Machine Learning-Based Prediction of Soil Bulk Density Using Soil Penetration Resistance and Moisture
Abstract
1. Introduction
2. Materials and Methods
2.1. Study Sites, Soil Sampling and Data Processing
- (1)
- Variable standardization: All variables were converted to consistent SI units (e.g., BD in g cm−3, PR in kPa, GW in g g−1).
- (2)
- Handling of missing values: Records with missing values for any of the three key variables (BD, PR, GW) were excluded from the analysis, as the complete-case analysis was deemed appropriate for the modeling approach.
- (3)
- Outlier detection: The Isolation Forest algorithm, an unsupervised machine learning method effective for anomaly detection in multivariate data, was employed to identify outliers. Data points identified as outliers with a high confidence score (contamination parameter set to 0.05) were removed from the modeling dataset.
- (4)
- Data splitting: The processed and cleaned dataset was subsequently randomly split into a training set (80%) for model development and a validation set (20%) for independent evaluation, ensuring a stratified split based on the bulk density values to maintain distribution consistency.
2.2. Development of Models
2.2.1. Support Vector Machine
2.2.2. Extreme Gradient Boosting
2.2.3. Random Forest
2.2.4. Multiple Linear Regression and Multiple Nonlinear Regression
2.3. Hyperparameter Optimization and Validation Strategy
2.4. Model Development and Performance Metrics
3. Results
3.1. Variation in Soil Physical Properties with Depth
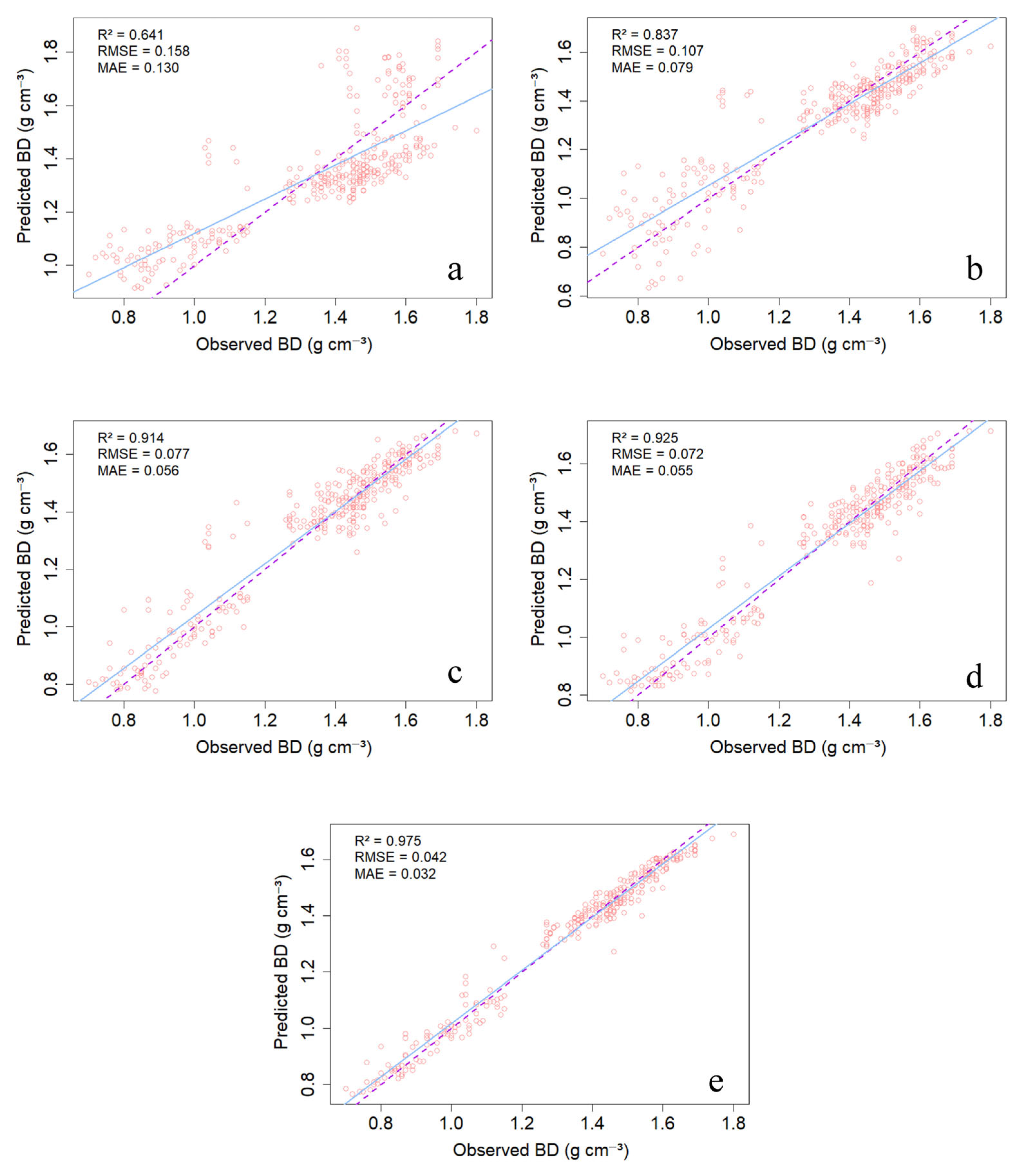
3.2. Performance of Models in the Training Stage
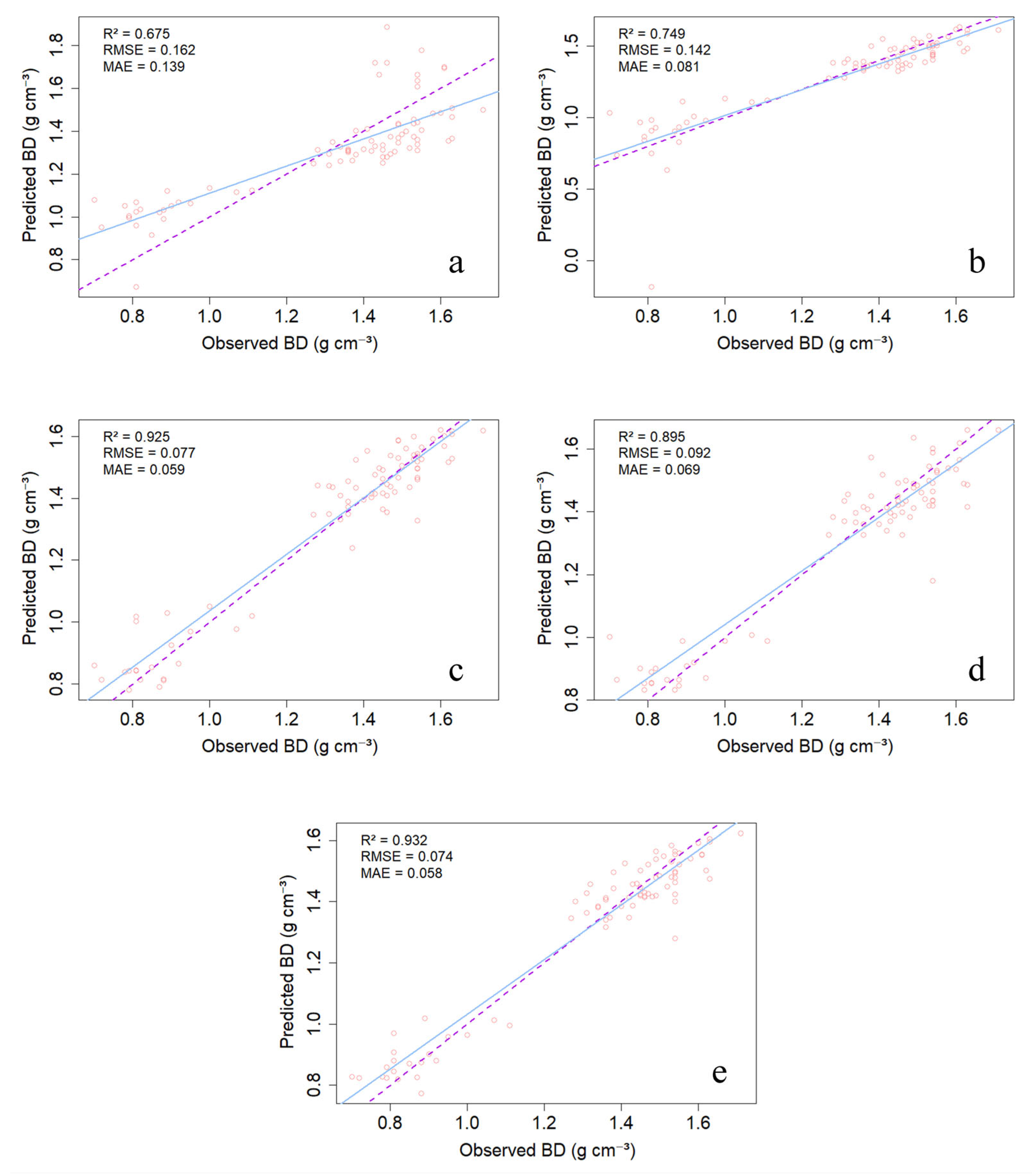
3.3. Performance of Models in the Validation Stage
3.4. Comparative Evaluation of the Performance of Models
4. Discussion
4.1. Mechanistic Interpretation of Site-Specific Trends in Relation to Model Inputs
4.2. Dominant Influence of Soil Moisture and Identification of a Critical Threshold
4.3. Comparative Advantages of Machine Learning over Traditional Regression Models
4.4. Limitations and Perspectives
5. Conclusions
Author Contributions
Funding
Data Availability Statement
Acknowledgments
Conflicts of Interest
References
- Al-Shammary, A.A.G.; Kouzani, A.Z.; Kaynak, A.; Khoo, S.Y.; Norton, M.; Gates, W. Soil Bulk Density Estimation Methods: A Review. Pedosphere 2018, 28, 581–596. [Google Scholar] [CrossRef]
- Panagos, P.; De Rosa, D.; Liakos, L.; Labouyrie, M.; Borrelli, P.; Ballabio, C. Soil Bulk Density Assessment in Europe. Agric. Ecosyst. Environ. 2024, 364, 108907. [Google Scholar] [CrossRef]
- Al-Shammary, A.A.G.; Kouzani, A.; Kaynak, A.; Khoo, S.Y.; Norton, M. Experimental Investigation of Thermo-Physical Properties of Soil Using Solarisation Technology. Am. J. Appl. Sci. 2017, 14, 649–661. [Google Scholar] [CrossRef][Green Version]
- Evett, S.R.; Agam, N.; Kustas, W.P.; Colaizzi, P.D.; Schwartz, R.C. Soil Profile Method for Soil Thermal Diffusivity, Conductivity and Heat Flux: Comparison to Soil Heat Flux Plates. Adv. Water Resour. 2012, 50, 41–54. [Google Scholar] [CrossRef]
