Straw-Increased C/N Ratio Mitigates Nitrate Leaching in Fluvial Soil by Enhancing Microbial N Pool and Reducing N Mineralization
Abstract
1. Introduction
2. Materials and Methods
2.1. Experimental Soil
2.2. Experimental Design
2.3. Soil and Leachate Properties Analysis
2.4. Soil Microbial Biomass
2.5. Soil Enzyme Activities
2.6. Soil C and N Transformation Rates
2.7. Soil 16S rRNA, 18S rRNA and N Functional Genes
2.8. Statistical Analysis
3. Results
3.1. NH4+-N and NO3−-N in Soil and Leachate
3.2. Soil Total N, Microbial Biomass N and Labeled Fertilizer 15N Distribution
3.3. Soil Dissolved Organic C and N and Their Related Transformation Rates
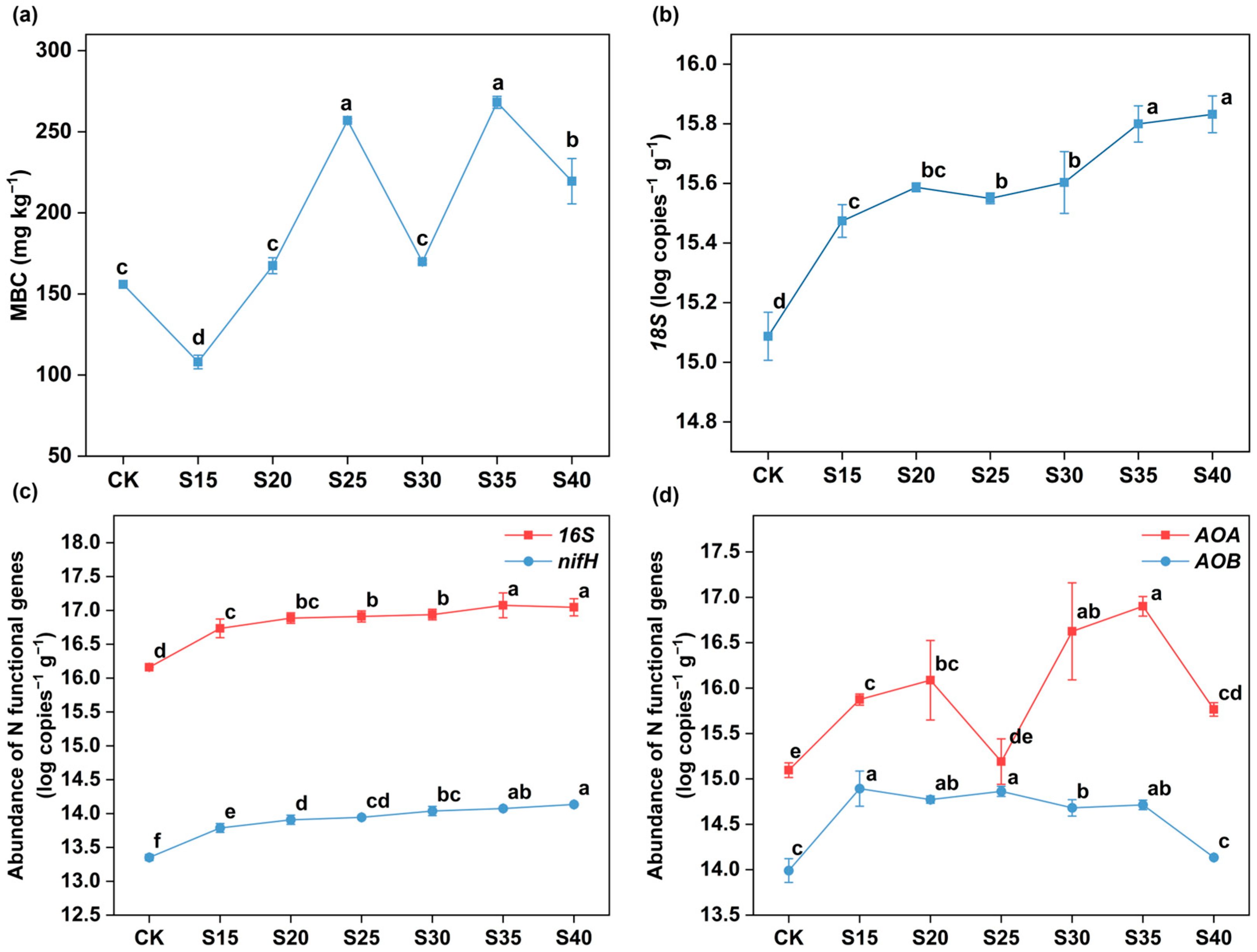
3.4. Soil Microbial Biomass C and Abundance of N-Functional Genes
3.5. Soil Enzyme Activities Related to C and N Transformations
3.6. Principal Component Analysis of Soil Indicators
3.7. Structural Equation Modeling of Key Factors Affecting NO3−-N Leaching
4. Discussion
4.1. Effects of Straw-Increased C/N Ratio on Enhancing Soil N Storage and Minimizing N Losses
4.2. Effects of Increasing C/N Ratio on C and N Transformation Enzymes
4.3. Effects of Increasing the C/N Ratio on N Transformation Rates
5. Conclusions
Supplementary Materials
Author Contributions
Funding
Data Availability Statement
Acknowledgments
Conflicts of Interest
References
- Ascott, M.J.; Gooddy, D.C.; Wang, L.; Stuart, M.E.; Lewis, M.A.; Ward, R.S.; Binley, A.M. Global patterns of nitrate storage in the vadose zone. Nat. Commun. 2017, 8, 1416. [Google Scholar] [CrossRef]
- Dong, Y.; Yang, J.L.; Zhao, X.R.; Yang, S.H.; Mulder, J.; Dörsch, P.; Zhang, G.L. Nitrate leaching and N accumulation in a typical subtropical red soil with N fertilization. Geoderma 2022, 407, 115559. [Google Scholar] [CrossRef]
- Ju, X.T. The concept and meanings of nitrogen fertilizer availability ratio-Discussing misunderstanding of traditional nitrogen use efficiency. Acta Pedol. Sin. 2014, 51, 921–933. [Google Scholar]
- Zhang, Y.B.; Liu, S.Y.; Wang, J.T.; Di, H.J.; Han, L.L.; Li, P.P.; Shen, J.P.; Han, B.; Zhang, L.M. The effects and mechanisms of deep straw incorporation and denitrifying bacterial agents on mitigating nitrate leaching and N2O emissions in four soil types in the North China Plain. Agric. Ecosyst. Environ. 2024, 366, 108958. [Google Scholar] [CrossRef]
- Huang, T.; Ju, X.T.; Yang, H. Nitrate leaching in a winter wheat-summer maize rotation on a calcareous soil as affected by nitrogen and straw management. Sci. Rep. 2017, 7, 42247. [Google Scholar] [CrossRef]
- Luo, L.; Sun, T.R.; Pan, Z.Z.; Lv, J.; Peňuelas, J.; Sardans, J.; Xiao, K.Q.; Liu, Z.; Zhu, Y.G. Rethinking organic carbon sequestration in agricultural soils from the elemental stoichiometry perspective. Glob. Change Biol. 2025, 31, e70319. [Google Scholar] [CrossRef] [PubMed]
