Next Article in Journal
Effect of Drought and High-Light Stress on Volatile Compounds and Quality of Welsh Onion (Allium fistulosum L.)
Previous Article in Journal
Enhanced Nitrification Potential Soil from a Warm-Temperate Shrub Tussock Ecosystem Under Nitrogen Deposition and Warming Is Driven by Increased Nitrosospira Abundance
 
 
Font Type:
Arial Georgia Verdana
Font Size:
Aa Aa Aa
Line Spacing:
Column Width:
Background:
Article

The Effects of Tree Growth Forms on the Photosynthetic Activity and Fruit Quality of ‘Korla Fragrant’ Pear

1
National-Local Joint Engineering Laboratory of High Efficiency and Superior-Quality Cultivation and Fruit Deep Processing Technology on Characteristic Fruit Trees/Technology Innovation Center for Characteristic Forest Fruits in Southern Xinjiang, Alar 843300, China
2
Corps Key Laboratory of Conservation and Utilization of Biological Resources in Tarim Basin, Alar 843300, China
3
College of Horticulture and Forestry, Tarim University, Alar 843300, China
4
College of Life Science and Technology, Tarim University, Alar 843300, China
*
Author to whom correspondence should be addressed.
Agronomy 2025, 15(10), 2348; https://doi.org/10.3390/agronomy15102348
Submission received: 14 August 2025 / Revised: 1 October 2025 / Accepted: 2 October 2025 / Published: 6 October 2025
(This article belongs to the Section Horticultural and Floricultural Crops)

Abstract

‘Korla fragrant’ pear has a long history of cultivation in Xinjiang, China, with favorable economic and social benefits. The selection of tree growth has a direct impact on improvements in fruit yield and quality. In order to provide a theoretical basis for the efficient and high-quality cultivation of ‘Korla fragrant’ pear, two ‘Korla fragrant’ pear tree growth forms, namely trunk shape and small-canopy shape, were selected as experimental materials to study the differences in the parameters of different tree growth forms, as well as the effect on photosynthetic activity and fruit quality. The results show that the small-canopy-shape trees exhibited significantly improved photosynthetic activity, with a 60.64% higher net photosynthetic rate (Pn) in the upper canopy compared to the trunk-shape trees. Fruit quality was also superior in the small-canopy-shape trees, with increases in single-fruit weight (29.36–46.91%), soluble solids content (13.51–14.39%), soluble sugar content (25.79–27.56%), and vitamin C content (up to 0.4363 mg·100 g−1 in the upper layer). However, the yield per unit area of the trunk-shape trees was significantly higher than that of the small-canopy-shape trees by 19.32% because of the higher number of short fruit branches and increased prevalence of smaller row spacing. In addition, within the same tree growth forms, photosynthetic activity and fruit quality were improved in the upper layers compared to the lower layers.

1. Introduction

‘Korla fragrant’ pear (Pyrus × sinkiangensis T.T.Yu), a cultivar with a long cultivation history in Xinjiang, China, serves as a cornerstone of the region’s characteristic fruit tree industry, delivering substantial economic and social benefits. The development of its industry has significantly increased farmers’ income, while its high fruit quality has established a recognizable brand identity for Xinjiang ‘Korla fragrant’ pear in the market. Tree growth form, defined as the three-dimensional architecture of the tree crown, encompassing its size and the spatial arrangement of its organs (e.g., stems and leaves) [1], is a critical cultivation factor. These forms directly modulate light distribution within the canopy, thereby exerting a profound influence on fruit quality [2]. In current ‘Korla fragrant’ pear production, common tree growth forms include trunk shape, small-canopy shape, and open-center shape, among others [3]. However, with the continuous expansion of planting scale, the management of these tree growth forms is plagued by issues of low standardization and inappropriate selection, leading to declines in both yield and quality that ultimately constrain the sustainable development of the industry. A suitable tree growth form is important for improving the photosynthetic efficiency of fruit trees [4], optimizing yield and fruit quality [5], and reducing pests and diseases [6]. Consequently, investigating the effects of different tree growth forms on photosynthetic activity and fruit quality in ‘Korla fragrant’ pear is imperative to establish a theoretical foundation for improved cultivation practices.
Light is essential for plants to photosynthesize, and different tree growth forms can change the distribution of light in the canopy, thus affecting photosynthetic efficiency [7]. The utilization efficiency of light energy and the capturing of photosynthetically active radiation (PAR) are therefore fundamental determinants of fruit yield and quality [8]. Research on the photosynthetic activity of fruit trees predominantly focuses on the gas exchange dynamics of leaves, with key parameters—including net photosynthetic rate (Pn), transpiration rate (Tr), stomatal conductance (Gs), and intercellular concentration of CO2 (Ci)—serving as standard metrics for evaluating photosynthetic performance [9]. For example, Pn, Tr, and Gs were found to be significantly higher in open-center-shape plum trees than in spindle- and Y-shape plum trees [10]. Similarly, tall spindle-shape apple trees demonstrate superior Pn and leaf quality over open-center- and free-spindle-shape trees [11], while V-shape peach canopies achieve greater light interception and net photosynthetic accumulation compared to central-leader shapes and other trellising systems [4]. These variations arise because alterations in tree height and canopy geometry directly affect leaves’ gas exchange, biochemical profile, and antioxidant properties [12]. Furthermore, a consistent vertical gradient in photosynthetic activity exists within a given tree growth form; studies on peach trees, for example, confirm that Pn is significantly enhanced in the upper and outer canopy layers compared to the lower and inner layers [13].
The interception and utilization of light, which are fundamentally governed by the tree’s growth form, are pivotal determinants of fruit quality and yield [14,15,16]. Consequently, the selection of an appropriate growth form is a critical management practice. By strategically modifying branch number and spatial distribution, growers can enhance canopy ventilation and light penetration, thereby optimizing light distribution to improve both fruit yield and quality [17,18]. This relationship is underscored by research demonstrating that shading exceeding 60% severely compromises photosynthetic capacity in peach trees, leading to a marked reduction in the photosynthetic rate of leaves [19]. A consistent vertical gradient in fruit quality attributes has been documented across various tree species, whereby fruit from upper-canopy positions typically exhibit greater single-fruit weight, higher soluble solids and vitamin C content, and reduced firmness and titratable acidity compared to fruit from lower layers [20,21,22].
A tree’s growth form affects its fruit yield, quality, and economic efficiency, and it is an important factor in the development of cultivation and management measures [2,9]. In recent years, trunk-shape and small-canopy-shape trees have gradually been developed. But how should we determine the most appropriate tree growth form amongst so many options? Different tree growth forms can lead to problems in the production process, such as complicated pruning operations, insufficient light in the canopy, and poor fruit quality, which do not fully meet the needs of producers. However, the relationship between tree growth form, photosynthesis, and fruit quality of ‘Korla fragrant’ pear has not yet been systematically studied. Thus, in the present study, tree characteristics, photosynthetic activity, fruit quality, and yield of trunk- and small-canopy-shape trees were observed and determined, using ‘Korla fragrant’ pear as experimental material. The aim of this study is to propose a reasonable tree structure suitable for the production of ‘Korla fragrant’ pear in the Xinjiang region, and to provide a theoretical basis and practical guidance for the high-quality and high-efficiency production, as well as high-quality cultivation, of ‘Korla fragrant’ pear.

2. Materials and Methods

2.1. Overview of Study Area

This study was conducted at the ‘Korla fragrant’ pear Cultivation Demonstration Garden in Alar, Xinjiang, China. The study area is located at 40° N and 80° E, with an average altitude of 1100 m. The area is characterized by a extreme continental arid desert climate with light saline soils. In 2024, the average annual temperature was 13.08 °C, the frost-free period was 210 days, the annual sunshine duration was 2761.9 h, and the total precipitation was 70.3 mm.