- Xu, L.; He, N.; Yu, G. Methods of Evaluating Soil Bulk Density: Impact on Estimating Large Scale Soil Organic Carbon Storage. CATENA 2016, 144, 94–101. [Google Scholar] [CrossRef]
- Zheng, G.; Jiao, C.; Xie, X.; Cui, X.; Shang, G.; Zhao, C.; Zeng, R. Pedotransfer Functions for Predicting Bulk Density of Coastal Soils in East China. Pedosphere 2023, 33, 849–856. [Google Scholar] [CrossRef]
- Reichert, J.M.; Suzuki, L.E.A.S.; Reinert, D.J.; Horn, R.; Håkansson, I. Reference Bulk Density and Critical Degree-of-Compactness for No-till Crop Production in Subtropical Highly Weathered Soils. Soil Tillage Res. 2009, 102, 242–254. [Google Scholar] [CrossRef]
- Shi, L.; O’Rourke, S.; De Santana, F.B.; Daly, K. Prediction of Soil Bulk Density in Agricultural Soils Using Mid-Infrared Spectroscopy. Geoderma 2023, 434, 116487. [Google Scholar] [CrossRef]
- Pires, L.F.; Rosa, J.A.; Pereira, A.B.; Arthur, R.C.J.; Bacchi, O.O.S. Gamma-Ray Attenuation Method as an Efficient Tool to Investigate Soil Bulk Density Spatial Variability. Ann. Nucl. Energy 2009, 36, 1734–1739. [Google Scholar] [CrossRef]
- Zhou, J.; Li, E.; Wei, H.; Li, C.; Qiao, Q.; Armaghani, D.J. Random Forests and Cubist Algorithms for Predicting Shear Strengths of Rockfill Materials. Appl. Sci. 2019, 9, 1621. [Google Scholar] [CrossRef]
- Zeng, C.; Wang, Q.; Zhang, F.; Zhang, J. Temporal Changes in Soil Hydraulic Conductivity with Different Soil Types and Irrigation Methods. Geoderma 2013, 193–194, 290–299. [Google Scholar] [CrossRef]
- Casanova, M.; Tapia, E.; Seguel, O.; Salazar, O. Direct Measurement and Prediction of Bulk Density on Alluvial Soils of Central Chile. Chil. J. Agric. Res. 2016, 76, 105–113. [Google Scholar] [CrossRef]
- Martín, M.Á.; Reyes, M.; Taguas, F.J. Estimating Soil Bulk Density with Information Metrics of Soil Texture. Geoderma 2017, 287, 66–70. [Google Scholar] [CrossRef]
- Nanko, K.; Ugawa, S.; Hashimoto, S.; Imaya, A.; Kobayashi, M.; Sakai, H.; Ishizuka, S.; Miura, S.; Tanaka, N.; Takahashi, M.; et al. A Pedotransfer Function for Estimating Bulk Density of Forest Soil in Japan Affected by Volcanic Ash. Geoderma 2014, 213, 36–45. [Google Scholar] [CrossRef]
- Akpa, S.I.C.; Ugbaje, S.U.; Bishop, T.F.A.; Odeh, I.O.A. Enhancing Pedotransfer Functions with Environmental Data for Estimating Bulk Density and Effective Cation Exchange Capacity in a Data-sparse Situation. Soil Use Manag. 2016, 32, 644–658. [Google Scholar] [CrossRef]
- Yi, X.; Li, G.; Yin, Y. Pedotransfer Functions for Estimating Soil Bulk Density: A Case Study in the Three-River Headwater Region of Qinghai Province, China. Pedosphere 2016, 26, 362–373. [Google Scholar] [CrossRef]
- Choudhury, B.U.; Santra, P.; Singh, N.; Chakraborty, P. Development of Land-Use-Specific Pedotransfer Functions for Predicting Bulk Density of Acidic Topsoil in Eastern Himalayas (India). Geoderma Reg. 2023, 34, e00671. [Google Scholar] [CrossRef]
