Joint Effects of Climate and Phenology on Agricultural and Ecological Resource Productivity
Abstract
1. Introduction
2. Materials and Methods
2.1. Study Area
2.2. Datasets
2.3. Methods
2.3.1. Data Preparation
2.3.2. Model Construction: Extreme Gradient Boosting Model Framework
2.3.3. Explainable Predictions: SHAP Method
2.3.4. Statistical Validation
3. Results
3.1. Spatio-Temporal Changes in the GPP and Vegetation Phenology
3.2. Correlation Analysis of GPP with Vegetation Phenology and Environmental Factors
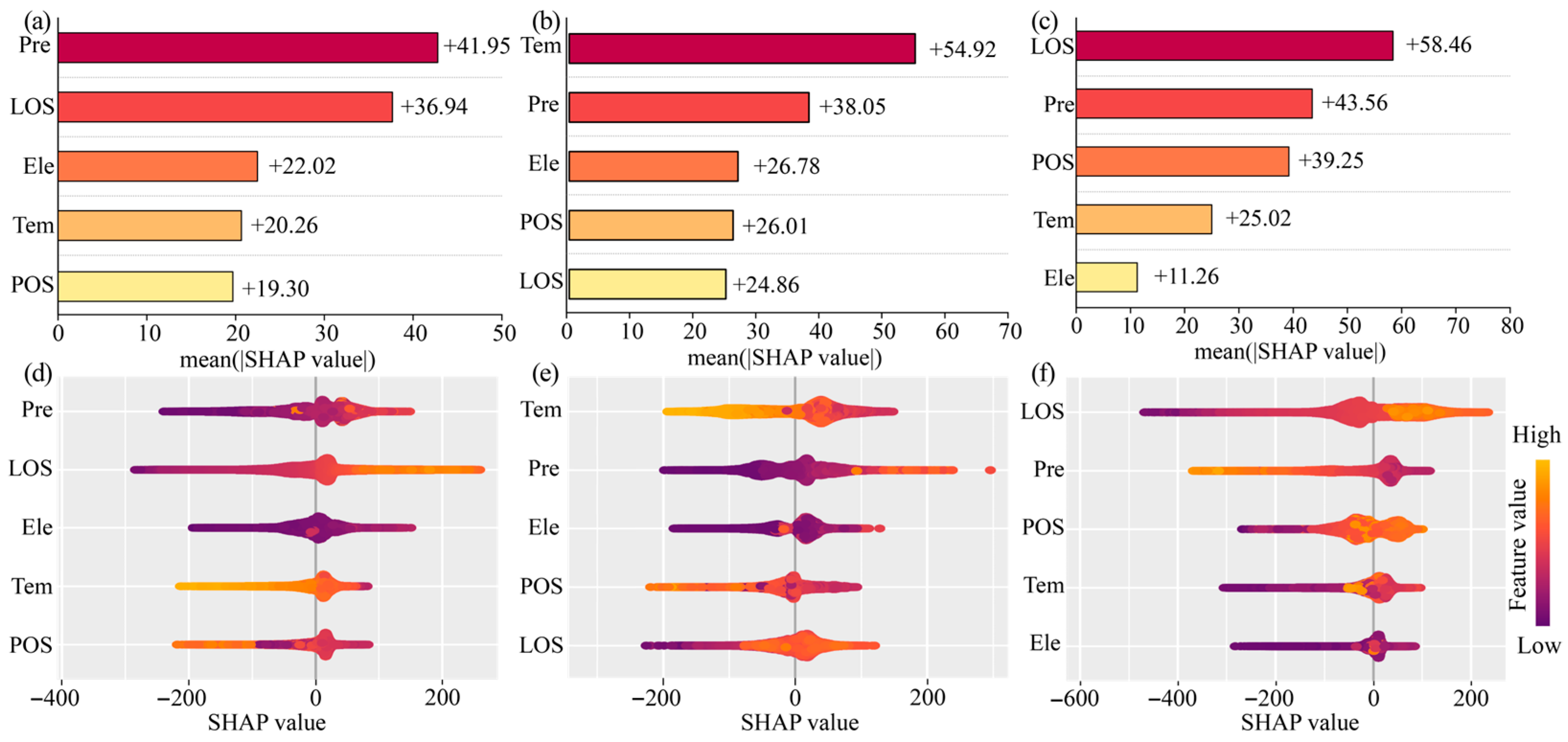
3.3. SHAP Analysis of GPP Driving Factors, Main Effects, and Interaction Effects
4. Discussion
4.1. Spatiotemporal Patterns of GPP and Vegetation Phenology (LOS and POS)
4.2. Influence of Phenology on the Relationship Between Climate and GPP
4.3. The Importance of Ele to GPP Distribution
4.4. Uncertainty and Future Research
5. Conclusions
- (1)
- The integration of the XGBoost-SHAP framework effectively uncovered nonlinear relationships and quantified the individual contributions of driving factors on GPP, thereby overcoming the limitations of traditional linear analyses. This approach enabled a mechanistic understanding of ecosystem-specific drivers: precipitation was the dominant factor in croplands, temperature in grasslands, and length of growing season (LOS) in forests.
