Next Article in Journal
The Contrasting Ecological Effects of Farmland and Alfalfa Grassland Across Different Planting Scales in the North China Plain
Previous Article in Journal
The Optimal Cyanobacterial Sludge Incorporation Balances Nutrient Retention and NH3 Emission Reduction During Composting with Chicken Manure and Wheat Straw
 
 
Font Type:
Arial Georgia Verdana
Font Size:
Aa Aa Aa
Line Spacing:
Column Width:
Background:
Article

Breeding Evaluation of Potato Hybrids for Late Blight Resistance

1
Institute of Engineering and Energetics, Latvia University of Life Sciences and Technologies, Cakstes Blvd. 5, LV 3001 Jelgava, Latvia
2
Institute of Potato Growing of NAAS of Ukraine, 22 Chkalov Street, Nemishaeve, Borodyanka Distr., UA 07853 Kyiv Region, Ukraine
3
Department of Vegetable Growing and Greenhouse Cultivation, Agrobiological Faculty, National University of Life and Environmental Sciences of Ukraine, 15 Heroyiv Oborony Street, UA 03041 Kyiv, Ukraine
*
Author to whom correspondence should be addressed.
Agronomy 2025, 15(10), 2431; https://doi.org/10.3390/agronomy15102431
Submission received: 29 September 2025 / Revised: 16 October 2025 / Accepted: 16 October 2025 / Published: 20 October 2025
(This article belongs to the Section Pest and Disease Management)

Abstract

This study presents the results of scientific research analyzing the resistance to late blight in created potato hybrids of various maturity groups and the possibility of identifying early-maturing forms with increased resistance to both leaf and tuber late blight. The aim of the study is to evaluate potato breeding material for resistance to late blight, identify combinations for crossing with a high percentage of disease-resistant and early-maturing forms. The methods of field, laboratory, and statistical research were employed. The article presents the results of breeding work on evaluating potato varieties and hybrids to create breeding material resistant to late blight. Maternal and paternal forms were identified, along with crossing combinations yielding a large number of disease-resistant offspring. Hybrids and breeding material have been developed, combining resistance: 13 hybrids to late blight of leaves and tubers, and 14 hybrids combining resistance to late blight and early maturity. These hybrids will be further used in breeding practices to develop new potato varieties resistant to late blight. Based on the conducted research, the following main conclusions were formulated: parental forms and crossing combinations were identified, which provide the majority of late blight-resistant offspring and are valuable for breeding practices. Hybrids combining resistance to late blight of leaves and tubers, as well as resistance to late blight and early maturity, have been developed. The breeding material will be used as a basis for creating new potato varieties resistant to the pathogen. In 2022–2023, work on the breeding project was completed, resulting in the identification of combinations forming from 0.2 to 2.5% of forms resistant to late blight of leaves and tubers in combination with early maturity. As a result of the research, hybrids derived from the crosses Slavyanka/Povin, 04/21c31/Bellarosa, and Virinea/Strumok have been identified. These hybrids, named Solomia, Sofia, and Mirami, were submitted for trials in 2022–2023. The varieties Mirami and Solomia combine early maturity with resistance to late blight of leaves, while Sofia combines early maturity with resistance to late blight of tubers.

1. Introduction

Potato is the fourth most important food crop globally [1]; however, its production is significantly limited by fungal and bacterial infections. The most destructive disease remains late blight, caused by the oomycete Phytophthora infestans (Mont.) de Bary, which causes annual losses exceeding $5 billion and poses a threat to global food security [2]. This pathogen affects the leaves, stems, and tubers, leading to yield reductions of up to 80% and significant post-harvest losses [3,4,5,6,7].
Control of late blight is complicated by the pathogen’s extraordinary genetic variability and adaptiveness [8]. The situation has been significantly exacerbated by the emergence of the A2 mating type, enabling sexual recombination with the A1 type. This has led to the formation of long-lived oospores and the evolution of genetically diverse, aggressive, and fungicide-resistant strains, which are now a major problem for potato production worldwide [9]. The increasing virulence and fungicide resistance of the pathogen further complicate disease control [10,11,12].
Late blight severity depends on climate and varietal susceptibility, inversely correlating with tuber yield [13]. Ideal infection conditions are night temperatures of 10–16 °C and high humidity (sporulation is suppressed by high daytime temperatures) [14], mandating climate monitoring in agronomic planning.
Modern agriculture faces additional challenges, such as unpredictable climate change, making the adaptation of crops to adverse conditions an urgent necessity [15,16]. Potatoes have specific requirements for heat, light, and moisture, so extreme weather fluctuations negatively affect them [17]. Agricultural intensification also contributes to the spread of phytopathogenic organisms [18,19]. Traditionally, potato cultivation relies on the frequent application of fungicides, which increases costs and environmental risks [20]. Therefore, the transition to sustainable agriculture is a priority, which involves creating cultivars that require fewer chemical protection agents [21,22,23].
Despite decades of breeding efforts [24] and the use of fungicides, significant crop losses persist, underscoring the acute need for resistant cultivars. Resistant varieties (7–8 points) significantly reduce infection severity, confirming a strong negative correlation between resistance and disease progression [25]. A key goal of modern breeding is the development of high-yielding, disease-resistant cultivars to ensure the long-term stability of production [26]. However, the genetic base for breeding remains narrow, requiring the involvement of interspecific hybrids and gene bank resources to broaden genetic diversity [27,28,29,30]. New cultivars must combine high agronomic potential with adaptability to environmental stressors [31,32], as well as have improved traits, such as nitrogen use efficiency [33]. The priority is to create cultivars with durable and stable resistance across different agroecosystems [34,35,36,37], which will allow for reduced pesticide use and ensure safer food production [38].
The aim of the study is to evaluate potato breeding material for resistance to late blight and to identify parental forms and crossing combinations that yield a high proportion of disease-resistant and early-maturing progeny.

2. Materials and Methods

2.1. Description of Experimental Site and Characterization of Climate and Soil

The research was conducted from 2019 to 2023 at the Institute of Potato Growing of the National Academy of Sciences of Ukraine, in collaboration with the Ulbroka Science Centre of the Latvia University of Life Sciences and Technologies. The experimental plots are located at 50°42′4″ N and 29°21′14″ E, with an elevation of 148 m above sea level. Meteorological observations for the four years of the study are presented in Figure 1 and Figure 2. The weather conditions during the potato growing season were quite heterogeneous, characterized by occasional critical temperatures, ranging from 1 to 2 °C during the night to hot midday temperatures of up to +34 °C. In June–July, there was a prolonged period with little to no atmospheric precipitation or insufficient amounts (mostly in the form of short-lived showers).
The weather conditions in 2019 were quite favourable for the start of the field work and planting potatoes, yet the heat and lack of moisture during the flowering and crop formation period had a negative impact on the growth and development of the plants, which ultimately affected the yield and disease incidence.
The weather conditions at the end of April were favourable for planting potatoes: the soil temperature in the third ten-day period was 9.2 °C (at a depth of 10 cm), the air temperature 13.4 °C, the precipitation amount was 37 mm.
May was hot (19.5 °C versus the annual average of 14.2 °C), but there was 60 mm more precipitation than the long-term average (60 mm), which had a positive effect on the initial growth and development of the potato plants.
In June and July (contrary to the long-term average of 80 and 85 mm), the precipitation was 70 and 73 mm, the air temperature was by 8.5 and 0.7 °C higher, and the soil temperature (depth 10 cm) was 23.5 and 17.9 °C. Sharp fluctuations between the daytime (32–34 °C) and the night-time (16–19 °C) temperatures also had a negative impact on the growth and development of the plants, and the crop formation. At the beginning of August, there was already rain (120 mm in contrast to the long-term average of 80 mm); the temperature was 20.9 °C (+3.9 to the long-term average), which, to some extent, corrected the situation.
In 2020, the deviation of precipitation from the long-term average was +128 mm in May, while June, July, and August were lower by −21 mm, −39 mm, and −69 mm, respectively. In 2021, there was a moisture deficit in May, June, and July, with deviations of −1 mm, −19 mm, and −38 mm, respectively, while August had an excess of +25 mm. The precipitation deviation indicators in 2022 revealed a moisture deficit in May–June of −29 mm and −17 mm, while in July and August, there were excesses of 8 mm and 37 mm, respectively. June 2023 received 68 mm of precipitation, positively impacting the mass emergence of shoots. In the second half of the period, there was a slight excess of precipitation in July (+7 mm compared to the long-term average) and slightly lower air temperatures (0.1 °C below the long-term average), creating favourable conditions for the growth and development of potato plants during flowering and tuber formation. In August, the temperature was also higher (+3.6 °C), and the insufficient amount of precipitation (−48.8 mm against the norm of 56 mm) significantly affected potato yields and the development of diseases, particularly Alternaria and various types of blight. Based on the hydrothermal coefficient, the vegetative period (April-September) in 2020 and 2022 was classified as sufficiently moist (Hydrothermal Coefficient (HTC) = 1.49 and 1.31), 2021 as insufficiently moist (1.13). In 2023, the hydrothermal coefficient was 0.4 in the first record (II decade of July); 0.7 in the second record (III decade of July), indicating very dry climatic conditions; the third—HTC 1, indicating dry conditions (I decade of August); and the fourth—HTC 0.1, indicating an extremely dry period (III decade of August). It was determined that during the crop’s growing season (May–August), the HTC is 0.5.
The soil of the research plot is classified as light sod-podzolic soil. In the ploughed layer (0–20 cm), it contains humus in the range of 1.59–1.84% (according to Tyurin); the pH of salt extract is between 4.3 and 4.6; hydrolytic acidity (according to Kappen) is in the range of 3.5–3.9 mg eq. per 100 g of soil; the content of easily hydrolysable nitrogen is between 8.1 and 9.8 mg·(100 g)–1 of soil (according to Korifild), and mobile phosphorus (according to Kirsanov) and potassium (according to Maslova) are in the range of 6.5–13.8 and 8.0–12.6 mg per 100 g of soil, respectively. The degree of base saturation is between 75.8 and 82.0%.