- Chen, Z.; Xue, J.; Wang, Z.; Zhou, Y.; Deng, X.; Liu, F.; Song, X.; Zhang, G.; Su, Y.; Zhu, P.; et al. Ensemble Modelling-Based Pedotransfer Functions for Predicting Soil Bulk Density in China. Geoderma 2024, 448, 116969. [Google Scholar] [CrossRef]
- Chen, S.; Chen, Z.; Zhang, X.; Luo, Z.; Schillaci, C.; Arrouays, D.; Richer-de-Forges, A.C.; Shi, Z. European Topsoil Bulk Density and Organic Carbon Stock Database (0–20 cm) Using Machine-Learning-Based Pedotransfer Functions. Earth Syst. Sci. Data 2024, 16, 2367–2383. [Google Scholar] [CrossRef]
- Bauer, T.; Strauss, P.; Murer, E. A Photogrammetric Method for Calculating Soil Bulk Density. J. Plant Nutr. Soil Sci. 2014, 177, 496–499. [Google Scholar] [CrossRef]
- Beamish, D. Relationships between Gamma-Ray Attenuation and Soils in SW England. Geoderma 2015, 259–260, 174–186. [Google Scholar] [CrossRef]
- Lobsey, C.R.; Viscarra Rossel, R.A. Sensing of Soil Bulk Density for More Accurate Carbon Accounting. Eur. J. Soil Sci. 2016, 67, 504–513. [Google Scholar] [CrossRef]
- Fu, Y.; Lu, Y.; Heitman, J.; Ren, T. Root Influences on Soil Bulk Density Measurements with Thermo-Time Domain Reflectometry. Geoderma 2021, 403, 115195. [Google Scholar] [CrossRef]
- Wan, H.; Qi, H.; Shang, S. Estimating Soil Water and Salt Contents from Field Measurements with Time Domain Reflectometry Using Machine Learning Algorithms. Agric. Water Manag. 2023, 285, 108364. [Google Scholar] [CrossRef]
- Gates, Z.W.; Galagedara, L.W.; Ziegler, S.E. Combining Ground Penetrating Radar Methodologies Enables Large-scale Mapping of Soil Horizon Thickness and Bulk Density in Boreal Forests. Soil Use Manag. 2023, 39, 1289–1303. [Google Scholar] [CrossRef]
- Colombi, T.; Torres, L.C.; Walter, A.; Keller, T. Feedbacks between Soil Penetration Resistance, Root Architecture and Water Uptake Limit Water Accessibility and Crop Growth—A Vicious Circle. Sci. Total Environ. 2018, 626, 1026–1035. [Google Scholar] [CrossRef]
- Tian, M.; Qin, S.; Whalley, W.R.; Zhou, H.; Ren, T.; Gao, W. Changes of Soil Structure under Different Tillage Management Assessed by Bulk Density, Penetrometer Resistance, Water Retention Curve, Least Limiting Water Range and X-Ray Computed Tomography. Soil Tillage Res. 2022, 221, 105420. [Google Scholar] [CrossRef]
- Yao, S.; Teng, X.; Zhang, B. Effects of Rice Straw Incorporation and Tillage Depth on Soil Puddlability and Mechanical Properties during Rice Growth Period. Soil Tillage Res. 2015, 146, 125–132. [Google Scholar] [CrossRef]
- Jiang, Q.; Cao, M.; Wang, Y.; Wang, J. Estimating Soil Penetration Resistance of Paddy Soils in the Plastic State Using Physical Properties. Agronomy 2020, 10, 1914. [Google Scholar] [CrossRef]
- Blanco-Canqui, H. Does Biochar Application Alleviate Soil Compaction? Review and Data Synthesis. Geoderma 2021, 404, 115317. [Google Scholar] [CrossRef]
