Long-Term Application of Organic Amendments Increases Soybean Yield by Enhancing Soil Quality in Aggregate Scale
Abstract
1. Introduction
2. Materials and Methods
2.1. Site Description
2.2. Experimental Design and Treatments
2.3. Soil Sampling, Aggregate Separation, and Analysis
2.4. Evaluating Soil Quality Index (SQI) and Soybean Yield
2.5. Statistical Analysis
3. Results
3.1. Soil Aggregate Fraction and Soybean Yield
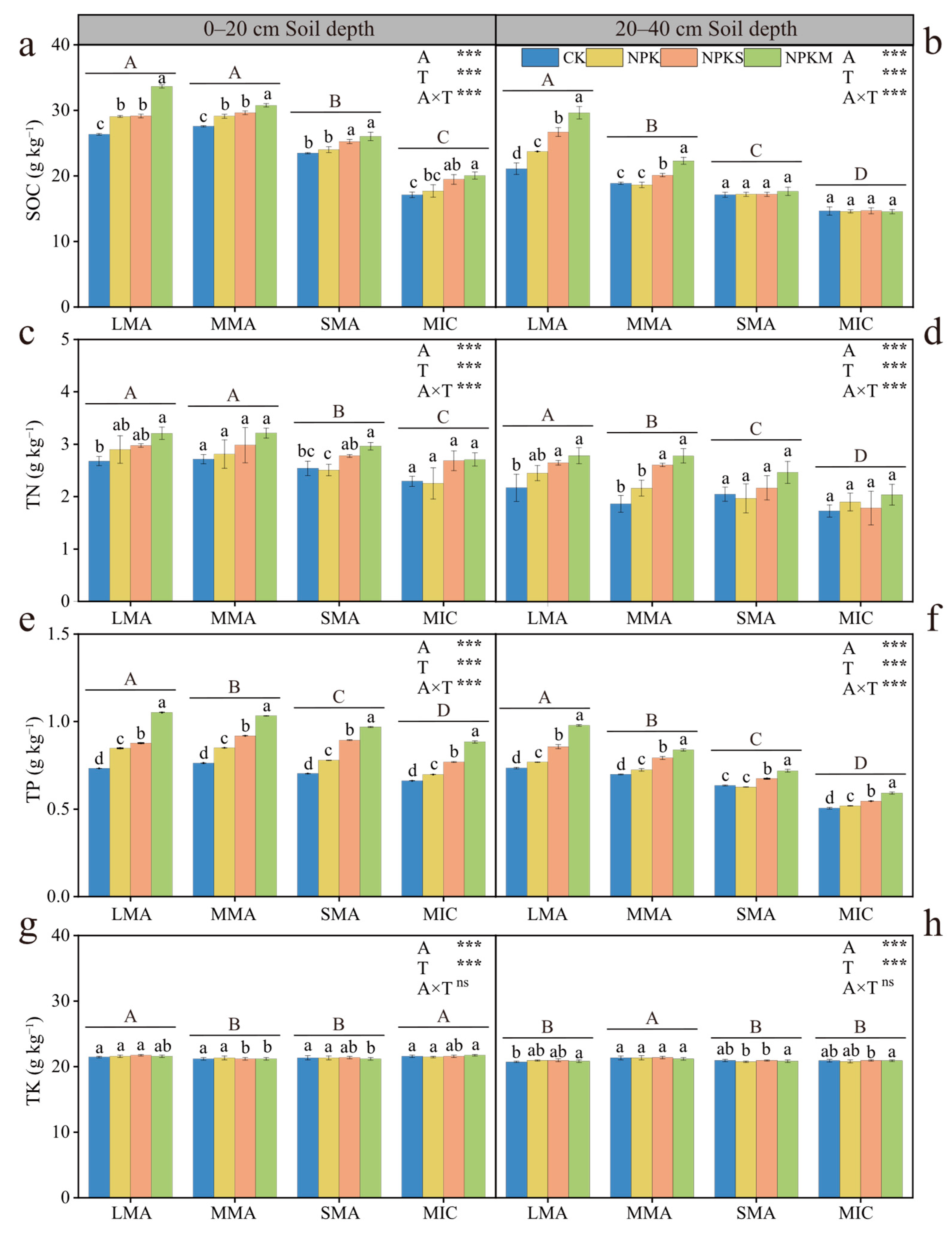
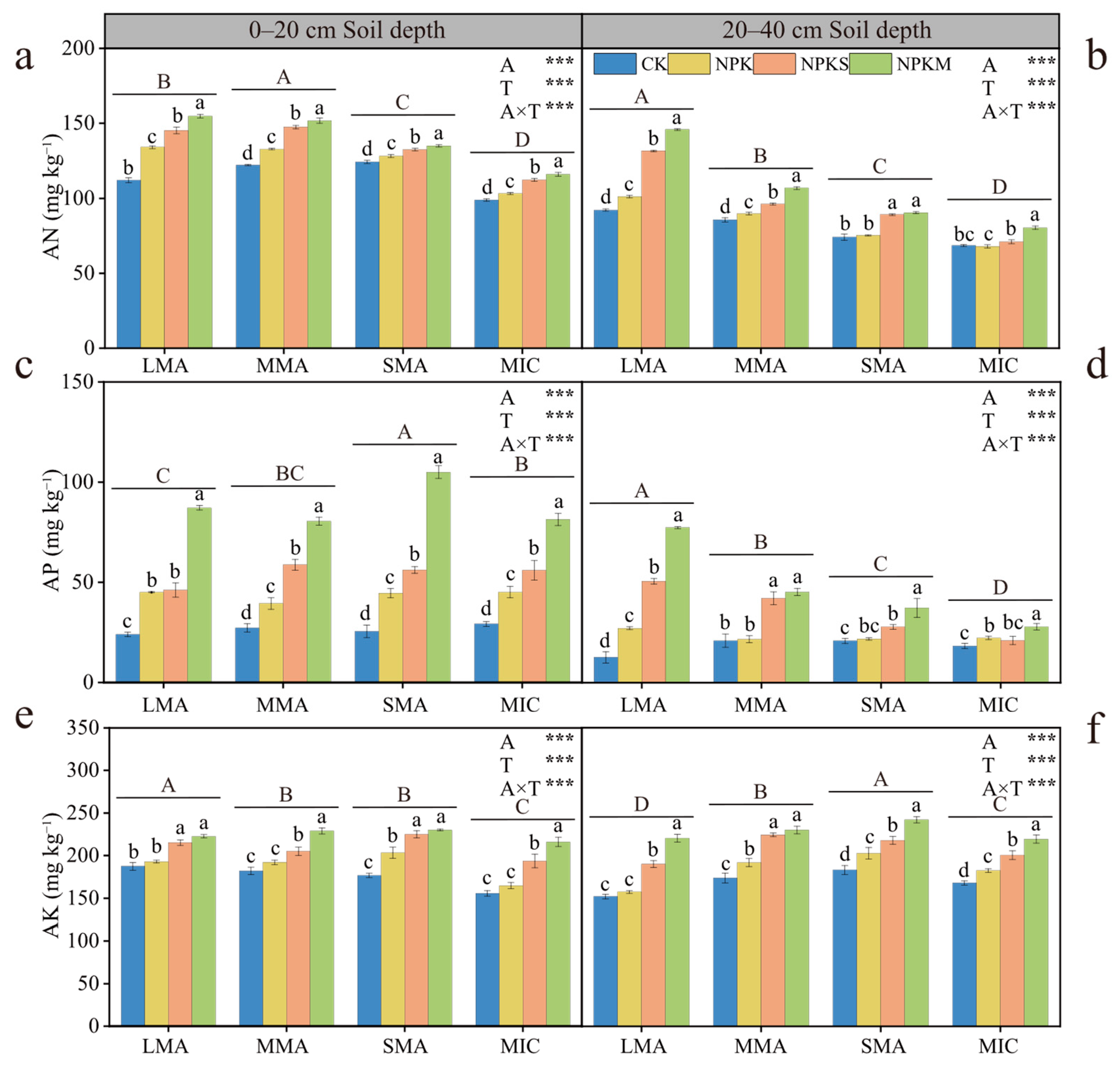
3.2. SOC, Nutrient Contents, and Soil Quality at the Aggregate Scale
3.3. Contribution of SOC and Soil Nutrient Contents and SQI in Aggregate Scale to Soybean Yield
3.4. Relationship Between Soybean Yield and Aggregates
4. Discussion
4.1. Impacts of Organic Amendments on Soil Aggregate Fraction and Properties
4.2. Impacts of Organic Amendments on Aggregate Scale SQI
4.3. Impacts of Aggregate Nutrients and Aggregate Scale SQI on Soybean Yield
5. Conclusions
Author Contributions
Funding
Data Availability Statement
Conflicts of Interest
References
- Ma, W.; Tang, S.; Dengzeng, Z.; Zhang, D.; Zhang, T.; Ma, X. Root exudates contribute to belowground ecosystem hotspots: A review. Front. Microbiol. 2022, 13, 937940. [Google Scholar] [CrossRef] [PubMed]
- Liu, X.; Wu, X.; Liang, G.; Zheng, F.; Zhang, M.; Li, S. A global meta-analysis of the impacts of no-tillage on soil aggregation and aggregate-associated organic carbon. Land. Degrad. Dev. 2021, 32, 5292–5305. [Google Scholar] [CrossRef]
- Cates, A.M.; Ruark, M.D. Soil aggregate and particulate C and N under corn rotations: Responses to management and correlations with yield. Plant Soil 2017, 415, 521–533. [Google Scholar] [CrossRef]
- Lützow, M.V.; Knabner, I.K.; Ekschmitt, K.; Matzner, E.; Guggenberger, G.; Marschner, B.; Flessa, H. Stabilization of organic matter in temperate soils: Mechanisms and their relevance under different soil conditions—A review. Eur. J. Soil. Sci. 2006, 57, 426–445. [Google Scholar] [CrossRef]
- Kunmala, P.; Jindaluang, W.; Darunsontaya, T. Distribution of Organic Carbon Fractions in Soil Aggregates and Their Contribution to Soil Aggregate Formation of Paddy Soils. Commun. Soil. Sci. Plan. 2023, 54, 1350–1367. [Google Scholar] [CrossRef]
- Six, J.; Elliott, E.T.; Paustian, K. Soil macroaggregate turnover and microaggregate formation: A mechanism for C sequestration under no-tillage agriculture. Soil. Biol. Biochem. 2000, 32, 2099–2103. [Google Scholar] [CrossRef]
