Elevated CO2 Modulates Selenium Bioaccumulation in Garlic (Allium sativum L.): Contrasting Effects of Biochar and Phosphate Fertilizer Amendments
Abstract
1. Introduction
2. Materials and Methods
2.1. Experimental Site, Soil, and Amendments
2.2. Experimental Design and Plant Cultivation
2.3. Sample Collection and Analysis
2.4. Analysis of Additional Soil Physicochemical Properties
2.5. Soil DNA Extraction and High-Throughput Sequencing
2.6. Statistical Analyses
3. Results and Discussion
3.1. Garlic Biomass and Soil Physicochemical Properties
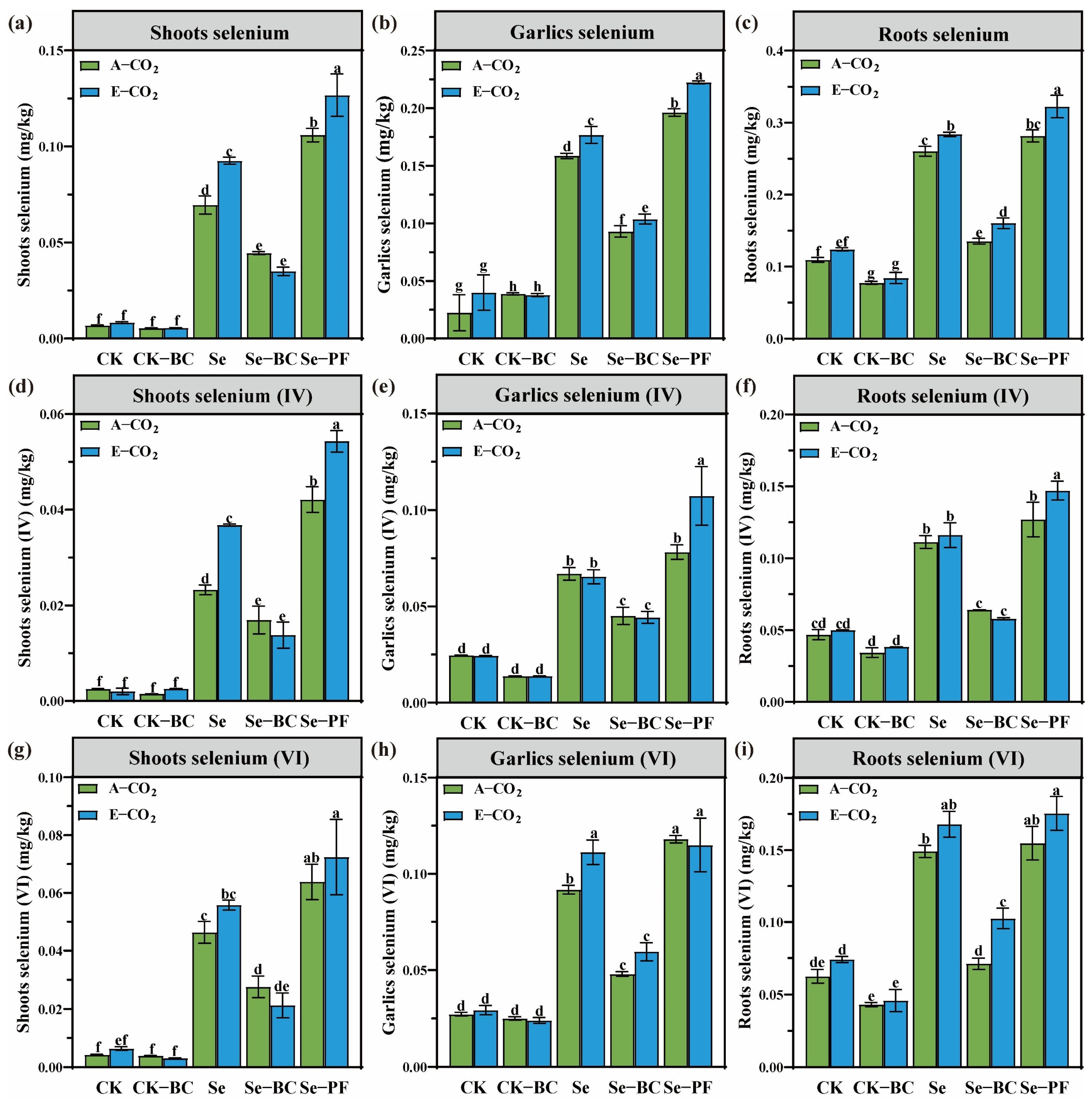
3.2. Selenium Accumulation in Garlic and Soil Selenium Speciation
3.3. Soil Microbial Community Dynamics and Its Regulatory Role
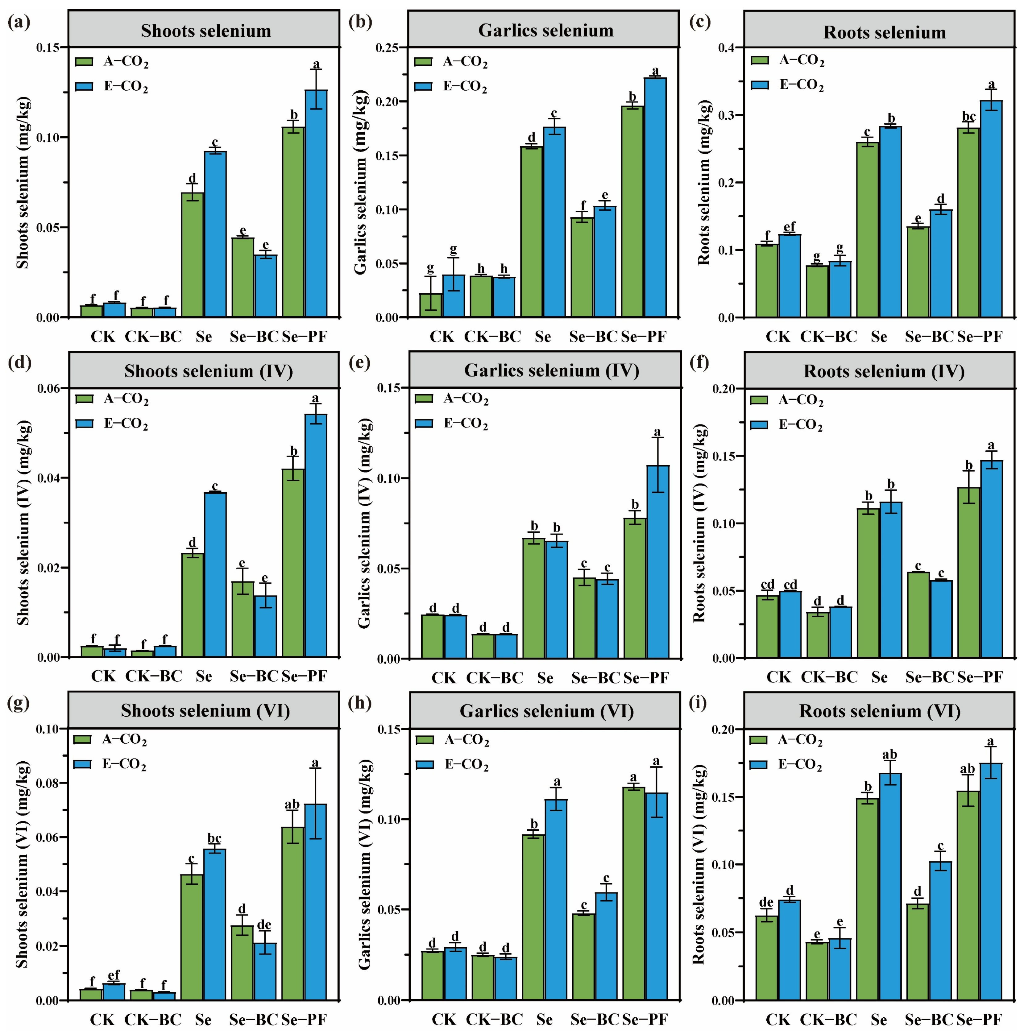
3.4. Integrated Mechanisms Elucidated by Structural Equation Modeling
4. Conclusions
Supplementary Materials
Author Contributions
Funding
Data Availability Statement
Conflicts of Interest
References
- Chen, J.R.; Feng, T.; Wang, B.; He, R.H.; Xu, Y.L.; Gao, P.P.; Zhang, Z.H.; Zhang, L.; Fu, J.Y.; Liu, Z.; et al. Enhancing organic selenium content and antioxidant activities of soy sauce using nano-selenium during soybean soaking. Front. Nutr. 2022, 9, 17. [Google Scholar] [CrossRef]
- Schomburg, L. Selenium, selenoproteins and the thyroid gland: Interactions in health and disease. Nat. Rev. Endocrinol. 2012, 8, 160–171. [Google Scholar] [CrossRef]
- Zhang, F.; Li, X.L.; Wei, Y.M. Selenium and Selenoproteins in Health. Biomolecules 2023, 13, 799. [Google Scholar] [CrossRef]
- Thiry, C.; Ruttens, A.; De Temmerman, L.; Schneider, Y.J.; Pussemier, L. Current knowledge in species-related bioavailability of selenium in food. Food Chem. 2012, 130, 767–784. [Google Scholar] [CrossRef]
- Tan, L.C.; Nancharaiah, Y.V.; van Hullebusch, E.D.; Lens, P.N.L. Selenium: Environmental significance, pollution, and biological treatment technologies. Biotechnol. Adv. 2016, 34, 886–907. [Google Scholar] [CrossRef]
- Nie, L.L.; Zhou, B.Q.; Hong, B.; Wang, X.D.; Chang, T.; Guan, C.Y.; Guan, M. Application of selenium can alleviate the stress of cadmium on rapeseed at different growth stages in soil. Agronomy 2023, 13, 2228. [Google Scholar] [CrossRef]
- Wang, D.; Rensing, C.; Zheng, S.X. Microbial reduction and resistance to selenium: Mechanisms, applications and prospects. J. Hazard. Mater. 2022, 421, 11. [Google Scholar] [CrossRef]