- Liu, B.; Fan, H.; Jiang, Y.; Ma, R. Evaluation of Soil Macro-Aggregate Characteristics in Response to Soil Macropore Characteristics Investigated by X-Ray Computed Tomography under Freeze-Thaw Effects. Soil Tillage Res. 2023, 225, 105559. [Google Scholar] [CrossRef]
- Suzuki, L.E.A.S.; Reinert, D.J.; Pillon, C.N.; Reichert, J.M. Mechanical Resistance to Penetration for Improved Diagnosis of Soil Compaction at Grazing and Forest Sites. Forests 2024, 15, 1369. [Google Scholar] [CrossRef]
- Vaz, C.M.P.; Manieri, J.M.; De Maria, I.C.; Tuller, M. Modeling and Correction of Soil Penetration Resistance for Varying Soil Water Content. Geoderma 2011, 166, 92–101. [Google Scholar] [CrossRef]
- Grzesiak, S.; Grzesiak, M.T.; Hura, T.; Marcińska, I.; Rzepka, A. Changes in Root System Structure, Leaf Water Potential and Gas Exchange of Maize and Triticale Seedlings Affected by Soil Compaction. Environ. Exp. Bot. 2013, 88, 2–10. [Google Scholar] [CrossRef]
- Çarman, K. Compaction Characteristics of Towed Wheels on Clay Loam in a Soil Bin. Soil Tillage Res. 2002, 65, 37–43. [Google Scholar] [CrossRef]
- Kormanek, M. Use of Impact Penetrometer to Determine Changes in Soil Compactness After Entracon Sioux EH30 Timber Harvesting. Croat. J. For. Eng. 2022, 43, 325–337. [Google Scholar] [CrossRef]
- Otto, R.; Silva, A.P.; Franco, H.C.J.; Oliveira, E.C.A.; Trivelin, P.C.O. High Soil Penetration Resistance Reduces Sugarcane Root System Development. Soil Tillage Res. 2011, 117, 201–210. [Google Scholar] [CrossRef]
- Moraes, M.T.D.; Olbermann, F.J.R.; Bonetti, J.D.A.; Pilegi, L.R.; Costa, M.V.R.; Pacheco, V.; Rogers, C.D.; Guimarães, R.M.L. The Impacts of Cover Crop Mixes on the Penetration Resistance Model of an Oxisol under No-Tillage. Soil Tillage Res. 2024, 242, 106138. [Google Scholar] [CrossRef]
- Martínez-Fernández, J.; González-Zamora, A.; Sánchez, N.; Gumuzzio, A.; Herrero-Jiménez, C.M. Satellite Soil Moisture for Agricultural Drought Monitoring: Assessment of the SMOS Derived Soil Water Deficit Index. Remote Sens. Environ. 2016, 177, 277–286. [Google Scholar] [CrossRef]
- Singh, G.; Panda, R.K.; Mohanty, B.P. Spatiotemporal Analysis of Soil Moisture and Optimal Sampling Design for Regional-Scale Soil Moisture Estimation in a Tropical Watershed of India. Water Resour. Res. 2019, 55, 2057–2078. [Google Scholar] [CrossRef]
- Zhao, T.; Shi, J.; Lv, L.; Xu, H.; Chen, D.; Cui, Q.; Jackson, T.J.; Yan, G.; Jia, L.; Chen, L.; et al. Soil Moisture Experiment in the Luan River Supporting New Satellite Mission Opportunities. Remote Sens. Environ. 2020, 240, 111680. [Google Scholar] [CrossRef]
- Mane, S.; Das, N.; Singh, G.; Cosh, M.; Dong, Y. Advancements in Dielectric Soil Moisture Sensor Calibration: A Comprehensive Review of Methods and Techniques. Comput. Electron. Agric. 2024, 218, 108686. [Google Scholar] [CrossRef]
- Yao, Y.; Fan, J.; Li, J. A Review of Advanced Soil Moisture Monitoring Techniques for Slope Stability Assessment. Water 2025, 17, 390. [Google Scholar] [CrossRef]
