Improving Photosynthetic Characteristics and Enhancing Yield and Quality of Nanfeng Tangerine via Deep Irrigation in Red Soil Hilly Regions
Abstract
1. Introduction
2. Materials and Methods
2.1. Overview of the Experimental Area
2.2. Experimental Design
2.3. Index Determination
2.3.1. Soil Water Content
2.3.2. Leaf Relative Water Content
2.3.3. Photosynthetic Characteristics
2.3.4. Yield
2.3.5. Meteorology
2.4. Date Analysis and Processing
3. Results and Analysis
3.1. Water Status of Nanfeng Tangerine Leaves
3.2. Photosynthetic Characteristics of Nanfeng Tangerine Leaves
3.3. Nanfeng Tangerine Yield
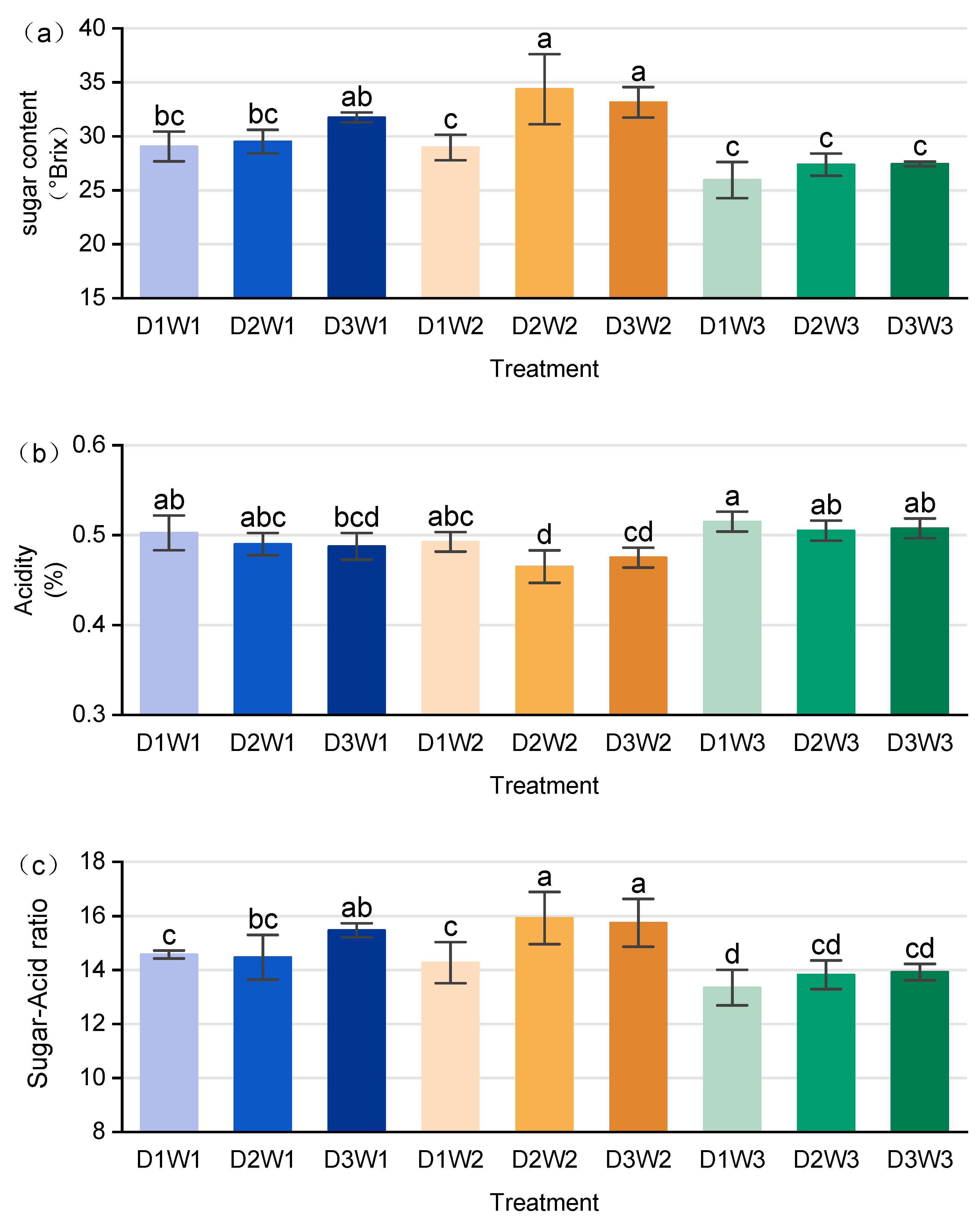
3.4. Fruit Quality
3.5. Comprehensive Analysis of Yield, Water Use Efficiency, and Fruit Quality of Each Treatment
4. Discussion
4.1. Effects of Deep Irrigation on Nanfeng Tangerine Photosynthetic Characteristics
4.2. Effects of Deep Irrigation on Yield
4.3. Effects of Deep Irrigation on Fruit Quality
4.4. Significance of Deep Irrigation for Yield and Quality Improvement
5. Conclusions
Author Contributions
Funding
Data Availability Statement
Conflicts of Interest
References
- Li, Y.; Jin, G.; Jiang, X.; Yi, S.; Tian, X. Non-destructive determination of soluble solids content using a multi-region combination model in hybrid citrus. Infrared Phys. Technol. 2020, 104, 103138. [Google Scholar] [CrossRef]
- Tu, A.; Xie, S.; Zheng, H.; Li, H.; Li, Y.; Mo, M. Long-term effects of living grass mulching on soil and water conservation and fruit yield of citrus orchard in south china. Agric. Water Manag. 2021, 252, 106897. [Google Scholar] [CrossRef]
- Chen, F.; Cui, N.; Jiang, S.; Li, H.; Wang, Y.; Gong, D.; Hu, X.; Zhao, L.; Liu, C.; Qiu, R. Effects of water deficit at different growth stages under drip irrigation on fruit quality of citrus in the humid areas of south china. Agric. Water Manag. 2022, 262, 107407. [Google Scholar] [CrossRef]
- Arbona, V.; Marco, A.J.; Iglesias, D.J.; López-Climent, M.F.; Talon, M.; Gómez-Cadenas, A. Carbohydrate depletion in roots and leaves of salt-stressed potted Citrus clementina L. Plant Growth Regul. 2005, 46, 153–160. [Google Scholar] [CrossRef]
- de Magalhães Erismann, N.; Caruso Machado, E.; Sant’Anna Tucci, M.L. Photosynthetic limitation by co2 diffusion in drought stressed orange leaves on three rootstocks. Photosynth. Res. 2008, 96, 163–172. [Google Scholar] [CrossRef] [PubMed]
- Shirgure, P. Research review on irrigation scheduling and water requirement in citrus. Sci. J. Rev. 2013, 2, 113–121. [Google Scholar]
- Yang, C.; Yu, Z.; Zhang, Y.; Shi, Y. Effect of soil depth with supplemental irrigation on canopy photosynthetically active radiation interception and chlorophyll fluorescence parameters in jimai 22. Acta Agron. Sin. 2017, 43, 253–262. [Google Scholar] [CrossRef]