2.2. Plant Materials

We used ‘Duli’ pear (Pyrus betulifolia Bunge) as the rootstock and selected 10-year-old ‘Korla fragrant’ pear trees. ‘Kurla fragrant’ pear commonly choose ‘Duli’ pear as rootstock, mainly based on its own excellent characteristics and ‘Kurla fragrant’ pear production area environmental conditions of the high match. Several key reasons for this are as follows: First, ‘Kurla fragrant’ pear’s main production area (Xinjiang, China) belongs to a warm, temperate, extreme continental arid desert climate, with light saline soils. The root system of ‘Duli’ pear is extremely developed, and it can tolerate high soil salinity concentrations. ‘Duli’ pear as a rootstock can ensure the normal growth and development of ‘Kurla fragrant’ pear under drought and saline environment. Secondly, ‘Duli’ pear has positive affinity with ‘Kurla fragrant’ pear. This is a result of grafting success, and is a prerequisite for the tree’s long-term health, productive, and stable yield. Thirdly, ‘Duli’ pear is resistant to the common diseases affecting pear trees. Tree growth form management practices have been inconsistent since the initial year of grafting. Trunk-shape trees: Management focuses on establishing and maintaining a dominant, vertical, central leader. The primary management practice is the removal of vigorous competing branches. Small-canopy-shape trees: Management emphasizes creating a defined, compact, hierarchical structure with two primary scaffold layers. The primary management practice involves selecting well-positioned primary branches that do not obstruct each other, training them within distinct layers with sufficient vertical spacing and maintaining clear subordination (central leader > primary branch > sub-lateral). Figure 1a shows the “trunk shape”, which is characterized by an obvious trunk; the branches growing on the trunk are relatively uniform in length, and the tree growth forms are almost cylindrical. Figure 1b shows a “small-canopy shape”, which is characterized by the inconsistent length of the branches growing from the main trunk, with the branches growing longer as they get closer to the surface, and the tree growth forms resemble cones. The trunk-shape trees had a row spacing of 2 m × 4 m and the small-canopy-shape trees had a row spacing of 3 m × 5 m. All rows are in the north–south direction. The different plant spacing settings are complementary agronomic measures based on the inherent and significantly different biological structures of the two tree growth forms. In fact, setting a larger row and plant spacing for the small-canopy-shape trees allows for matching their longer branches and crown width, ensuring that an individual tree crown can fully extend without overlapping adjacent plants. They maintain the same level of water and fertilization. We irrigated 200 m3 per hectare 7 times a year. Fertilizer was applied three times per year at a rate of 50 kg·ha−1, with an N-P-K ratio of 2:1:1. In this study, 100 healthy trees of comparable sizes and with a uniform growth pattern were randomly selected per tree growth form (trunk shape and small-canopy shape). These trees, confirmed to be free of pests and diseases, underwent parameter observation and measurement for further analysis. Trees were stratified into upper and lower layers based on the midpoint of their height.
In September 2024, at fruit ripening (yellow-green ground color), exterior and internal quality parameters were assessed. Five trees were randomly selected from each tree growth form, and 60 fruits were collected from the upper and lower layers of each tree. Within each layer, fruits were sampled from all four directions (east, west, south, north). When the determination of fruit exterior quality, hardness, and soluble solids content was completed within 6 h of picking, the fruit was cored, chopped, mixed, and stored in a refrigerator at −20 °C for the determination of its vitamin C, titratable acid, and soluble sugar contents.

2.3. Test Methods

2.3.1. Determination of Tree Parameters

In March 2024, the tree growth form parameters of the two tree growth forms were measured in four orientations: east, west, south, and north of the tree. According to a previously reported method [23,24], a total of 100 trees per tree growth form were measured for each parameter. Each tree served as an experimental replicate. A protractor was used to measure the crotch, equilibrium, and geotropic angles of each tree growth form. The trunk height (the distance from the ground’s surface to the base of the lowermost branch of the tree), trunk circumference (the perimeter of the lowest part of the trunk), and tree height (the distance from the ground’s surface to the root of the highest branch of the tree) were measured separately for each tree growth form using a meterstick. The numbers of long fruit branches (>15 cm), number of middle fruit branches(5~15 cm), and short fruit branches (<5 cm) on each tree were counted, and the proportion of fruit branches was calculated.

2.3.2. Determination of Photosynthetic Parameters

In September 2024, when the weather was sunny (windless), an LI-6400XT portable photosynthesis instrument (LI-COR, Inc., Lincoln, NE, USA) was used to observe the net photosynthetic rate (Pn), transpiration rate (Tr), stomatal conductance (Gs), and intercellular concentration of CO2 (Ci) from 12:00 to 14:00 (temperature was 29~31 °C, air quality index was 38~43, reference CO2 concentration was approximately 400 µmol·mol−1, humidity in the leaf chamber was 30–40%, the photosynthetic photon flux density (PPFD) at the leaf surface was 1500 µmol·m−2·s−1). In total, 5 trees per tree growth form were randomly selected. From each tree, 3 mature leaves were chosen at the crown periphery (eastern aspect, consistent height) within both the upper and lower canopy layers. All photosynthetic parameters were replicated 3 times per leaf. The photosynthetic activity of trunk-shape and small-canopy-shape trees were alternatively observed. SPAD values (which indicates the relative content of chlorophyll in plant leaves, determined by comparing the light intensity received by the silicon photodiode receiver with the light intensity emitted) were determined using a YF-LS handheld chlorophyll meter (Henan Yunfei Technology Development Co., Ltd., Zhengzhou, China). In total, 5 trees per tree growth form were randomly selected. From each tree, 30 mature leaves were chose at the crown periphery (eastern aspect, consistent height) within both the upper and lower canopy layers. Each leaf served as an experimental replicate.

2.3.3. Determination of the Exterior Quality of Pear Fruit

In total, 5 trees per tree growth form were randomly selected. We collected 60 fruits from the upper and lower layers of each tree, respectively. Single fruits were weighed using an FA 1104 N electronic balance (Shanghai Pohai Instrument Company, Shanghai, China); the longitudinal and transverse diameters of the fruits were measured using Vernier calipers (Shanghai Deyixing Tools Co., Ltd., Shanghai, China). The L*, a*, and b* values of the fruits were determined using a CR-410 colorimeter (Konica Minolta, Tokyo, Japan), with four values per fruit measured uniformly within one week along the equatorial line. L* indicates the lightness of the fruit: the larger the value, the brighter the fruit. a* indicates the red saturation, where a positive value is red and a negative value is green: the larger the absolute value, the darker the color. b* indicates the yellow saturation, where a positive value is yellow and a negative value is blue: the larger the absolute value, the darker the color.

2.3.4. Determination of the Internal Quality Parameters of Pear Fruit

In total, 5 trees per tree growth form were randomly selected. We collected 60 fruits from the upper and lower layers of each tree, respectively. According to a previously reported method [25], the hardness of the pear fruit was determined using a TMS-Pro high-precision professional food property analyzer (Ensoul Technology Ltd., Beijing, China). The soluble solids content was determined using a PAL-1 digital handheld pocket refractometer (ATAGO Co., Ltd., Tokyo, Japan). The vitamin C content was determined using the molybdenum blue colorimetric method [26]. The titratable acid content was determined using an acid–base neutralization method [27]. The soluble sugar content was quantified using anthrone colorimetry [28]. Hardness and soluble solids content were tested 60 times (each layer). Vitamin C content, titratable acid content, and soluble sugar content were tested at least 3 times each layer.

2.3.5. Determination of Pear Fruit Yield

For each tree growth form, 100 trees were evaluated to record the (1) number of fruits per plant and the (2) yield of fruits per plant (total fresh fruit weight). Each tree served as an experimental replicate. Concurrently, 50-hectare plots were monitored. Yield per unit area (t/ha) was derived by summing the fruit weights from all trees within representative hectares. Each hectare served as an experimental replicate.