- Martin, M.P.; Seen, D.L.; Boulonne, L.; Jolivet, C.; Nair, K.M.; Bourgeon, G.; Arrouays, D. Optimizing Pedotransfer Functions for Estimating Soil Bulk Density Using Boosted Regression Trees. Soil Sci. Soc. Am. J. 2009, 73, 485–493. [Google Scholar] [CrossRef]
- Fernandes, M.M.H.; Coelho, A.P.; Silva, M.F.D.; Bertonha, R.S.; Queiroz, R.F.D.; Furlani, C.E.A.; Fernandes, C. Estimation of Soil Penetration Resistance with Standardized Moisture Using Modeling by Artificial Neural Networks. CATENA 2020, 189, 104505. [Google Scholar] [CrossRef]
- Bayat, H.; Asghari, S.; Rastgou, M.; Sheykhzadeh, G.R. Estimating Proctor Parameters in Agricultural Soils in the Ardabil Plain of Iran Using Support Vector Machines, Artificial Neural Networks and Regression Methods. CATENA 2020, 189, 104467. [Google Scholar] [CrossRef]
- Li, J.; Liu, F.; Shi, W.; Du, Z.; Deng, X.; Ma, Y.; Shi, X.; Zhang, M.; Li, Q. Including Soil Depth as a Predictor Variable Increases Prediction Accuracy of SOC Stocks. Soil Tillage Res. 2024, 238, 106007. [Google Scholar] [CrossRef]
- Dai, L.; Wang, Z.; Zhuo, Z.; Ma, Y.; Shi, Z.; Chen, S. Prediction of Soil Organic Carbon Fractions in Tropical Cropland Using a Regional Visible and Near-Infrared Spectral Library and Machine Learning. Soil Tillage Res. 2025, 245, 106297. [Google Scholar] [CrossRef]
- Guo, L.; Fan, G.; Zhang, Y.; Shen, Z. Estimating the Bulk Density in 0-20 cm of Tilled Soils in China’s Loess Plateau Using Support Vector Machine Modeling. Commun. Soil Sci. Plant Anal. 2019, 50, 1753–1763. [Google Scholar] [CrossRef]
- Fernandes, M.M.H.; Coelho, A.P.; Fernandes, C.; Silva, M.F.D.; Dela Marta, C.C. Estimation of Soil Organic Matter Content by Modeling with Artificial Neural Networks. Geoderma 2019, 350, 46–51. [Google Scholar] [CrossRef]
- Wang, H.; Wang, L.; Huang, X.; Gao, W.; Ren, T. An Empirical Model for Estimating Soil Penetrometer Resistance from Relative Bulk Density, Matric Potential, and Depth. Soil Tillage Res. 2021, 208, 104904. [Google Scholar] [CrossRef]
- DeArmond, D.; Ferraz, J.B.S.; Lovera, L.H.; Souza, C.A.S.D.; Corrêa, C.; Spanner, G.C.; Lima, A.J.N.; Dos Santos, J.; Higuchi, N. Impacts to Soil Properties Still Evident 27 Years after Abandonment in Amazonian Log Landings. For. Ecol. Manag. 2022, 510, 120105. [Google Scholar] [CrossRef]
- Huang, Y. Improved SVM-Based Soil-Moisture-Content Prediction Model for Tea Plantation. Plants 2023, 12, 2309. [Google Scholar] [CrossRef]
- Chen, T.; Guestrin, C. XGBoost: A Scalable Tree Boosting System. In Proceedings of the 22nd ACM SIGKDD International Conference on Knowledge Discovery and Data Mining, San Francisco, CA, USA, 13–17 August 2016; ACM: New York, NY, USA, 2016; pp. 785–794. [Google Scholar] [CrossRef]
- Breiman, L. Random Forests. Mach. Learn. 2001, 45, 5–32. [Google Scholar] [CrossRef]
- R Core Team. R: A Language and Environment for Statistical Computing. Vienna, Austria: R Foundation for Statistical Computing. 2023. Available online: https://www.r-project.org (accessed on 16 June 2023).