- Chen, F.; Cui, N.; Jiang, S.; Zhang, W.; Li, H.; Li, X.; Lv, M.; Liu, C.; Qiu, R.; Wang, Z. Effects of deficit drip irrigation at different growth stages on citrus leaf physiology, fruit growth, yield, and water productivity in south china. Agric. Water Manag. 2025, 307, 109206. [Google Scholar] [CrossRef]
- Farooq, M.U.; Jing, L.; Yang, L.; Peihong, L.; Wanying, M.; Kai, Y.; Zhe, H. Intelligent sprinkler irrigation system for citrus orchard in plateau of Yunnan, China. Discov. Water 2024, 4, 115. [Google Scholar] [CrossRef]
- Parsons, L.R.; Boman, B.J. Microsprinkler Irrigation for Cold Protection of Florida Citrus; University of Florida Cooperative Extension Service, Institute of Food and Agricultural Sciences: Gainesville, FL, USA, 2003. [Google Scholar]
- Valentín, F.; Nortes, P.A.; Domínguez, A.; Sánchez, J.; Intrigliolo, D.S.; Alarcón, J.; López-Urrea, R. Comparing evapotranspiration and yield performance of maize under sprinkler, superficial and subsurface drip irrigation in a semi-arid environment. Irrig. Sci. 2020, 38, 105–115. [Google Scholar] [CrossRef]
- Umair, M.; Hussain, T.; Jiang, H.; Ahmad, A.; Yao, J.; Qi, Y.; Zhang, Y.; Min, L.; Shen, Y. Water-saving potential of subsurface drip irrigation for winter wheat. Sustainability 2019, 11, 2978. [Google Scholar] [CrossRef]
- Elnesr, M.N.; Alazba, A.A.; Zein El-Abedein, A.I.; El-Adl, M.M. Evaluating the effect of three water management techniques on tomato crop. PLoS ONE 2015, 10, e0129796. [Google Scholar] [CrossRef] [PubMed]
- Li, J.; Liu, Y. Water and nitrate distributions as affected by layered-textural soil and buried dripline depth under subsurface drip fertigation. Irrig. Sci. 2011, 29, 469–478. [Google Scholar] [CrossRef]
- Moura, E.A.; Mendonça, V.; Figueirêdo, V.B.; Oliveira, L.M.; Melo, M.F.; Irineu, T.H.S.; Andrade, A.D.M.; Chagas, E.A.; Chagas, P.C.; Ferreira, E.S.; et al. Irrigation depth and potassium doses affect fruit yield and quality of figs (Ficus carica L.). Agriculture 2023, 13, 640. [Google Scholar] [CrossRef]
- Wang, L.; Wu, W.; Xiao, J.; Huang, Q.; Hu, Y. Effects of different drip irrigation modes on water use efficiency of pear trees in northern china. Agric. Water Manag. 2021, 245, 106660. [Google Scholar] [CrossRef]
- Ahmed Mohammed, M.E.; Refdan Alhajhoj, M.; Ali-Dinar, H.M.; Munir, M. Impact of a novel water-saving subsurface irrigation system on water productivity, photosynthetic characteristics, yield, and fruit quality of date palm under arid conditions. Agronomy 2020, 10, 1265. [Google Scholar] [CrossRef]
- Allen, R.G.; Pereira, L.S.; Raes, D.; Smith, M. Crop evapotranspiration-guidelines for computing crop water requirements-fao irrigation and drainage paper 56. Fao Rome 1998, 300, D05109. [Google Scholar]
- Food and Agriculture Organization of the United Nations. Soil Testing Methods Manual: Doctors Global Programme-a Farmer-to-Farmer Training Programme; Food & Agriculture Org: Rome, Italy, 2020. [Google Scholar]
