping system for enhancing crop yields and ensuring food security.
Reasonable tillage methods can optimize soil properties, harmonizing the relationships among water, fertilizer, air, and heat in the soil, promoting the growth of crop roots and above-ground parts, enhancing nutrient accumulation and utilization, and ultimately improving crop yield [,,,,,,,,,]. In the wheat–maize double-cropping system in the semi-humid region of China, Kuang et al. [] demonstrated that deep tillage improved soil properties, leading to significant increases in crop productivity, compared to rotary tillage. Similarly, Latifmanesh et al. [] found that plowing increased yield by 8.0% and 4.4%, respectively, compared to rotary tillage and no-tillage. Franzluebbers et al. [] suggested that no-tillage is beneficial for water retention, positively affecting crop yield in drylands. However, Cid et al. [] argued that no-tillage increased soil compaction and restricted root growth, resulting in a remarkable reduction of crop yields in drylands. Li et al. [] found that in rice–wheat double-cropping system, no-tillage significantly increased the N and K accumulation in wheat and improved grain yield compared to rotary tillage. Li et al. [] observed that no-tillage resulted in significantly lower maize yields and P use efficiency compared to rotary tillage in irrigated wheat–maize double-cropping system. Chen et al. [] found that in Huang–Huai–Hai Plain, plowing increased winter wheat yield compared to rotary tillage, but reduced N use efficiency; moreover, the N use efficiency under rotary tillage showed a decreasing trend with increasing years of planting. These results indicated that the effects of tillage methods on crop yield and nutrient accumulation are not conclusive and vary among different research regions and cropping systems.
Crop straw contains a large amount of organic matter and nutrients such as N, P, and K. Straw returning to the field (hereafter referred to as straw returning) has been proven to increase soil nutrient content, improve soil texture and soil thermal and moisture properties, and enhance the growth and physiological characteristics of root and above-ground parts, thereby affecting the nutrient accumulation and utilization by crops [,,,]. Qu et al. [] found that straw significantly increased wheat yield and the above-ground N, P, and K accumulation but significantly reduced the N, P, and K internal efficiency of wheat in dryland wheat mono-cropping systems on the Loess Plateau. Zhang et al. [] discovered that no-tillage with straw mulching was more beneficial to improving soil fertility than traditional tillage, simultaneously increasing yield and N, P, and K accumulation in grains in a consecutive 10-year maize mono-cropping system in drylands on the Loess Plateau. Studies in the wheat–maize double-cropping region under irrigation conditions also showed that straw returning significantly increased crop yield and N use efficiency compared to zero straw returning []. Additionally, the effects of tillage methods and straw management on crop yield and nutrient accumulation are interactive. For example, a meta-analysis by Yang et al. [] found that the yield-increasing effect of straw returning under no-tillage or plowing tillage was significantly higher than under rotary tillage. Kong et al. [] reported that deep tillage and straw returning increased the above-ground N and P accumulation in wheat compared to the treatments with rotary tillage after straw returning in rice–wheat double-cropping system.
Overall, tillage methods and straw management play a regulatory role in crop productivity. However, the previous studies were mainly focused on the mono-cropping system in dryland regions or the wheat–maize double-cropping system in irrigated regions. Moreover, the research indicators mainly concentrated on soil moisture and thermal characteristics, physical and chemical properties, crop yield, water and nutrient uptake, and physiological and biochemical traits. However, the regulatory effects of tillage methods and straw management, and their interactions on nutrient accumulation and utilization in the dryland wheat–maize double-cropping system, are not well understood. Therefore, this study carried out a long-term positioning experiment initiated in 2009 in a typical dryland double-cropping area, which included six treatments of plowing tillage with zero straw returning (PTS0), plowing tillage with straw returning (PTSR), rotary tillage with zero straw returning (RTS0), rotary tillage with straw returning (RTSR), no-tillage with zero straw returning (NTS0), and no-tillage with straw returning (NTSR). The objectives of the present study were to (1) evaluate the effects of tillage methods and straw management; their interactions on wheat and maize yields; N, P, and K accumulation; and their internal efficiency and (2) to provide a reference for high-yield and high-efficiency production in the dryland wheat–maize double-cropping system.
2. Materials and Methods
2.1. Experimental Site Description
A field experiment was performed from October 2009 to June 2022 at the Kaiyuan Experimental Station of Henan University of Science and Technology (112.25° E, 34.36° N), which is located in the Luolong district, Luoyang city, Henan Province, China. The experimental site is characterized by a semi-humid drought-prone and temperate continental monsoon climate. The annual average temperature was 14.6 °C, with annual precipitation of 400–800 mm, with above 60% rainfall concentrated from June to September (Figure 1). The double-cropping mode of winter wheat–summer bean was employed from October 2009 to October 2018, and wheat–maize was employed from October 2018 to October 2022. The soil was classified as heavy loam according to the FAO (1993) []. At the initiation of the experiment in 2009, the basic properties in the 0–20 cm soil layer were as follows: organic matter content of 15.9 g kg−1, alkali-hydrolyzable N content of 36.3 g kg−1, available phosphorus content of 21.0 mg kg−1, available potassium content of 120.6 mg kg−1, and pH of 8.1. The soil physical and chemical properties in 0–5 cm, 5–15 cm, and 15–35 cm under different treatments in October 2018 are shown in Table 1.

Figure 1.
Monthly precipitation at the experimental site in the experimental years from 2018 to 2022. The broken line shows the average precipitation of 30 years from 1992 to 2022.

Table 1.
Soil physical and chemical properties under each treatment in 2018.