- (2)
- The study demonstrated that vegetation phenology plays a critical mediating role in linking climate change to ecosystem productivity. An extended LOS and an earlier peak of the growing season (POS) were found to significantly enhance carbon sequestration capacity. Furthermore, the interactions between phenological indicators and environmental factors revealed distinct threshold effects and varied across ecosystem types, indicating strong ecosystem dependency.
- (3)
- The research establishes a transferable analytical framework for understanding complex ecosystem dynamics, delivering actionable insights for regional carbon budget assessments and sustainable ecosystem management. The methodology and findings hold significant relevance for designing targeted climate adaptation strategies in agricultural and forest ecosystems within temperate regions.
Supplementary Materials
Author Contributions
Funding
Data Availability Statement
Conflicts of Interest
References
- Liu, F.; Wang, X.C.; Zhang, Y.C.; Shen, Y.J. Novel metrics for assessing vegetation phenology from hydrological processes: Comparison with photosynthetic phenology. Agric. For. Meteorol. 2024, 358, 110245. [Google Scholar] [CrossRef]
- Dronova, I.; Taddeo, S. Remote sensing of phenology: Towards the comprehensive indicators of plant community dynamics from species to regional scales. J. Ecol. 2022, 110, 1460–1484. [Google Scholar] [CrossRef]
- Díaz, J.G.; Gutierrez-Bustillo, A.M.; Rojo, J. Influence of urbanisation on the phenology of evergreen coniferous and deciduous broadleaf trees in Madrid (Spain). Landsc. Urban Plan. 2023, 235, 104760. [Google Scholar] [CrossRef]
- Buermann, W.; Forkel, M.; O’Sullivan, M.; Sitch, S.; Friedlingstein, P.; Haverd, V.; Jain, A.K.; Kato, E.; Kautz, M.; Lienert, S.; et al. Widespread seasonal compensation effects of spring warming on northern plant productivity. Nature 2018, 562, 110–114. [Google Scholar] [CrossRef]
- Park, T.; Chen, C.; Macias-Fauria, M.; Tommervik, H.; Choi, S.; Winkler, A.; Bhatt, U.S.; Walker, D.A.; Piao, S.L.; Brovkin, V.; et al. Changes in timing of seasonal peak photosynthetic activity in northern ecosystems. Glob. Change Biol. 2019, 25, 2382–2395. [Google Scholar] [CrossRef]
- Shen, M.G.; Wang, S.P.; Jiang, N.; Sun, J.P.; Cao, R.Y.; Ling, X.F.; Fang, B.; Zhang, L.; Zhang, L.H.; Xu, X.Y.; et al. Plant phenology changes and drivers on the Qinghai-Tibetan Plateau. Nat. Rev. Earth Env. 2022, 3, 717. [Google Scholar] [CrossRef]
- You, W.B.; Xian, Z.Y.; Zhou, G.Y.; Agathokleous, E.; Yu, Z. Sensitivity of forest phenology in China varies with proximity to forest edges. For. Ecosyst. 2023, 10, 100144. [Google Scholar] [CrossRef]
- Shen, X.J.; Shen, M.G.; Wu, C.Y.; Peñuelas, J.; Ciais, P.; Zhang, J.Q.; Freeman, C.; Palmer, P.I.; Liu, B.H.; Henderson, M.; et al. Critical role of water conditions in the responses of autumn phenology of marsh wetlands to climate change on the Tibetan Plateau. Glob. Change Biol. 2024, 30, e17097. [Google Scholar] [CrossRef] [PubMed]
- Ge, Q.S.; Dai, J.H.; Cui, H.J.; Wang, H.J. Spatiotemporal variability in start and end of growing season in China related to climate variability. Remote Sens. 2016, 8, 433. [Google Scholar] [CrossRef]
- McNairn, H.; Jiao, X.F.; Pacheco, A.; Sinha, A.; Tan, W.K.; Li, Y.F. Estimating canola phenology using synthetic aperture radar. Remote Sens. Environ. 2018, 219, 196–205. [Google Scholar] [CrossRef]
- Wang, X.F.; Xiao, J.F.; Li, X.; Cheng, G.D.; Ma, M.G.; Zhu, G.F.; Arain, M.A.; Black, T.A.; Jassal, R.S. No trends in spring and autumn phenology during the global warming hiatus. Nat. Commun. 2019, 10, 2389. [Google Scholar] [CrossRef] [PubMed]
- Silveira, E.M.O.; Pidgeon, A.M.; Persche, M.; Radeloff, V.C. Remotely-sensed phenoclusters of Wisconsin’s forests, shrublands, and grasslands for biodiversity applications. For. Ecol. Manag. 2024, 561, 121878. [Google Scholar] [CrossRef]