2.2. Plant Materials

An assessment of the promising initial forms from the main breeding nurseries was carried out. As parental forms, varieties of both domestic and foreign selection were used, as well as hybrids created on a multi-species basis (Table 1). During the research, crossbreeding was conducted according to the following types: resistant to/resistant; resistant to/moderately resistant; and self-pollination of a resistant parental form. Parental forms were selected so that their resistance was controlled by different groups of genes and originated from different wild and cultivated species (S. demissum, S. stoloniferum, S. vernei, S. andigenum). These forms contain various types of R-genes in their genotype, as well as a complex of polygenes. The presence of dominant highly expressive genes enhances the action of polygenes, thereby increasing the field resistance of the new breeding material.
As standards, varieties were used for each maturity group: early Tyras —susceptible, mid-season Chervona Ruta—resistant.
Mirami (Virinea/Strumok) is an early variety, suitable for table use. The vegetation period lasts 90 days. It is noted for its resistance to mechanical damage and adverse environmental conditions. Resistant to Phytophthora infestans of the vegetative mass, the potato cyst nematode, the common and pathotype potato canker. It is noted for its high field resistance to viral diseases and fusarium. Relatively resistant to Alternaria, soft bacterial rot and stem nematode.
Solomiya (Slavyanka/Poven). Early variety for table use. The duration of the growing season is 90 days. The variety is resistant to the common pathotype of canker (9 points); it has high resistance to late blight (8 points); and it is relatively resistant to Alternaria (7 points), the stem nematode (7 points), and wet bacterial rot (7.5 points). It is also resistant to mechanical damage (8 points).
Sofia (04/21c31/Bellarosa). Mid-early table variety. The duration of the growing season is 98 days.
The variety is resistant to the common pathotype of canker (9 points), the potato cyst nematode (9 points), and the stem nematode (8 points); resistant to tuber late blight (8 points); and relatively resistant to viral diseases (7 points), common scab (6.5 points), and wet bacterial rot (6.5 points). There is also resistance to mechanical damage (7 points) and to adverse environmental factors.

2.3. Trial Design and Management

The cultivation technology of potato varieties corresponds to the commonly accepted practices, which are based on the application of the mineral fertilizer YaraMila COMPLEX 12-11-18, 350 kg·ha–1, performing cultivation tasks within specific timeframes, using Kwinstar—1 L·ha–1 + Tivitus 0.05 kg·ha–1 against weeds, and Coragen 20 KS 60 mL·ha–1 against the Colorado potato beetle. Potato planting is carried out in the first ten days of May. The weight of tubers ranges from 30 to 50 g. The planting scheme is 0.35 m × 0.70 m. The number of plants in two-row plots is 60. The area of the study plot is 44.1 m2 with a threefold repetition. The plant density is 40.8 thousand plants per hectare.
The breeding process involves a certain number of plants in each nursery. In this case, each plant is a repetition. Replication in breeding nurseries of seedlings, the first tuberous generation, and the second breeding generation in the classical sense is not provided.
The resistance of leaves and tubers to late blight was determined in the laboratory. All material was grown in the field. The material was grouped into maturity groups according to the length of the growing season and the timing of harvest accumulation based on dynamic digging. The progeny of the crosses were stored separately in packaged form.

2.4. Data Collection

The research was conducted under laboratory and field conditions following methodological approaches used in international practices in accordance with ISO requirements and methodologies [39]. In the research assessing the resistance of potato breeding material to late blight (Phytophthora infestans), a laboratory method of artificial infection was employed. This method involved infecting detached leaves with the pathogen inoculum of the oomycete Phytophthora infestans (Mont.) de Bary, as described in studies [39,40].
The inoculum of Phytophthora infestans (Mont.) de Bary consists of a mixture in equal proportions of a suspension of the highly aggressive race 0.1.2.4.5.7.8.9.11 and aggressive isolates of the local field population (races 0.2.5.7.9 and 0.2.4.7.8.9). The leaves, separated from the middle tier of the potato bushes in a quantity of three pieces, without signs of disease and pest damage, were placed on the moistened filter paper in a chamber at a temperature of 18–20 °C. Two drops of suspension were applied to the underside of the leaves (based on 20–25 zoosporangia in the field of view at a microscope magnification of 120 times). The suspension was applied to two leaves, the third one served as the reference. Evaluation was carried out in phases from the beginning of budding to the end of flowering, every 7 days [40].
From the third day after infection, observations were carried out for three consecutive days to determine the incubation period. On the sixth day after infection, the diameter of the affected tissue (mm) was measured, and the intensity of sporulation was determined (in points). Based on the obtained data, the infection index Ii was calculated using the following formula:
I i = a 1 b 1 n 1 + a 2 b 2 n 2 + a 3 b 3 n 3 3
where
  • a1, a2, a3—the diameter of the affected leaf surface, mm;
  • b1, b2, b3—scores of fungal sporulation on the affected leaf surface (0–4);
  • n1, n2, n3—the incubation period of the disease manifestation on the leaves, days.
After summarizing the data for each assessment, the average infection index was determined. To assess the degree of resistance, varieties and hybrids were compared among themselves and with standard varieties. The higher the infection index, the lower the degree of resistance. Depending on the infection index, the breeding material was classified according to the degree of resistance (Figure 3).
To determine the racial composition of Phytophthora populations, 50–100 isolates of the oomycete Phytophthora infestans were isolated and identified on Schick and Black’s differentiators.
The field assessment of resistance to late blight of the above-ground leaf mass was carried out visually on a nine-point scale according to the standardized REI classifier [41]. The evaluations were performed dynamically 3–4 times during the season, determining the average resistance score (Figure 4a,b). The first evaluation took place from the moment of appearance of primary necrosis on late blight-susceptible varieties and hybrids: on 12 July 2020; 17 July 2021; 1 July 2022; 12 July 2023. Subsequent assessments were carried out 7–10 days after the first one, depending on the development stage of the disease (Figure 4c).
To determine the tuber resistance to late blight, the tests were conducted in early October. For inoculation, intact, undamaged tubers free from any diseases were selected, with five tubers taken from each sample and immersed in a suspension of the late blight pathogen. The inoculum load was 20–30 conidia per microscope field. The infected tubers were placed on moist filter paper in pots covered with glass within special chambers at a temperature of 18–21 °C and a humidity of 90%. The assessment of tuber infection was conducted after 30 days by cutting each tuber lengthwise (Figure 5). At the same time, standard varieties, both resistant and susceptible, were evaluated.
The assessment was conducted on a 9-point scale, where 9 indicates very high resistance (no symptoms of infection), 8 indicates high resistance (surface lesions, necrosis covering up to 10% of the surface, and tuber cut), 7 indicates relatively high resistance (infected tissue covering 10 to 25% of the surface and tuber cut), 5 indicates moderate resistance (infection covering 25 to 50%), 3 indicates low resistance (infection covering 50 to 75%), and 1 indicates very low resistance (infection covering more than 75%).

2.5. Data Analysis

Statistical analysis of the test data was performed using Statistica 13.1 (StatSoft, Inc., Tulsa, OK, USA). Differences between the variants were determined using the Tukey test, which were considered significant at p < 0.05 (taking into account the Bonferroni correction).

3. Results

3.1. Influence of Weather Conditions on the Development of Late Blight

The years of the research significantly differed from each other in terms of weather conditions during the growing season, which influenced the development of the disease. Thus, in 2020, there was moderate late blight development, reaching an epiphytotic stage only under favourable conditions towards the end of the growing season. In 2021 and 2023, there was a depressive development, while in 2022, there was a strong epiphytotic outbreak. According to our observations, the conditions for late blight development were not favourable (high air temperatures, lack of precipitation). It was found that the development of the disease did not exceed 26%.
The dynamics of late blight development are largely determined by the weather conditions during the growing season. In years with moderate disease development, there was a gradual and delayed decrease in late blight resistance compared to the dynamics of resistance during epiphytotic development. For instance, during the first two assessments in 2019 and 2020, hybrids of all maturity groups showed a gradual decrease in late blight resistance.