- Qian, R.; Guo, R.; Yang, Q.X.; Naseer, M.A.; Sun, B.P.; Wang, L.L.; Zhang, J.; Ren, X.L.; Chen, X.L.; Jia, Z.K. Can straw recycling achieve sustainable agriculture at the smallholder level? A case in a semi-arid region. J. Clean. Prod. 2024, 439, 140859. [Google Scholar] [CrossRef]
- Manevski, K.; Børgesena, C.D.; Li, X.X.; Andersen, M.N.; Zhang, X.Y.; Abrahamsend, P.; Hu, C.S.; Hansen, S. Optimising crop production and nitrate leaching in China: Measured and simulated effects of straw incorporation and nitrogen fertilisation. Eur. J. Agron. 2016, 80, 32–44. [Google Scholar] [CrossRef]
- Gu, J.X.; Nicoullaud, B.; Rochette, P.; Grossel, A.; Hénault, C.; Cellier, P.; Richard, G. A regional experiment suggests that soil texture is a major control of N2O emissions from tile-drained winter wheat fields during the fertilization period. Soil Biol. Biochem. 2013, 60, 134–141. [Google Scholar] [CrossRef]
- Chen, C.; Gong, H.Q.; Wei, Y.Q.; Xu, T.; Li, J.; Ding, G.C. Promoting agricultural waste-driven denitrification and nitrogen sequestration with nano-enabled strategy. Bioresour. Technol. 2024, 401, 130746. [Google Scholar] [CrossRef]
- Chen, Z.X.; Elrys, A.S.; Zhang, H.M.; Tu, X.S.; Wang, J.; Cheng, Y.; Zhang, J.B.; Cai, Z.C. How does organic amendment affect soil microbial nitrate immobilization rate? Soil Biol. Biochem. 2022, 173, 108784. [Google Scholar] [CrossRef]
- Ren, G.; Zhang, X.F.; Zhang, J.B.; Mu, L.; Xin, X.; Yun, Y.; Zhu, A.; Ge, S. Effects of straw management and N levels on gross nitrogen transformations in fluvo-aquic soil of the North China Plain. Sci. Total Environ. 2024, 944, 173652. [Google Scholar] [CrossRef]
- Bengtsson, G.; Bengtson, P.; Månsson, K. Gross nitrogen mineralization-, immobilization-, and nitrification rates as a function of soil C/N ratio and microbial activity. Soil Biol. Biochem. 2003, 35, 143–154. [Google Scholar] [CrossRef]
- Wang, H.H.; Li, X.; Li, X.; Li, X.Y.; Wang, J.; Zhang, H.W. Changes of microbial population and N-cycling function genes with depth in three Chinese paddy soils. PLoS ONE 2017, 12, e0189506. [Google Scholar] [CrossRef]
- Cheng, Y.; Wang, J.; Wang, J.; Chang, S.X.; Wang, S. The quality and quantity of exogenous organic carbon input control microbial NO3− immobilization: A meta analysis. Soil Biol. Biochem. 2017, 115, 357–363. [Google Scholar] [CrossRef]
- Jahangir, M.M.R.; Fenton, O.; Carolan, R.; Harrington, R.; Johnston, P.; Zaman, M.; Richards, K.G.; Müller, C. Application of 15N tracing for estimating nitrogen cycle processes in soils of a constructed wetland. Water Res. 2020, 183, 116062. [Google Scholar] [CrossRef] [PubMed]