2.4. Data Processing and Analysis

All results are expressed as mean ± standard error. Duncan’s multiple comparison test and an analysis of variance were performed using IBM SPSS Statistics version 26.0 (IBM, Armonk, NY, USA). The significance level was set to p < 0.05. The t-tests, correlation analyses, and mapping were conducted with Chiplot (https://www.chiplot.online/) (URL accessed on 22 April 2025). Principal component analyses and plotting were performed using Origin 2021 (Origin Lab Inc., Northampton, MA, USA).

3. Results

3.1. Tree Parameter Analysis of Different Tree Growth Forms of ‘Korla Fragrant’ Pear Trees

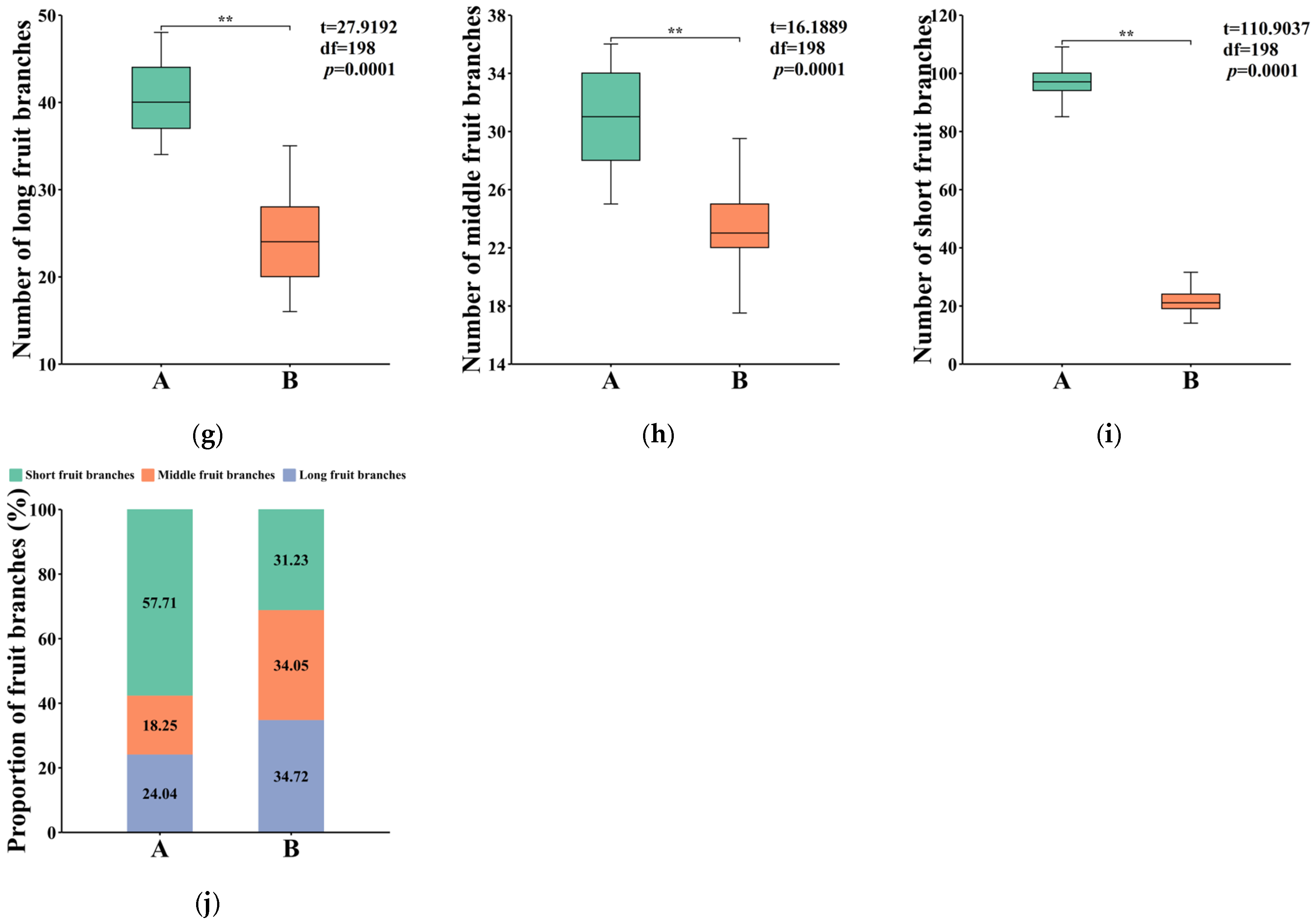
Significant differences were found between the parameters of the different tree growth forms (Figure 2, Table A1). The equilibrium angle, trunk circumference, and tree height of the small-canopy-shape trees were significantly higher than those of the trunk-shape trees by 15.12%, 181.59%, and 21.01%, respectively. However, the trunk-shape trees had a significantly higher trunk height than the small-canopy shape trees. In terms of the number of fruit branches, the numbers of long, middle, and short fruit branches on the trunk-shape trees were significantly higher than those on the small-canopy-shape trees by 68.33%, 31.20%, and 349.07%, respectively. In terms of the percentage of fruit branches, the trunk-shape trees had a higher percentage of short fruit branches at 57.71%, while the small-canopy-shape trees had a more even percentage of the three types of fruit branches.

3.2. Photosynthetic Activity Analysis of Different Tree Growth Forms of ‘Korla Fragrant’ Pear Trees

The photosynthetic activity of the trunk-shape and small-canopy-shape trees were analyzed, and the results are shown in Figure 3. Overall, both tree growth forms showed significantly higher Pn, Tr, Gs, Ci, and SPAD in the upper layers than in the lower layers. Moreover, Pn, Tr, Gs, and SPAD were significantly higher in the small-canopy-shape trees’ upper layers than in the trunk-shape trees’ upper layers (they were 60.64%, 9.04%, 10.64%, and 5.08%, respectively), and they were significantly higher in the small-canopy-shape trees’ lower layers than in the trunk-shape trees’ lower layers.

3.3. Exterior Quality Analysis of Different Tree Growth Forms of ‘Korla Fragrant’ Pear Trees

As shown in Figure 4, there were significant differences in the exterior quality of fruits between the tree growth forms and layers. Overall, the single-fruit weight, longitudinal diameter, transverse diameter, L*, a*, and b* of both tree growth forms were significantly higher in the upper layers than in the lower layers. In addition, the single-fruit weight, longitudinal diameter, transverse diameter, L*, a*, and b* in the small-canopy-shape trees’ upper layers were significantly higher than those in the trunk-shape trees’ upper layers. The small-canopy-shape trees’ lower layers had a significantly higher single-fruit weight, longitudinal diameter, transverse diameter, and a* than the trunk-shape trees’ lower layers. It is worth noting that the single-fruit weight of small-canopy-shape trees is significantly higher than that of trunk-shape trees, increasing by 29.36–46.91%.

3.4. Internal Quality Analysis of Different Tree Growth Forms of ‘Korla Fragrant’ Pear Trees

The results of the internal quality analysis of the upper and lower layers of the trunk and small-canopy shapes are shown in Figure 5. The hardness and titratable acid content of both tree growth forms were significantly lower in the upper layers than in the lower layers; additionally, they were significantly higher in the trunk-shape trees’ upper layers than in the small-canopy-shape trees’ upper layers, and they were significantly higher in the trunk-shape trees’ lower layers than in the small-canopy-shape trees’ lower layers. Both tree shapes showed significantly higher soluble solid and soluble sugar contents in the upper layers than in the lower layers; additionally, they were significantly higher in the small-canopy-shape trees’ upper layers than in the trunk-shape trees’ upper layers (14.39% and 25.79%), and they were significantly higher in the small-canopy-shape trees’ lower layers than in the trunk-shape trees’ lower layers (13.51% and 27.56%). The upper layer of small-canopy-shape trees yielded the highest vitamin C content (0.4363 mg·100 g−1), significantly exceeding all other layers and tree growth forms (p < 0.05). In contrast, trunk-shape trees showed no significant difference in vitamin C content between their upper and lower layers.