2.2. Experimental Design
The experiment was conducted using split-plot design with tillage method as the main plot treatment, and straw management as the subplot treatment. The three tillage methods were plowing tillage (PT), rotary tillage (RT), and no-tillage (NT). Two straw management methods were zero straw returning (S0) and straw returning (SR). Thus, six treatments were laid out in the experiment: plowing tillage with zero straw returning (PTS0), plowing tillage with straw returning (PTSR), rotary tillage with zero straw returning (RTS0), rotary tillage with straw returning (RTSR), no-tillage with zero straw returning (NTS0), and no-tillage with straw returning (NTSR). The detailed operations are shown in Table 2. There were three replications for each treatment, and the plot area was 60 m2 (20 m × 3 m). Wheat cultivar ‘Luohan 6’ in 2018–2022 and maize cultivar ‘Shenrui 565’ in 2018–2020 and ‘Zhendan 958’ in 2020–2022 were used. Wheat was sown in middle or late October at a seeding rate of 180.0–225.0 kg ha−1 depending on the seeding date and harvested in late May or early June. Maize was sown in early or middle June at a plant density of 60,000 plants ha−1 and harvested in late September or early October. The row spaces of wheat and maize were 20 cm and 60 cm, respectively. There was no irrigation during the whole experimental period from 2009 to 2022. Compound fertilizer (N:P2O5:K2O = 25:10:5) with the amount of 750 kg·ha−1 was base applied for both wheat and maize. Weeds, pests, and diseases were controlled with herbicides and pesticides according to local practices.

Table 2.
Experimental treatments and operation methods.
2.3. Measurements and Methods
2.3.1. Grain Yield
At maturity of wheat in 2019–2022, three random areas (1 m × 1 m) in each plot were harvested by hand to measure grain yield (kg ha−1). After air drying, the samples in each plot were threshed, and 50 ± 5 g grains were oven-dried at 70 °C to a constant weight. Grain moisture was measured, and the yield (kg ha−1) was calculated based on a grain moisture content of 12.5%. Meanwhile, the number of spikes from two random areas (1 m × 1 m) in each plot was calculated, and 30 spikes were sampled to measure the grains per spike and thousand grain weight.
At maturity of maize in 2019–2022, the number of plants from three random areas (5 m × 1.8 m) in each plot was measured, and then 10 ears were sampled from the three measuring areas. After air drying, the samples in each plot were threshed, and 50 ± 5 g grains were oven-dried at 70 °C to a constant weight. Grain moisture was measured, and the yield (kg ha−1) was calculated based on a grain moisture content of 14.0%. Meanwhile, the grains per ear and hundred grain weight were measured based on the 10 ears from each plot.
2.3.2. Plant N, P, K Accumulation
At maturity of wheat and maize in the experimental years of 2020–2022, 50 wheat plants and 10 maize plants were sampled from three distinct rows in each plot. After cutting off the root, wheat samples were separated into three components in terms of stem + sheath + leaf, rachis + glume and grain, and maize samples were separated into four components in terms of stem, leaf, rachis + glume, and grain. Sub-samples were oven-dried at 105 °C for 30 min and then at 80 °C to determine the water contents. Then, the oven-dried samples of grain, straw, and glume were ground with a ball miller (MM400, RETSCH, Haan, Germany) and then digested with H2SO4-H2O2 []. The N and P concentrations in the digest solution were determined using an AutoAnalyzer 3 (AA3, Seal Company, Norderstedt, Germany), and K concentration was measured using a flame spectrophotometer (Flame Photometer 410, Sherwood Company, Buckinghamshire, UK). The N, P, and K accumulation in each organ were calculated as the dry weight (kg ha−1) multiplied by the corresponding N, P, and K concentration (g kg−1), and the above-ground N, P, and K accumulation (kg ha−1) was calculated from the summed nutrient accumulation by each organ [].
2.3.3. N, P, K Internal Efficiency
The N, P, K internal efficiency was calculated according to Ciampitti [,]:
where Yg is the wheat grain yield (kg ha−1); Ut is the total nutrient uptake of N, P, and K in the above-ground biomass (kg ha−1).
N (P, K) internal efficiency (kg kg−1) = Yg ÷ Ut
2.4. Statistical Analysis
Data collation was carried out using Microsoft Excel 2016 software. Means of the data for tillage methods, straw management, and their interaction were calculated by averaging the different values, with 6 for tillage method, 9 for straw management, and 3 for the interaction within a year; they were, respectively, 24, 36, and 12 for the 4-year average, and 18, 27, and 9 for the 3-year average. Differences among the means were determined by one-way ANOVA (Duncan) at p = 0.05, and source of variance of experimental year, tillage method, straw management, and their interaction were determined by univariate ANOVA (general linear model) using an SPSS statistical software package (version 26, IBM Corp., Chicago, IL, USA). The graphs and the correlation analysis were prepared using Origin software (version 2024, Origin Lab Corporation, Northampton, MA, USA).
3. Results
3.1. Crop Yield
3.1.1. Wheat Yield
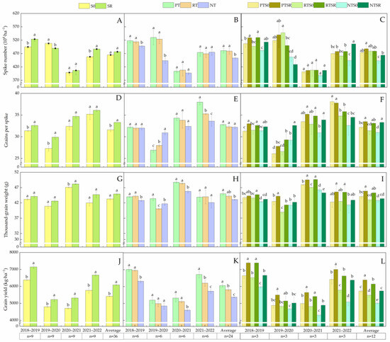
There was no significant impact of tillage methods on grains per spike. However, in all of the experimental years, tillage methods and straw management had significant effects on wheat yield and yield components (Figure 2). Under the same straw management, plowing tillage significantly increased wheat yield compared to rotary tillage and no-tillage, and, under the same tillage method, straw returning also significantly increased wheat yield compared to the zero straw returning treatment. Averaged across the 4-year average, the yields under plowing tillage and rotary tillage were significantly increased by 11.3% and 7.1% under straw returning and 14.4% and 9.5% under zero straw returning, respectively, compared to no-tillage. Under zero straw returning, plowing tillage significantly increased spike number, grains per spike, and thousand grain weight by 7.1%, 3.9%, and 3.1%, respectively, compared to no-tillage over the four years. The effects of straw returning on yield components varied with experimental years and tillage methods. Compared to zero straw returning under the same tillage method, straw returning significantly increased grains per spike and thousand grain weight, leading to significant yield increases of 11.3% and 11.9% under plowing tillage and rotary tillage, respectively, while significantly increased spike number and grains per spike, resulting in a significant yield increase of 14.4% under no-tillage over the four years; however, straw returning significantly reduced spike number under rotary tillage in 2019–2020 and thousand grain weight under no-tillage in 2020–2021. These results indicated that both plowing tillage and straw returning are beneficial for improving the yield components of wheat, ultimately achieving the highest wheat yield in the dryland wheat–maize double-cropping system.

Figure 2.
