Next Article in Journal
The Effects of Tree Growth Forms on the Photosynthetic Activity and Fruit Quality of ‘Korla Fragrant’ Pear
Previous Article in Journal
Evolution of Cultivated Land Quality and Its Impact on Productivity in Three Arid Ecological Zones of Northern China
 
 
Font Type:
Arial Georgia Verdana
Font Size:
Aa Aa Aa
Line Spacing:
Column Width:
Background:
Article

Enhanced Nitrification Potential Soil from a Warm-Temperate Shrub Tussock Ecosystem Under Nitrogen Deposition and Warming Is Driven by Increased Nitrosospira Abundance

College of Horticulture, Shenyang Agricultural University, Liaoning 110866, China
*
Author to whom correspondence should be addressed.
Agronomy 2025, 15(10), 2347; https://doi.org/10.3390/agronomy15102347
Submission received: 24 August 2025 / Revised: 23 September 2025 / Accepted: 2 October 2025 / Published: 6 October 2025

Abstract

Atmospheric nitrogen (N) deposition and climate warming significantly influence soil nitrogen transformation processes. Nitrification, a key step in the N cycle, is primarily driven by ammonia-oxidizing archaea (AOA) and ammonia-oxidizing bacteria (AOB). However, their responses to environmental changes in warm-temperate shrub tussock grasslands—a major grassland type in China—remain poorly understood. In this study, we examined the effects of N addition and warming on the community composition of ammonia oxidizers and soil nitrification potential (NP) through pot experiments simulating field conditions. Our results demonstrated that (1) the AOB community was more responsive to N addition and warming than AOA, with the genus Nitrosospira increasing by 6.30–21.75% under treatments; (2) soil pH increased significantly under warming (from 6.53 to 6.86) but remained unchanged under N addition; (3) NP increased significantly under all treatment conditions, most markedly under warming alone (2.83-fold increase compared to the control); and (4) NP was positively correlated with both soil pH and the relative abundance of Nitrosospira. These findings suggest that warming and N deposition enhance nitrification in shrub tussock soil by altering AOB community structure and increasing soil pH. This study provides new insights into the microbial mechanisms driving N cycling in warm-temperate grasslands under global change.