3.5. Yield Analysis of Different Tree Growth Forms of ‘Korla Fragrant’ Pear Trees

By investigating 100 trees of each tree growth form, it was found that the number of fruits per plant and the yield per plant differed significantly among the tree shapes (Figure 6a,b). Compared to the trunk-shape trees, the number of fruits per plant and the yield per plant of the small-canopy-shape trees were significantly higher by 4.83% and 47.85%, respectively. However, the yield per unit area of the trunk-shape trees was significantly higher than that of the small-canopy-shape trees by 19.32%. The reason for this difference is the difference in planting density (the trunk-shape trees had a row spacing of 2 m × 4 m and the small-canopy-shape trees had a row spacing of 3 m × 5 m) (Table 1).

3.6. Correlation Analysis of Tree Parameters, Photosynthetic Activity, Exterior Quality, and Internal Quality of ‘Korla Fragrant’ Pear Trees with Different Tree Growth Forms

A correlation analysis of the parameters, photosynthetic activity, exterior quality, and internal quality of ‘Korla fragrant’ pear trees was carried out, and the results are shown in Figure 6. For both the trunk and small-canopy shapes, the equilibrium angle was significantly and negatively correlated with single-fruit weight and transverse diameter; the geotropic angle was highly significantly and positively correlated with soluble sugar content; and Tr, Ci, and SPAD were significantly and positively correlated with single-fruit weight and longitudinal diameter. In addition, Ci and SPAD showed a highly significant negative correlation with hardness.
For the trunk-shape trees, the crotch angle was highly significantly and positively correlated with Ci. Gs was significantly and positively correlated with the numbers of middle and short fruit branches. The three photosynthetic activity Tr, Gs, and Ci were all significantly positively correlated with single-fruit weight, longitudinal diameter, transverse diameter, a*, and b*, and they were highly significantly negatively correlated with hardness.
For the small-canopy-shape trees, the crotch and equilibrium angles were significantly negatively correlated with Gs. The equilibrium angle was significantly negatively correlated with Pn, soluble sugar content, and soluble solids content, while the geotropic angle showed the opposite results. The three photosynthetic activities, Pn, Tr, and SPAD, were all significantly and positively correlated with single-fruit weight and soluble sugar content. Vitamin C content was highly significant and positively correlated with Tr, Ci, and SPAD. Both Ci and SPAD were highly significantly negatively correlated with hardness and the titratable acid content.

3.7. Principal Component Analysis of ‘Korla Fragrant’ Pear Trees with Different Tree Growth Forms

There are many indicators for evaluating the effects of tree shapes, and they cannot be determined on the basis of a single indicator. A principal component analysis can reduce multiple variables to a few composite variables for dimensionality reduction, and these few composite variables can still directly reflect the original variables [29]. The indices of the standardized tree parameters, photosynthetic activity, and exterior and internal quality of ‘Korla fragrant’ pear trees with different shapes were subjected to a principal component analysis, as shown in Figure 7.
A principal component analysis (Figure 7a,b) of nine indicators of the parameters of different-shaped ‘Korla fragrant’ pear trees was carried out. Three principal components were extracted, with variance contributions of 51.40%, 12.90%, and 9.80% and a cumulative variance contribution of 74.10%. In PC1, the trunk height, trunk circumference, tree height, number of long fruit branches, number of middle fruit branches, and number of short fruit branches had higher loadings, indicating that tree growth and the number of fruit branches have a greater influence on PC1. All trunk-shape tree samples were positive in PC1, and all small-canopy-shape tree samples were negative in PC1; thus, the two tree growth forms differed significantly. This indicates that tree growth form has a strong influence on tree growth and the number of fruit branches.
A principal component analysis (Figure 7c,d) of five indicators of the photosynthetic activity of ‘Korla fragrant’ pear with different tree growth forms was carried out. Three principal components were extracted, with variance contributions of 37.70%, 21.60%, and 16.90% and a cumulative variance contribution of 76.20%. In PC1, all photosynthetic activity indicators (Pn, Tr, Gs, Ci, and SPAD) are in the same direction and are positive values, indicating a strong positive synergistic effect between photosynthetic activity indicators. Furthermore, 78% of the trunk-shape tree samples were negative in PC1, and 83% of the small-canopy-shape tree samples were positive, with significant differences between the two tree growth forms. This suggests that tree growth form has a significant effect on photosynthetic activity.
A principal component analysis (Figure 7e,f) of 11 indicators of the exterior and internal quality of ‘Korla fragrant’ pear trees with different tree growth forms was carried out. Three principal components were extracted, with variance contributions of 55.30%, 11.60%, and 7.00% and a cumulative variance contribution of 73.90%. In PC1, the single-fruit weight, longitudinal diameter, transverse diameter, soluble solids content, vitamin C content, titratable acid content, and soluble sugar content had higher loadings and can be considered to be fruit size and internal quality factors. It is worth mentioning that hardness was the only indicator with negative values in PC1 and PC2, indicating that the higher its value, the poorer the fruit quality. All trunk-shape tree samples were negative in PC1, and all small-canopy-shape trees samples were positive in PC1; thus, the two tree growth forms differ significantly. This suggests that tree growth form has a significant influence on fruit size and internal quality.