- Blankenship, R.E. Molecular Mechanisms of Photosynthesis; John Wiley & Sons: Hoboken, NJ, USA, 2021. [Google Scholar]
- Liu, F.; Andersen, M.N.; Jacobsen, S.-E.; Jensen, C.R. Stomatal control and water use efficiency of soybean (Glycine max L. Merr.) during progressive soil drying. Environ. Exp. Bot. 2005, 54, 33–40. [Google Scholar] [CrossRef]
- Wu, Y.; Wang, W.; Lei, T.; Huang, X.; Zhao, Z.; Ma, Y. Impact of regulated deficit irrigation on growth and fruit yield of mature fragrant pear trees under trickle irrigation. Trans. Chin. Soc. Agric. Eng. 2012, 28, 118–124. [Google Scholar]
- Cui, Y.; Tian, Z.; Zhang, X.; Muhammad, A.; Han, H.; Jiang, D.; Cao, W.; Dai, T. Effect of water deficit during vegetative growth periods on post-anthesis photosynthetic capacity and grain yield in winter wheat (Triticum aestivum L.). Acta Physiol. Plant. 2015, 37, 196. [Google Scholar] [CrossRef]
- Zhang, X.; Fan, Y.; Cui, N.; Li, C.; Hu, X.; Gong, D. The effects of drip-irrigation amount on photosynthesis, yield and water use efficiency of kiwifruit. J. Irrig. Drain. 2019, 38, 1–7. [Google Scholar]
- Roccuzzo, G.; Villalobos, F.J.; Testi, L.; Fereres, E. Effects of water deficits on whole tree water use efficiency of orange. Agric. Water Manag. 2014, 140, 61–68. [Google Scholar] [CrossRef]
- Wang, J.; Niu, W.; Guo, L.; Liang, B.; Li, Y. Suitable buried depth of drip irrigation improving yield and quality of tomato in greenhouse. Trans. Chin. Soc. Agric. Eng. 2017, 33, 90–97. [Google Scholar]
- Li, H.-P.; Chen, Y.-X.; Cui, N.-B.; Gao, W. Effects of water deficiency on fruits growth, yield and water use efficiency of citrus. Water Sav. Irrig. 2019, 12, 6–11. [Google Scholar]
- Cai, Y.; Wu, P.; Zhu, D.; Zhang, L.; Zhao, X.; Gao, X.; Ge, M.; Song, X.; Wu, Y.; Dai, Z. Subsurface irrigation with ceramic emitters: An effective method to improve apple yield and irrigation water use efficiency in the semiarid loess plateau. Agric. Ecosyst. Environ. 2021, 313, 107404. [Google Scholar] [CrossRef]
- Guo, X.; Sun, X.; Ma, J.; Lei, T.; Zheng, L.; Wang, P. Simulation of the water dynamics and root water uptake of winter wheat in irrigation at different soil depths. Water 2018, 10, 1033. [Google Scholar] [CrossRef]
- Long, S.P.; Zhu, X.G.; Naidu, S.L.; Ort, D.R. Can improvement in photosynthesis increase crop yields? Plant Cell Environ. 2006, 29, 315–330. [Google Scholar] [CrossRef]
- Parry, M.A.; Reynolds, M.; Salvucci, M.E.; Raines, C.; Andralojc, P.J.; Zhu, X.-G.; Price, G.D.; Condon, A.G.; Furbank, R.T. Raising yield potential of wheat. Ii. Increasing photosynthetic capacity and efficiency. J. Exp. Bot. 2011, 62, 453–467. [Google Scholar] [CrossRef] [PubMed]
- Li, X.; Shao, J.; Yu, W.; Liu, P.; Zhao, B.; Zhang, J.; Ren, B. Combined effects of high temperature and drought on yield and photosynthetic characteristics of summer maize. Sci. Agric. Sin. 2022, 55, 3516–3529. [Google Scholar]