- Meyer, D.; Dimitriadou, E.; Hornik, K.; Weingessel, A.; Leisch, F. e1071: Misc Functions of the Department of Statistics, Probability Theory Group (Formerly: E1071). R Package Version 1.7-16. 2024. Available online: https://cran.r-project.org/package=e1071 (accessed on 16 September 2024).
- Chen, T.; He, T.; Benesty, M.; Khotilovich, V.; Tang, Y.; Cho, H.; Chen, K.; Mitchell, R.; Cano, I.; Zhou, T.; et al. xgboost: Extreme Gradient Boosting. R package version 1.7.11.1. 2025. Available online: https://CRAN.R-project.org/package=xgboost (accessed on 15 May 2025).
- Samani, S.; Vadiati, M.; Nejatijahromi, Z.; Etebari, B.; Kisi, O. Groundwater Level Response Identification by Hybrid Wavelet–Machine Learning Conjunction Models Using Meteorological Data. Environ. Sci. Pollut. Res. 2022, 30, 22863–22884. [Google Scholar] [CrossRef] [PubMed]
- Taşan, M.; Demir, Y.; Taşan, S.; Öztürk, E. Comparative Analysis of Different Machine Learning Algorithms for Predicting Trace Metal Concentrations in Soils under Intensive Paddy Cultivation. Comput. Electron. Agric. 2024, 219, 108772. [Google Scholar] [CrossRef]
- Wu, J.; Huang, C. Machine Learning-Supported Determination for Site-Specific Natural Background Values of Soil Heavy Metals. J. Hazard. Mater. 2025, 487, 137276. [Google Scholar] [CrossRef]
- Fan, J.; Yue, W.; Wu, L.; Zhang, F.; Cai, H.; Wang, X.; Lu, X.; Xiang, Y. Evaluation of SVM, ELM and Four Tree-Based Ensemble Models for Predicting Daily Reference Evapotranspiration Using Limited Meteorological Data in Different Climates of China. Agric. For. Meteorol. 2018, 263, 225–241. [Google Scholar] [CrossRef]
- DeArmond, D.; Emmert, F.; Lima, A.J.N.; Higuchi, N. Impacts of Soil Compaction Persist 30 Years after Logging Operations in the Amazon Basin. Soil Tillage Res. 2019, 189, 207–216. [Google Scholar] [CrossRef]
- McNabb, D.H.; Boersma, L. Evaluation of the Relationship between Compressibility and Shear Strength of Andisols. Soil Sci. Soc. Am. J. 1993, 57, 923–929. [Google Scholar] [CrossRef]
- Ampoorter, E.; Van Nevel, L.; De Vos, B.; Hermy, M.; Verheyen, K. Assessing the Effects of Initial Soil Characteristics, Machine Mass and Traffic Intensity on Forest Soil Compaction. For. Ecol. Manag. 2010, 260, 1664–1676. [Google Scholar] [CrossRef]
- Saffih-Hdadi, K.; Défossez, P.; Richard, G.; Cui, Y.-J.; Tang, A.-M.; Chaplain, V. A Method for Predicting Soil Susceptibility to the Compaction of Surface Layers as a Function of Water Content and Bulk Density. Soil Tillage Res. 2009, 105, 96–103. [Google Scholar] [CrossRef]
- Pöhlitz, J.; Rücknagel, J.; Schlüter, S.; Vogel, H.-J.; Christen, O. Computed Tomography as an Extension of Classical Methods in the Analysis of Soil Compaction, Exemplified on Samples from Two Tillage Treatments and at Two Moisture Tensions. Geoderma 2019, 346, 52–62. [Google Scholar] [CrossRef]
- Rücknagel, J.; Christen, O.; Hofmann, B.; Ulrich, S. A Simple Model to Estimate Change in Precompression Stress as a Function of Water Content on the Basis of Precompression Stress at Field Capacity. Geoderma 2012, 177–178, 1–7. [Google Scholar] [CrossRef]
- Souza, R.; Hartzell, S.; Freire Ferraz, A.P.; De Almeida, A.Q.; De Sousa Lima, J.R.; Dantas Antonino, A.C.; De Souza, E.S. Dynamics of Soil Penetration Resistance in Water-Controlled Environments. Soil Tillage Res. 2021, 205, 104768. [Google Scholar] [CrossRef]
- Pires, L.F.; Auler, A.C.; Roque, W.L.; Mooney, S.J. X-Ray Microtomography Analysis of Soil Pore Structure Dynamics under Wetting and Drying Cycles. Geoderma 2020, 362, 114103. [Google Scholar] [CrossRef] [PubMed]
- Pan, L.; Chen, Y.; Xu, Y.; Li, J.; Lu, H. A Model for Soil Moisture Content Prediction Based on the Change in Ultrasonic Velocity and Bulk Density of Tillage Soil under Alternating Drying and Wetting Conditions. Measurement 2022, 189, 110504. [Google Scholar] [CrossRef]