Effects of tillage methods, straw management, and their interaction on spike numbers (A–C), grains per spike (D–F), thousand grain weight (G–I), and grain yield (J–L) of wheat in dryland wheat–maize double-cropping system. Note: PT—plowing tillage; RT—rotary tillage; NT—no-tillage; S0—zero straw returning; SR—straw returning. The error bar indicates standard deviation. Different lowercase letters above the bar indicate that there are significant differences among treatments within a year or 4-year average (p < 0.05). The number below the year indicates the values of the means averaged from replications.
3.1.2. Maize Yield
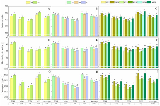
The experimental years, tillage methods, and straw management had significant effects on grains per ear, hundred grain weight, and yield of maize, and the interaction between tillage method and straw management also had significant effects on grains per ear and yield of maize (Figure 3). Plowing tillage significantly increased maize yield compared to rotary tillage and no-tillage under the same straw management, and straw returning significantly increased maize yield compared with zero straw returning under the same tillage method. Rotary tillage with straw returning yielded more than plowing tillage with zero straw returning in the years 2019 and 2020 while plowing tillage with zero straw returning yielded more than rotary tillage with straw returning in the years 2021 and 2022. Averaged across the four years, plowing tillage with straw returning showed no significant difference in grains per ear, hundred grain weight, and yield compared to no-tillage with straw returning, but it significantly increased these metrics by 3.0%, 4.6%, and 7.5%, respectively, compared to rotary tillage with straw returning. No-tillage with straw returning also significantly increased grains per ear and yield by 3.5% and 6.6%, respectively, compared to rotary tillage with straw returning. Under zero straw returning, compared to rotary tillage and no-tillage, plowing tillage significantly increased grains per ear and yield by 5.0% and 6.3%, respectively. Under the same tillage method, straw returning significantly increased the grains per ear, 100-grain weight, and grain yield compared to zero straw returning, with increases of 2.4%, 4.7%, and 6.6%, respectively, under plowing tillage, and 6.5%, 5.3%, and 12.3%, respectively, under no-tillage, while the increase was not significant under rotary tillage over the four years. These results indicate that plowing tillage, no-tillage, and straw returning can significantly increase maize yield through synergistically enhancing the grains per ear and hundred grain weight in a dryland wheat–maize double-cropping system.

Figure 3.
Effects of tillage methods, straw management, and their interaction on grains per spike (A–C), thousand grain weight (D–F), and grain yield (G–I) of maize in dryland wheat–maize double-cropping system. Note: PT—plowing tillage; RT—rotary tillage; NT—no-tillage; S0—zero straw returning; SR—straw returning. The error bar indicates standard deviation. Different lowercase letters above the bar indicate that there are significant differences among treatments within a year or 4-year average (p < 0.05). The number below the year indicates the values of the means averaged from replications.
3.1.3. Annual Yield
The experimental years, tillage methods, straw management, and the interactions between the experimental year and tillage method, as well as between tillage method and straw management, all had significant effects on annual yields (Figure 4). Under straw returning conditions, the annual yields under plowing tillage were significantly higher than rotary tillage and no-tillage in all the experimental years except 2019–2020, with an increase of 6.0% and 5.2%, respectively, over the four years. Compared to no-tillage with straw returning, rotary tillage with straw returning showed a significant increase in 2018–2019, a significant decrease in 2021–2022, and no significant differences in the remaining two years, resulting in no significant difference for the 4-year average. Under zero straw returning conditions, the annual yields in all four years were consistently plowing tillage > rotary tillage > no-tillage, with plowing tillage being 4.8% and 9.5% higher than rotary tillage and no-tillage, respectively, and rotary tillage was 4.5% higher than no-tillage. Under the same tillage method, straw returning resulted in significantly higher annual yields compared to zero straw returning in all four years, with increases of 8.6%, 7.4%, and 13.1% under plowing tillage, rotary tillage, and no-tillage, respectively.

Figure 4.
Effects of tillage methods (A), straw management (B), and their interaction (C) on the annual yield in dryland wheat–maize double-cropping system. Note: PT—plowing tillage; RT—rotary tillage; NT—no-tillage; S0—zero straw returning; SR—straw returning. The error bar indicates standard deviation. Different lowercase letters above the bar indicate that there are significant differences among treatments within a year or 4-year average (p < 0.05). The number below the year indicates the values of the means averaged from replications.
3.2. Above-Ground N, P, and K Accumulation
As shown in Table 3, both tillage methods and straw management significantly affected the above-ground N, P, and K accumulation of the two crops in the dryland wheat–maize double-cropping system, while the effects varied among experimental years. Under straw returning conditions, the above-ground N, P, and K accumulation of wheat was generally highest in plowing tillage with straw returning, with a 3-year average increase of 19.5%, 19.6%, and 7.0% compared to rotary tillage with straw returning and no-tillage with straw returning, respectively. For maize, there was no significant difference in above-ground N, P, K accumulation between plowing tillage with straw returning and no-tillage with straw returning, but they were 6.1%, 13.3%, 13.6% and 8.6%, 14.9%, 11.1%, respectively, higher than rotary tillage with straw returning over the three years. Under zero straw returning conditions, the effects of tillage methods on above-ground N, P, and K accumulation varied by years and crops, which was highest under plowing tillage with zero straw returning except for K accumulation in maize, with significant increases in K accumulation in wheat and N and P accumulation in maize compared to rotary tillage with zero straw returning and no-tillage with zero straw returning over the three years. Under the same tillage method, straw returning significantly enhanced the above-ground N, P, and K accumulation of the two crops compared to zero straw returning, with increases of 27.6%, 32.3%, 18.6% in wheat and 12.8%, 15.9%, 33.5% in maize under plowing tillage; 12.5%, 17.2%, 18.2% in wheat and 14.9%, 14.4%, 17.1% in maize under rotary tillage; and 18.3%, 19.8%, 24.4% in wheat and 24.5%, 28.1%, 37.5% in maize under no-tillage. The interaction between tillage methods and straw management on above-ground N, P, and K accumulation varied depending on the crop. For wheat, plowing tillage with straw returning performed better. For maize, both plowing tillage with straw returning and no-tillage with straw returning showed better performance.

Table 3.
Effects of different treatments on above-ground N, P, and K accumulation in dryland wheat–maize double-cropping system.