- Jones, D.L.; Willett, V.B. Experimental evaluation of methods to quantify dissolved organic nitrogen (DON) and dissolved organic carbon (DOC) in soil. Soil Biol. Biochem. 2006, 38, 991–999. [Google Scholar] [CrossRef]
- Chen, P.F.; Liu, Y.Z.; Mo, C.Y.; Jiang, Z.H.; Yang, J.P.; Lin, J.D. Microbial mechanism of biochar addition on nitrogen leaching and retention in tea soils from different plantation ages. Sci. Total Environ. 2021, 757, 143817. [Google Scholar] [CrossRef] [PubMed]
- Liu, J.S.; Qiu, W.H. The potential for N2O emission and nitrate leaching in seasonally open solar greenhouses during the summer fallow: A 15N tracer study. Soil Use Manag. 2016, 32, 89–96. [Google Scholar] [CrossRef]
- Li, Y.T.; Rouland, C.; Benedetti, M.; Li, F.B.; Pando, A.; Lavelle, P.; Dai, J. Microbial biomass, enzyme and mineralization activity in relation to soil organic C, N and P turnover influenced by acid metal stress. Soil Biol. Biochem. 2009, 41, 969–977. [Google Scholar] [CrossRef]
- Vance, E.D.; Brookes, P.C.; Jenkinson, D.S. An extraction method for measuring soil microbial biomass-C. Soil Biol. Biochem. 1987, 19, 703–707. [Google Scholar] [CrossRef]
- Jenkinson, D.S.; Brookes, P.C.; Powlson, D.S. Measuring soil microbial biomass. Soil Biol. Biochem. 2004, 36, 5–7. [Google Scholar] [CrossRef]
- Jin, K.; Sleutel, S.; Buchan, D.; De Neve, S.; Cai, D.X.; Gabriels, D.; Jin, J.Y. Changes of soil enzyme activities under different tillage practices in the Chinese Loess Plateau. Soil Tillage Res. 2009, 104, 115–120. [Google Scholar] [CrossRef]
- Gu, B.T.; Wang, R.Z.; Wang, S.D.; Zhang, Y.; Han, X.G.; Zhu, B.; Dijkstra, F.A.; Jiang, Y. Microbial Immobilization Shapes the Non-Linear Response of Allochthonous Nitrogen Retention to Grassland Acidification Within Soil Aggregates. Glob. Change Biol. 2025, 31, e70229. [Google Scholar] [CrossRef]
- Kandeler, E.; Gerber, H. Short-term assay of soil urease activity using colorimetric determination of ammonium. Biol. Fert. Soils 1988, 6, 68–72. [Google Scholar] [CrossRef]
- Zhang, Y.H.P.; Hong, J.; Ye, X. Biofuels: Methods and Protocols, 1st ed.; Humana Press: Totowa, NJ, USA, 2009; pp. 213–231. [Google Scholar]
- Trap, J.; Bureau, F.; Akpa-Vinceslas, M.; Decaens, T.; Aubert, M. Changes in humus forms and soil N pathways along a 130-year-old pure beech forest chronosequence. Ann. For. Sci. 2011, 68, 595–606. [Google Scholar] [CrossRef]
- Trap, J.; Bureau, F.; Vinceslas-Akpa, M.; Chevalier, R.; Aubert, M. Changes in soil N mineralization and nitrification pathways along a mixed forest chronosequence. Forest Ecol. Manag. 2009, 258, 1284–1292. [Google Scholar] [CrossRef]
- Schleuss, P.; Widding, M.; Heintz-Buschart, A.; Guhr, A.; Martin, S.; Kirkman, K.; Spohn, M. Stoichiometric controls of soil carbon and nitrogen cycling after long-term nitrogen and phosphorus addition in a mesic grassland in South Africa. Soil Biol. Biochem. 2019, 135, 294–303. [Google Scholar] [CrossRef]
