Metagenomics Insights into the Functional Profiles of Soil Carbon, Nitrogen Under Long-Term Chemical and Humic Acid Urea Application
Abstract
1. Introduction
2. Materials and Methods
2.1. Field Site
2.2. Experimental Design and Soil Sampling
2.3. Soil DNA Extraction and Sequencing of Bacterial and Fungal Communities
2.4. Metagenomic Sequencing and Bioinformatic Analysis
2.5. Statistical Analysis
3. Results
3.1. Response of Crop Yield and Soil Chemical Properties to Fertilization Regimes
3.2. Response of Microbial Communities to Fertilization Regimes
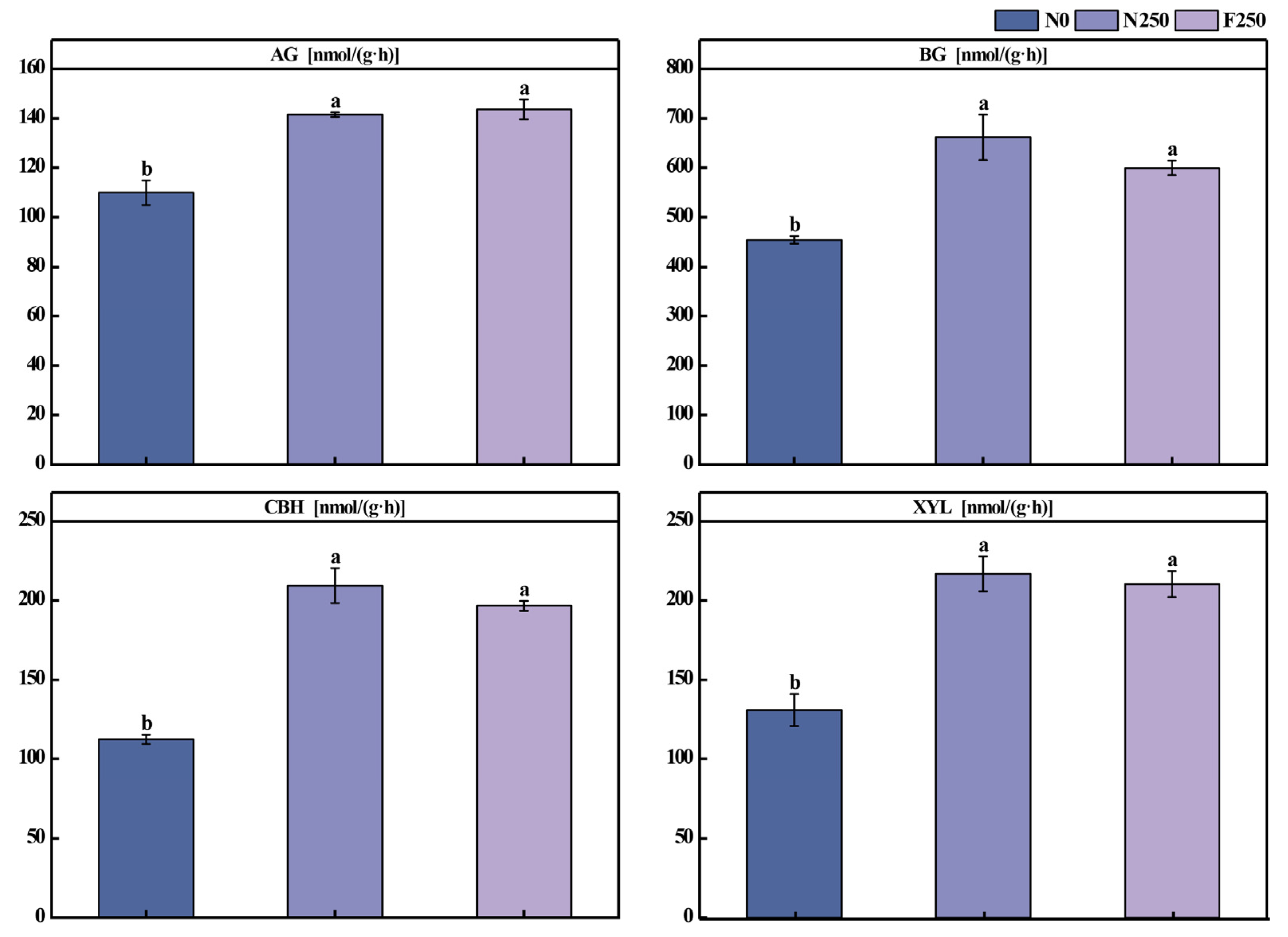
3.3. Influence of Fertilizer Application on Microbial Taxa Driving C Cycling Processes
3.4. Influence of Fertilizer Application on Microbial Taxa Driving N Cycling Processes
3.5. Relationship Between Microbial Functional Genes and Soil Nutritional Variables
4. Discussion
4.1. Humic Acid Significantly Increases Crop Yields and Soil Chemical Properties
4.2. Humic Acid Significantly Alters Microbial Community Composition
4.3. Humic Acid Significantly Alters the C Fixation Process
4.4. The Application of Humic Acid Exerts a Significant Influence on the N Cycle
4.5. Interconnections Among Soil Properties, Microbial Communities and Functional Genes: Tight Coupling of C and N Cycles Driven by TN and SOC
5. Conclusions
Author Contributions
Funding
Data Availability Statement
Conflicts of Interest
Appendix A
| Treatment | Winter Wheat | Summer Maize | ||||
|---|---|---|---|---|---|---|
| N | P2O5 | K2O | N | P2O5 | K2O | |
| N0 | 0 | 75 | 60 | 0 | 75 | 60 | 
| N250 | 250 | 75 | 60 | 250 | 75 | 60 | 
| F250 | 250 | 75 | 60 | 250 | 75 | 60 | 
Appendix A.1. Analysis of Soil Properties





References
- Zhu, Z.L.; Chen, D.L. Nitrogen fertilizer use in China-Contributions to food production, impacts on the environment and best management strategies. Nutr. Cycl. Agroecosystems 2002, 63, 117–127. [Google Scholar] [CrossRef]
- Cheng, L.; Chen, X.; Lu, D.; Wang, H. Long-acting mechanisms of concentrated urea application-High urea concentrations are biological inhibitors. Appl. Soil Ecol. 2023, 182, 104723. [Google Scholar] [CrossRef]
- Liu, H.; Lei, F.; Li, D.; Yang, H.; Luo, W.; Zhu, Z.; Hu, X.; Lin, Q. Evaluation of nitrogen release characteristics and enhanced efficiency of a novel synthetic slow-release nitrogen fertilizer. J. Soil Sci. Plant Nutr. 2023, 23, 5671–5682. [Google Scholar] [CrossRef]
- Shen, Y.; Lin, H.; Gao, W.; Li, M. The effects of humic acid urea and polyaspartic acid urea on reducing nitrogen loss compared with urea. J. Sci. Food Agric. 2020, 100, 4425–4432. [Google Scholar] [CrossRef]
- Dimkpa, C.O.; Fugice, J.; Singh, U.; Lewis, T.D. Development of fertilizers for enhanced nitrogen use efficiency–Trends and perspectives. Sci. Total Environ. 2020, 731, 139113. [Google Scholar] [CrossRef]