- Zeng, L.L.; Wardlow, B.D.; Xiang, D.X.; Hu, S.; Li, D.R. A review of vegetation phenological metrics extraction using time-series, multispectral satellite data. Remote Sens. Environ. 2020, 237, 111511. [Google Scholar] [CrossRef]
- Mo, Y.H.; Chen, S.Z.; Wu, Z.F.; Tang, J.; Fu, Y.S. The advancement in spring vegetation phenology in the northern hemisphere will reverse after 2060 under future moderate warming scenarios. Earths Future 2024, 12, e2023EF003788. [Google Scholar] [CrossRef]
- Cui, S.; Du, X.L.; Jia, Z.Y.; Fu, Q.; Liu, D. Spatiotemporal dynamics of carbon-related ecosystem services: Unraveling socio-ecological drivers and leveraging bundles for sustainable spatial zoning. J. Environ. Manag. 2025, 394, 127359. [Google Scholar] [CrossRef]
- Shi, D.D.; Jiang, Y.; Li, W.Q.; Wen, Y.; Wu, F.; Zhao, S.D. Spatial-temporal heterogeneity of spring phenology in boreal forests as estimated by satellite solar-induced chlorophyll fluorescence and vegetation index. Agric. For. Meteorol. 2024, 346, 109888. [Google Scholar] [CrossRef]
- Kloos, S.; Klosterhalfen, A.; Knohl, A.; Menzel, A. Decoding autumn phenology: Unraveling the link between observation methods and detected environmental cues. Glob. Change Biol. 2024, 30, e17231. [Google Scholar] [CrossRef] [PubMed]
- Liu, H.Y.; Wang, Z.; Wang, Z.Y.; Zeng, Y.Z.; Xue, P.; Zhang, M.Y. Stability of the ecosystem gross primary productivity increasing in Chinese forestry ecological engineering area. Agric. Ecosyst. Environ. 2023, 356, 108636. [Google Scholar] [CrossRef]
- Yu, G.R.; Chen, Z.; Wang, Y.P. Carbon, water and energy fluxes of terrestrial ecosystems in China. Agric. For. Meteorol. 2024, 346, 109890. [Google Scholar] [CrossRef]
- Zeng, Z.Q.; Wu, W.X.; Li, Y.M.; Huang, C.; Zhang, X.Q.; Peñuelas, J.; Zhang, Y.; Gentine, P.; Li, Z.L.; Wang, X.Y.; et al. Increasing meteorological drought under climate change reduces terrestrial ecosystem productivity and carbon storage. One Earth 2023, 6, 1326–1339. [Google Scholar] [CrossRef]
- Zhu, X.J.; Yu, G.R.; Chen, Z.; Zhang, W.K.; Han, L.; Wang, Q.F.; Qi, H.; Yang, M.; Liu, Z.G.; Dou, X.J.; et al. Ecosystem responses dominate the trends of annual gross primary productivity over terrestrial ecosystems of China during 2000–2020. Agric. For. Meteorol. 2023, 343, 109758. [Google Scholar] [CrossRef]
- Li, P.; Sun, M.; Liu, Y.X.; Ren, P.X.; Peng, C.H.; Zhou, X.L.; Tang, J.Y. Response of vegetation photosynthetic phenology to urbanization in Dongting Lake Basin, China. Remote Sens. 2021, 13, 3722. [Google Scholar] [CrossRef]
- Huang, Z.; Zhou, L.; Chi, Y.G. Spring phenology rather than climate dominates the trends in peak of growing season in the Northern Hemisphere. Glob. Change Biol. 2023, 29, 4543–4555. [Google Scholar] [CrossRef]
- Higgins, S.I.; Conradi, T.; Muhoko, E. Shifts in vegetation activity of terrestrial ecosystems attributable to climate trends. Nat. Geosci. 2023, 16, 147–153. [Google Scholar] [CrossRef]
- Gampe, D.; Zscheischler, J.; Reichstein, M.; O’Sullivan, M.; Smith, W.K.; Sitch, S.; Buermann, W. Increasing impact of warm droughts on northern ecosystem productivity over recent decades. Nat. Clim. Change 2023, 13, 1272. [Google Scholar] [CrossRef]
- Currier, C.M.; Sala, O.E. Precipitation versus temperature as phenology controls in drylands. Ecology 2022, 103, e3793. [Google Scholar] [CrossRef]
- Cui, S.; Du, X.L.; Jia, Z.Y.; Fu, Q.; Liu, D. Ecosystem service value estimation and ecological security pattern in Heilongjiang Province. Environ. Sci. 2024, 45, 6489–6500. (In Chinese) [Google Scholar] [CrossRef]
- Dong, S.K.; Li, S.; Xu, Y.D.; Shen, H.; Song, H.J.; Wu, Z.F.; Wu, S.N.; Zhou, B.R.; Li, F. Different responses of alpine plants to natural climate change reduced coexistence through phenological niche overlap. Sci. Total Environ. 2023, 892, 164522. [Google Scholar] [CrossRef]