3.2. Laboratory Analysis of Late Blight Development on Leaves of Potato Hybrids of Different Maturity

In the early and mid-early maturity groups of hybrids, those with high resistance according to the first assessment made up 100 and 73.8%, and according to the second—41.2 and 26.2%; in the mid-season group—according to the first count 100% and 94.7%, respectively, and according to the second—68.7 and 50.8%; and in the mid-late and late groups—100% and 99.2% with the first count, and with the second—88.1 and 62.3%, respectively (Table 2).
With further development of late blight, the plant resistance sharply decreased, compared to the second count, from 68.7% to 25.8% (in the mid-season group) and from 88.1% to 30.3% (the mid-late and late). A sharp increase in the number of hybrids with low resistance indicates a decrease in resistance. During the first two assessments, the number of hybrids in the investigated material with a resistance score of 1–3 in 2019 was 17.5%, in 2020—2.5–23.8%, and during the third assessment, their share in 2020 increased from 23.8 to 99.1% (the early and mid-early hybrids), from 0 to 16.1% (the mid-season hybrids) and from 0 to 8% in 2019, and from 0.8 to 90.9% in 2020 (the mid-late and late hybrids).
When analyzing the second set of hybrids, it should be noted that in 2020, in the group of the early and mid-early hybrids, during the third count, the number of hybrids with a resistance score of 8–9 was 4.8%; in 2021, such hybrids were not found among the studied material. Moreover, the percentage of hybrids with a resistance of 1–3 points was 67.8 in 2020 and 82.2% in 2021. In the mid-season group, the number of resistant hybrids was 13.7 and 1.8%, with a low score of 29.8 and 64.7, respectively. In the mid-late and late group, the number of resistant hybrids was 31.7 and 7.1%, with a low score of 9.4 and 21.2, respectively.
Based on the results of the assessment of the third set of hybrids in 2021, it was found that in the group of the early and mid-early hybrids, during the third count, the percentage of the resistant ones was 5.2%, with a low percentage of 76.8; in 2022, the percentage was 14.8 and 40.7, respectively. In the group of the mid-season hybrids in 2021, 12.4% of resistant hybrids were identified and 53.8 had a low resistance score; in 2020, the percentages were 27.4 and 29.9%, respectively. The group of the mid-late and late hybrids in 2021 was characterized by the presence of 15.2% resistant hybrids and 34.8 non-resistant ones; in 2022, the percentages were 27.2 and 17.3, respectively.
In 2022, according to the assessment of the fourth set in the group of early and mid-early hybrids, during the third count the percentage with a high resistance was 9.3 and low 43.8%; in 2023, the resistance was 4.0 and 50.4, respectively. In the group of the mid-season hybrids, 8.4% of the resistant hybrids were identified (2022) and 6.1 (2023), with a low score of 48.3 and 29.6, respectively. The largest number of hybrids with a high resistance in this set was identified in the group of the mid-late and late hybrids in 2022—15.4%; in 2023, their number was only 2.0%.
Figure 6 demonstrates the above-ground resistance of hybrids to late blight under artificial infection conditions. It consists of eight subgraphs (a–h), each of which corresponds to a specific set of hybrids and a year of study. Analysis of this graph allows one to assess the variability of the hybrid resistance in time, to identify the resistant variants, and track general trends, such as whether the resistance is improving in new hybrids or which years show the worst performance. The evaluation was carried out in the field on an artificial infection background, which was created in an area isolated from potato fields so that the budding–flowering phase of plants would occur during the period of wider spread of the oomycete. To obtain reliable data, five tubers of each test sample were planted, with a feeding area of 70 cm × 35 cm.
The material to be tested was planted in rows alternately with susceptible ones, which were placed randomly on both sides of the evaluated samples. In the budding–flowering phase, 25% of the plants of susceptible varieties were inoculated using a household sprayer. For this purpose, a mixture of the isolate of race 0.1.2.4.5.7.8.9.11 and the field population (races 0.2.5.7.9 and 0.2.4.7.8.9) was used. Optimal conditions were created for the development of late blight, in particular, relatively high air and soil humidity, which was achieved by irrigation. Plot size 3.5 m2 (replicated three times).
In parallel with the laboratory evaluation, these sets of hybrids were evaluated under an artificial infectious background in field conditions. When studying the first set in 2019, out of 125 hybrids of the early and mid-early maturity groups, 2.9% were characterized by a very high resistance (9 points); 58.3% had a resistance of 8 points; 26.9%—7 points, 12.2%—5 points; and favourable hybrids (1–3 points) were not found. The average resistance score was 7.7 points. The assessment of the specified set of hybrids in 2020 demonstrated a decrease in the average resistance score to 5.1 points, while hybrids with a resistance score of 9 points were not recorded; the number of hybrids with a resistance of 5 points increased significantly—64.3—and the resistance of 1–3 points—9.6%. Among the mid-season hybrids in 2019, the modal group were hybrids with a resistance of 8 points (63.2%), and in 2020, hybrids with a resistance of 7 (42.1%) and 5 points (44.7%). The average resistance score of the tested hybrids was 7.7 points in 2019 and 6.3 in 2020. The highest average resistance score was shown by the mid-late and late hybrids in 2019—8.0, and in 2020—6.6 points. Among 126 hybrids with a resistance score of 9 in 2019, 21.5% were allocated, and 8 points—59.5%. No favourable hybrids have been identified. In 2020, the distribution by resistance was somewhat different, namely, the hybrids with a resistance of 9 points were not found, the number of hybrids with a resistance of 8 points decreased to 15.7%, and the number of samples with a resistance of 7 and 5 points increased to 47.1 and 37.2% (Table 3).
When evaluating the second set of hybrids in 2020 and 2021, the following results were obtained: the early and mid-early hybrids had an average damage score of 6.0 and 7.4, the mid-season hybrids—7.0 and 7.5, the mid-late and late hybrids—7.6 and 7.9%. In 2020 among the assessed early and mid-early hybrids, a large group consisted of samples with a resistance of 7 and 5 points—42.8 and 46.8%, in 2021, with a resistance of 8 and 7 points—31.5 and 65.7%. No samples favourable to the disease were found in either year. The mid-season hybrids had an average resistance of 7.0 and 7.5 points, depending on the year. Only a small percentage of hybrids were characterized by a very high resistance: 0.9% in 2020 and 1.9% in 2021, but no favourable samples were recorded. Among the mid-late and late hybrids assessed in 2020, 3.1% had a resistance score of 9, 51.6%—8, 41.4%—7, and 3.9%—5 points.
The third set of hybrids was evaluated during 2021–2022. In 2021, among the group of early and mid-early hybrids, 4.0% were hybrids with a resistance of 9 points, 29.4%—8 points, 65.3%—7 points, and 1.3%—5 points. In 2022 the distribution was as follows: 4.0% were hybrids with a resistance of 9 points, 24.0%—8 points, 56.0%—7 points, and 16.0—points. The average resistance score for the group was 7.4 and 6.9 points, respectively. In the group of the mid-season hybrids of 2021, the number of hybrids with a resistance score of 9 was 10.4%, 8 points—50%, 7—39.6%. In 2022, the highest percentage of hybrids, 51.9, were allocated a resistance score of 7; however, the percentage of hybrids with the scores of 9 and 8 decreased—7.5% and 33.1%. The average resistance score was 7.8 and 7.4, respectively. The group of the mid-late and late hybrids was characterized by the largest number of samples—11.6% and 72.2% with very high and high resistance in 2021. The average score was 7.9. In 2022, the largest number of hybrids (52.6%) were allocated a resistance score of 7, while the average score was 7.5.
According to the assessment of the fourth set of hybrids in 2022, out of 139 hybrids of the early and mid-early maturity groups, no hybrids with very high resistance (9 points) were found, 13.9% had a resistance of 8 points, 43.5%—7 points, 41.7%—5 points, and favourable hybrids (1–3 points)—0.9%. The average resistance score was 6.2 points. The assessment of this set of hybrids in 2023 demonstrated an increase in the average resistance score to 7.2 points, with hybrids with a resistance score of 9 points—2.8%, and the number of hybrids with a resistance of 5 points increased significantly—50.9%. Among the mid-season hybrids in 2022, the modal group were hybrids with a resistance of 8 points (38.4%), and in 2023, hybrids with a resistance of 9 (5.8%) and 8 points (52.9%). The average resistance score of the tested hybrids was 7.0 points in 2022 and 7.4 in 2023. The highest average resistance score was shown by the mid-late and late hybrids in 2022—7.4, and in 2023—7.9 points. Among 241 hybrids with a resistance score of 9 in 2022, 10.1% were allocated, 8 points—46.3%, favourable hybrids 0.5%. In 2023 the distribution by resistance was somewhat different, namely, hybrids with the resistance of 9 points made up 2.1%, while the number of hybrids with resistance of 8 points increased to 82.4%.
Thus, data analysis allowed us to identify several patterns:
Firstly, it has been established that there is a general trend towards a decrease in the resistance level of potato hybrids during the growing season. As illustrated in Table 2, in the early-maturing and mid-early groups, at the initial stages of observation, the proportion of plants exhibiting high resistance (8–9 points) attained 100%. However, by the second and, more notably, the third surveys, this indicator exhibited a precipitous decline (for instance, from 73.8% to 26.2% in 2020). Concurrently, there was a marked increase in the proportion of forms exhibiting low resistance (1–3 points), suggesting a gradual accumulation of susceptible plants under the influence of the pathogen. This finding underscores the interdependence of protective reactions on population pressure, thereby highlighting the necessity to consider the dynamics of resistance loss when selecting breeding material.
Secondly, a divergence of results was observed between the maturity groups. In mid-late and late hybrids, the level of resistance persisted for a greater duration (88.1% in 2019 at the second count versus only 30.3% at the third), while in early-maturing and mid-early hybrids, a more rapid degradation of resistance was observed. This finding suggests that early-maturing forms are predominantly reliant on race-specific resistance mechanisms that are readily circumvented by the pathogen. In contrast, mid-late and late forms exhibit enhanced stability over time, rendering them more promising candidates for utilization in breeding programmes.
Thirdly, the results in Table 3 show significant interannual fluctuations in the average stability score. Thus, the average stability score in medium-early hybrids decreased from 7.7 in 2019 to 6.3 in 2020, while in medium-late and late hybrids it decreased from 8.0 to 6.6, respectively. In subsequent years (2022), there was an even sharper decline in the level of resistance and a reduction in the proportion of highly resistant forms, which is consistent with the epiphytotic development of late blight. Thus, the conditions of the year and the composition of the Phytophthora infestans population are the determining factors that cause the manifestation of resistance. Taken together, the identified dependencies give grounds for concluding that the selection criteria should be not only the initial indicators of resistance, but also the stability of its preservation in different conditions and years.