- Tang, C.-S.; Wang, D.-Y.; Shi, B.; Li, J. Effect of Wetting-Drying Cycles on Profile Mechanical Behavior of Soils with Different Initial Conditions. Catena 2016, 139, 105–116. [Google Scholar] [CrossRef]
- Zhang, B.; Jia, Y.; Fan, H.; Guo, C.; Fu, J.; Li, S.; Li, M.; Liu, B.; Ma, R. Soil Compaction Due to Agricultural Machinery Impact: A Systematic Review. Land Degrad. Dev. 2024, 35, 3256–3273. [Google Scholar] [CrossRef]
- Mulqueen, J.; Stafford, J.V.; Tanner, D.W. Evaluation of Penetrometers for Measuring Soil Strength. J. Terramech. 1977, 14, 137–151. [Google Scholar] [CrossRef]
- Moraes, M.T.D.; Debiasi, H.; Franchini, J.C.; Silva, V.R.D. Soil Penetration Resistance in a Rhodic Eutrudox Affected by Machinery Traffic and Soil Water Content. Eng. Agrícola 2013, 33, 748–757. [Google Scholar] [CrossRef]
- Abdallah, M.; Abu Talib, M.; Feroz, S.; Nasir, Q.; Abdalla, H.; Mahfood, B. Artificial Intelligence Applications in Solid Waste Management: A Systematic Research Review. Waste Manag. 2020, 109, 231–246. [Google Scholar] [CrossRef]
- Nguyen, X.C.; Nguyen, T.T.H.; La, D.D.; Kumar, G.; Rene, E.R.; Nguyen, D.D.; Chang, S.W.; Chung, W.J.; Nguyen, X.H.; Nguyen, V.K. Development of Machine Learning—Based Models to Forecast Solid Waste Generation in Residential Areas: A Case Study from Vietnam. Resour. Conserv. Recycl. 2021, 167, 105381. [Google Scholar] [CrossRef]
- Zhang, S.; Zhao, J.; Zhu, L. Predicting Removal Efficiency of Organic Pollutants by Soil Vapor Extraction Based on an Optimized Machine Learning Method. Sci. Total Environ. 2024, 927, 172438. [Google Scholar] [CrossRef]
- Balcan, M.-F.; Blum, A.; Vempala, S. Kernels as Features: On Kernels, Margins, and Low-Dimensional Mappings. Mach. Learn. 2006, 65, 79–94. [Google Scholar] [CrossRef]
- Teshome, F.T.; Bayabil, H.K.; Schaffer, B.; Ampatzidis, Y.; Hoogenboom, G.; Singh, A. Simulating Soil Hydrologic Dynamics Using Crop Growth and Machine Learning Models. Comput. Electron. Agric. 2024, 224, 109186. [Google Scholar] [CrossRef]
- Li, P.; Kwon, H.; Sun, L.; Lall, U.; Kao, J. A Modified Support Vector Machine Based Prediction Model on Streamflow at the Shihmen Reservoir, Taiwan. Int. J. Climatol. 2010, 30, 1256–1268. [Google Scholar] [CrossRef]
- Kumar, A.; Samadder, S.R.; Kumar, N.; Singh, C. Estimation of the Generation Rate of Different Types of Plastic Wastes and Possible Revenue Recovery from Informal Recycling. Waste Manag. 2018, 79, 781–790. [Google Scholar] [CrossRef]
- Wang, X.; Gao, Y.; Hou, J.; Yang, J.; Smits, K.; He, H. Machine Learning Facilitates Connections between Soil Thermal Conductivity, Soil Water Content, and Soil Matric Potential. J. Hydrol. 2024, 633, 130950. [Google Scholar] [CrossRef]
- Blanco-Canqui, H.; Ruis, S.J. No-Tillage and Soil Physical Environment. Geoderma 2018, 326, 164–200. [Google Scholar] [CrossRef]
- Vizioli, B.; Cavalieri-Polizeli, K.M.V.; Tormena, C.A.; Barth, G. Effects of Long-Term Tillage Systems on Soil Physical Quality and Crop Yield in a Brazilian Ferralsol. Soil Tillage Res. 2021, 209, 104935. [Google Scholar] [CrossRef]
- Gui, W.; You, Y.; Yang, F.; Zhang, M. Soil Bulk Density and Matric Potential Regulate Soil CO2 Emissions by Altering Pore Characteristics and Water Content. Land 2023, 12, 1646. [Google Scholar] [CrossRef]
- Du, Y.; Guo, S.; Wang, R.; Song, X.; Ju, X. Soil Pore Structure Mediates the Effects of Soil Oxygen on the Dynamics of Greenhouse Gases during Wetting–Drying Phases. Sci. Total Environ. 2023, 895, 165192. [Google Scholar] [CrossRef] [PubMed]
- Liu, X.; Rezaei Rashti, M.; Van Zwieten, L.; Esfandbod, M.; Rose, M.T.; Chen, C. Microbial Carbon Functional Responses to Compaction and Moisture Stresses in Two Contrasting Australian Soils. Soil Tillage Res. 2023, 234, 105825. [Google Scholar] [CrossRef]