- Cao, J.; Wang, C.; Dou, Z.X.; Ji, D.G. Independent and combined effects of oxytetracycline and antibiotic-resistant Escherichia coli O157: H7 on soil microbial activity and partial nitrification processes. Soil Biol. Biochem. 2016, 98, 138–147. [Google Scholar] [CrossRef]
- Jung, J.J.; Yeom, J.K.; Kim, J.S.; Han, J.W.; Lim, H.S.; Park, H.; Hyun, S.H.; Park, W.J. Change in gene abundance in the nitrogen biogeochemical cycle with temperature and nitrogen addition in Antarctic soils. Res. Microbiol. 2011, 162, 1018–1026. [Google Scholar] [CrossRef]
- Poly, F.; Ranjard, L.; Nazaret, S.; Gourbiere, F.; Monrozier, L.J. Comparison of nifH gene pools in soils and soil microenvironments with contrasting properties. Appl. Environ. Microbiol. 2001, 67, 2255–2262. [Google Scholar] [CrossRef]
- Rotthauwe, J.; Witzel, K.; Liesack, W. The ammonia monooxygenase structural gene amoA as a functional marker: Molecular fine-scale analysis of natural ammonia-oxidizing populations. Appl. Environ. Microbiol. 1997, 63, 4704–4712. [Google Scholar] [CrossRef] [PubMed]
- Taylor, J.D.; Cunliffe, M. Multi-year assessment of coastal planktonic fungi reveals environmental drivers of diversity and abundance. ISME J. 2016, 10, 2118–2128. [Google Scholar] [CrossRef] [PubMed]
- Zhao, J.; Ni, T.; Li, J.; Lu, Q.; Fang, Z.Y.; Huang, Q.W.; Zhang, R.F.; Li, R.; Shen, B.; Shen, Q.R. Effects of organic-inorganic compound fertilizer with reduced chemical fertilizer application on crop yields, soil biological activity and bacterial community structure in a rice-wheat cropping system. Appl. Soil Ecol. 2016, 99, 1–12. [Google Scholar] [CrossRef]
- Coci, M.; Nicol, G.W.; Pilloni, G.N.; Schmid, M.; Kamst-van Agterveld, M.P.; Bodelier, P.L.E.; Laanbroek, H.J. Quantitative assessment of ammonia-oxidizing bacterial communities in the epiphyton of submerged macrophytes in shallow lakes. Appl. Environ. Microbiol. 2010, 76, 1813–1821. [Google Scholar] [CrossRef]
- Christoph, R.; Johannes, R.; Hans, S. Can enzymatic stoichiometry be used to determine growth-limiting nutrients for microorganisms?—A critical assessment in two subtropical soils. Soil Biol. Biochem. 2019, 128, 115–126. [Google Scholar]
- Xu, T.T.; Zhang, R.; Zhang, Y.; Wang, X.J.; Li, Z.P.; Gao, Y.J. Long-Term Effects of potassium fertilization and wheat straw return on cropland soil fertility and microorganisms in the Qinghai-Tibet Plateau. Agronomy 2025, 15, 742. [Google Scholar] [CrossRef]
- Rong, Q.L.; Li, R.N.; Huang, S.W.; Tang, J.W.; Zhang, Y.C.; Wang, L.Y. Soil microbial characteristics and yield response to partial substitution of chemical fertilizer with organic amendments in greenhouse vegetable production. J. Integr. Agric. 2018, 17, 1432–1444. [Google Scholar] [CrossRef]