3.3. Determination of the Level of Tolerance of Potato Hybrid Tubers to Late Blight, Taking into Account the Influence of Genetic Factors Related to the Maturity Group

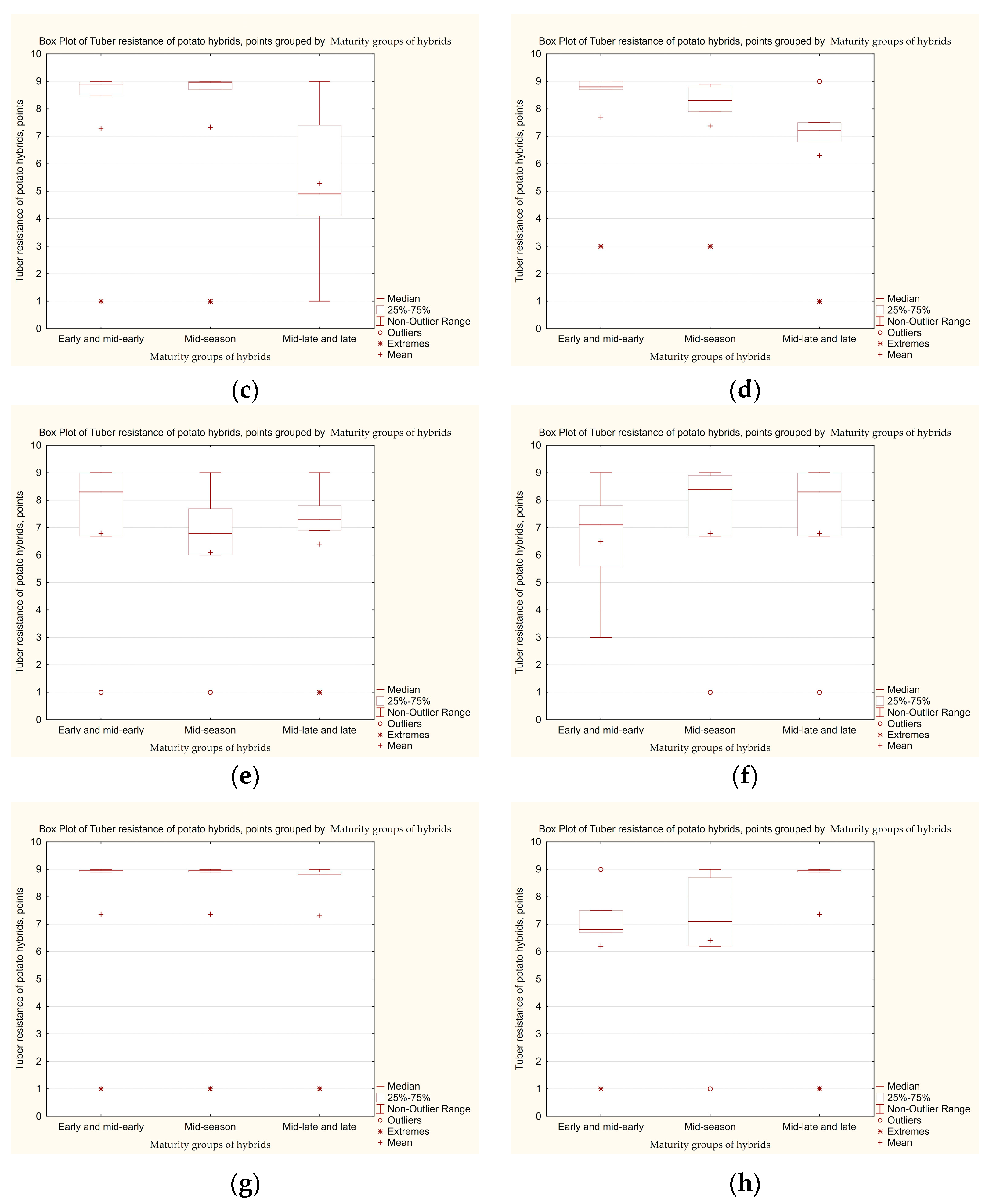
On the whole, Figure 7 allows one to draw conclusions about the dynamics of resistance of the potato hybrid tubers, to evaluate the efficiency of the breeding work and determine whether certain factors (for example, the year or the maturity group) influence the level of the plant resistance to late blight.
When analyzing the inheritance of late blight resistance in tubers by the maturity groups of hybrids, no such pattern was found as for the leaves. Hybrids with high tuber resistance were identified in all groups, regardless of their maturity (Table 4). The inheritance of high (8–9 points) resistance to late blight in leaves and tubers is not uniform among hybrids of different maturity groups. For example, in the early and mid-early group, the number of such forms fluctuated from 2.27 to 22.58%, in the mid-season group from 16.67 to 35%, and in the mid-late and late group from 17.54 to 51.21%.
The exception is the first set of hybrids, where in the early and mid-early maturity group the number of hybrids that combine the resistance of the above-ground mass and tubers became 40% in 2019, while in 2020 no such forms were found not only in the early and mid-early groups, but also in the mid-season group. In the mid-late and late maturity groups, the number of such forms was insignificant—2.04%.

3.4. Analysis of Heritability of Late Blight Resistance Trait in Potato Hybrids

Despite the complexity of combining high resistance to late blight in leaves and tubers, as well as resistance to late blight and earliness, hybrid combinations have been identified in which the selection of such forms is possible (Table 5).
The highest percentage of hybrids selected for a combination of economically valuable traits with high resistance to late blight in leaves was found in the following crossing populations: Virinea/Strumok (4%); 04/21c31/Bellarosa (3.79%); Slavyanka/Povin (2.5%); and Spokusa/Verdi (1.88%) (Table 4). The number of hybrids that combine late blight resistance in leaves with early maturity is significantly lower, and in some combinations, such forms were not identified. In other populations, the percentage of early-maturing late blight-resistant hybrids ranged from 0.13 (Orchidea/Zabava) to 2.5 (Slavyanka/Povin). We identified populations in which all selected late blight-resistant hybrids were early-maturing: Slavyanka/Povin, Bellarosa/Fantasiya, Innovator/Gurman, Veresivka/Milovitsa, Mezhyrichka 11/Belarusian 3, and Dobrochyn/Krynitsa.
The percentage of hybrids that combine resistance to late blight of both leaves and tubers with early maturity was even lower. The best populations in which such hybrids were selected are Slavyanka/Povin (2.5%), 04/21c31/Bellarosa (0.63%), Virinea/Strumok (0.5%), Veresivka/Milovitsa (0.33%), and Innovator/Gurman (0.2%).
As a result of the research, hybrids were identified among the crossing combinations Slavyanka/Povin, 04/21c31/Bellarosa, and Virinea/Strumok, which were submitted for state variety testing under the variety names Solomia, Sofia, and Mirami in 2022–2023 (Figure 8).
The Mirami and Solomia varieties combine early maturity with resistance to late blight on leaves, while the Sofia variety combines early maturity with resistance to late blight on tubers.

4. Discussion

The sustainable management of potato blight resistance often relies on minor resistance genes (R genes) to provide horizontal resistance [42]. While the widely utilized major resistance genes, such as Rpi and RB—with over 70 Rpi genes identified and mapped from wild species—offer a degree of protection [43], their introgression into high-yielding parental lines, either singly or pyramided, is a time-consuming process using traditional breeding [44]. For instance, comparative analysis of the R3a and R8 resistance genes across different potato genotypes revealed critical positional differences and base-pair substitutions, underscoring the necessity of structural studies of R-loci for developing durable resistance [45]. Although genetic engineering offers a faster alternative, its use remains controversial due to varying global regulations and consumer attitudes, particularly in the European Union [46,47].
The sharp decline in resistance observed in the present study is a direct consequence of the evolutionary pressure exerted by a genetically diverse pathogen population. This reflects the constant, dynamic struggle between host and pathogen. Recent literature confirms that P. infestans populations in Ukraine and elsewhere maintain high genotypic diversity via sexual reproduction. This process allows the pathogen to acquire new gene combinations, enhancing its adaptability and viability, and preventing the dominance of specific clonal lines [48,49,50].
This investigation demonstrated significant variability in the late blight resistance among different potato hybrids over the years, highlighting the influence of environmental conditions upon the disease development. The observed variability in the late blight resistance across the years is consistent with the previous studies that highlight the critical role of environmental conditions in the pathogen spread [51]. Phytophthora infestans, the causal agent of late blight, thrives in high humidity and moderate temperatures, resulting in unpredictable outbreaks [52]. The results of studies by Abuley et al. show that the resistance of potato varieties to late blight depends on both weather conditions and the pathogen population, with critical analysis showing that the pathogen population has a greater impact on the onset of the epidemic [53]. The severe epiphytotic outbreak in 2022 and moderate disease development in 2020 illustrate this phenomenon, suggesting that multi-year assessments should be considered when assessing resistance to environmental variability.
The investigation confirmed that the resistance level of the hybrids gradually decreases under the disease pressure. This conclusion is consistent with the previous studies showing that the resistance declines over time due to pathogen adaptation and changing environmental conditions [54]. The decline in resistance of the mid-season and late hybrids underlines the importance of maintaining long-term resistance in breeding programmes.
The investigation revealed that the early and mid-early hybrids generally showed high resistance during initial evaluations, but their resistance declined sharply during subsequent evaluations. This agrees with the previous reports that early maturing varieties often rely on the race specific resistance mechanisms that tend to adapt rapidly to pathogens [55]. Hybrids that demonstrate consistent resistance during multiple investigations should be prioritized in breeding programmes.
As shown by SAIR, InflPoint, and T1, susceptibility to late blight increased with plant age. According to SAIR, in 2019, the young (Folva) and the middle-aged (Novano) plants were the most susceptible to late blight, while in 2020, no differences were noticeable between the plants of different ages [53]. Our research confirms that the hybrid maturity influences the dynamics of late blight development. In particular, differences in the rate of the resistance decline were observed between the early, mid-season, and late-season hybrids.
It has been established that the combined resistance of potato leaves and tubers to late blight is important. In many cases, the literature notes that leaf resistance does not guarantee resistance in tubers, and vice versa; therefore, combined approaches are recommended [56,57].
One of the most important problems in potato breeding is finding a compromise between yield potential and disease resistance. High-yielding hybrids often exhibit moderate resistance due to genetic contamination/cross-linking, where resistance genes are associated with traits that negatively affect yield [58,59]. Modern breeding strategies emphasize the need for the combination of vertical and horizontal resistance, selection based on stability in different years and conditions, and attention not only to leaf resistance but also to tuber resistance [60].
The potato susceptibility to P. infestans, its biology and pathogenicity is a key to modern breeding. Combating the disease requires an integrated approach, including the use of resistance genes, gene editing, and a marker-assisted selection. It is also important to perform genomic editing in order to increase resistance and promote the early maturity of the plants, which reduces the risk of late blight in the vulnerable growth phase. The results of the study identified several promising parental combinations that provided a high percentage of hybrids with the desired combination of traits. This underscores the importance of targeted screening and selection, which is the basis of both traditional breeding and modern approaches.