- Six, J.; Elliott, E.T.; Paustian, K. Soil Structure and Soil Organic Matter II. A Normalized Stability Index and the Effect of Mineralogy. Soil. Sci. Soc. Am. J. 2000, 64, 1042–1049. [Google Scholar] [CrossRef]
- Dai, W.; Feng, G.; Huang, Y.; Tewolde, H.; Shankle, M.W.; Jenkins, J.N. Cover crops and poultry litter impact on soil structural stability in dryland soybean production in southeastern United States. Soil. Sci. Soc. Am. J. 2024, 88, 1449–1462. [Google Scholar] [CrossRef]
- Ma, H.; Li, Q.; Egamberdieva, D.; Bellingrath-Kimura, S.D. A Case Study in Desertified Area: Soybean Growth Responses to Soil Structure and Biochar Addition Integrating Ridge Regression Models. Agronomy 2022, 12, 1341. [Google Scholar] [CrossRef]
- Tian, S.; Zhu, B.; Yin, R.; Wang, M.; Jiang, Y.; Zhang, C.; Li, D.; Chen, X.; Kardol, P.; Liu, M.; et al. Organic fertilization promotes crop productivity through changes in soil aggregation. Soil. Biol. Biochem. 2022, 165, 108533. [Google Scholar] [CrossRef]
- Li, Y.; Abalos, D.; Arthur, E.; Feng, H.; Siddique, K.H.M.; Chen, J. Different straw return methods have divergent effects on winter wheat yield, yield stability, and soil structural properties. Soil. Tillage Res. 2024, 238, 105992. [Google Scholar] [CrossRef]
- Zhang, H.; Li, X.; Zhou, J.; Wang, J.; Wang, L.; Yuan, J.; Xu, C.; Dong, Y.; Chen, Y.; Ai, Y.; et al. Combined Application of Chemical Fertilizer and Organic Amendment Improved Soil Quality in a Wheat–Sweet Potato Rotation System. Agronomy 2024, 14, 2160. [Google Scholar] [CrossRef]
- Chen, S.; Xia, X.; Ding, Y.; Feng, X.; Lin, Q.; Li, T.; Bian, R.; Li, L.; Cheng, K.; Zheng, J. Changes in aggregate-associated carbon pools and chemical composition of topsoil organic matter following crop residue amendment in forms of straw, manure and biochar in a paddy soil. Geoderma 2024, 448, 116967. [Google Scholar] [CrossRef]
- Xin, J.; Yan, L.; Cai, H. Response of soil organic carbon to straw return in farmland soil in China: A meta-analysis. J. Environ. Manag. 2024, 359, 121051. [Google Scholar] [CrossRef] [PubMed]
- Pereira, G.W.; Valente, D.S.M.; Queiroz, D.M.D.; Coelho, A.L.D.F.; Costa, M.M.; Grift, T. Smart-Map: An Open-Source QGIS Plugin for Digital Mapping Using Machine Learning Techniques and Ordinary Kriging. Agronomy 2022, 12, 1350. [Google Scholar] [CrossRef]