- Larsen, E.H.; Lobinski, R.; Burger-Meyer, K.; Hansen, M.; Ruzik, R.; Mazurowska, L.; Rasmussen, P.H.; Sloth, J.J.; Scholten, O.; Kik, C. Uptake and speciation of selenium in garlic cultivated in soil amended with symbiotic fungi (mycorrhiza) and selenate. Anal. Bioanal. Chem. 2006, 385, 1098–1108. [Google Scholar] [CrossRef] [PubMed]
- Nie, X.Y.; Luo, D.Y.; Ma, H.F.; Wang, L.Y.; Yang, C.; Tian, X.K.; Nie, Y.L. Different effects of selenium speciation on selenium absorption, selenium transformation and cadmium antagonism in garlic. Food Chem. 2024, 443, 8. [Google Scholar] [CrossRef]
- Yuan, L.; Yuan, J.F.; Gao, C.; Zhao, H.M.; Wu, C.Y.; Yang, Z.H. Lactiplantibacillus plantarum S1 as a Novel Dual-Functional Probiotic Strain for High-Efficiency Organoselenium Biotransformation in Functional Food Development. Foods 2025, 14, 1851. [Google Scholar] [CrossRef]
- Grimm, N.B.; Chapin, F.S.; Bierwagen, B.; Gonzalez, P.; Groffman, P.M.; Luo, Y.Q.; Melton, F.; Nadelhoffer, K.; Pairis, A.; Raymond, P.A.; et al. The impacts of climate change on ecosystem structure and function. Front. Ecol. Environ. 2013, 11, 474–482. [Google Scholar] [CrossRef]
- Myers, S.S.; Zanobetti, A.; Kloog, I.; Huybers, P.; Leakey, A.D.B.; Bloom, A.J.; Carlisle, E.; Dietterich, L.H.; Fitzgerald, G.; Hasegawa, T.; et al. Increasing CO2 threatens human nutrition. Nature 2014, 510, 139–142. [Google Scholar] [CrossRef]
- Toreti, A.; Deryng, D.; Tubiello, F.N.; Müller, C.; Kimball, B.A.; Moser, G.; Boote, K.; Asseng, S.; Pugh, T.A.M.; Vanuytrecht, E.; et al. Narrowing uncertainties in the effects of elevated CO2 on crops. Nat. Food 2020, 1, 775–782. [Google Scholar] [CrossRef]
- Beringer, T.; Müller, C.; Chatterton, J.; Kulak, M.; Schaphoff, S.; Jans, Y. CO2 fertilization effect may balance climate change impacts on oil palm cultivation. Environ. Res. Lett. 2023, 18, 10. [Google Scholar] [CrossRef]
- McGrath, J.M.; Lobell, D.B. Regional disparities in the CO2 fertilization effect and implications for crop yields. Environ. Res. Lett. 2013, 8, 9. [Google Scholar] [CrossRef]
- Ogden, L.E. Elevated CO2 reduces crop yield and nutrition. Front. Ecol. Environ. 2019, 17, 367. [Google Scholar]
- Zhang, Z.H.; Kau, M.; Zang, H.W.; Wang, Y.D.; Duan, Y.H.; Zhang, L.; Liu, Y.X.; Yuan, L.X. Selenium regulated the responses of soil bacterial communities to short-term elevated atmospheric CO2 stress. Environ. Res. 2025, 285, 12. [Google Scholar] [CrossRef]