5. Conclusions

The dynamics of late blight development in potato hybrids are significantly influenced by weather conditions during the growing season. The most pronounced decrease in leaf resistance was observed in years with an epiphytotic outbreak of the disease (e.g., 2022). In years with a depressive disease development (e.g., 2023), the decrease in resistance is not substantial.
Over the study period, the highest percentage of late blight-susceptible hybrids was identified among early and mid-maturity groups. However, no clear pattern of tuber resistance to late blight among hybrids was established based on maturity groups. Hybrids with high tuber resistance have been identified across all maturity groups, regardless of their earliness.
The combination of leaf and tuber late blight resistance with earliness is a relevant and challenging task in potato breeding. Targeted work in this direction has led to the identification of hybrid combinations (0.2–2.5%) where selection of such forms is possible: Slavyanka/Povin, 04/21c31/Gurman, 04/21c31/Bellarosa, Virinea/Strumok, Veresivka/Milovitsa, and Innovator/Gurman.
As a result of the research, hybrids have been identified among the crossbreeding combinations Slavyanka/Povin, 04/21c31/Bellarosa, and Virinea/Strumok, which have been submitted under the variety names Solomiya, Sofia, and Miramy for testing. The varieties Miramy and Solomiya combine earliness with resistance to late blight on leaves, while Sofia combines earliness with tuber late blight resistance.
During the study period, the highest percentage of susceptible to late blight aboveground mass (leaves) was found among hybrids of early and mid-season groups. However, a clear pattern of tuber resistance to late blight among hybrids by maturity groups was not found. Hybrids with high tuber resistance were found in all groups, regardless of their maturity.
In the next stage, it is planned to conduct DNA-based analyses aimed at the molecular–genetic characterization of selected hybrids. This approach will allow for the identification of genes and molecular markers associated with late blight resistance, thereby enhancing the efficiency of breeding for resistant and early-maturing potato varieties.

Author Contributions

Conceptualization, A.R., A.A., and M.F.; methodology, N.Z.; software, I.F.; validation, T.O. and O.K.; formal analysis, A.R., I.F., and O.K.; investigation, M.F.; resources, M.F. and N.Z.; data curation, T.O.; writing—original draft preparation, M.F., I.F., O.K., A.A., and A.R.; writing—review and editing, A.A., M.F., and A.R.; visualization, N.Z., I.F. and O.K.; supervision, A.A.; project administration, A.A. and M.F.; funding acquisition, A.R. All authors have read and agreed to the published version of the manuscript.

Funding

This work is not supported fully or partially by any funding organization or agency.

Data Availability Statement

The original contributions presented in this study are included in the article. Future inquiries can be directed to the corresponding author.

Acknowledgments

During the preparation of this manuscript, the authors used the large language model Gemini 2.5 Flash (developed by Google) for text editing (grammar, structure, spelling, punctuation, and formatting). The authors have reviewed and edited the output and take full responsibility for the content of this publication.

Conflicts of Interest

The authors declare no conflicts of interest.