- Zhao, B.; Yuan, L. Innovation and industrial development of green efficiency fertilizers in China. J. Plant Nutr. Fertil. 2023, 29, 2143–2149. [Google Scholar]
- Liu, M.; Xu, M.; Xu, J.; Zhang, S.; Li, Y.; Yuan, L.; Zhao, B. Humic acid urea enhanced productivity and reduced active nitrogen loss in summer maize-winter wheat cropping system: A field lysimeter experiment. Field Crops Res. 2024, 319, 109656. [Google Scholar] [CrossRef]
- Gao, S.; Zhang, S.; Yuan, L.; Li, Y.; Wen, Y.; Xu, J.; Hu, S.; Zhao, B. Humic acids incorporated into urea at different proportions increased winter wheat yield and optimized fertilizer-nitrogen fate. Agronomy 2022, 12, 1526. [Google Scholar] [CrossRef]
- El-Mekser, H.K.A.; Mohamed, Z.E.O.M.; Ali, M.A. Influence of humic acid and some micronutrients on yellow corn yield and quality. World Appl. Sci. J. 2014, 32, 1–11. [Google Scholar]
- García, A.C.; Santos, L.A.; Izquierdo, F.G.; Rumjanek, V.M.; Castro, R.N.; dos Santos, F.S.; de Souza, L.G.A.; Berbara, R.L.L. Potentialities of vermicompost humic acids to alleviate water stress in rice plants (Oryza sativa L.). J. Geochem. Explor. 2014, 136, 48–54. [Google Scholar] [CrossRef]
- Ampong, K.; Thilakaranthna, M.S.; Gorim, L.Y. Understanding the role of humic acids on crop performance and soil health. Front. Agron. 2022, 4, 848621. [Google Scholar] [CrossRef]
- Li, Y.; Fang, F.; Wei, J.; Wu, X.; Cui, R.; Li, G.; Zheng, F.; Tan, D. Humic acid fertilizer improved soil properties and soil microbial diversity of continuous cropping peanut: A three-year experiment. Sci. Rep. 2019, 9, 12014. [Google Scholar] [CrossRef]
- Kaye, J.P.; McCulley, R.L.; Burke, I.C. Carbon fluxes, nitrogen cycling, and soil microbial communities in adjacent urban, native and agricultural ecosystems. Glob. Change Biol. 2005, 11, 575–587. [Google Scholar] [CrossRef]
- Krause, H.M.; Mueller, R.C.; Lori, M.; Mayer, J.; Mäder, P.; Hartmann, M. Organic cropping systems alter metabolic potential and carbon, nitrogen and phosphorus cycling capacity of soil microbial communities. Soil Biol. Biochem. 2025, 203, 109737. [Google Scholar] [CrossRef]
- Rui, R.; Hei, J.; Li, Y.; Al Farraj, D.A.; Noor, F.; Wang, S.; He, X. Effects of humic acid fertilizer on the growth and microbial network stability of Panax notoginseng from the forest understorey. Sci. Rep. 2024, 14, 17816. [Google Scholar] [CrossRef] [PubMed]
- Alves, L.D.F.; Westmann, C.A.; Lovate, G.L.; de Siqueira, G.M.V.; Borelli, T.C.; Guazzaroni, M.E. Metagenomic approaches for understanding new concepts in microbial science. Int. J. Genom. 2018, 2018, 2312987. [Google Scholar] [CrossRef] [PubMed]