- Wang, X.W.; Lei, H.M.; Li, J.D.; Qu, Y.P.; Kong, D.D.; Huo, Z.L. Climate and management impacts on the spatiotemporal dynamics of water-carbon fluxes in the North China Plain. Agric. Ecosyst. Environ. 2023, 343, 108270. [Google Scholar] [CrossRef]
- Xie, X.Y.; Zhao, W.; Yin, G.F. TAVIs: Topographically adjusted vegetation index for a reliable proxy of gross primary productivity in mountain ecosystems. IEEE Trans. Geosci. Remote Sens. 2023, 62, 4400412. [Google Scholar] [CrossRef]
- Ren, Y.J.; Qiu, J.X.; Zeng, Z.Z.; Liu, X.P.; Sitch, S.; Pilegaard, K.; Yang, T.Y.; Wang, S.; Yuan, W.P.; Jain, A.K. Earlier spring greening in Northern Hemisphere terrestrial biomes enhanced net ecosystem productivity in summer. Commun. Earth Environ. 2024, 5, 122. [Google Scholar] [CrossRef]
- Leng, Y.; Li, W.; Ciais, P.; Sun, M.X.; Zhu, L.; Yue, C.; Chang, J.F.; Yao, Y.T.; Zhang, Y.; Zhou, J.X.; et al. Forest aging limits future carbon sink in China. One Earth 2024, 7, 822–834. [Google Scholar] [CrossRef]
- Gong, E.J.; Zhang, J.; Wang, Z.H.; Hu, Q.F.; Bai, H.Y.; Wang, J. Global comparison of temperature and water stress representations in light use efficiency models for gross primary productivity estimation. ISPRS J. Photogramm. 2025, 230, 275–288. [Google Scholar] [CrossRef]
- Shi, J.Y.; Liu, M.X.; Li, Y.; Guan, C.X. Response of total primary productivity of vegetation to meteorological drought in arid and semi-arid regions of China. J. Arid Environ. 2025, 228, 105346. [Google Scholar] [CrossRef]
- Chen, X.; Zhang, Y.P. Impacts of climate, phenology, elevation and their interactions on the net primary productivity of vegetation in Yunnan, China under global warming. Ecol. Indic. 2023, 154, 110533. [Google Scholar] [CrossRef]
- Vitasse, Y.; Signarbieux, C.; Fu, Y.S.H. Global warming leads to more uniform spring phenology across elevations. Proc. Natl. Acad. Sci. USA 2018, 115, 1004–1008. [Google Scholar] [CrossRef] [PubMed]
- Rodriguez-Perez, R.; Bajorath, J. Interpretation of machine learning models using shapley values: Application to compound potency and multitarget activity predictions. J. Comput. Aid. Mol. Des. 2020, 34, 1013–1026. [Google Scholar] [CrossRef]
- Lundberg, S.M.; Erion, G.; Chen, H.; DeGrave, A.; Prutkin, J.M.; Nair, B.; Katz, R.; Himmelfarb, J.; Bansal, N.; Lee, S.-I. From local explanations to global understanding with explainable AI for trees. Nat. Mach. Intell. 2020, 2, 56–67. [Google Scholar] [CrossRef]
- Li, W.; Huang, G.; Tang, N.; Lu, P.; Jiang, L.; Lv, J.; Qin, Y.; Lin, Y.; Xu, F.; Lei, D. Effects of heavy metal exposure on hypertension: A machine learning modeling approach. Chemosphere 2023, 337, 139435. [Google Scholar] [CrossRef]
- Parsa, A.B.; Movahedi, A.; Taghipour, H.; Derrible, S.; Mohammadian, A.K. Toward safer highways, application of XGBoost and SHAP for real-time accident detection and feature analysis. Accid. Anal Prev. 2020, 136, 105405. [Google Scholar] [CrossRef]
- Descals, A.; Verger, A.; Yin, G.F.; Filella, I.; Peñuelas, J. Local interpretation of machine learning models in remote sensing with SHAP: The case of global climate constraints on photosynthesis phenology. Int. J. Remote Sens. 2023, 44, 3160–3173. [Google Scholar] [CrossRef]
- Xie, J.L.; Yin, G.F.; Xie, Q.Y.; Wu, C.Y.; Yuan, W.P.; Zeng, Y.L.; Verger, A.; Descals, A.; Filella, I.; Peñuelas, J. Shifts in climatic limitations on global vegetation productivity unveiled by Shapley Additive Explanation: Reduced temperature but increased water limitations. J. Geophys. Res. Biogeosci. 2024, 129, e2024JG008354. [Google Scholar] [CrossRef]
- Jia, Z.Y.; Guo, L.; Fu, Q.; Liu, D.; Du, X.L.; Cui, S. Integrating ecological networks and multi-scenario optimization: A novel framework for constructing ecological security patterns. Agric. Ecol. Environ. 2025, 1, e007. [Google Scholar]
- Cui, S.; Jia, Z.Y.; Guo, L.; Fu, Q.; Liu, D. Impacts of extreme climate events at different altitudinal gradients on vegetation NPP in Songhua River basin. Environ. Sci. 2024, 45, 275–286. (In Chinese) [Google Scholar] [CrossRef]