4. Discussion

Crotch angle, equilibrium angle, geotropic angle, trunk height, trunk circumference, tree height, etc., are important indicators of fruit tree structure, and they are closely related to the interception and utilization of light energy in the tree. Crotch angle, equilibrium angle, geotropic angle, and other fruit tree branching angle indices are important factors affecting the growth and development of fruit trees [30]. Theoretically, the greater the branching angle, the greater the amount of solar radiation captured by the population leaf screen and the higher the light energy utilization per unit area. However, the decisive factor for a high yield is not a high light-energy interception rate, but rather the suitable allocation of light energy [31]. The results of this study show that the equilibrium angle of the small-canopy-shape trees was significantly higher than that of the trunk-shape trees, while there was no significant difference in their crotch or geotropic angles, indicating that the difference in the branching angles between the two tree growth forms occurred mainly in the middle of the branches. Both the trunk circumference and tree height were significantly higher for the small-canopy-shape trees than for the trunk-shape trees. In other words, small-canopy-shape trees are more robust than trunk-shape trees. The different compositions of the branch types reflect the different growth potentials and fruiting abilities of the trees, and a reasonable proportion of branch types helps to improve fruit yield and quality. In this study, the number of long, middle, and short fruit branchesof the trunk-shape trees were significantly greater than those of the small-canopy-shape trees. The trunk-shape trees had a higher percentage of short fruit branches at 57.71%, while the small-canopy-shape trees had a more even percentage of the three types of fruit branches—results that are similar to those of previous studies [32,33].
Light is necessary for photosynthesis in fruit trees. The photosynthetic activity of plants are influenced by a variety of factors, such as species, the photosynthetic pigment content of leaves, light conditions, canopy temperature, and humidity [34]. The structure of the tree growth forms affects the photosynthesis of the tree by influencing the distribution of branches and leaves on the tree. Different tree growth forms, achieved through pruning and shaping in different ways, can cause significant differences in photosynthetic activity [35,36]. In addition, photosynthetic activity has a significant effect on fruit quality formation and yield enhancement [37,38]. In this experiment, both tree growth forms showed significantly higher Pn, Tr, Gs, and Ci in the upper layers than in the lower layers. This is due to the fact that the leaves in the upper layers are less shaded and have better ventilation and light transmission. In addition to Ci, Pn, Tr, and Gs were significantly higher in the small-canopy-shape trees’ upper layers than in the trunk-shape trees’ upper layers, and they were significantly higher in the small-canopy-shape trees’ lower layers than in the trunk-shape trees’ lower layers. This suggests that the small-canopy shape favors photosynthesis within the canopy and improves energy use efficiency. In addition, the SPAD of the small-canopy-shape trees was significantly higher than that of the trunk-shape trees. These results further suggest that aspects of the photosynthetic activity of the small-canopy-shape trees were enhanced, resulting in increased light-energy utilization and a faster photosynthesis rate.
Tree growth form has an important influence on the distribution of light in the canopy; a reasonable tree structure can improve light transmission in the canopy, and a good distribution of light directly affects fruit yield and quality [39,40]. Overall, L*, a*, and b* were significantly higher in the upper layers than in the lower layers, and they were higher in the small-canopy-shape trees than in the trunk-shape trees. This indicates that, within the same tree growth form, the fruits in the upper layers have brighter and yellower skins than those in the lower layers. The trunk-shape trees’ fruits were darker and greener than the small-canopy-shape trees fruits. Fruit qualities, such as single-fruit weight, longitudinal diameter, transverse diameter, soluble solids content, vitamin C content, and soluble sugar content, were significantly higher for the small-canopy-shape trees than for the trunk-shape trees. This further suggests that tree growth form can significantly influence fruit quality.
It is worth mentioning that the hardness and titratable acid content were significantly higher for the trunk-shape trees than for the small-canopy-shape trees. However, in the daily production process, it is usually considered that ‘Korla fragrant’ pears should not have a too high hardness values or titratable acid content, as otherwise these will affect the taste of the fruit [41,42]. Combined with the light conditions and photosynthetic activity of different tree growth forms, it can be seen that tree growth form has a significant effect on the light conditions of the tree, and tree shapes with good ventilation and light transmission conditions can effectively improve fruit quality [22,43]. The significantly lower titratable acid content in the upper layers fruits of small-canopy-shape trees may be attributed to the respiratory catabolism of organic acids. In previous studies [44], enhanced light penetration in open-canopy systems elevates fruit zone temperatures by 1.5–3.2 °C, accelerating respiratory rates in pear fruits. This thermal microenvironment promotes the degradation of malic and citric acids via the tricarboxylic acid (TCA) cycle, directly reducing titratable acid accumulation [45]. This mechanism aligns with our yield data: trunk-shape trees with higher planting densities exhibited a 19.32% greater yield per hectare, despite upper-layer single-fruit acidity. Their denser canopy architecture reduces light penetration [46], creating cooler microclimates that suppress respiratory acid consumption. Consequently, more carbon is partitioned toward yield formation rather than respiratory losses. The inverse relationship between titratable acid and yield across training systems underscores how canopy-mediated respiratory efficiency fundamentally governs carbon allocation in Pyrus species.
Principal component analysis can simplify the analysis of multiple trait indicators; therefore, it is widely used in the evaluation and research of germplasm resources or fruit quality [47]. In this study, ‘Korla fragrant’ pears from trunk-shape and small-canopy-shape trees were used as test materials, with tree parameters, photosynthetic activity, and exterior and internal quality accounting for three aspects in the principal component analysis. The differences in the characteristics of the different tree growth forms were analyzed by studying the loading of the variance contribution of each principal component in respect to the corresponding eigenvalue. In this study, a principal component analysis revealed that tree growth form had a significant effect on tree growth, number of fruit branches, Pn, Tr, Gs, SPAD, fruit size, and internal quality—results similar to those in previous studies [5,7]. In addition, by combining correlation and principal component analyses, it was found that the parameters, such as the crotch, equilibrium, and geotropic angles, of the different tree growth forms not only directly affected single-fruit weight, transverse diameter, soluble sugar content, etc., but also indirectly affected fruit quality by affecting photosynthetic activity, such as Ci and Gs, which then further affected single-fruit weight, longitudinal diameter, transverse diameter, a*, b*, and hardness.

5. Conclusions

In this study, the trunk-shape trees had a higher number of fruit branches, while the small-canopy-shape trees had improved photosynthetic activity and fruit qualities. In addition, although the number of fruits per plant and the yield per plant were significantly higher for the small-canopy-shape than the trunk-shape trees (4.83% and 47.85%, respectively), the yield per unit area was significantly higher for the trunk-shape than the small-canopy-shape trees (19.32%). Therefore, in the daily production process of trunk-shape trees, branch length should be appropriately extended to enhance photosynthetic activity and internal and external quality. Small-canopy-shape trees, on the other hand, require increased irrigation and fertilization to improve their yield per unit area.

Author Contributions

X.Z. designed the study, obtained the data, performed the statistical analyses, wrote the manuscript, and interpreted the data. X.L. (Xiangyu Li) revised and reviewed the manuscript. M.Y., X.L. (Xiaoning Liu), D.H., H.C., C.X., and C.W. participated in the conception and design of the study, interpreted the data, and reviewed and edited the manuscript. All authors have read and agreed to the published version of the manuscript.

Funding

This study was funded by the Genetic Resource Evaluation and Functional Gene Mining of Main Traits of Pear, Walnut, and Jujube in Xinjiang (2017DB006) and the Guiding Science and Technology Program Project, ‘Study on the Correlation between Different Tree Shape and the Photosynthetic Characteristics and Fruit Quality of Pears’ (2022ZD133).

Data Availability Statement

The original contributions presented in this study are included in the article; further inquiries can be directed to the corresponding author.

Conflicts of Interest

The authors declare no conflicts of interest.

Appendix A

Appendix A.1

Table A1. Tree parameters of different tree growth forms of ‘Korla fragrant’ pear.
Table A1. Tree parameters of different tree growth forms of ‘Korla fragrant’ pear.
Tree ParametersTree Growth FormsAverage ValueStandard DeviationLevene’s Test for Equality of VariancesDifference Test
F-Valuesp-Valuest-ValuesDegree of Freedomp-Values
Crotch angleA65.93009.50621.26330.24660.68371980.4949
B65.06008.4576
Equilibrium angleA65.16009.69301.09220.66177.02551980.0001
B75.010010.1300
Geotropic angleA43.140012.05291.13710.52391.04701980.2964
B41.410011.3031
Trunk heightA55.61008.80011.20690.35118.13121980.0001
B44.98009.6678
Trunk circumferenceA33.36003.33681.11760.5813131.89101980.0001
B93.94003.1564
Tree heightA4.23100.31271.47040.056521.93131980.0001
B5.12000.2579
Number of long fruit branchesA40.40003.91321.25330.263027.91921980.0001
B24.00004.3809
number of middle fruit branchesA30.70003.43331.37940.111216.18891980.0001
B23.40002.9233
Number of short fruit branchesA97.00005.15221.34910.1381110.90371980.0001
B21.60004.4359
In the table, “A” represents “trunk shape” and “B” represents “small-canopy shape”.