3.3. N, P, and K Internal Efficiency
The experimental years, tillage methods, and straw management all significantly affected the N, P, and K internal efficiency except for the insignificant impact of tillage methods on the N internal efficiency of maize (Table 4). The interaction between the tillage method and straw management also significantly influenced the N and P internal efficiency of wheat and maize except for the P internal efficiency of maize (Table 4). Compared to no-tillage with straw returning, rotary tillage with straw returning increased the N, P, and K internal efficiency in wheat and P internal efficiency in maize by 10.5%, 9.8%, 7.9%, and 6.8%, respectively, while plowing tillage with straw returning only significantly increased the K internal efficiency of wheat by 5.0%. Under zero straw returning conditions, compared to no-tillage, plowing tillage significantly increased the N and P internal efficiency in wheat by 8.3% and 10.3%, respectively, and rotary tillage significantly increased the N, P, and K internal efficiency in wheat by 9.2%, 11.4%, and 5.8%, and decreased the K internal efficiency of maize by 5.8%. Compared to zero straw returning, the N, P, and K internal efficiency under straw returning showed a decreasing trend over the three years, with significant decreases observed in the K internal efficiency in wheat and the N, P, and K internal efficiency in maize under all three tillage methods, and the N and P internal efficiency in wheat also significantly decreased under plowing tillage.

Table 4.
Effects of different treatments on N, P, and K internal efficiency of crops in dryland wheat–maize double-cropping system (kg·kg−1).
3.4. Correlation
The correlation analysis results (Figure 5) indicated that the crop yields and yield components are positively correlated with N, P, and K accumulation and their internal efficiency. Specifically, wheat yield showed a highly significant correlation with K internal efficiency and a significant correlation with P accumulation and N and P internal efficiency. Maize yield exhibited a highly significant correlation with N and P internal efficiency and a significant correlation with K internal efficiency. The grains per spike in wheat showed a highly significant correlation with K internal efficiency and a significant correlation with above-ground P accumulation. The grains per ear in maize was highly significantly correlated with N and P internal efficiency and significantly correlated with N, P, and K accumulation. The hundred grain weight of maize was highly significantly correlated with the above-ground N, P, and K accumulation. These results indicated that the crop yields and yield components in the wheat–maize double-cropping system were predominantly influenced by the N, P, and K accumulation and internal efficiency, and the effects on maize were higher than on wheat.

Figure 5.
Correlation between yield, yield component, and N, P, and K accumulation and its internal efficiency. Note: GY—grain yield; SN—spike number; GPS—grains per spike; TGW—thousand grain weight; HGW—hundred grain weight; NA—N accumulation; PA—P accumulation; KA—K accumulation; NIE—N internal efficiency; PIE—P internal efficiency; KIE—K internal efficiency. * and ** indicate significant effect at the level of p < 0.05 and p < 0.01, respectively.
4. Discussion
4.1. Plowing Tillage with Straw Returning Enhance Crop Yield in Dryland Wheat–Maize Double-Cropping System
Increasing the yields of wheat and maize is a crucial aspect of ensuring food security in China and around the world. Grain yield is closely related to the number of effective spikes, grains per spike, and grain weight, as well as the coordination among these factors [,,]. The results of the present experiment indicated that long-term positioning tillage methods significantly affected yield components, such as the grains per spike and grain weight, with better yields observed under plowing tillage compared to no-tillage and rotary tillage. Other studies have also confirmed that plowing tillage was significantly more effective than rotary tillage in increasing grain yield and yield components of wheat []. Wang et al. [] found that compared to no-tillage, plowing tillage increased the grains per spike, grain weight, and grain yield in maize. In our study, deep plowing (30–35 cm) was employed in plowing tillage, which helped to improve soil characteristics and soil fertility in the deep soil layer (Table 1), potentially promoting root growth, optimizing root spatial configuration, and enhancing the root system’s ability to absorb and utilize water and nutrients, thereby promoting above-ground growth, dry matter accumulation,, and physiological metabolism [,]. Zhan et al. [] pointed out that the effects of straw returning on grain yield were significant under plowing tillage, rotary tillage, and no-tillage. In our study, straw returning increased the number of spikes, grains per spike, grain weight, and yield compared to zero straw returning, particularly under the plowing tillage treatment. Compared to rotary tillage with straw returning, plowing tillage with straw returning resulted in significant yield increases of 4.0% for wheat and 7.5% for maize. The reason may be that burying straw in deeper soil layers under plowing tillage with straw returning not only reduced soil bulk density but also effectively increased the content of soil organic matter, total N, available P, and available K in the 15–35 cm soil layer (Table 1). These straw returning-induced improvements of soil properties increased the growth and development of roots and above-ground parts, thus promoting yield formation [,,]. A previous study has shown that the interaction between plowing tillage and straw returning can not only create an optimal above-ground population structure, enhancing the leaf area index during the late growth stages [], but also maintain higher activity of protective enzymes, thus delaying leaf senescence [], increasing the photosynthetic and transpiration rates of plant leaves [], promoting dry matter accumulation [], and ultimately achieving high yields. In our experiment, the tilled layer was 12–15 cm deep in rotary tillage treatments. After rotary tillage and straw returning, a large amount of straw accumulated on the soil surface might produce harmful substances to plant growth during the decomposition of the straw []. Additionally, rotary tillage and straw returning can also make the soil tilled layer shallower and increase the bulk density while reducing nutrient content in deeper soil (Table 1). Thus, rotary tillage affects the downward growth of crop roots, reduces the nutrient absorption and uptake by crops [], and consequently reduces the yield improvement effect of straw returning.