- Zang, H.W.; Shi, W.Y.; Kau, M.; Li, J.Y.; Li, J.X.; Zhang, W.Y.; Zhou, Z.M.; Sun, B.W.; Yuan, L.X.; Zhu, R.B. Effects of elevated CO2 concentration on Se accumulation and associated rhizobacterial community in Cardamine hupingshanensis. Plant Soil 2025, 511, 1553–1573. [Google Scholar] [CrossRef]
- Kamali, M.; Sweygers, N.; Al-Salem, S.; Appels, L.; Aminabhavi, T.M.; Dewil, R. Biochar for soil applications-sustainability aspects, challenges and future prospects. Chem. Eng. J. 2022, 428, 131189. [Google Scholar] [CrossRef]
- Garbowski, T.; Bar-Michalczyk, D.; Charazinska, S.; Grabowska-Polanowska, B.; Kowalczyk, A.; Lochynski, P. An overview of natural soil amendments in agriculture. Soil Tillage Res. 2023, 225, 20. [Google Scholar] [CrossRef]
- Yuan, Y.F.; Liu, Q.; Zheng, H.; Li, M.; Liu, Y.F.; Wang, X.; Peng, Y.; Luo, X.X.; Li, F.M.; Li, X.Y.; et al. Biochar as a sustainable tool for improving the health of salt-affected soils. Soil Environ. Health 2023, 1, 21. [Google Scholar] [CrossRef]
- Carvalho, M.L.; de Moraes, M.T.; Cerri, C.E.P.; Cherubin, M.R. Biochar Amendment Enhances Water Retention in a Tropical Sandy Soil. Agriculture 2020, 10, 62. [Google Scholar] [CrossRef]
- Neththasinghe, N.; Dissanayaka, D.; Karunarathna, A.K. Rhizosphere nutrient availability and nutrient uptake of soybean in response to biochar application. J. Plant Nutr. 2023, 46, 4085–4095. [Google Scholar] [CrossRef]
- Hossain, M.Z.; Bahar, M.M.; Sarkar, B.; Donne, S.W.; Ok, Y.S.; Palansooriya, K.N.; Kirkham, M.B.; Chowdhury, S.; Bolan, N. Biochar and its importance on nutrient dynamics in soil and plant. Biochar 2020, 2, 379–420. [Google Scholar] [CrossRef]
- Mo, T.D.; He, J.Y.; Li, C.X.; Jiang, D.H. The Combined Application of Biological Nanoselenium and Biochar Promotes Selenium Enrichment and Cadmium Content Reduction in Rice. Agronomy 2025, 15, 1398. [Google Scholar] [CrossRef]
- Li, Y.Y.; Yu, S.H.; Zhou, X.B. Effects of phosphorus on absorption and transport of selenium in rice seedlings. Environ. Sci. Pollut. Res. 2019, 26, 13755–13761. [Google Scholar] [CrossRef]
- Nakamaru, Y.; Tagami, K.; Uchida, S. Effect of phosphate addition on the sorption-desorption reaction of selenium in Japanese agricultural soils. Chemosphere 2006, 63, 109–115. [Google Scholar] [CrossRef]
- Li, B.Y.; Zhou, D.M.; Cang, L.; Zhang, H.L.; Fan, X.H.; Qin, S.W. Soil micronutrient availability to crops as affected by long-term inorganic and organic fertilizer applications. Soil Tillage Res. 2007, 96, 166–173. [Google Scholar] [CrossRef]