References

  1. Gong, Y.; Yang, Y.; Zhou, Z.; Jiang, X.; Tan, L.; Xiong, B. Effects of Different Canopy and Tree Shape on Fruit Quality of Huangguogan. IOP Conf. Ser. Earth Environ. Sci. 2020, 474, 32005. [Google Scholar] [CrossRef]
  2. Willaume, M.; Lauri, P.E.; Sinoquet, H. Light interception in apple trees influenced by canopy architecture manipulation. Trees 2004, 18, 705–713. [Google Scholar] [CrossRef]
  3. Yuan, Y.; Yang, W.; Chen, J.; Wei, J.; Xu, S.; Lu, X. Influence of Different Tree Shapes on Tree Structure, Fruit Quality and Yield of ‘Kuerle Xiangli’. North Hortic. 2025, 2, 1–10. [Google Scholar]
  4. Zhang, H.; Yang, X.; Ji, X.; Wang, Y.; Shi, M.; Wang, X.; Wang, Z.; Zhang, L.; Wang, X. Effects of tree shape on canopy structure, photosynthetic characteristics and fruit quality of early cultivated nectarine. J. Fruit Sci. 2024, 41, 470–480. [Google Scholar]
  5. Liu, L.; Li, Q.; Gao, D.; Wei, Z.; Shi, C.; Wang, Z.; Liu, J. Effects of tree shapes on growth, yield and quality of peach. J. Fruit Sci. 2022, 39, 36–46. [Google Scholar]
  6. Grechi, I.; Sauge, M.H.; Sauphanor, B.; Hilgert, N.; Senoussi, R.; Lescourret, F. How does winter pruning affect peach tree–Myzus persicae interactions? Entomol. Exp. Appl. 2008, 128, 369–379. [Google Scholar] [CrossRef]
  7. Liu, S.; Ling, H.; Zhao, Z.; Hou, Y.; Zhai, R.; Yang, C.; Xu, L.; Wang, Z. Effects of Different Tree Shapes on Canopy Structure, Photosynthetic Characteristics, Fruit Quality of ‘Dangshan’ pear. J. Fruit Resour. 2022, 3, 41–49. [Google Scholar]
  8. Zhang, J.; Serra, S.S.; Leisso, R.; Musacchi, S. Effect of light microclimate on the quality of ‘d’Anjou’ pears in mature open-centre tree architecture. Biosyst. Eng. 2016, 141, 1–11. [Google Scholar] [CrossRef]
  9. Zhao, M.; Sun, W.; Li, H.; Wang, W.; Cao, G.; Wang, F. The Effects of the Tree Structure of Zaosu Pear on the Transport and Distribution of Photosynthetic Assimilates and Fruit Quality Under Desert-Area Conditions. Agronomy 2022, 12, 2440. [Google Scholar] [CrossRef]
  10. An, B.; Gu, N.; Liu, X.; Zhang, Y.; Song, H.; Li, F. Effects of Different Tree Shapes on Canopy Structure and Photosynthetic Capacity of Plum. North Hortic. 2019, 29–35. [Google Scholar]
  11. Wang, Y.; Li, H.; Zhao, W.; Chang, G.; Kang, L.; Li, X.; Liang, S.; Gao, N. Analysis on Seasonal Canopy Characteristies Variation, Leaf Quality and Photosynthetic Characteristics of Different Apple Tree Shapes. Heilongjiang Agric. Sci. 2019, 5, 100–103. [Google Scholar]
  12. Afonso, S.; Ribeiro, C.; Bacelar, E.; Ferreira, H.; Oliveira, I.; Silva, A.P.; Gonçalves, B. Influence of training system on physiological performance, biochemical composition and antioxidant parameters in apple tree (Malus domestica Borkh.). Sci. Hortic. 2017, 225, 394–398. [Google Scholar] [CrossRef]
  13. Huang, G.; Tang, Z.; Peng, Y.; Wang, Y.; Li, W. Effects of Different Tree Shapes on Photosynthesis and Fruit Quality of ‘Lijiang Snow Peach’. Tianjin Agric. Sci. 2015, 21, 103–106. [Google Scholar]
  14. Giuliani, R.; Nerozzi, F.; Magnanini, E.; Corelli-Grappadelli, L. Influence of environmental and plant factors on canopy photosynthesis and transpiration of apple trees. Tree Physiol. 1997, 17, 637–645. [Google Scholar] [CrossRef]
  15. Marsal, J.; Johnson, S.; Casadesus, J.; Lopez, G.; Girona, J.; Stockle, C. Fraction of canopy intercepted radiation relates differently with crop coefficient depending on the season and the fruit tree species. Agric. For. Meteorol. 2014, 184, 1–11. [Google Scholar] [CrossRef]
  16. Van der Meer, M.; Lee, H.; de Visser, P.; Heuvelink, E.; Marcelis, L. Consequences of interplant trait variation for canopy light absorption and photosynthesis. Front. Plant Sci. 2023, 14, 1012718. [Google Scholar] [CrossRef]
  17. Ladon, T.; Chandel, J.S.; Sharma, N.C.; Verma, P. Optimizing apple orchard management: Investigating the impact of planting density, training systems and fertigation levels on tree growth, yield and fruit quality. Sci. Hortic. 2024, 334, 113329. [Google Scholar] [CrossRef]
  18. Anthony, B.M.; Minas, I.S. Canopy architecture impact on peach tree physiology, vigor diffusion, productivity and fruit quality. Sci. Hortic. 2025, 342, 114025. [Google Scholar] [CrossRef]
  19. Hao, J.; Chen, H.; Cao, H.; Dong, X.; Jia, H. Effects of Shading on Photosynthesis and Fruit Quality of Peach. J. Henan Agric. Sci. 2014, 43, 116–120. [Google Scholar]
  20. He, F.; Wang, F.; Wei, Q.; Wang, X.; Zhang, Q. Relationship Between Distribution of Relative Light Intensity in Canopy and Yield and Quality of Peach Fruit. Sci. Agric. Sin. 2008, 41, 502–507. [Google Scholar]
  21. Tustin, D.S.; Breen, K.C.; Van Hooijdonk, B.M. Light utilisation, leaf canopy properties and fruiting responses of narrow-row, planar cordon apple orchard planting systems—A study of the productivity of apple. Sci. Hortic. 2022, 294, 110778. [Google Scholar] [CrossRef]
  22. Yue, W.; Shu-chai, S.; Ma, L.; Shao-yan, Y.; Yu-wei, W.; Wang, X. Effects of canopy microclimate on fruit yield and quality of Camellia oleifera. Sci. Hortic. 2018, 235, 132–141. [Google Scholar] [CrossRef]
  23. Xu, H.; Liu, M.; Dong, S.; Wu, Y.; Zhang, H. Diversity and geographical variations of germplasm resources of Armeniaca mandshurica. Chin. J. Plant Ecol. 2019, 43, 585–600. [Google Scholar] [CrossRef]
  24. Zhang, G.; He, S.; Tang, W.; Li, G.; Zhang, J.; Niu, J. Investigation and Analysis of Evaluation Indexes of Spindle Tree Structure of Lingwu Long Jujube in Wulipo. J. Ningxia Agric. For. Sci. Technol. 2014, 55, 23–24. [Google Scholar]
  25. Zhang, X.; Yan, M.; Sun, Y.; Zhou, X.; Yuan, Z.; Li, X.; Lin, M.; Wu, C. Textural Characteristics and Anatomical Structure of Hard- and Soft-Fleshed Jujube Fruits. Agriculture 2024, 14, 2304. [Google Scholar] [CrossRef]
  26. Li, J. Study on molybdenum blue method of L-VC test by spectrometry. Food Sci. 2000, 21, 42–45. [Google Scholar]
  27. Pu, Y.; Ding, T.; Wang, W.; Xiang, Y.; Ye, X.; Li, M.; Liu, D. Effect of harvest, drying and storage on the bitterness, moisture, sugars, free amino acids and phenolic compounds of jujube fruit (Zizyphus jujuba cv. Junzao). J. Sci. Food Agric. 2018, 98, 628–634. [Google Scholar] [CrossRef]
  28. Kuang, Y.; Xu, Y.; Zhang, L.; Hou, E.; Shen, W. Dominant Trees in a Subtropical Forest Respond to Drought Mainly via Adjusting Tissue Soluble Sugar and Proline Content. Front. Plant Sci. 2017, 8, 802. [Google Scholar] [CrossRef] [PubMed]
  29. Song, H.; He, W.; Liu, Z.; Li, R.; Wu, J.; Liao, T.; Jiang, Y. Comprehensive Evaluation of ‘Renong No.1’ Phyllanthus emblica L. Quality Based on Principal Component Analysis. Sci. Technol. Food Ind. 2023, 44, 318–325. [Google Scholar]
  30. Song, Q.; Zhang, G.; Zhu, X. Optimal crop canopy architecture to maximise canopy photosynthetic CO2 uptake under elevated CO2—A theoretical study using a mechanistic model of canopy photosynthesis. Funct. Plant Biol. FPB 2013, 40, 108–124. [Google Scholar] [CrossRef] [PubMed]
  31. Zhou, Z.; Jiao, J.; Li, Y.; Li, Y.; Zhang, S. The Grey Relatedness Analysis Between the Modular Structure of Clonal Population of Calligonum mongolicum and the Environmental Factors in the Minqin Desert. Sci. Silvae Sin. 2012, 48, 141–149. [Google Scholar]
  32. Sharma, R.R.; Patel, V.B.; Krishna, H. Relationship between light, fruit and leaf mineral content with albinism incidence in strawberry (Fragaria × ananassa Duch.). Sci. Hortic. 2006, 109, 66–70. [Google Scholar] [CrossRef]
  33. Niu, R.; Zhao, X.; Wang, C.; Zhang, F.; Zhang, X.; Wang, F. Effects of canopy characteristics on fruit yield and quality with different training systems in nectarines. J. Fruit Sci. 2019, 36, 1667–1674. [Google Scholar]
  34. Shi, P.; Liu, H.; Bai, H.; Guo, D.; Tao, J.; Fan, C. Study on 3D Trunk Model Construction of Peach Tree Canopies and Light Interception and Space Distribution of Fruit Quality. Acta Agric. Boreali-Occident. Sin. 2016, 25, 1371–1378. [Google Scholar]
  35. Kishore, K.; Singh, H.S.; Nath, V.; Baig, M.J.; Murthy, D.S.; Acharya, G.C.; Behera, S. Influence of canopy architecture on photosynthetic parameters and fruit quality of mango in tropical region of India. Hortic. Environ. Biotechnol. 2023, 64, 557–569. [Google Scholar] [CrossRef]
  36. Wang, L.; Zhang, X.; Liu, Y.; Shi, X.; Wang, Y.; Zhang, C.; Zhao, Z. The effect of fruit bagging on the color, phenolic compounds and expression of the anthocyanin biosynthetic and regulatory genes on the ‘Granny Smith’ apples. Eur. Food Res. Technol. 2013, 237, 875–885. [Google Scholar] [CrossRef]
  37. Wen, Y.; Zhang, Y.; Su, S.; Yang, S.; Ma, L.; Zhang, L.; Wang, X. Effects of Tree Shape on the Microclimate and Fruit Quality Parameters of Camellia oleifera Abel. Forests 2019, 10, 563. [Google Scholar] [CrossRef]
  38. Ye, S.; Liu, T.; Niu, Y. Effects of organic fertilizer on water use, photosynthetic characteristics, and fruit quality of pear jujube in northern Shaanxi. Open Chem. 2020, 18, 537–545. [Google Scholar] [CrossRef]
  39. Gullo, G.; Motisi, A.; Zappia, R.; Dattola, A.; Diamanti, J.; Mezzetti, B. Rootstock and fruit canopy position affect peach [Prunus persica (L.) Batsch] (cv. Rich May) plant productivity and fruit sensorial and nutritional quality. Food Chem. 2014, 153, 234–242. [Google Scholar] [CrossRef]