- Huo, R.; Wang, J.; Wang, K.; Zhang, Y.; Ren, T.; Li, X.; Cong, R.; Lu, J. Long-term straw return enhanced crop yield by improving ecosystem multifunctionality and soil quality under triple rotation system: An evidence from a 15 years study. Field Crop Res. 2024, 312, 109395. [Google Scholar] [CrossRef]
- Song, Y.; Li, Z.; Chen, H.; Sun, J.; He, X.; Fu, J.; Zheng, F.; Li, Z. Responses of crop yield and soil quality to organic material application in the black soil region of Northeast China. Soil. Tillage Res. 2025, 253, 106690. [Google Scholar] [CrossRef]
- Mi, W.; Sun, T.; Ma, Y.; Chen, C.; Ma, Q.; Wu, L.; Wu, Q.; Xu, Q. Higher yield sustainability and soil quality by manure amendment than straw returning under a single-rice cropping system. Field Crop Res. 2023, 292, 108805. [Google Scholar] [CrossRef]
- Liu, C.; Si, B.; Zhao, Y.; Wu, Z.; Lu, X.; Chen, X.; Han, X.; Zhu, Y.; Zou, W. Drivers of soil quality and maize yield under long-term tillage and straw incorporation in Mollisols. Soil. Tillage Res. 2025, 246, 106360. [Google Scholar] [CrossRef]
- Soil Survey Staff. Keys to Soil Taxonomy, 11th ed.; U.S. Department of Agriculture, Natural Resources Conservation Service: Washington, DC, USA, 2010.
- Six, J.; Elliott, E.T.; Paustian, K. Aggregate and soil organic matter dynamics under conventional and no-tillage systems. Soil. Sci. Soc. Am. J. 1999, 63, 1350–1358. [Google Scholar] [CrossRef]
- Puget, P.; Chenu, C.; Balesdent, J. Dynamics of soil organic matter associated with particle-size fractions of water-stable aggregates. Eur. J. Soil. Sci. 2000, 51, 595–605. [Google Scholar] [CrossRef]
- Zhang, N.; Wang, Q.; Chen, Y.; Zhang, S.; Zhang, X.; Feng, G.; Gao, H.; Peng, C.; Zhu, P. Phosphorus Distribution within Aggregates in Long-Term Fertilized Black Soil: Regulatory Mechanisms of Soil Organic Matter and pH as Key Impact Factors. Agronomy 2024, 14, 936. [Google Scholar] [CrossRef]
- Mei, N.; Gu, Y.; Li, D.Z.; Liang, Y.; Yuan, J.C.; Liu, J.Z.; Ren, J.; Cai, H.G. Soil quality evaluation in topsoil layer of black soil in Jilin Province based on minimum data set. Trans. Chin. Soc. Agric. Eng. 2021, 37, 91–98. [Google Scholar]
- Upton, R.N.; Bach, E.M.; Hofmockel, K.S. Spatio-temporal microbial community dynamics within soil aggregates. Soil. Biol. Biochem. 2019, 132, 58–68. [Google Scholar] [CrossRef]
- Luan, H.; Yuan, S.; Gao, W.; Tang, J.; Li, R.; Zhang, H.; Huang, S. Aggregate-related changes in living microbial biomass and microbial necromass associated with different fertilization patterns of greenhouse vegetable soils. Eur. J. Soil. Biol. 2021, 103, 103291. [Google Scholar] [CrossRef]