- Hartley, W.; Riby, P.; Waterson, J. Effects of three different biochars on aggregate stability, organic carbon mobility and micronutrient bioavailability. J. Environ. Manag. 2016, 181, 770–778. [Google Scholar] [CrossRef]
- Gong, Z.T.; Zhang, G.L.; Chen, Z.C. Pedogenesis and Soil Taxonomy; Science Press: Beijing, China, 2007. (In Chinese) [Google Scholar]
- Li, Z.; Liang, D.; Peng, Q.; Cui, Z.; Huang, J.; Lin, Z. Interaction between selenium and soil organic matter and its impact on soil selenium bioavailability: A review. Geoderma 2017, 295, 69–79. [Google Scholar] [CrossRef]
- IPCC. Climate Change 2021: The Physical Science Basis; Masson-Delmotte, V., Zhai, P., Pirani, A., Connors, S.L., Péan, C., Berger, S., Caud, N., Goldfarb, L., Gomis, M.I., Huang, M., et al., Eds.; Cambridge University Press: Cambridge, UK, 2021. [Google Scholar]
- Bao, S.D. Soil and Agricultural Chemistry Analysis; China Agriculture Press: Beijing, China, 2000. (In Chinese) [Google Scholar]
- Kurkova, T.; Skrypnik, L.; Zalieckiene, E. Features of plant material pre-treatment for selenium determination by atomic absorption and fluorimetric methods. Chemija 2008, 19, 40–43. [Google Scholar]
- Omega Bio-tek. Soil DNA Kit D5625 Manual; Omega Bio-tek: Norcross, GA, USA, 2023. [Google Scholar]
- Winkel, L.H.E.; Johnson, C.A.; Lenz, M.; Grundl, T.; Leupin, O.X.; Amini, M.; Charlet, L. Environmental Selenium Research: From Microscopic Processes to Global Understanding. Environ. Sci. Technol. 2012, 46, 571–579. [Google Scholar] [CrossRef]
- Caporaso, J.G.; Lauber, C.L.; Walters, W.A.; Berg-Lyons, D.; Lozupone, C.A.; Turnbaugh, P.J.; Fierer, N.; Knight, R. Global patterns of 16S rRNA diversity at a depth of millions of sequences per sample. Proc. Natl. Acad. Sci. USA 2011, 108, 4516–4522. [Google Scholar] [CrossRef] [PubMed]
- Bolyen, E.; Rideout, J.R.; Dillon, M.R.; Bokulich, N.; Abnet, C.C.; Al-Ghalith, G.A.; Alexander, H.; Alm, E.J.; Arumugam, M.; Asnicar, F.; et al. Reproducible, interactive, scalable and extensible microbiome data science using QIIME 2. Nat. Biotechnol. 2019, 37, 852–857. [Google Scholar] [CrossRef]
- Schloss, P.D.; Westcott, S.L.; Ryabin, T.; Hall, J.R.; Hartmann, M.; Hollister, E.B.; Lesniewski, R.A.; Oakley, B.B.; Parks, D.H.; Robinson, C.J.; et al. Introducing mothur: Open-source, platform-independent, community-supported software for describing and comparing microbial communities. Appl. Environ. Microbiol. 2009, 75, 7537–7541. [Google Scholar] [CrossRef]