- Hu, X.; Gu, H.; Liu, J.; Wei, D.; Zhu, P.; Cui, X.A.; Zhou, B.; Chen, X.; Jin, J.; Liu, X.; et al. Metagenomics reveals divergent functional profiles of soil carbon and nitrogen cycling under long-term addition of chemical and organic fertilizers in the black soil region. Geoderma 2022, 418, 115846. [Google Scholar] [CrossRef]
- Li, K.; Lin, H.; Han, M.; Yang, L. Soil metagenomics reveals the effect of nitrogen on soil microbial communities and nitrogen-cycle functional genes in the rhizosphere of Panax ginseng. Front. Plant Sci. 2024, 15, 1411073. [Google Scholar] [CrossRef]
- Du, T.; Hu, Q.; Mao, W.; Yang, Z.; Chen, H.; Sun, L.; Zhai, M. Metagenomics insights into the functional profiles of soil carbon, nitrogen, and phosphorus cycles in a walnut orchard under various regimes of long-term fertilisation. Eur. J. Agron. 2023, 148, 126887. [Google Scholar] [CrossRef]
- Bahram, M.; Hildebrand, F.; Forslund, S.K.; Anderson, J.L.; Soudzilovskaia, N.A.; Bodegom, P.M.; Palme, J.B.; Anslan, S.; Coelho, L.P.; Harend, H.; et al. Structure and function of the global topsoil microbiome. Nature 2018, 560, 233–237. [Google Scholar] [CrossRef]
- Wang, Q.; Fish, J.A.; Gilman, M.; Sun, Y.; Brown, C.T.; Tiedje, J.M.; Cole, J.R. Xander: Employing a novel method for efficient gene-targeted metagenomic assembly. Microbiome 2015, 3, 32. [Google Scholar] [CrossRef]
- Reichert, J.M.; Morales, B.; Lima, E.M.; de Bastos, F.; Morales, C.A.S.; de Araújo, E.F. Soil morphological, physical and chemical properties affecting Eucalyptus spp. productivity on Entisols and Ultisols. Soil Tillage Res. 2023, 226, 105563. [Google Scholar] [CrossRef]
- Sharif, M.; Khattak, R.A.; Sarir, M.S. Effect of different levels of lignitic coal derived humic acid on growth of maize plants. Commun. Soil Sci. Plant Anal. 2002, 33, 3567–3580. [Google Scholar] [CrossRef]
- Kong, B.; Wu, Q.; Li, Y.; Zhu, T.; Ming, Y.; Li, C.; Li, C.; Wang, F.; Jiao, S.; Shi, L.; et al. The application of humic acid urea improves nitrogen use efficiency and crop yield by reducing the nitrogen loss compared with urea. Agriculture 2022, 12, 1996. [Google Scholar] [CrossRef]
- Dong, L.; Yuan, Q.; Yuan, H. Changes of chemical properties of humic acids from crude and fungal transformed lignite. Fuel 2006, 85, 2402–2407. [Google Scholar] [CrossRef]
- Hartmann, M.; Six, J. Soil structure and microbiome functions in agroecosystems. Nat. Rev. Earth Environ. 2023, 4, 4–18. [Google Scholar] [CrossRef]
- Lin, S.; Liu, Z.; Wang, Y.; Li, J.; Wang, G.; Ye, J.; Wang, H.; He, H. Soil metagenomic analysis on changes of functional genes and microorganisms involved in nitrogen-cycle processes of acidified tea soils. Front. Plant Sci. 2022, 13, 998178. [Google Scholar] [CrossRef]