- Bu, R.; Ren, T.; Lei, M.; Liu, B.; Li, X.; Cong, R.; Zhang, Y.; Lu, J. Tillage and straw-returning practices effect on soil dissolved organic matter, aggregate fraction and bacteria community under rice-rice-rapeseed rotation system. Agric. Ecosyst. Environ. 2020, 287, 106681. [Google Scholar] [CrossRef]
- Ma, S.; Cao, Y.; Lu, J.; Ren, T.; Cong, R.; Lu, Z.; Zhu, J.; Li, X. Response of soil aggregation and associated organic carbon to organic amendment and its controls: A global meta-analysis. Catena 2024, 237, 107774. [Google Scholar] [CrossRef]
- Sun, L.; Sun, Z.; Hu, J.; Yaa, O.; Wu, J. Decomposition characteristics, nutrient release, and structural changes of maize straw in dryland farming under combined application of animal manure. Sustainability 2021, 13, 7609. [Google Scholar] [CrossRef]
- Gautam, A.; Guzman, J.; Kovacs, P.; Kumar, S. Manure and inorganic fertilization impacts on soil nutrients, aggregate stability, and organic carbon and nitrogen in different aggregate fractions. Arch. Agron. Soil Sci. 2022, 68, 1261–1273. [Google Scholar] [CrossRef]
- Zhang, Y.; Yuan, S.; Gao, W.; Luan, H.; Tang, J.; Li, R.; Li, M.; Zhang, Q.; Wang, Y.; Huang, S. Long-term manure and/or straw substitution mediates phosphorus species and the phosphorus-solubilizing microorganism community in soil aggregation. Agric. Ecosyst. Environ. 2025, 378, 109323. [Google Scholar] [CrossRef]
- Cui, H.; Shutes, B.; Hou, S.; Wang, X.; Zhu, H. Long-term organic fertilization increases phosphorus content but reduces its release in soil aggregates. Appl. Soil Ecol. A Sect. Agric. Ecosyst. Environ. 2024, 203, 105684. [Google Scholar] [CrossRef]
- Zhao, Z.; Feng, X.; Liu, C.; Han, Y.; Long, G.; Chen, S.; Lin, Q.; Gong, J.; Shen, Y.; Mao, Z.; et al. Soil organic carbon storage, microbial abundance and pore structure characteristics of macroaggregates across a soil-landscape sequence in a subtropical hilly watershed. Catena 2024, 242, 108056. [Google Scholar] [CrossRef]
- Hu, P.; Zhang, W.; Nottingham, A.T.; Xiao, D.; Kuzyakov, Y.; Xu, L.; Chen, H.; Xiao, J.; Duan, P.; Tang, T.; et al. Lithological Controls on Soil Aggregates and Minerals Regulate Microbial Carbon Use Efficiency and Necromass Stability. Env. Sci. Technol. 2024, 58, 21186–21199. [Google Scholar] [CrossRef] [PubMed]