- Quast, C.; Pruesse, E.; Yilmaz, P.; Gerken, J.; Schweer, T.; Yarza, P.; Peplies, J.; Glöckner, F.O. The SILVA ribosomal RNA gene database project: Improved data processing and web-based tools. Nucleic Acids Res. 2013, 41, D590–D596. [Google Scholar] [CrossRef]
- Dixon, P. VEGAN, a package of R functions for community ecology. J. Veg. Sci. 2003, 14, 927–930. [Google Scholar] [CrossRef]
- Rosseel, Y. lavaan: An Rpackage for structural equation modeling. J. Stat. Softw. 2012, 48, 1–36. [Google Scholar] [CrossRef]
- Ahmad, S.; Sehrish, A.K.; Tabassam, R.; Ai, F.X.; Naeem, M.K.; Jamil, A.; Ali, S.; Guo, H.Y. Nutrient strengthening and stress alleviation in rice (Oryza sativa L.) via foliar ceria nanoparticles and biochar amendment under elevated CO2-mediated warming. Plant Physiol. Biochem. 2025, 229, 19. [Google Scholar] [CrossRef]
- Pei, J.M.; Li, J.Q.; Fang, C.M.; Zhao, J.Y.; Nie, M.; Wu, J.H. Different responses of root exudates to biochar application under elevated CO2. Agric. Ecosyst. Environ. 2020, 301, 7. [Google Scholar] [CrossRef]
- Oh, N.H.; Richter, D.D., Jr. Soil acidification induced by elevated atmospheric CO2. Glob. Change Biol. 2004, 10, 1936–1946. [Google Scholar] [CrossRef]
- Noyce, G.L.; Smith, A.J.; Kirwan, M.L.; Rich, R.L.; Megonigal, J.P. Oxygen priming induced by elevated CO2 reduces carbon accumulation and methane emissions in coastal wetlands. Nat. Geosci. 2023, 16, 63–68. [Google Scholar] [CrossRef]
- Navarro, R.R.; Aoyagi, T.; Kimura, M.; Koh, H.; Sato, Y.; Kikuchi, Y.; Ogata, A.; Hori, T. High-resolution dynamics of microbial communities during dissimilatory selenate reduction in anoxic soil. Environ. Sci. Technol. 2015, 49, 7684–7691. [Google Scholar] [CrossRef] [PubMed]
- Bao, P.; Huang, H.; Hu, Z.Y.; Häggblom, M.M.; Zhu, Y.G. Impact of temperature, CO2 fixation and nitrate reduction on selenium reduction, by a paddy soil Clostridium strain. J. Appl. Microbiol. 2013, 114, 703–712. [Google Scholar] [CrossRef]
- Zhai, H.; Liu, Y.M.; Pan, L.; Wang, Y.J.; Gong, H.T.; Ren, M.Q.; Wu, J.C. Selenite adsorption and desorption characteristics in soils: Effects of soil amendments and underlying mechanisms. Eur. J. Soil Sci. 2025, 76, 13. [Google Scholar] [CrossRef]
- Eich-Greatorex, S.; Krogstad, T.; Sogn, T.A. Effect of phosphorus status of the soil on selenium availability. J. Plant Nutr. Soil Sci. 2010, 173, 337–344. [Google Scholar] [CrossRef]