This study also found that the impact of no-tillage on crop yields in dryland wheat–maize double-cropping systems varied between wheat and maize. During the wheat season, regardless of whether straw returning was applied, no-tillage consistently resulted in the lowest yields. This is related to the fact that no-tillage has disadvantages such as limited wheat seedling emergence and root penetration, increases in seedling gaps, worsening plant populations [], and increases in the occurrence probability of pests, diseases, and weed infestations []. During the maize season, no-tillage with straw returning significantly increased yields by 10.5–15.5% compared to no-tillage with zero straw returning, showing yields close to those of plowing tillage with straw returning. This suggested that high maize yields can be achieved through no-tillage with straw returning. This is primarily because the row space of maize is larger than that of wheat; thus, no-tillage with straw returning does not significantly affect seedling emergence and the growth of maize. Additionally, the water-retaining and moisture-conserving effects of no-tillage with straw returning are more easily realized during the rainy summer seasons. These superiorities effectively maintained the yield–increasing effects of no-tillage []. Research by Yin et al. [] also indicated that straw returning from the previous wheat crop combined with no-tillage resulted in higher yields for the subsequent maize, compared to traditional tillage. Therefore, based on the comparable maize yields between no-tillage with straw returning and plowing tillage with straw returning, as well as the higher mechanical costs of plowing tillage and the positive effects of no-tillage on soil fertility and farmland ecological protection [,], no-tillage with straw returning and straw returning with a proper rotation of plowing tillage and no-tillage should be recommended for maize production to increase maize yields, reducing costs, cultivating soil, and protecting environment in dryland wheat–maize double-cropping regions.
4.2. Plowing Tillage with Straw Returning Enhance Crop N, P, and K Accumulation in Dryland Wheat–Maize Double-Cropping System
The accumulation characteristics of nutrients in terms of N, P, and K in above-ground parts of crop plants directly affect yield formation []. This study demonstrated that regardless of whether straw returning is applied, the above-ground N, P, and K accumulation in wheat under plowing tillage was generally higher than that under rotary tillage and no-tillage. This was mainly ascribed to the improvement of soil characteristics and the balance of nutrients in the soil by deep tillage []. Under the same tillage method, straw returning significantly increased the above-ground N, P, and K accumulation in wheat and maize at maturity compared to zero straw returning. The findings from a previous study by Qi et al. [] were in accordance with these results. The main reasons may be that straw returning enhanced soil microbial activity and subsequently increased the mineralization of soil organic matter and the content of N, P, and K in soils, improving their availability []. The main reasons may also be related to the fact that straw returning helps to reduce water evaporation, lower soil bulk density, regulate soil temperature, and enhance the activity of soil urease, invertase, and phosphatase [,].
The present study also found that the positive effects of straw returning on above-ground N, P, and K accumulation varied with tillage methods and crops. Under no-tillage, the increase for maize was greater than that for wheat, and the increase in above-ground N, P, and K accumulation for maize under no-tillage was greater than that under plowing tillage and rotary tillage. Therefore, the maize above-ground N, P, and K accumulation under no-tillage straw returning reaches a level comparable to that under plowing tillage with straw returning. Rainfall is concentrated mainly during the maize growing season in the wheat–maize double-cropping system, which may explain these results. No-tillage with straw returning not only reduced the bulk density in topsoil (Table 1) but also created favorable pre-sowing soil moisture, maintained water content during the maize growth period, and improved soil thermal properties []. These superiorities will be conducive to robust seedling growth [], well-developed roots, high water use efficiency of leaves during the middle to later growth stages [], prolonged photosynthesis time, and high photosynthetic intensity [,]. These factors collectively increased the demand for nutrients by crops, ultimately coordinating and promoting the absorption and accumulation of nutrients in terms of N, P, and K. A 10-year no-tillage positioning experiment in the black soil region of Northeast China by Chen et al. [] also found that no-tillage with straw mulching not only reduced N loss but also increased soil N availability, thereby promoting N accumulation in maize. It is worth noting that other studies also showed that no-tillage leads to soil compaction, resulting in nutrient enrichment in the topsoil but depletion in the subsoil, limiting maize root growth and nutrient absorption []. Thus, the strong fixation effect of no-tillage on N requires higher N application rates compared to traditional tillage to compensate for N fixation losses []. Therefore, no-tillage should be combined with straw returning to promote the accumulation and utilization of nutrients in terms of N, P, and K by crops in dryland wheat–maize double-cropping systems.
4.3. Straw Returning Decreases the N, P, and K Internal Efficiency in Dryland Wheat–Maize Double-Cropping System
Nutrient internal efficiency reflects the synchronization of grain yield and nutrient accumulation in the above-ground parts []. In the present experiment, the effects of tillage methods on the N, P, and K internal efficiency were not significant in most cases, indicating that tillage methods have a synchronized regulatory effect on crop yield and nutrient accumulation in the dryland wheat–maize double-cropping system. Compared to zero straw returning, straw returning resulted in a reduction in N, P, and K internal efficiency to some content; particularly significant decreases were observed in both the wheat and maize under plowing tillage. This may be ascribed to the effect of straw returning on increasing the above-ground N, P, and K accumulation was greater than its effect on increasing yield, which led to an unbalanced increase in grain yield and above-ground nutrient accumulation []. Qu et al. [] also found that straw mulching reduced the N, P, and K internal efficiency in wheat in dryland wheat mono-cropping systems on the Loess Plateau. However, He Gang et al. [] pointed out that straw mulching reduced the P and K internal efficiency but increased the N internal efficiency in wheat, which is slightly different from the results of this study. This discrepancy may be related to the differences in soil N biological immobilization caused by straw returning under different experimental conditions []. In the study by He et al. [], insufficient N supply during the wheat growth period led to the re-release of immobilized N in soils, reducing the N content in grains and consequently leading to a greater reduction in above-ground N accumulation, ultimately lowering crop yield and increasing N internal efficiency. In contrast, long-term straw returning in the present experiment maintained a relatively high level of soil N content (Table 1), which was beneficial for N absorption and accumulation by plants (Table 3), while the straw returning-induced yield increase was relatively small due to the limited environmental factors such as drought, thus leading to reduce the N, P, and K internal efficiency. Therefore, further studies should focus on how to achieve a coordinated improvement in yield and nutrient internal efficiency when crop straw is returned to the field.
5. Conclusions
Tillage methods, straw management, and their interactions mostly significantly regulate crop yields; yield components; above-ground N, P, K accumulation; and their internal efficiencies in dryland wheat–maize double-cropping systems. Regardless of whether straw returning was applied, plowing has a better effect on increasing wheat and maize yields and the N, P, and K accumulation compared to rotary tillage and no-tillage. Under the same tillage methods, straw returning significantly increased crop yields and the above-ground N, P, and K accumulation, but it reduces the N, P, and K internal efficiency. Plowing with straw returning can increase crop yields and the N, P, and K accumulation; it can be used as the optimal combination of soil tillage and straw management for achieving high annual yields and nutrient use efficiency in dryland wheat–maize double-cropping areas.