- Tao, H.; Sun, H.; Wang, Y.; Wang, X.; Guo, Y. Effects of water stress on quality and sugar metabolism in ‘gala’apple fruit. Hortic. Plant J. 2023, 9, 60–72. [Google Scholar] [CrossRef]
- Hu, H.-Y.; Wang, J.; Li, H.-Y.; Qi, H.-J.; Lei, X.-T. Effects of regulated deficit irrigation on stem flow and quality of cabernet sauvignon grape in eastern foot of helan mountain. Jiangsu J. Agric. Sci. 2023, 39, 798–806. [Google Scholar]
- Dong, X.; Tang, H.; Zhang, Q.; Zhang, C.; Wang, Z. Transcriptomic analyses provide new insights into jujube fruit quality affected by water deficit stress. Sci. Hortic. 2022, 291, 110558. [Google Scholar] [CrossRef]
- Lobos, T.E.; Retamales, J.B.; Ortega-Farías, S.; Hanson, E.J.; López-Olivari, R.; Mora, M.L. Regulated deficit irrigation effects on physiological parameters, yield, fruit quality and antioxidants of Vaccinium corymbosum plants cv. Brigitta. Irrig. Sci. 2018, 36, 49–60. [Google Scholar] [CrossRef]
- Li, Y.; Niu, W.; Dyck, M.; Wang, J.; Zou, X. Yields and nutritional of greenhouse tomato in response to different soil aeration volume at two depths of subsurface drip irrigation. Sci. Rep. 2016, 6, 39307. [Google Scholar] [CrossRef] [PubMed]
- Wildman, W.E.; Neja, R.A.; Kasimatis, A.N. Improving grape yield and quality with depth-controlled irrigation. Am. J. Enol. Vitic. 1976, 27, 168–175. [Google Scholar] [CrossRef]
- Sun, B.; Liang, Y.; Xu, R.K.; Peng, X.H.; Wang, X.X.; Zhou, J.; Li, Z.P.; Zhao, X.Q. Long-term research on red soil degradation and remediation promotes development of ecological recycling agriculture in hilly region of southeast China. Bull. Chin. Acad. Sci. (Chin. Version) 2018, 33, 746–757. [Google Scholar]
- Dao-You, H.; Ting-Bai, P.; Gui-Qiu, C.; Ke-Lin, W. Study on causes and occurrence rules of seasonal drought in subtropical red soil hilly region. Chin. J. Eco-Agric. 2004, 12, 124–126. [Google Scholar]








| Soil Depth (cm) | Soil Bulk Density (g/cm3) | Organic Carbon (g/kg) | pH | Field Capacity θf (m3/m3) | Saturated Water Content θs (m3/m3) | Sand (%) | Silt (%) | Clay (%) |
|---|---|---|---|---|---|---|---|---|
| 10 | 1.26 | 32.13 | 5.86 | 0.33 | 0.48 | 68.85 | 13.04 | 18.10 |
| 30 | 1.34 | 20.88 | 5.79 | 0.29 | 0.44 | 65.47 | 13.90 | 20.63 |
| 50 | 1.46 | 14.45 | 5.06 | 0.31 | 0.39 | 66.83 | 13.40 | 19.77 |
| 70 | 1.64 | 11.38 | 4.88 | 0.28 | 0.36 | 68.43 | 13.81 | 17.76 |
| 100 | 1.70 | 5.44 | 4.72 | 0.32 | 0.34 | 60.66 | 12.21 | 27.13 |
| RH | SR | T | P | LST | VSWC | Cr | Gs | Pn | Tr | WUEi | |
|---|---|---|---|---|---|---|---|---|---|---|---|
| RH | 1 | ||||||||||
| SR | −0.998 ** | 1 | |||||||||
| T | −0.802 ** | 0.819 ** | 1 | ||||||||
| P | 0.134 | −0.18 | −0.667 ** | 1 | |||||||
| LST | −0.832 ** | 0.841 ** | 0.992 ** | −0.583 ** | 1 | ||||||