- Pan, W.; Tang, S.; Zhou, J.; Wanek, W.; Gregory, A.S.; Ge, T.; Marsden, K.A.; Chadwick, D.R.; Liang, Y.; Wu, L.; et al. Long-term manure and mineral fertilisation drive distinct pathways of soil organic nitrogen decomposition: Insights from a 180-year-old study. Soil Biol. Biochem. 2025, 207, 109840. [Google Scholar] [CrossRef]
- Yao, F.; Yang, S.; Wang, Z.; Wang, X.; Ye, J.; Wang, X.; DeBruyn, J.M.; Feng, X.; Jiang, Y.; Li, H. Microbial taxa distribution is associated with ecological trophic cascades along an elevation gradient. Front. Microbiol. 2017, 8, 2071. [Google Scholar] [CrossRef]
- Chen, M.; Yang, Z.; Yang, N.; Wang, H.; Li, Y.; Wang, K.; Wang, J.; Fan, Q.; Zhang, J.; Yuan, J.; et al. Wheat Yield, N Use Efficiency, Soil Properties, and Soil Bacterial Community as Affected by Long-Term Straw Incorporation and Manure Under Wheat–Summer Maize Cropping System in Southern Shanxi Province, China. Plants 2025, 14, 1795. [Google Scholar] [CrossRef]
- Kpalari, D.F.; Mounkaila Hamani, A.K.; Hui, C.; Sogbedji, J.M.; Liu, J.; Le, Y.; Kama, R.; Gao, Y. Soil bacterial community and greenhouse gas emissions as responded to the coupled application of nitrogen fertilizer and microbial decomposing inoculants in wheat (Triticum aestivum L.) seedling stage under different water regimes. Agronomy 2023, 13, 2950. [Google Scholar] [CrossRef]
- Bastian, F.; Bouziri, L.; Nicolardot, B.; Ranjard, L. Impact of wheat straw decomposition on successional patterns of soil microbial community structure. Soil Biol. Biochem. 2009, 41, 262–275. [Google Scholar] [CrossRef]
- Hu, J.; Wu, J.; Qu, X.; Li, J. Effects of organic wastes on structural characterizations of humic acid in semiarid soil under plastic mulched drip irrigation. Chemosphere 2018, 200, 313–321. [Google Scholar] [CrossRef] [PubMed]
- Kruczyńska, A.; Kuźniar, A.; Podlewski, J.; Słomczewski, A.; Grządziel, J.; Marzec-Grządziel, A.; Gałązka, A.; Wolińska, A. Bacteroidota structure in the face of varying agricultural practices as an important indicator of soil quality—A culture independent approach. Agric. Ecosyst. Environ. 2023, 342, 108252. [Google Scholar] [CrossRef]
- Wen, X.; Zhou, Y.; Liang, X.; Li, J.; Huang, Y.; Li, Q. A novel carbon-nitrogen coupled metabolic pathway promotes the recyclability of nitrogen in composting habitats. Bioresour. Technol. 2023, 381, 129134. [Google Scholar] [CrossRef] [PubMed]
- Zhang, W.; Cao, M.; Yin, Q.; Zhang, J.; Wang, C.; Han, L.; Cai, Y.; Shi, X.; Ma, L.; Abdellah, Y.A.Y.; et al. Artificial Endosymbiosis of Pedobacter sp. DDGJ Boosts the Growth Potential, Stress Resistance and Productivity of Morchella Mushrooms. Microb. Biotechnol. 2025, 18, e70197. [Google Scholar] [CrossRef]
- Lal, R. Soil health and carbon management. Food Energy Secur. 2016, 5, 212–222. [Google Scholar] [CrossRef]