- Thotakuri, G.; Chakraborty, P.; Singh, J.; Xu, S.; Kovács, P.; Iqbal, J.; Kumar, S. X-Ray Computed Tomography—Measured Pore Characteristics and Hydro-Physical Properties of Soil Profile as Influenced by Long-Term Tillage and Rotation Systems. CATENA 2024, 237, 107801. [Google Scholar] [CrossRef]








| Site | Location | Soil Texture | Study Year | Soil Depth | Soil Taxonomy | Annual Rainfall | No. of Samples | Reference |
|---|---|---|---|---|---|---|---|---|
| 1 | Chengdu, China | Silt | 2024 | 0–20 cm | Inceptisols | 900 mm | 210 | This study |
| 2 | Lishu, China | Clay loam and Loamy sand | 2017, 2018, 2019 | 0–20 cm | Mollisols | 650 mm | 125 | [51] |
| 3 | Manaus, Brazil | Clay | 2020 | 0–10 cm | Oxisols | 2500 mm | 116 | [52] |
| Model | Parameter | Description | Tuning Range | Optimal Value |
|---|---|---|---|---|
| XGBoost | Nrounds | Number of weak learners/trees, determining model complexity and fitting capacity. | [1, 1000] (Integer, default max) | 672 |
| Eta | Learning rate, controlling the contribution of each tree to the final prediction (shrinkage). | [0.025, 0.5] | 0.4565661 | |
| Max_depth | Limits the maximum depth of each tree, a key parameter for preventing overfitting. | [1, 15] (Integer) | 9 | |
| Gamma | Minimum loss reduction required for a split, used to control model complexity. | [0, 1] | 0.2956881 | |
| Subsample | Subsample ratio of the training instances for each boosting iteration, used to reduce variance. | [0.5, 1.0] | 0.859481 | |
| SVM (RBF Kernel) | C | Regularization parameter, controlling the trade-off between training error and margin size. | [0.25, 10] (Logarithmic scale) | 4.999425 |
| Sigma | Kernel parameter, controlling the bandwidth of the RBF kernel, affecting the influence of data points. | [10−6, 1] | 0.495799 | |
| Random Forest | Mtry | Number of features randomly sampled at each split. | [1, 2] (Integer, total features) | 1 |
| Model Comparison | t-Statistic | Degrees of Freedom | p-Value | Effect Size |
|---|---|---|---|---|
| RF vs. XGB | 3.538024 | 49 | 0.00089 | 0.50035 |
| SVM vs. XGB | 2.112829 | 49 | 0.03973 | 0.29879 |
| RF vs. SVM | 1.145433 | 49 | 0.25759 | NA |
Disclaimer/Publisher’s Note: The statements, opinions and data contained in all publications are solely those of the individual author(s) and contributor(s) and not of MDPI and/or the editor(s). MDPI and/or the editor(s) disclaim responsibility for any injury to people or property resulting from any ideas, methods, instructions or products referred to in the content. |
© 2025 by the authors. Licensee MDPI, Basel, Switzerland. This article is an open access article distributed under the terms and conditions of the Creative Commons Attribution (CC BY) license (https://creativecommons.org/licenses/by/4.0/).
Share and Cite
Zeng, X.; Wu, J.; Di, B.; Huang, C. Machine Learning-Based Prediction of Soil Bulk Density Using Soil Penetration Resistance and Moisture. Agronomy 2025, 15, 2737. https://doi.org/10.3390/agronomy15122737
Zeng X, Wu J, Di B, Huang C. Machine Learning-Based Prediction of Soil Bulk Density Using Soil Penetration Resistance and Moisture. Agronomy. 2025; 15(12):2737. https://doi.org/10.3390/agronomy15122737
Chicago/Turabian StyleZeng, Xiaole, Jian Wu, Baofeng Di, and Chengmin Huang. 2025. "Machine Learning-Based Prediction of Soil Bulk Density Using Soil Penetration Resistance and Moisture" Agronomy 15, no. 12: 2737. https://doi.org/10.3390/agronomy15122737
APA StyleZeng, X., Wu, J., Di, B., & Huang, C. (2025). Machine Learning-Based Prediction of Soil Bulk Density Using Soil Penetration Resistance and Moisture. Agronomy, 15(12), 2737. https://doi.org/10.3390/agronomy15122737