- Liu, Z.J.; Jiao, L.M.; Lian, X.H. Changes in compound extreme events and their impacts on cropland productivity in China, 1985–2019. Earth’s Future 2025, 13, e2024EF005038. [Google Scholar] [CrossRef]
- Li, C.; Zou, Y.Y.; He, J.F.; Zhang, W.; Gao, L.L.; Zhuang, D.F. Response of vegetation phenology to the interaction of temperature and precipitation changes in Qilian Mountains. Remote Sens. 2022, 14, 1248. [Google Scholar] [CrossRef]
- Chmura, H.E.; Kharouba, H.M.; Ashander, J.; Ehlman, S.M.; Rivest, E.B.; Yang, L.H. The mechanisms of phenology: The patterns and processes of phenological shifts. Ecol. Monogr. 2019, 89, e01337. [Google Scholar] [CrossRef]
- Gao, M.D.; Piao, S.L.; Chen, A.P.; Yang, H.; Liu, Q.; Fu, Y.S.H.; Janssens, I.A. Divergent changes in the elevational gradient of vegetation activities over the last 30 years. Nat. Commun. 2019, 10, 2970. [Google Scholar] [CrossRef]
- García, M.V.; Aznarte, J.L. Shapley additive explanations for NO2 forecasting. Ecol. Inform. 2020, 56, 101039. [Google Scholar] [CrossRef]
- Wang, S.; Peng, H.; Hu, Q.; Jiang, M. Analysis of runoff generation driving factors based on hydrological model and interpretable machine learning method. J. Hydrol. Reg. Stud. 2022, 42, 101139. [Google Scholar] [CrossRef]
- Zhang, W.Q.; Luo, G.P.; Hamdi, R.; Ma, X.M.; Li, Y.Z.; Yuan, X.L.; Li, C.F.; Ling, Q.; Hellwich, O.; Termonia, P.; et al. Can gross primary productivity products be effectively evaluated in regions with few observation data? GIScience Remote Sens. 2023, 60, 2213489. [Google Scholar] [CrossRef]
- Carlsson, L.S.; Samuelsson, P.B.; Jonsson, P.G. Interpretable machine learning-tools to interpret the predictions of a machine learning model predicting the electrical energy consumption of an electric arc furnace. Steel Res. Int. 2020, 91, 2000053. [Google Scholar] [CrossRef]
- Jia, Z.Y.; Guo, L.; Cui, S.; Fu, Q.; Liu, D. Spatial-temporal evolution of NPP and its response to extreme climate in Songhua River basin. South-North Water Transf. Water Sci. Technol. 2024, 22, 131–147. (In Chinese) [Google Scholar] [CrossRef]
- Lin, Z.Q.; Liu, Y.Y.; Wen, Z.M.; Chen, X.; Han, P.D.; Zheng, C.; Yao, H.B.; Wang, Z.J.; Shi, H.J. Spatial-temporal variation characteristics and driving factors of net primary production in the Yellow River Basin over multiple time scales. Remote Sens. 2023, 15, 5273. [Google Scholar] [CrossRef]
- Wang, A.; Zhang, M.M.; Chen, E.Q.; Zhang, C.; Han, Y.J. Impact of seasonal global land surface temperature (LST) change on gross primary production (GPP) in the early 21st century. Sustain. Cities Soc. 2024, 110, 105572. [Google Scholar] [CrossRef]
- Han, D.N.; Yu, D.Y.; Qiu, J.X. Assessing coupling interactions in a safe and just operating space for regional sustainability. Nat. Commun. 2023, 14, 1369. [Google Scholar] [CrossRef]
- Poppe Terán, C.; Naz, B.S.; Graf, A.; Qu, Y.; Hendricks Franssen, H.J.; Baatz, R.; Ciais, P.; Vereecken, H. Rising water-use efficiency in European grasslands is driven by increased primary production. Commun. Earth Environ. 2023, 4, 95. [Google Scholar] [CrossRef]
- Yang, Y.; Tilman, D.; Jin, Z.N.; Smith, P.; Barrett, C.B.; Zhu, Y.G.; Burney, J.; D’Odorico, P.; Fantke, P.; Fargione, J.; et al. Climate change exacerbates the environmental impacts of agriculture. Science 2024, 385, 6713. [Google Scholar] [CrossRef] [PubMed]
- Peng, W.F.; Kuang, T.T.; Tao, S. Quantifying influences of natural factors on vegetation NDVI changes based on geographical detector in Sichuan, western China. J. Clean. Prod. 2019, 233, 353–367. [Google Scholar] [CrossRef]
- Doorga, J.R.S. Climate change and the fate of small islands: The case of Mauritius. Environ. Sci. Policy 2022, 136, 282–290. [Google Scholar] [CrossRef]
- Lenoir, J.; Gégout, J.C.; Marquet, P.A.; de Ruffray, P.; Brisse, H. A significant upward shift in plant species optimum elevation during the 20th century. Science 2008, 320, 1768–1771. [Google Scholar] [CrossRef]