| VSWC | −0.226 | 0.245 | 0.311 | −0.306 | 0.281 | 1 | |||||
| Cr | −0.547 ** | 0.556 ** | 0.496 ** | −0.204 | 0.492 ** | 0.034 | 1 | ||||
| Gs | −0.929 ** | 0.935 ** | 0.704 ** | −0.114 | 0.717 ** | 0.291 | 0.588 ** | 1 | |||
| Pn | −0.918 ** | 0.919 ** | 0.755 ** | −0.162 | 0.777 ** | 0.331 * | 0.445 ** | 0.954 ** | 1 | ||
| Tr | −0.838 ** | 0.850 ** | 0.715 ** | −0.245 | 0.714 ** | 0.380 * | 0.550 ** | 0.932 ** | 0.917 ** | 1 | |
| WUEi | 0.341 * | −0.366 * | −0.587 ** | 0.592 ** | −0.549 ** | −0.046 | −0.860 ** | −0.359 * | −0.279 | −0.405 * | 1 |
| Treatment | Mean Yield | Mean Water Use Efficiency | Mean Sugar–Acid Ratio | TOPSIS Score | Ranking |
|---|---|---|---|---|---|
| D2W2 | 58.13 | 0.34 | 15.93 | 0.95 | 1 |
| D2W3 | 50.28 | 0.28 | 13.83 | 0.66 | 2 |
| D3W3 | 48.90 | 0.27 | 13.93 | 0.61 | 3 |
| D1W2 | 45.77 | 0.36 | 14.28 | 0.53 | 4 |
| D2W1 | 41.98 | 0.29 | 14.48 | 0.36 | 5 |
| D3W2 | 39.52 | 0.35 | 15.75 | 0.30 | 6 |
| D1W3 | 40.02 | 0.27 | 13.35 | 0.28 | 7 |
| D1W1 | 35.69 | 0.30 | 14.58 | 0.13 | 8 |
| D3W1 | 32.68 | 0.30 | 15.48 | 0.07 | 9 |
Disclaimer/Publisher’s Note: The statements, opinions and data contained in all publications are solely those of the individual author(s) and contributor(s) and not of MDPI and/or the editor(s). MDPI and/or the editor(s) disclaim responsibility for any injury to people or property resulting from any ideas, methods, instructions or products referred to in the content. |
© 2025 by the authors. Licensee MDPI, Basel, Switzerland. This article is an open access article distributed under the terms and conditions of the Creative Commons Attribution (CC BY) license (https://creativecommons.org/licenses/by/4.0/).
Share and Cite
Tan, Z.; Liu, S.; Jia, Z.; Zhu, J.; Peng, Y.; Li, M.; Zhang, H.; Hu, Y. Improving Photosynthetic Characteristics and Enhancing Yield and Quality of Nanfeng Tangerine via Deep Irrigation in Red Soil Hilly Regions. Agronomy 2025, 15, 2553. https://doi.org/10.3390/agronomy15112553
Tan Z, Liu S, Jia Z, Zhu J, Peng Y, Li M, Zhang H, Hu Y. Improving Photosynthetic Characteristics and Enhancing Yield and Quality of Nanfeng Tangerine via Deep Irrigation in Red Soil Hilly Regions. Agronomy. 2025; 15(11):2553. https://doi.org/10.3390/agronomy15112553
Chicago/Turabian StyleTan, Zhenjing, Siguo Liu, Zichen Jia, Jinjin Zhu, Yao Peng, Min Li, Huaming Zhang, and You Hu. 2025. "Improving Photosynthetic Characteristics and Enhancing Yield and Quality of Nanfeng Tangerine via Deep Irrigation in Red Soil Hilly Regions" Agronomy 15, no. 11: 2553. https://doi.org/10.3390/agronomy15112553
APA StyleTan, Z., Liu, S., Jia, Z., Zhu, J., Peng, Y., Li, M., Zhang, H., & Hu, Y. (2025). Improving Photosynthetic Characteristics and Enhancing Yield and Quality of Nanfeng Tangerine via Deep Irrigation in Red Soil Hilly Regions. Agronomy, 15(11), 2553. https://doi.org/10.3390/agronomy15112553