1. Introduction

Nitrification is a critical process in soil nitrogen (N) cycling, and its microbial mechanisms under the combined pressures of increasing atmospheric N deposition and global warming have garnered significant scientific interest. Ammonia oxidation, the rate-limiting step of autotrophic nitrification, is primarily mediated by ammonia-oxidizing bacteria (AOB) and archaea (AOA) [1,2], which often occupy distinct ecological niches and respond differently to environmental changes. Both groups catalyze the oxidation of ammonia (NH3) to hydroxylamine (NH2OH) via the ammonia monooxygenase (AMO) enzyme encoded by the amoA gene [1,3]. However, they differ in their physiology and environmental preferences; AOA often exhibit a higher affinity for ammonia and dominate in acidic, oligotrophic soils [3,4], while AOB are typically more abundant in neutral/alkaline environments with higher nutrient availability [4,5]. Representative AOA genera include Nitrososphaera and Candidatus Nitrosocosmicus, whereas Nitrosospira and Nitrosomonas are key genera within the AOB [5,6].
Notably, the relative contributions and community structures of AOA and AOB vary substantially across grassland ecosystems [7], which are characterized by gradients of environmental, edaphic, and climatic variables and in turn influence the composition and activity of ammonia oxidizers. These variables—including soil pH, moisture, temperature, organic matter content, and inorganic nitrogen availability—are key determinants of the niche differentiation between AOA and AOB [5,7,8]. For instance, AOB were far less abundant than AOA in the acidic alpine meadows of the Qinghai–Tibet Plateau [9], whereas the opposite was observed in the temperate steppes of Inner Mongolia, where AOA amoA gene copies exceeded those of AOB by approximately three orders of magnitude [10]. These disparities highlight how soil pH and climate can fundamentally alter the microbial drivers of nitrification.
Warm-temperate shrub tussock, a major grassland type widely distributed across the hilly regions of northern China and particularly dominant in Liaoning Province [6], is characterized by shrub-dominated vegetation with mesophytic herbs. This ecosystem is a suitable model for predicting responses to global change due to its transitional climate and its ongoing exposure to increased levels of nitrogen deposition and warming [11,12]. Understanding nitrification dynamics here is crucial because this process plays a pivotal role in ecosystem functioning: it influences nitrogen retention versus leaching (potentially leading to water eutrophication), regulates the production of the potent greenhouse gas nitrous oxide (N2O), and determines the availability of nitrate (NO3) for plants and microbes [8,13,14]. Therefore, predicting how the balance between AOA and AOB might shift under global change scenarios is essential for forecasting the broader consequences for grassland ecosystem health, nutrient cycling, and greenhouse gas emissions. The insights gained may also have practical applications in guiding sustainable grassland management strategies, such as optimizing nitrogen fertilizer use to mitigate environmental impacts.
Anthropogenic environmental changes, particularly atmospheric N deposition and warming, are key stressors of this century that can profoundly alter soil biogeochemical cycles [8,12]. These factors influence N transformation processes by modulating soil nutrient availability and microbial activity [15,16,17,18]. For example, in the Loess Plateau, N inputs dramatically increased the amoA gene copy numbers of AOB more than those of AOA and warming further amplified this disparity [5]. Conversely, long-term N application in semi-arid farmlands was shown to reduce the abundance and diversity of AOB, including a significant decline in the key genus Nitrosospira [6]. These contrasting results highlight the context-dependent responses of ammonia oxidizers to environmental perturbations, necessitating ecosystem-specific studies.
The structure and composition of AOA and AOB communities directly regulate the nitrification process, yet their contributions to nitrification potential (NP) are not consistent [14,19]. In some grassland and agricultural soils, the abundance of AOB has been reported to correlate negatively with NP [20,21], while in other systems, such as alpine meadows, both N addition and warming stimulated amoA gene copies of AOA and AOB, leading to enhanced NP [22]. Although microbial abundance is often measured, there is a notable lack of studies linking NP to taxonomic shifts at the genus level within these functional communities.
Therefore, this study aimed to address two primary questions: (1) How do N deposition and warming affect the abundance and composition of AOA and AOB in warm-temperate shrub tussock soils? (2) How do changes in the community structure of ammonia oxidizers at the genus level correlate with soil NP? We hypothesized that: (i) AOB would be more responsive than AOA to N addition and warming treatments; (ii) these perturbations would increase soil nitrification potential; and (iii) the increase in NP would be positively correlated with the relative abundance of specific AOB genera, such as Nitrosospira. To test these hypotheses, we conducted a controlled pot experiment simulating N deposition and warming conditions, using Stipa bungeana—a dominant species in this ecosystem. Soil samples were collected on day 77 of the treatment period (after the growing season had started) to analyze the responses of ammonia-oxidizing microorganisms and NP. Our findings elucidate the microbial mechanisms through which environmental changes alter N cycling in warm-temperate shrub tussock grasslands, providing a critical scientific basis for predicting ecosystem responses to ongoing global change and informing management practices.

2. Materials and Methods

2.1. Experimental Site, Soil Sampling, and Initial Processing

The soil used was collected in March 2023 from a Stipa bungeana-dominated warm-temperate shrub tussock grassland in Zhalanyingzi Town (42.27 N, 121.90 E), Fuxin City, Liaoning Province, China. This site is located in the transition zone between the Inner Mongolia Plateau and the Liaohe Plain. The vegetation type was warm shrub tussock, and the dominate shrub was wattle (Vitex negundo), the plant height was usually less than 1 m, and the canopy density was 10–40%. The area has a temperate continental monsoon climate with an annual precipitation of 480 mm. The precipitation is unevenly distributed, with over 60% occurring during the summer months (June–August). The mean annual temperature is 7.2 °C, with monthly averages ranging from −12.5 °C in January to 23.5 °C in July. Using a sterile soil auger, a total of 15 composite soil samples (each composite sample formed from 5 random subsamples within a 1 m2 area) were collected from the top 0–30 cm soil layer across an area of approximately 1 hectare. Approximately 500 kg of cinnamon soil was collected in total.
The soil was thoroughly hand-mixed, passed through a 2 mm sieve to remove stones, plant roots, and macrofauna, and then homogenized to create a composite sample for the entire experiment at the research base of Shenyang Agricultural University (41.84 N, 123.57 E). This homogenized soil was then subsampled for the initial physicochemical characterization (Table A1) and for filling the experimental pots. The basic physicochemical properties of the homogenized bulk soil were determined prior to the experiment: soil pH (soil/water = 1:2.5) was measured with a pH meter (INESA PHS-3C, Shanghai, China); soil organic matter (SOM) content by the potassium dichromate volumetric method; total nitrogen (TN) content by the Kjeldahl method; total phosphorus (TP) content by the HClO4-H2SO4 method [23]; ammonium (NH4+-N) and nitrate (NO3-N) content by a continuous flow analyzer (Smartchem 140, AMS Alliance, Roma, Italy); and available phosphorus (AP) by the Olsen method.