- Zhang, R.Q.; Liu, Z.L.; Wang, Y.J.; Jiang, Z.; Li, M.; Li, H.; Zhao, X.; Duan, Z.; Song, X. Effects of intercropping on composition and molecular diversity of soil dissolved organic matter in apple orchards: Different roles of bacteria and fungi. Agric. Ecosyst. Environ. 2025, 382, 109509. [Google Scholar] [CrossRef]
- Long, G.; Jiang, Y.; Sun, B. Seasonal and inter-annual variation of leaching of dissolved organic carbon and nitrogen under long-term manure application in an acidic clay soil in subtropical China. Soil Tillage Res. 2015, 146, 270–278. [Google Scholar] [CrossRef]
- Jones, D.L.; Shannon, D.; Murphy, V.; Farrar, D. Role of dissolved organic nitrogen (DON) in soil N cycling in grassland soils. Soil Biol. Biochem. 2004, 36, 749–756. [Google Scholar] [CrossRef]
- Ning, Q.; Chen, L.; Jia, Z.J.; Zhang, C.Z.; Ma, D.H.; Li, F.; Zhang, J.B.; Li, D.M.; Han, X.R.; Cai, Z.J.; et al. Multiple long-term observations reveal a strategy for soil pH-dependent fertilization and fungal communities in support of agricultural production. Agric. Ecosyst. Environ. 2020, 293, 106837. [Google Scholar] [CrossRef]
- Mélodie, D.; Pascale, C. Small bacterial and phagic proteins: An updated view on a rapidly moving field. Curr. Opin. Microbiol. 2017, 39, 81–88. [Google Scholar] [CrossRef]
- Liu, F.M.; Liu, J.; Yu, H.J.; Yu, J.; Qi, G.C.; Wang, D. Effects of nitrogen fertilizer types on enzyme activities and bacterial communities related to the nitrogen cycle in soda saline-alkaline paddy rhizosphere soil. Southwest China J. Agric. Sci. 2025, 38, 10. [Google Scholar]
- Fu, H.R.; Chen, H.; Ma, Z.B.; Liang, G.; Chadwick, D.R.; Jones, D.L.; Wanek, W.; Wu, L.; Ma, Q. Fungal necromass carbon dominates global soil organic carbon storage. Glob. Change Biol. 2025, 31, e70413. [Google Scholar] [CrossRef]
- Allison, S.D.; Vitousek, P.M. Soil C:N:P stoichiometry and the coupling of C and nutrient cycling. Ecol. Lett. 2010, 13, 727–737. [Google Scholar]
- Jones, D.L.; Murphy, D.V.; Ryder, M.H. Influence of soil catalase activity on microbial nitrogen assimilation. J. Agric. Sci. 2019, 157, 567–575. [Google Scholar]
- Chen, Y.L.; Zhang, P.P.; Wang, L.F.; Ma, G.; Li, Z.; Wang, C.Y. Interaction of Nitrogen and Phosphorus on Wheat Yield, N Use Efficiency and Soil Nitrate Nitrogen Distribution in the North China Plain. Int. J. Plant Prod. 2020, 14, 415–426. [Google Scholar] [CrossRef]
- Li, X.; Sun, Y.; Zhou, H. Catalase protects soil colloids from hydrogen peroxide damage and reduces ammonia volatilization. Pedosphere 2022, 32, 357–364. [Google Scholar]