References

  1. Wang, F.; Wang, C.; Song, S.; Xie, S.; Kang, F. Study on starch content detection and visualization of potato based on hyperspectral imaging. Food Sci. Nutr. 2021, 9, 4420–4430. [Google Scholar] [CrossRef]
  2. Tsedaley, B. Late Blight of Potato (Phytophthora infestans) Biology, Economic Importance and its Management Approaches. J. Biol. Agric. Healthc. 2014, 4, 215–225. [Google Scholar]
  3. Bulgakov, V.; Holovach, I.; Ruzhylo, Z.; Fedosiy, I.; Ihnatiev, Y.; Olt, J. Theory of oscillations performed by tools in spiral potato separator. Agron. Res. 2020, 18, 38–52. [Google Scholar] [CrossRef]
  4. Dong, S.; Zhou, S. Potato late blight caused by Phytophthora infestans: From molecular interactions to integrated management strategies. J. Integr. Agric. 2022, 21, 3456–3466. [Google Scholar] [CrossRef]
  5. Bimsteine, G. Phytophthora infestans Populations in Latvia. Proc. Latv. Acad. Sci. Sect. B Nat. Exact Appl. Sci. 2008, 62, 223–226. [Google Scholar] [CrossRef]
  6. Domazakis, E.; Lin, X.; Aguilera-Galvez, C.; Wouters, D.; Bijsterbosch, G.; Wolters, P.J.; Vleeshouwers, V.G.A.A. Effectoromics-based identification of cell surface receptors in potato. Methods Mol. Biol. 2017, 1578, 337–353. [Google Scholar] [CrossRef] [PubMed]
  7. Duan, Y.; Duan, S.; Xu, J.; Zheng, J.; Hu, J.; Li, X.; Li, B.; Li, G.; Jin, L. Late blight resistance evaluation and genome-wide assessment of genetic diversity in wild and cultivated potato species. Front. Plant Sci. 2021, 12, 710468. [Google Scholar] [CrossRef]
  8. Martynov, V.; Chizhik, V. Genetics of pathogen–host interaction by the example of potato late blight disease. Russ. J. Genet. 2020, 56, 261–268. [Google Scholar] [CrossRef]
  9. Taktaev, B.; Podberezko, I.; Janse, L. Field Evaluation of Ukrainian Potato Varieties for Resistance to Fungal and Bacterial Pathogens in the Polissya Area of Ukraine. Res. Agric. Sci. 2024, 55, 67–78. [Google Scholar] [CrossRef]
  10. Bulgakov, V.; Pascuzzi, S.; Ivanovs, S.; Ruzhylo, Z.; Fedosiy, I.; Santoro, F. A new spiral potato cleaner to enhance the removal of impurities and soil clods in potato harvesting. Sustainability 2020, 12, 9788. [Google Scholar] [CrossRef]
  11. Sonets, T.; Furdyha, M. Characteristics of potato varieties according to adaptability parameters researched in the forest zone of Ukraine. AgroLife Sci. J. 2022, 11, 174–182. [Google Scholar] [CrossRef]
  12. Ilchuk, R.; Zaviriukha, P.; Andrushko, O.; Kosylovych, H.; Holiachuk, Y. Creation of potato hybrids (Solanum tuberosum) progeny with high field resistance against phytophotorosis. Sci. Horiz. 2023, 26, 22–31. [Google Scholar] [CrossRef]
  13. Zarzyńska, K.; Trawczyński, C.; Pietraszko, M. Environmental and Agronomical Factors Limiting Differences in Potato Yielding between Organic and Conventional Production System. Agriculture 2023, 13, 901. [Google Scholar] [CrossRef]
  14. Kirk, W.; Wharton, P.; Hammerschmidt, R.; Abuel Samen, F.; Douches, D. Late Blight. In Michigan State University Extension Bulletin E–2945; Michigan State University: East Lansing, MI, USA, 2013; Available online: https://archive.lib.msu.edu/DMC/extension_publications/e2945/E2945-2004.PDF (accessed on 21 February 2025).
  15. Aboltins, A.; Rucins, A.; Bobos, I.; Fedosiy, I.; Komar, O.; Zavadska, O.; Zavgorodniy, V. Evaluation of Productivity and Morphological Variability of Asparagus Cowpea (Vigna unguiculata (L.) Walp. subsp. sesquipedalis (L.) Verdc.) Cultivars Intended for Vegetable Production. Agronomy. Agronomy 2024, 14, 2906. [Google Scholar] [CrossRef]
  16. Fedosiy, I.; Bobos, I.; Zavadska, O.; Komar, O.; Tonkha, O.; Furdyha, M.; Olt, J. Research into properties of blue melilot and fenugreek cultivated using different sowing times. Agron. Res. 2022, 20, 103–123. [Google Scholar] [CrossRef]
  17. Bondus, R.; Kharchenko, Y.; Furdyga, M.; Mishchenko, L.; Podhaietsky, A.; Hordienko, V.; Hordienko, O.; Koval, V. Polymorphism of the available potato gene pool for resistance to abiotic and biotic factors of the environment and its practical use. J. V.N. Karazin Kharkiv Natl. Univ. Ser. Biol. 2022, 38, 4–13. [Google Scholar] [CrossRef]
  18. Zavadska, O.; Bobos, I.; Fedosiy, I.; Podpryatov, G.; Olt, J. Studying the storage and processing quality of the carrot taproots (Daucus carota) of various hybrids. Agron. Res. 2020, 18, 2271–2284. [Google Scholar] [CrossRef]
  19. Paluchowska, P.; Śliwka, J.; Yin, Z. Late blight resistance genes in potato breeding. Planta 2022, 255, 127–146. [Google Scholar] [CrossRef]
  20. Bulgakov, V.; Kuvachov, V.; Nozdrovický, L.; Findura, P.; Smolinskyi, S.; Ihnatiev, Y. The study of movement of the wide span tractor-based field machine unit with power method of its control. Acta Technol. Agric. 2018, 21, 160–165. [Google Scholar] [CrossRef]
  21. Shandil, R.K.; Chakrabarti, S.K.; Singh, B.P.; Sharma, S.; Sundaresha, S.; Kaushik, S.K.; Bhatt, A.K.; Sharma, N.N. Genotypic background of the recipient plant is crucial for conferring RB gene mediated late blight resistance in potato. BMC Genet. 2017, 18, 22. [Google Scholar] [CrossRef]
  22. Ilchuk, R.; Ilchuk, Y.; Koval, A.; Mialkovsky, R.; Holovatiuk, R. Analysis of potato source material-main stage of selection work. Ukr. J. Ecol. 2021, 11, 70–76. [Google Scholar]
  23. Nasr-Esfahani, M. An IPM plan for early blight disease of potato Alternaria solani sorauer and A. alternata (Fries.) Keissler. Arch. Phytopathol. Plant Prot. 2022, 55, 785–796. [Google Scholar] [CrossRef]
  24. Dey, T.; Saville, A.; Myers, K.; Tewari, S.; Cooke, D.E.L.; Tripathy, S.; Fry, W.E.; Ristaino, J.B.; Guha Roy, S. Large sub-clonal variation in Phytophthora infestans from recent severe late blight epidemics in India. Sci. Rep. 2018, 8, 4429. [Google Scholar] [CrossRef] [PubMed]
  25. Pysarenko, N.; Furdyha, M.; Zakharchuk, N.; Hordiienko, V. Resistance status of potato varieties to early blight under changing climate conditions in Polissia, Ukraine. Sci. Prog. Innov. 2025, 28, 87–95. [Google Scholar] [CrossRef]
  26. Blossei, J.; Uptmoor, R.; Thieme, R.; Nachtigall, M.; Hammann, T. Insights into the genetic basis of the pre-breeding potato clones developed at the Julius Kühn Institute for high and durable late blight resistance. Plant Genet. Resour. 2021, 19, 461–464. [Google Scholar] [CrossRef]
  27. Karki, H.S.; Jansky, S.H.; Halterman, D.A. Screening of Wild Potatoes Identifies New Sources of Late Blight Resistance. Plant Dis. 2021, 105, 368–376. [Google Scholar] [CrossRef]
  28. Rogozina, E.V.; Beketova, M.P.; Muratova, O.A.; Kuznetsova, M.; Khavkin, E.E. Stacking resistance genes in multiparental interspecific potato hybrids to anticipate late blight outbreaks. Agronomy 2021, 11, 115. [Google Scholar] [CrossRef]
  29. Rogozina, E.V.; Gurina, A.A.; Chalaya, N.A.; Zoteyeva, N.M.; Kuznetsova, M.A.; Beketova, M.P.; Muratova, O.A.; Sokolova, E.A.; Drobyazina, P.E.; Khavkin, E.E. Diversity of Late Blight Resistance Genes in the VIR Potato Collection. Plants 2023, 12, 273. [Google Scholar] [CrossRef]
  30. Samiha, T.K.; Rahman, M.A.; Islam, S.; Jalal, N.; Islam, A.; Nahiyan, A.S.M. Exploring potato diversity: A comprehensive genetic and phenotypic analysis of quantitative and qualitative traits. Czech J. Genet. Plant Breed. 2024, 60, 126–135. [Google Scholar] [CrossRef]
  31. Keijzer, P.; van Bueren, E.T.L.; Engelen, C.J.M.; Hutten, R.C.B. Breeding late blight resistant potatoes for rganic farming–a collaborative model of participatory plant breeding: The Bioimpuls project. Potato Res. 2021, 65, 349–377. [Google Scholar] [CrossRef]
  32. Witek, K.; Jupe, F.; Witek, A.I.; Baker, D.; Clark, M.D.; Jones, J.D. Accelerated cloning of a potato late blight-resistance gene using RenSeq and SMRT sequencing. Nat. Biotechnol. 2016, 34, 656–660. [Google Scholar] [CrossRef] [PubMed]
  33. Han, Y.; Han, Z.; Lu, Y.; Han, Z.; Zhang, J.; Zhang, J.; He, H. Expression and analysis of StNR and StNiRs, key enzyme genes of nitrogen assimilation in potato (Solanum tuberosum L.) with different nitrogen efficiencies. Czech J. Genet. Plant Breed. 2025, in press. [Google Scholar] [CrossRef]
  34. Raja, S.; Verma, M.R.; Dubey, R.K.; Desmukh, M.R.; Verma, D.; Govindakrishnan, P.M.; Satpathy, P.C.; Singh, D.; Kumar, S.; Khaiwal, R.; et al. Genotype by Environment Interaction and Yield Stability of Potato Cultivars under Tropical Conditions. J. Agric. Sci. Technol. 2018, 20, 583–595. [Google Scholar]
  35. Peymani, N.; Golparvar, A.R.; Nasr-Esfahani, M.; Mahmoudi, E.; Shams, M. Candidate marker genes and enzymes for selection of potato with resistance to early blight, caused by Alternaria alternata. Phytopathol. Mediterr. 2022, 1, 11–26. [Google Scholar] [CrossRef]
  36. Ghislain, M.; Byarugaba, A.A.; Magembe, E.; Njoroge, A.; Rivera, C.; Rom’an, M.L.; Tovar, J.C.; Gamboa, S.; Forbes, G.A.; Kreuze, J.F.; et al. Stacking three late blight resistance genes from wild species directly into African highland potato varieties confers complete field resistance to local blight races. Plant Biotechnol. J. 2019, 17, 1119–1129. [Google Scholar] [CrossRef]
  37. Bobos, I.; Komar, O.; Fedosiy, I.; Havrys, I.; Retman, M. Research on the impact of planting schemes on the trait variability of Vigna varieties (Vigna unguiculata (L.) Walp. subsp. sesquipedalis (L.) Verdc.). Sci. Horiz. 2024, 27, 54–63. [Google Scholar] [CrossRef]
  38. Tonkha, O.; Menshov, O.; Bykova, O.; Pikovska, O.; Fedosiy, I. Magnetic methods application for the physical and chemical properties assessment of Ukraine soil. In Proceedings of the XIV International Scientific Conference “Monitoring of Geological Processes and Ecological Condition of the Environment”, Kyiv, Ukraine, 10–13 November 2020; European Association of Geoscientists & Engineers: Bunnik, The Netherlands, 2020; Volume 1, pp. 1–5. [Google Scholar] [CrossRef]
  39. Pysarenko, N.; Zakharchuk, N.; Furdyha, M.; Oliinyk, T. Influence of weather conditions in Central Polissia, Ukraine, on the expression of quality indicators in potato cultivars of different maturity groups. Sci. Horiz. 2024, 27, 51–62. [Google Scholar] [CrossRef]
  40. Fry, W.E.; Apple, A.E.; Bruhn, J.A. Evaluation of potato late blight forecasts modified to incorporate host resistance and fungicide weathering. Phytopathology 1983, 73, 1054–1059. [Google Scholar] [CrossRef]
  41. Angmo, D.; Sharma, S.P.; Kalia, A. Breeding strategies for late blight resistance in potato crop: Recent developments. Mol. Biol. Rep. 2023, 50, 7879–7891. [Google Scholar] [CrossRef]
  42. Van Esse, H.P.; Reuber, T.L.; van der Does, D. Genetic modification to improve disease resistance in crops. New Phytol. 2020, 225, 70–86. [Google Scholar] [CrossRef]
  43. Katembo, A.V.; Katswangene, P.K.; Odimba, D.O.; Wallis, N.Z. Potato Breeding for Late Blight Resistance in Central and East Africa. Eur. J. Agric. Food Sci. 2024, 6, 1–7. [Google Scholar] [CrossRef]
  44. Su, Y.; Viquez-Zamora, M.; den Uil, D.; Sinnige, J.; Kruyt, H.; Vossen, J.; van Heusden, S. Introgression of genes for resistance against Phytophthora infestans in diploid potato. Am. J. Potato Res. 2020, 97, 33–42. [Google Scholar] [CrossRef]
  45. Mahfouze, H.A.; El-Sayed, O.E. Comparative analysis of late blight resistance R genes and their coding proteins in some potato genotypes. Czech J. Genet. Plant Breed. 2022, 58, 10–20. [Google Scholar] [CrossRef]
  46. Eckerstorfer, M.F.; Engelhard, M.; Heissenberger, A.; Simon, S.; Teichmann, H. Plants developed by new genetic modification techniques—Comparison of existing regulatory frameworks in the EU and non-EU countries. Front. Bioeng. Biotechnol. 2019, 7, 26. [Google Scholar] [CrossRef] [PubMed]
  47. Jin, S.; Li, W.; Dawson, I.G.; Clark, B.; Chen, S.; Frewer, L.J. Consumer responses to genetically modified food in China: The influence of existing general attitudes, affect and perceptions of risks and benefits. Food Qual. Prefer. 2022, 99, 104543. [Google Scholar] [CrossRef]
  48. Janiszewska, M.; Sobkowiak, S.; Stefańczyk, E.; Śliwka, J. Population structure of Phytophthora infestans from a single location in Poland over a long period of time in context of weather conditions. Microb. Ecol. 2021, 81, 746–757. [Google Scholar] [CrossRef]
  49. Puidet, B.; Koppel, M.; Kiiker, R. Genetic Diversity and Reproduction Trends of Phytophthora infestans in Estonia: EU_41_A2 Detected without an Indication of Clonal Reproduction. J. Fungi 2024, 10, 233. [Google Scholar] [CrossRef]
  50. Ludwiczewska, M.; Janiszewska, M.; Yin, Z.; Śliwka, J. Populations of Phytophthora infestans in northern and eastern Europe. Eur. J. Plant Pathol. 2025, 171, 81–95. [Google Scholar] [CrossRef]
  51. Dar, W.A.; Parry, F.A.; Bhat, B.A. Potato late blight disease prediction using meteorological parameters in Northern Himalayas of India. J. Agrometeorol. 2021, 23, 310–315. [Google Scholar] [CrossRef]
  52. Priya, R.S.; Yuvaraj, M.; Sharmila, R.; Jagathjothi, N.; Saranya, M.; Suganthi, N.; Sivaji, M. Effects of Climate Change on Plant Diseases. In Plant Quarantine Challenges Under Climate Change Anxiety; Springer Nature: Cham, Switzerland, 2024; pp. 183–225. [Google Scholar] [CrossRef]
  53. Abuley, I.K.; Hansen, J.G. Characterization of the level and type of resistance of potato varieties to late blight (Phytophthora infestans). Phytopathology 2022, 112, 1917–1927. [Google Scholar] [CrossRef]
  54. Gastelo, M.; Bastos, C.; Ortiz, R.; Blas, R. Environmental impact and phenotypic stability in potato clones resistant to late blight Phytophthora infestans (Mont) de Bary, resilient to climate change in Peru. PLoS ONE 2025, 20, e0318255. [Google Scholar] [CrossRef]