- Weng, L.P.; Vega, F.A.; Supriatin, S.; Bussink, W.; Van Riemsdijk, W.H. Speciation of Se and DOC in soil solution and their relation to Se bioavailability. Environ. Sci. Technol. 2011, 45, 262–267. [Google Scholar] [CrossRef]
- Zafeiriou, I.; Gasparatos, D.; Ioannou, D.; Kalderis, D.; Massas, I. Selenium biofortification of lettuce plants (Lactuca sativa L.) as affected by Se species, Se rate, and a biochar co-application in a calcareous soil. Agronomy 2022, 12, 131. [Google Scholar] [CrossRef]
- White, P.J. Selenium accumulation by plants. Ann. Bot. 2016, 117, 217–235. [Google Scholar] [CrossRef]
- Tang, Z.Y.; Feng, X.; Li, R.J.; Fan, F.L.; Miao, Z. Mechanisms of biochar in modulating soil organic selenium transformation and enhancing soil selenium availability. Agronomy 2025, 15, 701. [Google Scholar] [CrossRef]
- An, L.J.; Zhao, L.P.; Wei, A.; Shi, K.X.; Li, M.S.; Dawwam, G.E.; Zheng, S.X. Balancing application of plant growth-promoting bacteria and biochar in promoting selenium biofortification and remediating combined heavy metal pollution in paddy soil. Environ. Geochem. Health 2025, 47, 17. [Google Scholar] [CrossRef]
- Nakamaru, Y.M.; Altansuvd, J. Speciation and bioavailability of selenium and antimony in non-flooded and wetland soils: A review. Chemosphere 2014, 111, 366–371. [Google Scholar] [CrossRef]
- Wang, M.K.; Cui, Z.W.; Xue, M.Y.; Peng, Q.; Zhou, F.; Wang, D.; Dinh, Q.T.; Liu, Y.X.; Liang, D.L. Assessing the uptake of selenium from naturally enriched soils by maize (Zea mays L.) using diffusive gradients in thin-films technique (DGT) and traditional extractions. Sci. Total Environ. 2019, 689, 1–9. [Google Scholar] [CrossRef] [PubMed]
- Ma, S.J.; Zhu, G.W.; Parhat, R.; Jin, Y.Y.; Wang, X.S.; Wu, W.P.; Xu, W.L.; Wang, Y.L.; Chen, W.F. Exogenous selenium and biochar application modulate the growth and selenium uptake of medicinal legume Astragalus species. Plants 2023, 12, 1957. [Google Scholar] [CrossRef]
- Lee, S.; Woodard, H.J.; Doolittle, J.J. Effect of phosphate and sulfate fertilizers on selenium uptake by wheat (Triticum aestivum). Soil Sci. Plant Nutr. 2011, 57, 696–704. [Google Scholar] [CrossRef]
- Luo, L.; Hou, X.; Yi, D.D.; Deng, G.G.; Wang, Z.Y.; Peng, M. Selenium-enriched microorganisms: Metabolism, production, and applications. Microorganisms 2025, 13, 1849. [Google Scholar] [CrossRef]
- Lehmann, J.; Rillig, M.C.; Thies, J.; Masiello, C.A.; Hockaday, W.C.; Crowley, D. Biochar effects on soil biota—A review. Soil Biol. Biochem. 2011, 43, 1812–1836. [Google Scholar] [CrossRef]