- Fan, F.; Li, Z.; Wakelin, S.A.; Yu, W.; Liang, Y. Mineral fertilizer alters cellulolytic community structure and suppresses soil cellobiohydrolase activity in a long-term fertilization experiment. Soil Biol. Biochem. 2012, 55, 70–77. [Google Scholar] [CrossRef]
- Su, J.Q.; Ding, L.J.; Xue, K.; Yao, H.Y.; Quensen, J.; Bai, S.J.; Wei, W.X.; Wu, S.J.; Jizhong Zhou Tiedje, J.M.; Zhu, Y.G. Long-term balanced fertilization increases the soil microbial functional diversity in a phosphorus-limited paddy soil. Mol. Ecol. 2015, 24, 136–150. [Google Scholar] [CrossRef]
- Yu, L.; Luo, S.; Xu, X.; Gou, Y.; Wang, J. The soil carbon cycle determined by GeoChip 5.0 in sugarcane and soybean intercropping systems with reduced nitrogen input in South China. Appl. Soil Ecol. 2020, 155, 103653. [Google Scholar] [CrossRef]
- Liu, S.; Li, X.; Fu, Y.; Li, P.; Qiao, J.; Li, H.; Wu, L.; Wang, B.; Lu, S. Exploring the effects of different fertilizer application durations on the functional microbial profiles of soil carbon and nitrogen cycling by using metagenomics in Paulownia plantations in a subtropical zone. Eur. J. For. Res. 2024, 143, 955–969. [Google Scholar] [CrossRef]
- Trivedi, P.; Delgado-Baquerizo, M.; Jeffries, T.C.; Trivedi, C.; Anderson, I.C.; Lai, K.; McNee, M.; Flower, K.; Singh, B.P.; Minkey, D.; et al. Soil aggregation and associated microbial communities modify the impact of agricultural management on carbon content. Environ. Microbiol. 2017, 19, 3070–3086. [Google Scholar] [CrossRef] [PubMed]
- Jian, S.; Li, J.; Chen, J.I.; Wang, G.; Mayes, M.A.; Dzantor, K.E.; Hui, D.; Luo, Y. Soil extracellular enzyme activities, soil carbon and nitrogen storage under nitrogen fertilization: A meta-analysis. Soil Biol. Biochem. 2016, 101, 32–43. [Google Scholar] [CrossRef]
- Zheng, L.; Chen, H.; Wang, Y.; Mao, Q.; Zheng, M.; Su, Y.; Xiao, K.; Wang, K.; Li, D. Responses of soil microbial resource limitation to multiple fertilization strategies. Soil Tillage Res. 2020, 196, 104474. [Google Scholar] [CrossRef]
- Shrestha, M.; Shrestha, P.M.; Frenzel, P.; Conrad, R. Effect of nitrogen fertilization on methane oxidation, abundance, community structure, and gene expression of methanotrophs in the rice rhizosphere. ISME J. 2010, 4, 1545–1556. [Google Scholar] [CrossRef]
- Zheng, Y.; Zhang, L.M.; He, J.Z. Immediate effects of nitrogen, phosphorus, and potassium amendments on the methanotrophic activity and abundance in a Chinese paddy soil under short-term incubation experiment. J. Soils Sediments 2013, 13, 189–196. [Google Scholar] [CrossRef]
- Kelly, C.N.; Schwaner, G.W.; Cumming, J.R.; Driscoll, T.P. Metagenomic reconstruction of nitrogen and carbon cycling pathways in forest soil: Influence of different hardwood tree species. Soil Biol. Biochem. 2021, 156, 108226. [Google Scholar] [CrossRef]