- Li, Z.L.; Zeng, Z.Q.; Tian, D.H.; Wang, J.S.; Fu, Z.; Zhang, F.Y.; Zhang, R.Y.; Chen, W.N.; Luo, Y.Q.; Niu, S.L. Global patterns and controlling factors of soil nitrification rate. Glob. Change Biol. 2020, 26, 4147–4157. [Google Scholar] [CrossRef] [PubMed]
- Xue, C.; Zhang, X.; Zhu, C.; Zhao, J.; Zhu, P.; Peng, C.; Ling, N.; Shen, Q.R. Quantitative and compositional responses of ammonia-oxidizing archaea and bacteria to long-term field fertilization. Sci Rep. 2016, 6, 28981. [Google Scholar] [CrossRef] [PubMed]
- Sun, J.L.; Rengel, Z.; Zhou, Y.Z.; Li, H.B.; Zhang, A.P. Ammonia-oxidizing archaea bacteria (AOB) and comammox drive the nitrification in alkaline soil under long term biochar and N fertilizer applications. Appl. Soil Ecol. 2024, 193, 105124. [Google Scholar] [CrossRef]
- Niu, R.; Zhu, C.; Jiang, G.; Yang, J.; Zhu, X.; Li, L.; Shen, F.; Jie, X.; Liu, S. Variations in Soil Nitrogen Availability and Crop Yields under a Three-Year Annual Wheat and Maize Rotation in a Fluvo-Aquic Soil. Plants 2023, 12, 808. [Google Scholar] [CrossRef] [PubMed]








| Disclaimer/Publisher’s Note: The statements, opinions and data contained in all publications are solely those of the individual author(s) and contributor(s) and not of MDPI and/or the editor(s). MDPI and/or the editor(s) disclaim responsibility for any injury to people or property resulting from any ideas, methods, instructions or products referred to in the content. | 
© 2025 by the authors. Licensee MDPI, Basel, Switzerland. This article is an open access article distributed under the terms and conditions of the Creative Commons Attribution (CC BY) license (https://creativecommons.org/licenses/by/4.0/).
Share and Cite
Hu, Y.; Zhao, C.; Zhang, W.; Zhao, P.; Qin, S.; Zhang, Y.; Sui, F. Straw-Increased C/N Ratio Mitigates Nitrate Leaching in Fluvial Soil by Enhancing Microbial N Pool and Reducing N Mineralization. Agronomy 2025, 15, 2371. https://doi.org/10.3390/agronomy15102371
Hu Y, Zhao C, Zhang W, Zhao P, Qin S, Zhang Y, Sui F. Straw-Increased C/N Ratio Mitigates Nitrate Leaching in Fluvial Soil by Enhancing Microbial N Pool and Reducing N Mineralization. Agronomy. 2025; 15(10):2371. https://doi.org/10.3390/agronomy15102371
Chicago/Turabian StyleHu, Yuhan, Chunyuan Zhao, Wenwen Zhang, Peng Zhao, Shiyu Qin, Yupeng Zhang, and Fuqing Sui. 2025. "Straw-Increased C/N Ratio Mitigates Nitrate Leaching in Fluvial Soil by Enhancing Microbial N Pool and Reducing N Mineralization" Agronomy 15, no. 10: 2371. https://doi.org/10.3390/agronomy15102371
APA StyleHu, Y., Zhao, C., Zhang, W., Zhao, P., Qin, S., Zhang, Y., & Sui, F. (2025). Straw-Increased C/N Ratio Mitigates Nitrate Leaching in Fluvial Soil by Enhancing Microbial N Pool and Reducing N Mineralization. Agronomy, 15(10), 2371. https://doi.org/10.3390/agronomy15102371
 
        