  55. Brown-Donovan, K.M.; Porter, G.A.; Tan, E.H. Late blight resistance profiles of elite potato germplasm in the United States. Am. J. Potato Res. 2021, 98, 232–245. [Google Scholar] [CrossRef]
  56. Ivanov, A.A.; Ukladov, E.O.; Golubeva, T.S. Phytophthora infestans: An overview of methods and attempts to combat late blight. J. Fungi 2021, 7, 1071. [Google Scholar] [CrossRef] [PubMed]
  57. Moon, K.B.; Park, S.J.; Park, J.S.; Lee, H.J.; Shin, S.Y.; Lee, S.M.; Kim, H.S. Editing of StSR4 by Cas9-RNPs confers resistance to Phytophthora infestans in potato. Front. Plant Sci. 2022, 13, 997888. [Google Scholar] [CrossRef]
  58. Berindean, I.V.; Taoutaou, A.; Rida, S.; Ona, A.D.; Stefan, M.F.; Costin, A.; Muntean, L. Modern Breeding Strategies and Tools for Durable Late Blight Resistance in Potato. Plants 2024, 13, 1711. [Google Scholar] [CrossRef]
  59. Wang, N.; Nie, J.; Wu, J.; Qi, Y.; Li, H.; Yang, Z.; Tian, Z. Regulation of potato late blight resistance genes by different promoters and translation regulators. Hortic. Adv. 2025, 3, 12. [Google Scholar] [CrossRef]
  60. Sood, S.; Bhardwaj, V.; Bairwa, A.; Dalamu; Sharma, S.; Sharma, A.K.; Kumar, V. Genome-wide association mapping and genomic prediction for late blight and potato cyst nematode resistance in potato (Solanum tuberosum L.). Front. Plant Sci. 2023, 14, 1211472. [Google Scholar] [CrossRef]
Figure 1. The average monthly air temperature within the research area.
Figure 1. The average monthly air temperature within the research area.
Agronomy 15 02431 g001
Figure 2. The amount of precipitation during the period from May to August.
Figure 2. The amount of precipitation during the period from May to August.
Agronomy 15 02431 g002
Figure 3. The classification of potato breeding material according to the degree of resistance to late blight depends on the infection index.
Figure 3. The classification of potato breeding material according to the degree of resistance to late blight depends on the infection index.
Agronomy 15 02431 g003
Figure 4. Testing potato hybrids: (a) on an artificial infectious background in field conditions; (b) stem blight form of late blight; (c) potato leaf and stem late blight damage on the unstable hybrid 15.27/9 Innovator/Gourmet (left) and the resistant hybrid 14.16/16 Shchedryk/Bellarosa (right).
Figure 4. Testing potato hybrids: (a) on an artificial infectious background in field conditions; (b) stem blight form of late blight; (c) potato leaf and stem late blight damage on the unstable hybrid 15.27/9 Innovator/Gourmet (left) and the resistant hybrid 14.16/16 Shchedryk/Bellarosa (right).
Agronomy 15 02431 g004
Figure 5. Tubers of potato hybrid: (a) 11.29/70 Slovianka/Povinj partially infected with sporulation of Phytophthora infestans (Mont.) de Bary; (b) 15.18/8 Temptation/Verdi heavily infected with sporulation of the oomycete Phytophthora infestans (Mont.) de Bary.
Figure 5. Tubers of potato hybrid: (a) 11.29/70 Slovianka/Povinj partially infected with sporulation of Phytophthora infestans (Mont.) de Bary; (b) 15.18/8 Temptation/Verdi heavily infected with sporulation of the oomycete Phytophthora infestans (Mont.) de Bary.
Agronomy 15 02431 g005
Figure 6. Box plot illustrating the above-ground resistance to phytophthorosis of potato hybrids of different maturity groups under artificial infection background conditions: (a) first set of hybrids, 2019; (b) first set of hybrids, 2020; (c) second set of hybrids, 2020; (d) second set of hybrids, 2021 =; (e) third set of hybrids, 2021; (f) third set of hybrids, 2022; (g) fourth set of hybrids, 2022; (h) fourth set of hybrids, 2023.
Figure 6. Box plot illustrating the above-ground resistance to phytophthorosis of potato hybrids of different maturity groups under artificial infection background conditions: (a) first set of hybrids, 2019; (b) first set of hybrids, 2020; (c) second set of hybrids, 2020; (d) second set of hybrids, 2021 =; (e) third set of hybrids, 2021; (f) third set of hybrids, 2022; (g) fourth set of hybrids, 2022; (h) fourth set of hybrids, 2023.
Agronomy 15 02431 g006
Figure 7. Box plot illustrating the resistance of potato hybrids of different maturity groups to late blight: (a) first set of hybrids, 2019; (b) first set of hybrids, 2020; (c) second set of hybrids, 2020; (d) second set of hybrids, 2021; (e) third set of hybrids, 2021; (f) third set of hybrids, 2022; (g) fourth set of hybrids, 2022; (h) fourth set of hybrids, 2023.
Figure 7. Box plot illustrating the resistance of potato hybrids of different maturity groups to late blight: (a) first set of hybrids, 2019; (b) first set of hybrids, 2020; (c) second set of hybrids, 2020; (d) second set of hybrids, 2021; (e) third set of hybrids, 2021; (f) third set of hybrids, 2022; (g) fourth set of hybrids, 2022; (h) fourth set of hybrids, 2023.
Agronomy 15 02431 g007aAgronomy 15 02431 g007b
Figure 8. Potato varieties selected from crossbreeding combinations and submitted for state variety testing: (a) Mirami; (b) Solomiya; and (c) Sofia.
Figure 8. Potato varieties selected from crossbreeding combinations and submitted for state variety testing: (a) Mirami; (b) Solomiya; and (c) Sofia.
Agronomy 15 02431 g008
Table 1. Characteristics of parental forms by groups of maturity and resistance to late blight.
Table 1. Characteristics of parental forms by groups of maturity and resistance to late blight.
Set of CombinationsFemale ♀Male ♂
15.47/62Mezhyrichka 11/Belarusian 3
EarlyLate
Not stablestand
15.7/15Dobrochin/Well
Average growthLate
Not a brushstand
11.29/70Slavyanka/Flood
Mid-ripeningEarly
standNot stable
14.10-5Heather/Milovice
Earlylate
medium-strengthstand
13.36c40Stream/09.202c.79
EarlyLate
medium-strengthresistant
15.27/9Innovator/Gourmet
Mid-ripeningMid-ripening
standstand
15.10/10Fantasy/Verdi
Average growthMid-ripening
medium-strengthmedium-strength
15.5/12Verkhovyna/Unita
Mid-ripeningMid-ripening
standstand
15.2/1Bellarosa/Fantasy
EarlyAverage growth
Not stablemedium-strength
15.18/8Temptation/Verdi
Mid-ripeningMid-ripening
Not stablestand
13.62/78Kalynivska/Aria
Medium-lateearly
standnot stable
12.30/3Mozart/Glow
Mid-ripeningLate
medium-strengthstand
12.24/14Kuroda/Shchedryk
Medium-lateearly
standmedium-strength
12.10/40Virinea/Stream
Mid-ripeningEarly
standmedium-strength
15.1/22Neighbourhood/Podolia
Mid-ripeningearly
standnot stable
14.16/16Shchedryk/Bellarosa
earlyearly
medium-strengthnot stable
12.9/78Orchid/Fun
Mid-ripeningMid-ripening
standstand
24.12|6Kuroda/Shchedryk
Medium-lateearly
standmedium-strength
12/291404/21c31/Bellarosa
earlyearly
resistantnot stable
13.55/2Chervona Ruta/Bellarosa
Medium-lateearly
standnot stable
Table 2. Evaluation of potato leaf resistance to late blight in hybrids of different maturity groups (laboratory analysis).
Table 2. Evaluation of potato leaf resistance to late blight in hybrids of different maturity groups (laboratory analysis).
Maturity Groups of HybridsYear of StudyNumber of SamplesHybrids with Resistance, %
High (8–9 Points)Low (1–3 Points)
Assessment:Assessment:
1st2nd3rd1st2nd3rd
First set of hybrids
Early and mid-early201912510041.2-017.5-
202011873.826.202.523.899.1
Mid-season201914410068.725.80016.1
202013994.750.00.004.692.5
Mid-late and late201912610088.130.3008.0
202012299.262.3000.890.9
Second set of hybrids
Early and mid-early20209195.339.64.8013.167.8
20217310010000082.2
Mid-season202013810064.013.701.629.8
202111398.296.51.80064.7
Mid-late and late2020 84.779.831.7009.4
2021 10098.17.10021.2
Third set of hybrids
Early and mid-early20218110096.25.20076.8
20228198.88414.80040.7
Mid-season202111710095.712.40053.8
202211799.189.827.40029.9
Mid-late and late202124810098.315.20034.8
202224399.693.427.20017.3
Fourth set of hybrids
Early and mid-early202213992.656.49.305.743.8
20231251001004.00050.4
Mid-season202219698.782.08.401.248.3
202319610099.56.10029.6
Mid-late and late202224110079.615.40035.2
20232011001002.0008.5
Note: «-» For hybrids of the early and mid-early maturity groups, the third set of data is missing due to natural leaf wilting.
Table 3. Resistance of the above-ground mass to late blight of the potato hybrids of different maturity groups under conditions of artificial infectious background.
Table 3. Resistance of the above-ground mass to late blight of the potato hybrids of different maturity groups under conditions of artificial infectious background.
Maturity Groups of HybridsYear of StudyNumber of SamplesMin–MaxAverage Resistance ScoreDistribution of Hybrids, %, by Leaf Resistance Score, Points
987531
First set of hybrids
Early and mid-early20191255–97.7 ± 0.52 a2.958.326.912.200
20201181.3–7.75.1 ± 1.14 a0.02.623.564.36.13.5
Mid-season20191443.7–9.07.7 ± 1.0 a8.863.221.07.000
20201393.0–8.36.3 ± 0.92 a012.342.144.70.90
Mid-late and late20191265.3–9.08.0 ± 0.18 a21.559.515.73.300
20201223.3–8.36.6 ± 0.97 a015.747.137.200
Second set of hybrids
Early and mid-early2020913.4–86.0 ± 0.83 a08.642.848.600
2021736.7–8.77.4 ± 0.39 a2.831.565.7000
Mid-season20201384.0–8.77.0 ± 0.80 a0.936.345.217.600
20211135.3–8.77.5 ± 0.61 a1.953.942.30.000
Mid-late and late20202235.0–8.77.6 ± 0.68 a3.151.641.43.900
20211566.7–8.77.9 ± 0.58 a7.185.87.1000
Third set of hybrids
Early and mid-early2021815.0–8.77.4 ± 0.68 a4.029.465.31.300
2022814.3–8.86.9 ± 0.73 a4.024.056.016.000
Mid-season20211176.5–8.97.8 ± 0.47 a10.433.151.97.500
20221174.3–9.07.4 ± 0.81 a7.572.216.2000
Mid-late and late20212486.5–9.07.9 ± 0.45 a11.672.216.2000
20222434.5–9.07.5 ± 0.84 a8.535.552.63.400
Fourth set of hybrids
Early and mid-early20221391.5–8.26.2 ± 1.19 a013.943.541.700.9
20231256.0–8.77.2 ± 0.47 a2.839.850.96.500
Mid-season20221962.7–8.77.0 ± 1.08 a4.731.938.424.40.60
20231965.3–9.07.4 ± 0.69 a5.852.939.51.700
Mid-late and late20222412.7–9.07.4 ± 1.18 a10.146.334.09.00.50
20232016.0–8.77.9 ± 0.51 a2.182.414.90.500
Note: significant differences (p < 0.05) between mean values within a row, as determined by Tukey’s honest significant difference (HSD) multiple-range test with Bonferroni correction, are denoted by lowercase letter.
Table 4. Evaluation of resistance of the potato hybrid tubers of different maturity groups to late blight.
Table 4. Evaluation of resistance of the potato hybrid tubers of different maturity groups to late blight.
Maturity Groups of HybridsYear of StudyNumber of SamplesMin–MaxAverage Resistance ScoreDistribution of Hybrids, %, by Tuber Resistance ScoresHybrids that Combine High (8–9 Points) Leaf and Tuber Resistance, %
987531
First set of hybrids
Early and mid-early2019261–96.2 ± 1.46 a26.919.211.511.526.93.940.0
20201–96.3 ± 1.40 a42.311.5015.423.17.70.0
Mid-season2019303–97.4 ± 1.12 a46.723.310.0020.0041.91
20201–97.0 ± 1.52 a53.310.06.76.720.03.30.0
Mid-late and late2019401–96.4 ± 1.40 a22.527.515.010.020.0048.76
20201–95.4 ± 1.33 a20.015.010.015.030.010.02.04
Second set of hybrids
Early and mid-early2020381–97.3 ± 1.42 a60.510.52.62.621.22.63.41
20213–97.7 ± 1.17 a73.72.62.62.618.502.27
Mid-season2020331–97.4 ± 1.51 a60.86.19.09.06.19.024.30
20213–97.4 ± 1.10 a57.79.09.06.118.2016.67
Mid-late and late2020261–95.3 ± 1.38 a38.407.87.823.023.025.50
20211–96.3 ± 1.37 a42.315.415.419.17.87.828.57
Third set of hybrids
Early and mid-early2021261–96.8 ± 1.50 a50.011.63.87.726.9024.0
20223–96.5 ± 1.03 a76.9003.87.711.622.58
Mid-season2021371–96.1 ± 1.36 a43.35.45.410.829.75.430.7
20221–96.8 ± 1.50 a59.52.72.78.121.65.435.0
Mid-late and late2021421–96.4 ± 1.39 a50.04.84.87.128.54.851.21
20211–96.8 ± 1.51 a50.016.70.02.428.52.417.54
Fourth set of hybrids
Early and mid-early2022431–97.6 ± 1.59 a76.70.02.32.314.04.714.75
20231–96.2 ± 1.36 a51.12.34.77.018.616.35.45
Mid-season2022511–97.7 ± 1.57 a74.53.90.05.911.83.928.9
20231–96.4 ± 1.44 a52.92.03.97.823.59.821.2
Mid-late and late2022361–97.3 ± 1.55 a72.2002.819.45.642.79
20231–97.6 ± 1.59 a72.22.82.88.35.68.330.0
Note: significant differences (p < 0.05) between mean values within a row, as determined by Tukey’s honest significant difference (HSD) multiple-range test with Bonferroni correction, are denoted by lowercase letter.
Table 5. Characterization of potato hybrid combinations for late blight resistance (average for 2020–2023).
Table 5. Characterization of potato hybrid combinations for late blight resistance (average for 2020–2023).
Set of CombinationsOriginNumber of the First-Year Seedlings, pcsNumber of Late Blight-Resistant Hybrids with Leaf Resistance of 8–9 Points, %Number of Hybrids That Combine High (8–9 Points) Leaf and Tuber Resistance, %
TotalIncluding EarlyTotalIncluding Early
15.47/62Mezhirichka 11/Belarusian 35620.170.1700
15.7/15Dobrochin/Krinitsa8240.120.1200
11.29/70Slovyanka/Povin402.52.52.52.5
14.10-5Veresivka/Milovitsa6130.330.330.330.33
13.36c40Strumok/09.202s.7928000.1100.110
15.27/9Innovator/Gurman4810.410.410.200.20
15.10/10Fantasiya/Verdi8220.4800.120
15.5/12Verkhovyna/Unita6700.590.2900
15.2/1Bellarosa/Fantasiya10700.460.460.180.18
15.18/8Spokusa/Verdi1061.8801.880
13.62/78Kalynivska/Aria5501.0900.540
12.30/3Mozart/Zarevo6001.000.330
12.24/14Kuroda/Shchedrik35000.17000
12.10/40Virinea/Strumok2004.00.502.00.50
15.1/22Okolitsa/Podolia6940.570.140.570.14
14.16/16Shchedryk/Bellarosa5840.3400.340
12.9/78Orkhideya/Zabava7630.260.130.260.13
12/2416Kuroda/Shchedrik8100.2400.240
12/291404/21c31/Bellarosa1583.790.633.790.63
13.55/2Chervona ruta/Bellarosa4100.48000
Disclaimer/Publisher’s Note: The statements, opinions and data contained in all publications are solely those of the individual author(s) and contributor(s) and not of MDPI and/or the editor(s). MDPI and/or the editor(s) disclaim responsibility for any injury to people or property resulting from any ideas, methods, instructions or products referred to in the content.