- Nie, J.; Zhou, Y.; Yang, W.; Li, S.; Li, H.; Wu, J.; Li, C.; Yan, X.; Zhu, R.; Zhu, B.; et al. Effect of fertilization regimes and seasonal change on nosZ-denitrifying bacterial community in a double-rice paddy field. J. Soil Sci. Plant Nutr. 2022, 22, 324–333. [Google Scholar] [CrossRef]
- Pandey, C.B.; Kumar, U.; Kaviraj, M.; Minick, K.J.; Mishra, A.K.; Singh, J.S. DNRA: A short-circuit in biological N-cycling to conserve nitrogen in terrestrial ecosystems. Sci. Total Environ. 2020, 738, 139710. [Google Scholar] [CrossRef]
- Cheng, M.; Xiao, C.; Xie, Y. Shedding light on the role of chemical bond in catalysis of nitrogen fixation. Adv. Mater. 2021, 33, 2007891. [Google Scholar] [CrossRef]
- Shi, X.; Tan, W.; Tang, S.; Ling, Q.; Tang, C.; Qin, P.; Luo, S.; Zhao, Y.; Yu, F.; Li, Y. Metagenomics reveals taxon-specific responses of soil nitrogen cycling under different fertilization regimes in heavy metal contaminated soil. J. Environ. Manag. 2023, 345, 118766. [Google Scholar] [CrossRef] [PubMed]
- Rütting, T.; Boeckx, P.; Müller, C.; Klemedtsson, L. Assessment of the importance of dissimilatory nitrate reduction to ammonium for the terrestrial nitrogen cycle. Biogeosciences 2011, 8, 1779–1791. [Google Scholar] [CrossRef]
- Hu, X.; Liu, J.; Wei, D.; Zhou, B.; Chen, X.; Jin, J.; Liu, X.; Wang, G. Long-term application of nitrogen, not phosphate or potassium, significantly alters the diazotrophic community compositions and structures in a Mollisol in northeast China. Res. Microbiol. 2019, 170, 147–155. [Google Scholar] [CrossRef] [PubMed]
- Sriswasdi, S.; Yang, C.C.; Iwasaki, W. Generalist species drive microbial dispersion and evolution. Nat. Commun. 2017, 8, 1162. [Google Scholar] [CrossRef]
- Yang, X.; Ni, K.; Shi, Y.; Yi, X.; Ji, L.; Wei, S.; Jiang, Y.; Zhang, Y.; Cai, Y.; Ma, Q.; et al. Metagenomics reveals N-induced changes in carbon-degrading genes and microbial communities of tea (Camellia sinensis L.) plantation soil under long-term fertilization. Sci. Total Environ. 2023, 856, 159231. [Google Scholar] [CrossRef]
- Gonzalez-Pimentel, J.L.; Martin-Pozas, T.; Jurado, V.; Miller, A.Z.; Caldeira, A.T.; Fernandez-Lorenzo, O.; Sanchez-Moral, S.; Saiz-Jimenez, C. Prokaryotic communities from a lava tube cave in La Palma Island (Spain) are involved in the biogeochemical cycle of major elements. PeerJ 2021, 9, e11386. [Google Scholar] [CrossRef]
- Dai, Z.; Liu, G.; Chen, H.; Chen, C.; Wang, J.; Ai, S.; Wei, D.; Li, D.; Ma, B.; Tang, C.; et al. Long-term nutrient inputs shift soil microbial functional profiles of phosphorus cycling in diverse agroecosystems. ISME J. 2020, 14, 757–770. [Google Scholar] [CrossRef]