Author Contributions
M.H. Conceptualization; Data curation; Software; Writing—review and editing. H.X., Investigation; Data curation; Formal analysis; Writing—original draft. J.Z., S.L., Y.P., J.-H.G., P.J., R.W., and Y.C.: Investigation; Data curation; C.L., H.W., G.F., M.S., and Y.L.: Conceptualization; Project administration; Writing—review and editing. J.W. and G.L.: Conceptualization; Funding acquisition; Writing—review and editing. All authors have read and agreed to the published version of the manuscript.
Funding
This study was financially supported by the National Key Research and Development Program of China (under Grant No. 2022YFD2300800) and the Science and Technology Research Project of Henan, China (under Grant No. 222102110087; 232102111009).
Data Availability Statement
This study includes all supporting data, which can be obtained from the corresponding authors upon request.
Acknowledgments
The author would like to thank the reviewers for their valuable comments and suggestions for this work.
Conflicts of Interest
The authors declare that they have no known competing financial interests or personal relationships that could have appeared to influence the work reported in this paper.
References
- Eversole, K.; Feuillet, C.; Mayer, K.F.; Rogers, J. Slicing the wheat genome. Science 2014, 345, 285–287. [Google Scholar] [CrossRef] [PubMed]
- Wu, J.; Huang, X.L.; Hou, Y.Q.; Tian, W.Z.; Li, J.H.; Zhang, J.; Li, F.; LÜ, J.J.; Yao, Y.Q.; Fu, G.Z.; et al. Effects of ridge and furrow planting patterns on crop productivity and soil nitrate-N accumulation in dryland summer maize and winter wheat rotation system. Sci. Agric. Sin. 2023, 56, 2078–2091. [Google Scholar] [CrossRef]
- Wu, J.; Guan, H.Y.; Wang, Z.M.; Li, Y.J.; Fu, G.Z.; Huang, M.; Li, G.Q. Alternative furrow irrigation combined with topdressing nitrogen at jointing help yield formation and water use of winter wheat under no–till ridge furrow planting system in semi–humid drought–prone areas of China. Agronomy 2023, 13, 1390. [Google Scholar] [CrossRef]
- Han, L.P.; Steinberger, Y.; Zhao, Y.L.; Xie, G.H. Accumulation and partitioning of nitrogen, phosphorus and potassium in different varieties of sweet sorghum. Field Crop. Res. 2011, 120, 230–240. [Google Scholar] [CrossRef]
- Van Duivenbooden, N.; De Wit, C.T.; Van Keulen, H. Nitrogen, phosphorus and potassium relations in five major cereals reviewed in respect to fertilizer recommendations using simulation modelling. Fertil. Res. 1995, 44, 37–49. [Google Scholar] [CrossRef]
- Santa-María, G.E.; Moriconi, J.I.; Oliferuk, S. Internal efficiency of nutrient utilization: What is it and how to measure it during vegetative plant growth? J. Exp. Bot. 2015, 66, 3011–3018. [Google Scholar] [CrossRef]
- He, G.; Wang, Z.H.; Li, F.C.; Dai, J.; Li, Q.; Xue, C.; Cao, H.B.; Wang, S.; Liu, H.; Luo, L.C.; et al. Nitrogen, phosphorus and potassium requirement and their physiological efficiency for winter wheat affected by soil surface managements in dryland. Sci. Agric. Sin. 2016, 49, 1657–1671. [Google Scholar] [CrossRef]
- Qu, H.F.; Zhao, H.B.; Liu, J.F.; Huang, H.B.; Wang, Z.H.; Zhai, B.N. NPK requirements and their physiological efficiencies for winter wheat under different cover measures in dryland. Plant Nutr. Fertil. Sci. 2017, 23, 874–882. [Google Scholar] [CrossRef]
- Rawal, N.; Pande, K.R.; Shrestha, R.; Vista, S.P. Nutrient use efficiency (NUE) of wheat (Triticum aestivum L.) as affected by NPK fertilization. PLoS ONE 2022, 17, e0262771. [Google Scholar] [CrossRef]
- Sharma, S.; Kaur, G.; Singh, P.; Alamri, S.; Kumar, R.; Siddiqui, M.H. Nitrogen and potassium application effects on productivity, profitability and nutrient use efficiency of irrigated wheat (Triticum aestivum L.). PLoS ONE 2022, 17, e0264210. [Google Scholar] [CrossRef]
- Swanepoel, P.A.; Du Preez, C.C.; Botha, P.R.; Snyman, H.A.; Habig, J. Assessment of tillage effects on soil quality of pastures in South Africa with indexing methods. Soil Res. 2015, 53, 274–285. [Google Scholar] [CrossRef]
- Huang, M.; Zou, Y.B.; Jiang, P.; Xia, B.; Feng, Y.H.; Cheng, Z.W.; Mo, Y.L. Effect of tillage on soil and crop properties of wet–seeded flooded rice. Field Crop. Res. 2012, 129, 28–38. [Google Scholar] [CrossRef]
- Van den Putte, A.; Govers, G.; Diels, J.; Gillijns, K.; Demuzere, M. Assessing the effect of soil tillage on crop growth: A meta-regression analysis on European crop yields under conservation agriculture. Eur. J. Agron. 2010, 33, 231–241. [Google Scholar] [CrossRef]
- Ding, J.L.; Wu, J.C.; Ding, D.Y.; Yang, Y.H.; Gao, C.; Hu, W. Effects of tillage and straw mulching on the crop productivity and hydrothermal resource utilization in a winter wheat-summer maize rotation system. Agric. Water Manag. 2021, 254, 106933. [Google Scholar] [CrossRef]
- Kuang, N.; Tan, D.; Li, H.; Gou, Q.S.; Li, Q.Q.; Han, H.F. Effects of subsoiling before winter wheat on water consumption characteristics and yield of summer maize on the North China Plain. Agric. Water Manag. 2020, 227, 105786. [Google Scholar] [CrossRef]