Share and Cite

MDPI and ACS Style

Rucins, A.; Aboltins, A.; Furdyha, M.; Zakharchuk, N.; Oliynik, T.; Fedosiy, I.; Komar, O. Breeding Evaluation of Potato Hybrids for Late Blight Resistance. Agronomy 2025, 15, 2431. https://doi.org/10.3390/agronomy15102431

AMA Style

Rucins A, Aboltins A, Furdyha M, Zakharchuk N, Oliynik T, Fedosiy I, Komar O. Breeding Evaluation of Potato Hybrids for Late Blight Resistance. Agronomy. 2025; 15(10):2431. https://doi.org/10.3390/agronomy15102431

Chicago/Turabian Style

Rucins, Adolfs, Aivars Aboltins, Mykola Furdyha, Natalya Zakharchuk, Tetyana Oliynik, Ivan Fedosiy, and Oleksandr Komar. 2025. "Breeding Evaluation of Potato Hybrids for Late Blight Resistance" Agronomy 15, no. 10: 2431. https://doi.org/10.3390/agronomy15102431

APA Style

Rucins, A., Aboltins, A., Furdyha, M., Zakharchuk, N., Oliynik, T., Fedosiy, I., & Komar, O. (2025). Breeding Evaluation of Potato Hybrids for Late Blight Resistance. Agronomy, 15(10), 2431. https://doi.org/10.3390/agronomy15102431

Note that from the first issue of 2016, this journal uses article numbers instead of page numbers. See further details here.

Article Metrics

Back to TopTop