  40. Hamadziripi, E.T.; Theron, K.I.; Muller, M.; Steyn, W.J. Apple Compositional and Peel Color Differences Resulting from Canopy Microclimate Affect Consumer Preference for Eating Quality and Appearance. Hortscience 2014, 49, 384–392. [Google Scholar] [CrossRef]
  41. Sun, T.; Wen, B.; Wang, C.; Tian, J.; Hao, Z.; Lin, Y.; Wen, Y.; Zhang, F. Effect of 5-Aminolevulinic Acid on the Quality and Volatile Metabolites of Korla Fragrant Pear Fruit. Food Sci. 2024, 45, 8–17. [Google Scholar]
  42. Xu, Y.; Tian, L.; Cao, Y.; Dong, X.; Zhang, Y.; Huo, H.; Qi, D.; Xu, J.; Liu, C. Evaluation of flesh texture of seven pear varieties at different ripening stages. J. Fruit Sci. 2023, 40, 2112–2123. [Google Scholar]
  43. González-Talice, J.; Yuri, J.A.; Del Pozo, A. Relations among pigments, color and phenolic concentrations in the peel of two Gala apple strains according to canopy position and light environment. Sci. Hortic. 2013, 151, 83–89. [Google Scholar] [CrossRef]
  44. Serra, S.; Sullivan, N.; Mattheis, J.P.; Musacchi, S.; Rudell, D.R. Canopy attachment position influences metabolism and peel constituency of European pear fruit. BMC Plant Biol. 2018, 18, 364. [Google Scholar] [CrossRef]
  45. Obata, T.; Florian, A.; Timm, S.; Bauwe, H.; Fernie, A.R. On the metabolic interactions of (photo)respiration. J. Exp. Bot. 2016, 67, 3003–3014. [Google Scholar] [CrossRef]
  46. Postma, J.A.; Hecht, V.L.; Hikosaka, K.; Nord, E.A.; Pons, T.L.; Poorter, H. Dividing the pie: A quantitative review on plant density responses. Plant Cell Environ. 2021, 44, 1072–1094. [Google Scholar] [CrossRef]
  47. Zhao, L.; Yan, S.; Wang, Y.; Xu, G.; Zhao, D. Evaluation of the Effect of Preharvest Melatonin Spraying on Fruit Quality of ‘Yuluxiang’ Pear Based on Principal Component Analysis. Foods 2023, 12, 3507. [Google Scholar] [CrossRef] [PubMed]
Figure 1. Different tree growth forms of ‘Korla fragrant’ pear: (a) trunk shape; (b) small-canopy shape.
Figure 1. Different tree growth forms of ‘Korla fragrant’ pear: (a) trunk shape; (b) small-canopy shape.
Agronomy 15 02348 g001
Figure 2. Tree parameters of different tree growth forms of ‘Korla fragrant’ pear: (a) crotch angle; (b) equilibrium angle; (c) geotropic angle; (d) trunk height; (e) trunk circumference; (f) tree height; (g) number of long fruit branches; (h) number of number of middle fruit branches; (i) number of short fruit branches; and (j) proportion of fruit branches. In the figure, “A” represents “trunk shape” and “B” represents “small-canopy shape”. * indicates a significant difference (p < 0.05) and ** indicates a very significant difference (p < 0.01) in the t-test.
Figure 2. Tree parameters of different tree growth forms of ‘Korla fragrant’ pear: (a) crotch angle; (b) equilibrium angle; (c) geotropic angle; (d) trunk height; (e) trunk circumference; (f) tree height; (g) number of long fruit branches; (h) number of number of middle fruit branches; (i) number of short fruit branches; and (j) proportion of fruit branches. In the figure, “A” represents “trunk shape” and “B” represents “small-canopy shape”. * indicates a significant difference (p < 0.05) and ** indicates a very significant difference (p < 0.01) in the t-test.
Agronomy 15 02348 g002aAgronomy 15 02348 g002b
Figure 3. Photosynthetic activity of different tree growth forms of ‘Korla fragrant’ pear: (a) net photosynthetic rate (Pn); (b) transpiration rate (Tr); (c) stomatal conductance (Gs); (d) intercellular concentration of CO2 (Ci); and (e) soil and plant analyzer development (SPAD). “A1” represents “trunk shape upper layers”, “A2” represents “trunk shape lower layers”, “B1” represents “small-canopy shape upper layers”, and “B2” represents “small-canopy shape lower layers”. Different lowercase letters in the figures indicate significant differences (p < 0.05).
Figure 3. Photosynthetic activity of different tree growth forms of ‘Korla fragrant’ pear: (a) net photosynthetic rate (Pn); (b) transpiration rate (Tr); (c) stomatal conductance (Gs); (d) intercellular concentration of CO2 (Ci); and (e) soil and plant analyzer development (SPAD). “A1” represents “trunk shape upper layers”, “A2” represents “trunk shape lower layers”, “B1” represents “small-canopy shape upper layers”, and “B2” represents “small-canopy shape lower layers”. Different lowercase letters in the figures indicate significant differences (p < 0.05).
Agronomy 15 02348 g003
Figure 4. Exterior quality of different tree growth forms of ‘Korla fragrant’ pear: (a) single-fruit weight; (b) longitudinal diameter; (c) transverse diameter; (d) L*; (e) a*; and (f) b*. “A1” represents “trunk shape upper layers”, “A2” represents “trunk shape lower layers”, “B1” represents “small-canopy shape upper layers”, and “B2” represents “small-canopy shape lower layers”. Different lowercase letters in the figures indicate significant differences (p < 0.05).
Figure 4. Exterior quality of different tree growth forms of ‘Korla fragrant’ pear: (a) single-fruit weight; (b) longitudinal diameter; (c) transverse diameter; (d) L*; (e) a*; and (f) b*. “A1” represents “trunk shape upper layers”, “A2” represents “trunk shape lower layers”, “B1” represents “small-canopy shape upper layers”, and “B2” represents “small-canopy shape lower layers”. Different lowercase letters in the figures indicate significant differences (p < 0.05).
Agronomy 15 02348 g004
Figure 5. Internal quality of different tree growth forms of ‘Korla fragrant’ pear: (a) hardness; (b) soluble solids; (c) vitamin C content; (d) titratable acid content; and (e) soluble sugar content. “A1” represents “trunk shape upper layers”, “A2” represents “trunk shape lower layers”, “B1” represents “small-canopy shape upper layers”, and “B2” represents “small-canopy shape lower layers”. Different lowercase letters in the figures indicate significant differences (p < 0.05).
Figure 5. Internal quality of different tree growth forms of ‘Korla fragrant’ pear: (a) hardness; (b) soluble solids; (c) vitamin C content; (d) titratable acid content; and (e) soluble sugar content. “A1” represents “trunk shape upper layers”, “A2” represents “trunk shape lower layers”, “B1” represents “small-canopy shape upper layers”, and “B2” represents “small-canopy shape lower layers”. Different lowercase letters in the figures indicate significant differences (p < 0.05).
Agronomy 15 02348 g005
Figure 6. Correlation analysis of the parameters, photosynthetic activity, exterior quality, and internal quality of ‘Korla fragrant’ pear trees with different growth forms: (a) trunk shape; (b) small-canopy shape. * indicates a significant difference and ** indicates a very significant difference.
Figure 6. Correlation analysis of the parameters, photosynthetic activity, exterior quality, and internal quality of ‘Korla fragrant’ pear trees with different growth forms: (a) trunk shape; (b) small-canopy shape. * indicates a significant difference and ** indicates a very significant difference.
Agronomy 15 02348 g006aAgronomy 15 02348 g006b
Figure 7. Principal component analysis of ‘Korla fragrant’ pear trees with different growth forms: (a,b) tree parameters; (c,d) photosynthetic activity; and (e,f) exterior and internal quality. A: Crotch angle; B: Equilibrium angle; C: Geotropic angle; D: Trunk height; E: Trunk circumference; F: Tree height; G: Number of long fruit branches; H: Number of middle fruit branches; I: Number of short fruit branches; J: Net photosynthetic rate (Pn); K: Transpiration rate (Tr); L: Stomatal conductance (Gs); M: Intercellular concentration of CO2 (Ci); N: Soil and plant analyzer development (SPAD); O: Single-fruit weight; P: Longitudinal diameter; Q: Transverse diameter; R: L*; S: a*; T: b*; U: Hardness; V: Soluble solids; W: Vitamin C content; X: Titratable acid content; Y: Soluble sugar content.
Figure 7. Principal component analysis of ‘Korla fragrant’ pear trees with different growth forms: (a,b) tree parameters; (c,d) photosynthetic activity; and (e,f) exterior and internal quality. A: Crotch angle; B: Equilibrium angle; C: Geotropic angle; D: Trunk height; E: Trunk circumference; F: Tree height; G: Number of long fruit branches; H: Number of middle fruit branches; I: Number of short fruit branches; J: Net photosynthetic rate (Pn); K: Transpiration rate (Tr); L: Stomatal conductance (Gs); M: Intercellular concentration of CO2 (Ci); N: Soil and plant analyzer development (SPAD); O: Single-fruit weight; P: Longitudinal diameter; Q: Transverse diameter; R: L*; S: a*; T: b*; U: Hardness; V: Soluble solids; W: Vitamin C content; X: Titratable acid content; Y: Soluble sugar content.
Agronomy 15 02348 g007
Table 1. Yield of different tree growth forms of ‘Korla fragrant’ pear.
Table 1. Yield of different tree growth forms of ‘Korla fragrant’ pear.
Tree Growth FormsNumber of Fruits Per PlantYield Per Plant (kg)Yield Per Unit Area (t·ha−1)
Trunk shape182.57 ± 12.5517.87 ± 1.342.10 ± 0.12 **
Small-canopy shape191.39 ± 20.70 **26.42 ± 2.95 **1.76 ± 0.11
* indicates a significant difference (p < 0.05) and ** indicates a very significant difference (p < 0.01) in the t-test.
Disclaimer/Publisher’s Note: The statements, opinions and data contained in all publications are solely those of the individual author(s) and contributor(s) and not of MDPI and/or the editor(s). MDPI and/or the editor(s) disclaim responsibility for any injury to people or property resulting from any ideas, methods, instructions or products referred to in the content.