- Yang, C.; Wang, X.; Li, J.; Zhang, G.; Shu, H.; Hu, W.; Han, H.; Liu, R.; Guo, Z. Straw return increases crop production by improving soil organic carbon sequestration and soil aggregation in a long-term wheat–cotton cropping system. J. Integr. Agr. 2024, 23, 669–679. [Google Scholar] [CrossRef]
- Liu, Z.; Wang, M.; Zhou, J.; Chen, Z.; Xu, X.; Zhu, Y. Soil aggregation is more important than mulching and nitrogen application in regulating soil organic carbon and total nitrogen in a semiarid calcareous soil. Env. Sci. Technol. 2023, 854, 158790. [Google Scholar] [CrossRef]
- Zhao, L.; Wu, X.; He, Y.; Shang, H.; Hu, C.; Duan, C.; Fu, D. Changes in plant carbon inputs alter soil phosphorus dynamics in a coniferous forest ecosystem in subtropical mountain area. Catena 2024, 247, 108572. [Google Scholar] [CrossRef]
- Feng, H.; Han, X.; Biswas, A.; Zhang, M.; Zhu, Y.; Ji, Y.; Lu, X.; Chen, X.; Yan, J.; Zou, W. Long-term organic material application enhances black soil productivity by improving aggregate stability and dissolved organic matter dynamics. Field Crop Res. 2025, 328, 109946. [Google Scholar] [CrossRef]
- Buckeridge, K.M.; Creamer, C.; Whitaker, J. Deconstructing the microbial necromass continuum to inform soil carbon sequestration. Funct. Ecol. 2022, 36, 1396–1410. [Google Scholar] [CrossRef]
- Ma, Y.; Cheng, X.; Kang, F.; Han, H. Dynamic characteristics of soil aggregate stability and related carbon and nitrogen pools at different developmental stages of plantations in northern China. J. Env. Manag. 2022, 316, 115283. [Google Scholar] [CrossRef]
- Su, S.; Lin, J.; Chen, Z. Intensive input of labile carbon and mineral nitrogen enhancing the sequestration organic carbon across soil aggregates. J. Environ. Chem. Eng. 2025, 13, 117279. [Google Scholar] [CrossRef]
- Liu, Z.; Ai, S.; Xiao, J.; Sheng, M.; Ai, X.; Ai, Y. Characteristics and mechanisms of phosphorus adsorption-desorption in soil aggregates during cut slope restoration. J. Clean. Prod. 2024, 470, 143266. [Google Scholar] [CrossRef]
- Yao, Z.; Hu, H.; Li, Y.; Sun, X.; Adl, S.; Wang, X.; Zhang, Y.; Zhu, B. Soil micro-food webs at aggregate scale are associated with soil nitrogen supply and crop yield. Geoderma 2024, 442, 116801. [Google Scholar] [CrossRef]
- Xiong, Z.; Gao, Z.; Lu, J.; Zhang, Y.; Li, X. Straw return combined with potassium fertilization improves potassium stocks in large-macroaggregates by increasing complex iron oxide under rice–oilseed rape rotation system. Soil. Tillage Res. 2025, 248, 106404. [Google Scholar] [CrossRef]