- Latifmanesh, H.; Zheng, C.Y.; Song, Z.W.; Deng, A.X.; Huang, J.L.; Li, L.; Chen, Z.J.; Zheng, Y.T.; Zhang, B.M.; Zhang, W.J. Integrative impacts of soil tillage on crop yield, N use efficiency and greenhouse gas emission in wheat-corn cropping system. Int. J. Plant Prod. 2016, 10, 317–334. [Google Scholar]
- Franzluebbers, A.J. Water infiltration and soil structure related to organic matter and its stratification with depth. Soil Tillage Res. 2002, 66, 197–205. [Google Scholar] [CrossRef]
- Cid, P.; Carmona, I.; Murillo, J.M.; Gómez-Macpherson, H. No-tillage permanent bed planting and controlled traffic in a maize–cotton irrigated system under Mediterranean conditions: Effects on soil compaction, crop performance and carbon sequestration. Eur. J. Agron. 2014, 61, 24–34. [Google Scholar] [CrossRef]
- Li, C.S.; Li, M.; Wu, X.L.; Wei, H.T.; Liu, M.; Tang, Y.L.; Xiong, T. Effects of tillage and sowing practices on plant growth, soil nutrient uptake and utilization of wheat after rice. Chin. J. Appl. Ecol. 2020, 31, 1435–1442. [Google Scholar] [CrossRef]
- Li, L.L.; Zhang, N.; Zhang, Y.C.; Bi, J.J.; Liu, P.; Han, K. Phosphorus efficient utilization of summer maize under different tillage methods, straw returning and fertilizer application. Shandong Agric. Sci. 2023, 55, 94–100. [Google Scholar] [CrossRef]
- Chen, J.; Zheng, M.J.; Pang, D.W.; Yin, Y.P.; Han, M.M.; Li, Y.X.; Luo, Y.L.; Xu, X.U.; Yong, L.I.; Wang, Z.L. Straw return and appropriate tillage method improve grain yield and nitrogen efficiency of winter wheat. J. Integr. Agr. 2017, 16, 1708–1719. [Google Scholar] [CrossRef]
- Zhang, M.; Li, L.K.; Hao, M.D. Effect of no-tillage with straw cover on corn yield and soil fertility. Acta Agric. Boreali-Occident. Sin. 2013, 22, 67–72. [Google Scholar] [CrossRef]
- Duan, Y.H.; Xu, M.G.; Gao, S.D.; Yang, X.Y.; Huang, S.M.; Liu, H.B.; Wang, B.R. Nitrogen use efficiency in a wheat-corn cropping system from 15 years of manure and fertilizer applications. Field Crop. Res. 2014, 157, 47–56. [Google Scholar] [CrossRef]
- Yang, J.H.; Luo, Y.L.; Chen, J.; Jin, M.; Wang, Z.L.; Li, Y. Effects of main food yield under straw return in China: A meta-analysis. Sci. Agric. Sin. 2020, 53, 4415–4429. [Google Scholar] [CrossRef]
- Kong, F.X.; Hu, S.F.; Wang, R.R.; Jiu, A.M.; Kan, Z.R.; Yang, H.S.; Palta, J.A.; Li, F.M. Straw return under deep tillage increases grain yield in the rice-rotated wheat cropping system. Field Crop. Res. 2024, 317, 109559. [Google Scholar] [CrossRef]
- FAO. World Soil Resources: An Explanatory Note on the FAO World Soil Resources Map at 1:25,000,000 Scale Report; W.S.R. Food and Agriculture Organization of the United Nations: Rome, Italy, 1993; p. 61. [Google Scholar]
- Ciampitti, I.A.; Vyn, T.J. Physiological perspectives of changes over time in maize yield dependency on nitrogen uptake and associated nitrogen efficiencies: A review. Field Crop. Res. 2012, 133, 48–67. [Google Scholar] [CrossRef]
- Zhao, M.; Li, J.G.; Zhang, B.; Dong, Z.Q.; Wang, M.Y. The compensatory mechanism in exploring crop production potential. Acta Agron. Sin. 2006, 32, 1566–1573. [Google Scholar] [CrossRef]
- Wang, Y.L.; Yu, A.Z.; Lü, H.Q.; Wang, Q.M.; Su, X.X.; Chai, Q. Effects of wheat straw returning and tillage methods on corn yield in oasis irrigation area. Acta Agron. Sin. 2022, 48, 2671–2679. [Google Scholar] [CrossRef]
- Mu, X.Y.; Zhao, Y.L.; Liu, K.; Ji, B.Y.; Guo, H.B.; Xue, Z.W.; Li, C.H. Responses of soil properties, root growth and crop yield to tillage and crop residue management in a wheat-maize cropping system on the North China Plain. Eur. J. Agron. 2016, 78, 32–43. [Google Scholar] [CrossRef]
- Sui, P.X.; Tian, P.; Lian, H.L.; Wang, Z.Y.; Ma, Z.Q.; Qi, H.; Mei, N.; Sun, Y.; Wang, Y.Y.; Su, Y.H.; et al. Straw incorporation management affects maize grain yield through regulating nitrogen uptake, water use Efficiency, and root distribution. Agronomy 2020, 10, 324. [Google Scholar] [CrossRef]
- Zhan, A.; Zou, C.Q.; Ye, Y.L.; Liu, Z.H.; Cui, Z.L.; Chen, X.P. Estimating on-farm wheat yield response to potassium and potassium uptake requirement in China. Field Crop. Res. 2016, 191, 13–19. [Google Scholar] [CrossRef]
- Ji, B.Y.; Zhao, Y.L.; Mu, X.Y.; Liu, K.; Li, C.H. Effects of tillage on soil physical properties and root growth of maize in loam and clay in central China. Plant Soil Environ. 2013, 59, 295–302. [Google Scholar] [CrossRef]
- Guo, Y.; Chai, Q.; Yin, W.; Feng, F.X.; Zhao, C.; Yu, A.Z. Effect of wheat straw return to soil with zero-tillage on maize yield in irrigated oases. Chin. J. Eco-Agric. 2017, 25, 69–77. [Google Scholar] [CrossRef]
- Zhao, Y.L.; Guo, H.B.; Xue, Z.W.; Mu, X.Y.; Li, C.H. Effects of tillage and straw returning on biomass and water use efficiency in a winter wheat and summer maize rotation system. Acta Agron. Sin. 2014, 40, 1797–1807. [Google Scholar] [CrossRef]
- Heuer, H.; Tomanová, O.; Koch, H.J.; Märländer, B. Subsoil properties and cereal growth as affected by a single pass of heavy machinery and two tillage systems on a Luvisol. J. Plant Nutr. Soil Sci. 2008, 171, 580–590. [Google Scholar] [CrossRef]