Share and Cite

MDPI and ACS Style

Zhang, X.; Yan, M.; Liu, X.; He, D.; Cui, H.; Xin, C.; Wu, C.; Li, X. The Effects of Tree Growth Forms on the Photosynthetic Activity and Fruit Quality of ‘Korla Fragrant’ Pear. Agronomy 2025, 15, 2348. https://doi.org/10.3390/agronomy15102348

AMA Style

Zhang X, Yan M, Liu X, He D, Cui H, Xin C, Wu C, Li X. The Effects of Tree Growth Forms on the Photosynthetic Activity and Fruit Quality of ‘Korla Fragrant’ Pear. Agronomy. 2025; 15(10):2348. https://doi.org/10.3390/agronomy15102348

Chicago/Turabian Style

Zhang, Xiaodong, Min Yan, Xiaoning Liu, Duliang He, Haiwei Cui, Chenyu Xin, Cuiyun Wu, and Xiangyu Li. 2025. "The Effects of Tree Growth Forms on the Photosynthetic Activity and Fruit Quality of ‘Korla Fragrant’ Pear" Agronomy 15, no. 10: 2348. https://doi.org/10.3390/agronomy15102348

APA Style

Zhang, X., Yan, M., Liu, X., He, D., Cui, H., Xin, C., Wu, C., & Li, X. (2025). The Effects of Tree Growth Forms on the Photosynthetic Activity and Fruit Quality of ‘Korla Fragrant’ Pear. Agronomy, 15(10), 2348. https://doi.org/10.3390/agronomy15102348

Note that from the first issue of 2016, this journal uses article numbers instead of page numbers. See further details here.

Article Metrics

Back to TopTop