- Zheng, Z.Z.; Li, L.F.; Biederman, J.A.; Wang, Y.F.; Guan, S.T.; Li, C.J.; Wen, F.Q.; Liu, Y.; Xiong, Y.Q.; Qian, R.Y.; et al. Ecosystem CO2 flux responses to extreme droughts depend on interaction of seasonal timing and plant community composition. J. Ecol. 2024, 112, 2198–2211. [Google Scholar] [CrossRef]
- Cusack, D.F.; Dietterich, L.H.; Sulman, B.N. Soil respiration responses to throughfall exclusion are decoupled from changes in soil moisture for four tropical forests, suggesting processes for ecosystem models. Glob. Biogeochem. Cycles 2023, 37, e2022GB007473. [Google Scholar] [CrossRef]
- Knapp, A.K.; Condon, K.V.; Folks, C.C.; Sturchio, M.A.; Griffin-Nolan, R.J.; Kannenberg, S.A.; Gill, A.S.; Hajek, O.L.; Siggers, J.A.; Smith, M.D. Field experiments have enhanced our understanding of drought impacts on terrestrial ecosystems-But where do we go from here? Funct. Ecol. 2024, 38, 76–97. [Google Scholar] [CrossRef]
- Ye, C.C.; Sun, J.; Liu, M.; Xiong, J.N.; Zong, N.; Hu, J.; Huang, Y.; Duan, X.W.; Tsunekawa, A. Concurrent and Lagged Effects of Extreme Drought Induce Net Reduction in Vegetation Carbon Uptake on Tibetan Plateau. Remote Sens. 2020, 12, 2347. [Google Scholar] [CrossRef]
- Piao, S.L.; Friedlingstein, P.; Ciais, P.; Viovy, N.; Demarty, J. Growing season extension and its impact on terrestrial carbon cycle in the Northern Hemisphere over the past 2 decades. Glob. Biogeochem. Cy. 2007, 21, 2006GB002888. [Google Scholar] [CrossRef]
- Wu, L.Z.; Ma, X.F.; Dou, X.; Zhu, J.T.; Zhao, C.Y. Impacts of climate change on vegetation phenology and net primary productivity in arid Central Asia. Sci. Total Environ. 2021, 796, 149055. [Google Scholar] [CrossRef]
- Fang, H.S.; Sha, M.Q.; Xie, Y.C.; Lin, W.J.; Qiu, D.; Tu, J.G.; Tan, X.C.; Li, X.L.; Sha, Z.Y. Shifted Global Vegetation Phenology in Response to Climate Changes and Its Feedback on Vegetation Carbon Uptake. Remote Sens. 2023, 15, 2288. [Google Scholar] [CrossRef]
- Lian, X.; Piao, S.L.; Li, L.Z.X.; Li, Y.; Huntingford, C.; Ciais, P.; Cescatti, A.; Janssens, I.A.; Peñuelas, J.; Buermann, W.; et al. Summer soil drying exacerbated by earlier spring greening of northern vegetation. Sci. Adv. 2020, 6, eaax0255. [Google Scholar] [CrossRef]
- Berdugo, M.; Delgado-Baquerizo, M.; Soliveres, S.; Hernández-Clemente, R.; Zhao, Y.C.; Gaitan, J.J.; Gross, N.; Saiz, H.; Maire, V.; Lehman, A.; et al. Global ecosystem thresholds driven by aridity. Science 2020, 367, 787–790. [Google Scholar] [CrossRef]
- Zhou, X.C.; Geng, X.J.; Yin, G.D.; Hänninen, H.; Hao, F.H.; Zhang, X.; Fu, Y.S.H. Legacy effect of spring phenology on vegetation growth in temperate China. Agric. For. Meteorol. 2020, 281, 107845. [Google Scholar] [CrossRef]
- Ossola, A.; Lin, B.B. Making nature-based solutions climate-ready for the 50 °C world. Environ. Sci. Policy 2021, 123, 151–159. [Google Scholar] [CrossRef]
- Cong, N.; Wang, T.; Nan, H.J.; Ma, Y.C.; Wang, X.H.; Myneni, R.B.; Piao, S.L. Changes in satellite-derived spring vegetation green-up date and its linkage to climate in China from 1982 to 2010: A multimethod analysis. Glob. Change Biol. 2013, 19, 881–891. [Google Scholar] [CrossRef]
- Guo, J.T.; Hu, Y.M. Spatiotemporal Variations in Satellite-Derived Vegetation Phenological Parameters in Northeast China. Remote Sens. 2022, 14, 705. [Google Scholar] [CrossRef]
- Hussain, S.; Ulhassan, Z.; Brestic, M.; Zivcak, M.; Zhou, W.J.; Allakhverdiev, S.I.; Yang, X.H.; Safdar, M.E.; Yang, W.Y.; Liu, W.G. Photosynthesis research under climate change. Photosynth. Res. 2021, 150, 5–19. [Google Scholar] [CrossRef] [PubMed]
- Ueyama, M.; Iwata, H.; Harazono, Y. Autumn warming reduces the CO2 sink of a black spruce forest in interior Alaska based on a nine-year eddy covariance measurement. Glob. Change Biol. 2014, 20, 1161–1173. [Google Scholar] [CrossRef] [PubMed]