- Lindblom, S.D.; Valdez-Barillas, J.R.; Fakra, S.C.; Marcus, M.A.; Wangeline, A.L.; Pilon-Smits, E.A.H. Influence of microbial associations on selenium localization and speciation in roots of Astragalus and Stanleya hyperaccumulators. Environ. Exp. Bot. 2013, 88, 33–42. [Google Scholar] [CrossRef]
- Sami, H.; Ashraf, K.; Sultan, K.; Alamri, S.; Abbas, M.; Javied, S.; Zaman, Q.U. Remediation potential of biochar and selenium for mitigating chromium-induced stress in spinach to minimize human health risk. S. Afr. J. Bot. 2023, 163, 237–249. [Google Scholar] [CrossRef]







Disclaimer/Publisher’s Note: The statements, opinions and data contained in all publications are solely those of the individual author(s) and contributor(s) and not of MDPI and/or the editor(s). MDPI and/or the editor(s) disclaim responsibility for any injury to people or property resulting from any ideas, methods, instructions or products referred to in the content. |
© 2025 by the authors. Licensee MDPI, Basel, Switzerland. This article is an open access article distributed under the terms and conditions of the Creative Commons Attribution (CC BY) license (https://creativecommons.org/licenses/by/4.0/).
Share and Cite
Wang, Y.; Li, W.; Suo, Y.; Zheng, Z.; Xu, M.; Xu, F.; Yin, W.; Wang, S.; Wang, X. Elevated CO2 Modulates Selenium Bioaccumulation in Garlic (Allium sativum L.): Contrasting Effects of Biochar and Phosphate Fertilizer Amendments. Agronomy 2025, 15, 2579. https://doi.org/10.3390/agronomy15112579
Wang Y, Li W, Suo Y, Zheng Z, Xu M, Xu F, Yin W, Wang S, Wang X. Elevated CO2 Modulates Selenium Bioaccumulation in Garlic (Allium sativum L.): Contrasting Effects of Biochar and Phosphate Fertilizer Amendments. Agronomy. 2025; 15(11):2579. https://doi.org/10.3390/agronomy15112579
Chicago/Turabian StyleWang, Yabo, Wei Li, Yuling Suo, Zishu Zheng, Meiling Xu, Fen Xu, Weiqin Yin, Shengsen Wang, and Xiaozhi Wang. 2025. "Elevated CO2 Modulates Selenium Bioaccumulation in Garlic (Allium sativum L.): Contrasting Effects of Biochar and Phosphate Fertilizer Amendments" Agronomy 15, no. 11: 2579. https://doi.org/10.3390/agronomy15112579
APA StyleWang, Y., Li, W., Suo, Y., Zheng, Z., Xu, M., Xu, F., Yin, W., Wang, S., & Wang, X. (2025). Elevated CO2 Modulates Selenium Bioaccumulation in Garlic (Allium sativum L.): Contrasting Effects of Biochar and Phosphate Fertilizer Amendments. Agronomy, 15(11), 2579. https://doi.org/10.3390/agronomy15112579