- Giovannoni, S.J.; Cameron Thrash, J.; Temperton, B. Implications of streamlining theory for microbial ecology. ISME J. 2014, 8, 1553–1565. [Google Scholar] [CrossRef]
- Yang, G.; Peng, Y.; Abbott, B.W.; Biasi, C.; Wei, B.; Zhang, D.; Jun Wang Yu, J.; Li, F.; Wang, G.; Kou, D.; et al. Phosphorus rather than nitrogen regulates ecosystem carbon dynamics after permafrost thaw. Glob. Change Biol. 2021, 27, 5818–5830. [Google Scholar] [CrossRef]
- Bao, S.D. Soil Agrochemical Analysis; China Agric Press: Beijing, China, 2000; pp. 25–106. [Google Scholar]
- Sinsabaugh, R.L.; Saiya-Cork, K.; Long, T.; Osgood, M.P.; Neher, D.A.; Zak, D.R.; Norby, R.J. Soil microbial activity in a Liquidambar plantation unresponsive to CO2-driven increases in primary production. Appl. Soil Ecol. 2003, 24, 263–271. [Google Scholar] [CrossRef]








| Disclaimer/Publisher’s Note: The statements, opinions and data contained in all publications are solely those of the individual author(s) and contributor(s) and not of MDPI and/or the editor(s). MDPI and/or the editor(s) disclaim responsibility for any injury to people or property resulting from any ideas, methods, instructions or products referred to in the content. | 
© 2025 by the authors. Licensee MDPI, Basel, Switzerland. This article is an open access article distributed under the terms and conditions of the Creative Commons Attribution (CC BY) license (https://creativecommons.org/licenses/by/4.0/).
Share and Cite
Guo, T.; Wang, M.; Yue, K.; Luo, P.; Song, X.; Huang, S.; Xu, X.; Zhang, Q.; Chen, Y.; Zhang, Z.; et al. Metagenomics Insights into the Functional Profiles of Soil Carbon, Nitrogen Under Long-Term Chemical and Humic Acid Urea Application. Agronomy 2025, 15, 2535. https://doi.org/10.3390/agronomy15112535
Guo T, Wang M, Yue K, Luo P, Song X, Huang S, Xu X, Zhang Q, Chen Y, Zhang Z, et al. Metagenomics Insights into the Functional Profiles of Soil Carbon, Nitrogen Under Long-Term Chemical and Humic Acid Urea Application. Agronomy. 2025; 15(11):2535. https://doi.org/10.3390/agronomy15112535
Chicago/Turabian StyleGuo, Tengfei, Mengyuan Wang, Ke Yue, Peng Luo, Xiao Song, Shaomin Huang, Xinpeng Xu, Qian Zhang, Yulu Chen, Zekun Zhang, and et al. 2025. "Metagenomics Insights into the Functional Profiles of Soil Carbon, Nitrogen Under Long-Term Chemical and Humic Acid Urea Application" Agronomy 15, no. 11: 2535. https://doi.org/10.3390/agronomy15112535
APA StyleGuo, T., Wang, M., Yue, K., Luo, P., Song, X., Huang, S., Xu, X., Zhang, Q., Chen, Y., Zhang, Z., Su, S., Ding, S., Zhang, S., & Zhou, K. (2025). Metagenomics Insights into the Functional Profiles of Soil Carbon, Nitrogen Under Long-Term Chemical and Humic Acid Urea Application. Agronomy, 15(11), 2535. https://doi.org/10.3390/agronomy15112535
 
        


 
       