- de Souza, M.A.; de Andrade, L.I.F.; Gago, J.; Pereira, E.G. Photoprotective mechanisms and higher photorespiration are key points for iron stress tolerance under heatwaves in rice. Plant Sci. 2024, 342, 112031. [Google Scholar] [CrossRef]
- Zhai, B.Y.; Hu, Z.Y.; Sun, S.Q.; Tang, Z.S.; Wang, G.X. Characteristics of photosynthetic rates in different vegetation types at high-altitude in mountainous regions. Sci. Total Environ. 2024, 907, 168071. [Google Scholar] [CrossRef]
- Qu, S.; Wang, L.C.; Lin, A.W.; Yu, D.Q.; Yuan, M.X.; Li, C.A. Distinguishing the impacts of climate change and anthropogenic factors on vegetation dynamics in the Yangtze River Basin, China. Ecol. Indic. 2020, 108, 105724. [Google Scholar] [CrossRef]
- Shahbazi, F.; Hughes, P.; McBratney, A.B.; Minasny, B.; Malone, B.P. Evaluating the spatial and vertical distribution of agriculturally important nutrients–nitrogen, phosphorous and boron–in North West Iran. Catena 2018, 173, 71–82. [Google Scholar] [CrossRef]
- Singh, D.; Karan, K.; Singh, S.K.; Chauhan, P.; Berndtsson, R. Fusing morphometric characteristics with extreme precipitation indices for identifying the most vulnerable sub-basin at risk of flooding. J. Hydro-Environ. Res. 2023, 50, 44–56. [Google Scholar] [CrossRef]
- Liu, G.Y.; Zhang, R.; Hang, R.L.; Ge, L.L.; Shi, C.X.; Liu, Q.S. Statistical downscaling of temperature distributions in southwest China by using terrain-guided attention network. IEEE J. Sel. Top. Appl. Earth Obs. Remote Sens. 2023, 16, 1678–1690. [Google Scholar] [CrossRef]
- Zeng, X.; Hu, Z.M.; Chen, A.P.; Yuan, W.P.; Hou, G.L.; Han, D.R.; Liang, M.Q.; Di, K.; Cao, R.C.; Luo, D.N. The global decline in the sensitivity of vegetation productivity to precipitation from 2001–2018. Glob. Change Biol. 2022, 28, 6823–6833. [Google Scholar] [CrossRef]
- Sun, Z.Y.; Wang, X.F.; Zhang, X.R.; Tani, H.; Guo, E.L.; Yin, S.; Zhang, T.Y. Evaluating and comparing remote sensing terrestrial GPP models for their response to climate variability and CO2 trends. Sci. Total Environ. 2019, 668, 696–713. [Google Scholar] [CrossRef] [PubMed]
- Bolan, S.; Padhye, L.P.; Jasemizad, T.; Govarthanan, M.; Karmegam, N.; Wijesekara, H.; Amarasiri, D.; Hou, D.Y.; Zhou, P.F.; Biswal, B.K.; et al. Impacts of climate change on the fate of contaminants through extreme weather events. Sci. Total Environ. 2024, 909, 168388. [Google Scholar] [CrossRef]
- Xu, C.G.; McDowell, N.G.; Fisher, R.A.; Wei, L.; Sevanto, S.; Christoffersen, B.O.; Weng, E.S.; Middleton, R.S. Increasing impacts of extreme droughts on vegetation productivity under climate change. Nat. Clim. Chang. 2019, 9, 948–953. [Google Scholar] [CrossRef]
- Gao, X.J.; McGregor, I.R.; Gray, J.M.M.; Friedl, M.A.; Moon, M. Observations of satellite land surface phenology indicate that maximum leaf greenness is more associated with global vegetation productivity than growing season length. Glob. Biogeochem. Cycles 2023, 37, e2022GB007462. [Google Scholar] [CrossRef]
- Ma, S.; Wang, L.J.; Jiang, J.; Chu, L.; Zhang, J.C. Threshold effect of ecosystem services in response to climate change and vegetation coverage change in the Qinghai-Tibet Plateau ecological shelter. J. Clean. Prod. 2021, 318, 128592. [Google Scholar] [CrossRef]
- Liu, H.Y.; Zhang, M.Y.; Lin, Z.S.; Xu, X.J. Spatial heterogeneity of the relationship between vegetation dynamics and climate change and their driving forces at multiple time scales in Southwest China. Agric. For. Meteorol. 2018, 256–257, 10–21. [Google Scholar] [CrossRef]
- Waheed, W.; Xu, Q.S. Data driven long short-term load prediction: LSTM-RNN, XG-Boost and conventional models in comparative analysis. Comput. Intell. 2025, 41, e70084. [Google Scholar] [CrossRef]
- Wang, H.J.; Liang, Q.X.; Hancock, J.T.; Khoshgoftaar, T.M. Feature selection strategies: A comparative analysis of SHAP-value and importance-based methods. J. Big Data 2024, 11, 44. [Google Scholar] [CrossRef]