- Tao, W.; Wu, Q.; Zhang, J.; Chang, T.; Liu, X. Effects of Applying Organic Amendments on Soil Aggregate Structure and Tomato Yield in Facility Agriculture. Plants 2024, 13, 3064. [Google Scholar] [CrossRef]
- Guo, Z.; Ding, T.; Wang, Y.; Zhang, P.; Gao, L.; Peng, X. Quantifying and visualizing soil macroaggregate pore structure and particulate organic matter in a Vertisol under various straw return practices using X-ray computed tomography. Geoderma 2024, 452, 117105. [Google Scholar] [CrossRef]








| pH | SOC | Sand | Silt | Clay |
|---|---|---|---|---|
| g kg−1 | g kg−1 | g kg−1 | g kg−1 | |
| 6.2 | 25.7 | 250 | 340 | 410 |
Disclaimer/Publisher’s Note: The statements, opinions and data contained in all publications are solely those of the individual author(s) and contributor(s) and not of MDPI and/or the editor(s). MDPI and/or the editor(s) disclaim responsibility for any injury to people or property resulting from any ideas, methods, instructions or products referred to in the content. |
© 2025 by the authors. Licensee MDPI, Basel, Switzerland. This article is an open access article distributed under the terms and conditions of the Creative Commons Attribution (CC BY) license (https://creativecommons.org/licenses/by/4.0/).
Share and Cite
Wang, Z.; Sun, M.; Wang, Y.; Liu, X.; Feng, H.; Zhu, Y.; Wu, Z.; Lu, X.; Yan, L.; Zou, W. Long-Term Application of Organic Amendments Increases Soybean Yield by Enhancing Soil Quality in Aggregate Scale. Agronomy 2025, 15, 2801. https://doi.org/10.3390/agronomy15122801
Wang Z, Sun M, Wang Y, Liu X, Feng H, Zhu Y, Wu Z, Lu X, Yan L, Zou W. Long-Term Application of Organic Amendments Increases Soybean Yield by Enhancing Soil Quality in Aggregate Scale. Agronomy. 2025; 15(12):2801. https://doi.org/10.3390/agronomy15122801
Chicago/Turabian StyleWang, Zhiqi, Mingzhe Sun, Yanke Wang, Xin Liu, Haoliang Feng, Yuanchen Zhu, Zhimin Wu, Xinchun Lu, Lei Yan, and Wenxiu Zou. 2025. "Long-Term Application of Organic Amendments Increases Soybean Yield by Enhancing Soil Quality in Aggregate Scale" Agronomy 15, no. 12: 2801. https://doi.org/10.3390/agronomy15122801
APA StyleWang, Z., Sun, M., Wang, Y., Liu, X., Feng, H., Zhu, Y., Wu, Z., Lu, X., Yan, L., & Zou, W. (2025). Long-Term Application of Organic Amendments Increases Soybean Yield by Enhancing Soil Quality in Aggregate Scale. Agronomy, 15(12), 2801. https://doi.org/10.3390/agronomy15122801