- Zhang, J.; Hang, X.N.; Lamine, S.M.; Jiang, Y.; Afreh, D.; Qian, H.Y.; Feng, X.M.; Zheng, C.Y.; Deng, A.X.; Song, Z.W.; et al. Interactive effects of straw incorporation and tillage on crop yield and greenhouse gas emissions in double rice cropping system. Agric. Ecosyst. Environ. 2017, 250, 37–43. [Google Scholar] [CrossRef]
- Farooq, M.; Flower, K.C.; Jabran, K.; Wahid, A.; Siddique, K.H. Crop yield and weed management in rainfed conservation agriculture. Soil Tillage Res. 2011, 117, 172–183. [Google Scholar] [CrossRef]
- Pittelkow, C.M.; Liang, X.Q.; Linquist, B.A.; Van Groenigen, K.J.; Lee, J.; Lundy, M.E.; Van Gestel, N.; Six, J.; Venterea, R.T.; Van Kessel, C. Productivity limits and potentials of the principles of conservation agriculture. Nature 2015, 517, 365–368. [Google Scholar] [CrossRef]
- Yin, W.; Feng, F.X.; Zhao, C.; Yu, A.Z.; Chai, Q.; Hu, F.L.; Guo, Y. Effects of wheat straw returning patterns on characteristics of dry matter accumulation, distribution and yield of rotation maize. Acta Agron. Sin. 2016, 42, 751–757. [Google Scholar] [CrossRef]
- Reicosky, D.C.; Lindstrom, M.J.; Schumacher, T.E.; Lobb, D.E.; Malo, D.D. Tillage-induced CO2 loss across an eroded landscape. Soil Tillage Res. 2005, 81, 183–194. [Google Scholar] [CrossRef]
- Tian, P.; Lian, H.L.; Wang, Z.Y.; Jiang, Y.; Li, C.F.; Sui, P.X.; Qi, H. Effects of deep and shallow tillage with straw incorporation on soil organic carbon, total nitrogen and enzyme activities in Northeast China. Sustainability 2020, 12, 8679. [Google Scholar] [CrossRef]
- Qi, X.K.; An, S.W.; Hou, N.; Wu, F.J.; Wang, Y.F.; Yang, K.J.; Fu, J. Effects of tillage and straw returning method on the nutrient accumulation, distribution and yield of maize in black soil of semi-arid region. Plant Nutr. Fertil. Sci. 2022, 28, 2214–2226. [Google Scholar] [CrossRef]
- Zhang, P.; Chen, X.L.; Wei, T.; Yang, Z.; Jia, Z.K.; Yang, B.P.; Han, Q.F.; Ren, X.L. Effects of straw incorporation on the soil nutrient contents, enzyme activities, and crop yield in a semiarid region of China. Soil Tillage Res. 2016, 160, 65–72. [Google Scholar] [CrossRef]
- Chen, S.Y.; Zhang, X.Y.; Pei, D.; Sun, H.Y.; Chen, S.L. Effects of straw mulching on soil temperature, evaporation and yield of winter wheat: Field experiments on the North China Plain. Ann. Appl. Biol. 2007, 150, 261–268. [Google Scholar] [CrossRef]
- Wang, W.Y.; Qiao, B.; Akhtar, K.; Yuan, S.; Ren, G.X.; Feng, Y.Z. Effects of straw returning to field on soil respiration and soil water heat in winter wheat-summer maize rotation system under no tillage. Sci. Agric. Sin. 2016, 49, 2136–2152. [Google Scholar] [CrossRef]
- Guo, Y.; Fan, H.; Li, P.; Wei, J.G.; Qiu, H.L. Photosynthetic physiological basis of no tillage with wheat straw returning to improve maize yield with plastic film mulching in arid irrigated areas. Plants 2023, 12, 1358. [Google Scholar] [CrossRef]
- Xu, J.; He, Z.K.; Feng, Q.Q.; Zhang, Y.Y.; Li, X.S.; Xu, J.J.; Lin, X.; Han, H.F.; Ning, T.Y.; Li, Z.J. Effect of tillage method on photosynthetic characteristics and annual yield formation of winter wheat-summer maize cropping system. Plant Nutr. Fertil. Sci. 2017, 23, 101–109. [Google Scholar] [CrossRef]
- Chen, H.H.; Liu, Y.; Lü, L.P.; Lei, Y.; Jia, J.C.; Chen, X.; Ma, J.; Zhao, J.X.; Liang, C.; Xie, H.T.; et al. Effects of no-tillage and stover mulching on the transformation and utilization of chemical fertilizer N in Northeast China. Soil Tillage Res. 2021, 213, 105131. [Google Scholar] [CrossRef]
- Malhi, S.S.; Lemke, R.; Wang, Z.H.; Chhabra, B.S. Tillage, nitrogen and crop residue effects on crop yield, nutrient uptake, soil quality, and greenhouse gas emissions. Soil Tillage Res. 2006, 90, 171–183. [Google Scholar] [CrossRef]
- Yang, N.; Wang, Z.H.; Gao, Y.J.; Zhao, H.B.; Li, K.Y.; Li, F.C.; Malhi, S.S. Effects of planting soybean in summer fallow on wheat grain yield, total N and Zn in grain and available N and Zn in soil on the Loess Plateau of China. Eur. J. Agron. 2014, 58, 63–72. [Google Scholar] [CrossRef]
- Shindo, H.; Nishio, T. Immobilization and remineralization of N following addition of wheat straw into soil: Determination of gross N transformation rates by 15N-ammonium isotope dilution technique. Soil Biol. Biochem. 2005, 37, 425–432. [Google Scholar] [CrossRef]
Disclaimer/Publisher’s Note: The statements, opinions and data contained in all publications are solely those of the individual author(s) and contributor(s) and not of MDPI and/or the editor(s). MDPI and/or the editor(s) disclaim responsibility for any injury to people or property resulting from any ideas, methods, instructions or products referred to in the content. |
© 2025 by the authors. Licensee MDPI, Basel, Switzerland. This article is an open access article distributed under the terms and conditions of the Creative Commons Attribution (CC BY) license (https://creativecommons.org/licenses/by/4.0/).