- Zhong, R.; Yan, K.; Gao, S.; Yang, K.; Zhao, S.; Ma, X.L.; Zhu, P.; Fan, L.; Yin, G.F. Response of grassland growing season length to extreme climatic events on the Qinghai-Tibetan Plateau. Sci. Total Environ. 2023, 909, 168488. [Google Scholar] [CrossRef] [PubMed]
- Song, Y.Z.; Wang, J.F.; Ge, Y.; Xu, C.D. An optimal parameters-based geographical detector model enhances geographic characteristics of explanatory variables for spatial heterogeneity analysis: Cases with different types of spatial data. GIScience Remote Sens. 2020, 57, 593–610. [Google Scholar] [CrossRef]








| Data | Sources | Data Description |
|---|---|---|
| Land use and land cover (LULC) | The 30 m annual land cover datasets and its dynamics in China from 1985 to 2022. (https://zenodo.org/records/8176941, accessed on 15 May 2025) | Grid, 30 m × 30 m |
| Elevation (Ele) | Geospatial Data Cloud (China) (https://www.gscloud.cn/, accessed on 15 May 2025) | Grid, 30 m × 30 m |
| Gross primary productivity (GPP) | United States Geological Survey (USGS) website (https://lpdaac.usgs.gov/product_search/?view=list, accessed on 15 May 2025) | Grid, 500 m × 500 m |
| Temperature (Tem) | 1 km monthly temperature dataset for China (1901–2022) (https://zenodo.org/records/3185722, accessed on 15 May 2025) | Grid, 1 km × 1 km |
| Precipitation (Pre) | 1 km monthly precipitation dataset for China (1901–2022) (https://zenodo.org/records/3185722, accessed on 15 May 2025) | Grid, 1 km × 1 km |
| Vegetation phenology | MODIS/Terra + Aqua Land Cover Dynamics Yearly L3 Global 500 m SIN Grid (https://lpdaac.usgs.gov/products/mcd12q2v061, accessed on 15 May 2025) | Grid, 500 m × 500 m |
| Ecosystem | Primary Driving Factor | Secondary Driving Factors | Key Interaction (from SHAP Interaction Plots) |
|---|---|---|---|
| Cropland | Pre | LOS > Ele | Strong positive interaction between LOS and Pre. GPP promotion peaks when LOS > 120 days. |
| Grassland | Tem | Pre > Ele | Weaker phenological interactions. Tem and Ele consistently exhibit positive contributions to GPP. |
| Forest | LOS | Pre > POS | Dominant positive effect of LOS. The LOS-POS interaction is complex, with high GPP occurring under contrasting conditions (i.e., high LOS/low POS or low LOS/high POS). |
| Factors | LOS | POS | Pre | Tem | Ele |
|---|---|---|---|---|---|
| Cropland | 0.24 | 0.14 | 0.37 | 0.18 | 0.15 |
| Grassland | 0.17 | 0.18 | 0.07 | 0.54 | 0.33 |
| Forest | 0.52 | 0.26 | 0.45 | 0.32 | 0.03 |
Disclaimer/Publisher’s Note: The statements, opinions and data contained in all publications are solely those of the individual author(s) and contributor(s) and not of MDPI and/or the editor(s). MDPI and/or the editor(s) disclaim responsibility for any injury to people or property resulting from any ideas, methods, instructions or products referred to in the content. |
© 2025 by the authors. Licensee MDPI, Basel, Switzerland. This article is an open access article distributed under the terms and conditions of the Creative Commons Attribution (CC BY) license (https://creativecommons.org/licenses/by/4.0/).
Share and Cite
Zhang, F.; Jia, Z.; Guo, L.; Song, Z.; Cui, S. Joint Effects of Climate and Phenology on Agricultural and Ecological Resource Productivity. Agronomy 2025, 15, 2486. https://doi.org/10.3390/agronomy15112486
Zhang F, Jia Z, Guo L, Song Z, Cui S. Joint Effects of Climate and Phenology on Agricultural and Ecological Resource Productivity. Agronomy. 2025; 15(11):2486. https://doi.org/10.3390/agronomy15112486
Chicago/Turabian StyleZhang, Fuxiang, Zhaoyang Jia, Liang Guo, Zihan Song, and Song Cui. 2025. "Joint Effects of Climate and Phenology on Agricultural and Ecological Resource Productivity" Agronomy 15, no. 11: 2486. https://doi.org/10.3390/agronomy15112486
APA StyleZhang, F., Jia, Z., Guo, L., Song, Z., & Cui, S. (2025). Joint Effects of Climate and Phenology on Agricultural and Ecological Resource Productivity. Agronomy, 15(11), 2486. https://doi.org/10.3390/agronomy15112486