2.2. Experimental Design and Plant Growth

Plastic pots (22 cm inner diameter, 380 cm2 caliper area, 25 cm height) were each filled with 10 kg of the cinnamon homogenized sieved soil. Six healthy, six-week-old seedlings of Stipa bungeana, which had been grown from seeds in a greenhouse and were at a uniform growth stage, were transplanted into each pot. The plants were acclimatized for two weeks under natural conditions before treatments commenced.
The experiment consisted of six treatments with three replicates each (totaling 18 independent experimental units): CK: control (no N addition, ambient temperature); N1: low nitrogen addition (10 kg N·hm−2·yr−1); N2: high nitrogen addition (20 kg N·hm−2·yr−1); T: warming (ambient + ~0.5°C, see below); N1T: low nitrogen addition + warming; N2T: high nitrogen addition + warming. Urea (46% N) was dissolved in deionized water and applied to the soil surface of the N-addition pots once at the beginning of the experiment to achieve the required annual N loading rate, simulating one major deposition event. The control and warming-only pots received an equivalent volume of deionized water, and the amount of N applied was referred to the total N deposition in the region (15–20 kg N·hm−2·yr−1) summarized by [12]. Warming was achieved using open-top chambers (OTCs, Figure A1), following the design of the International Tundra Research Program (ITEX) [24]. Pots subjected to warming (T, N1T, N2T) were placed inside OTCs, while control pots were placed adjacent to them. Air and soil (at 5 cm depth) temperatures inside and outside the chambers were monitored hourly throughout the 77-day experimental period (5 June to 21 August 2023) using data loggers (TR-52, T&D Corp., Tokyo, Japan). The OTCs increased the average daily air temperature by 0.77 °C and the average daily soil temperature by 0.46 °C (Figure A2).

2.3. Soil Sampling and Physicochemical Analysis

On day 77 after treatment initiation, soil samples were collected from each pot using a five-point sampling method with a 2.5 cm diameter auger to a depth of 10 cm. Each sample was homogenized to form one composite sample per pot. Each composite sample was then divided into two parts: one part was stored at −80 °C for molecular biological analysis, and the other was stored at 4 °C for soil physicochemical analysis, which was completed within one week.
Soil pH, SOM, TN, and TP were measured as described in Section 2.1. Soil soluble organic nitrogen (SON) was determined using the Dyer’s alloy reduction method [25]. Soil NH4+-N and NO3-N contents were re-measured at the end of the treatment using the continuous flow analyzer.

2.4. DNA Extraction, PCR Amplification, and Sequencing

Total genomic DNA was extracted from 0.5 g of fresh soil from each sample (n = 18) using the PowerSoil DNA Isolation Kit (MOBIO Laboratories, Inc., Carlsbad, CA, USA) according to the manufacturer’s protocols. The quality and concentration of the extracted DNA were checked by 1% agarose gel electrophoresis and a NanoDrop ND-2000 spectrophotometer (Thermo Fisher Scientific, Waltham, MA, USA).
The amoA genes of AOA and AOB were amplified separately using group-specific primer sets. The Arch-amoAF/Arch-amoAR primer set was used for AOA [26], and the amoA-1F/amoA-2R primer set was used for AOB (Table A2) [27]. Both primer sets included Illumina sequencing adapters and sample-specific 8-bp barcode sequences on the forward primer. The 25 μL PCR reaction mixture contained: 12.5 μL of 2× Premix Taq (TaKaRa, Tokyo, Japan), 0.5 μL of each forward and reverse primer (10 μM), 1 μL of template DNA (20 ng/μL), and 10.5 μL of PCR-grade water.
The thermal cycling conditions for both groups are detailed in Table A3. PCR products from the same sample were pooled, purified using the AxyPrep DNA Gel Extraction Kit (Axygen Biosciences, United City, CA, USA), and quantified. Equimolar amounts of purified amplicons from all samples were combined to form the sequencing library. Paired-end sequencing (2 × 250 bp) was performed on an Illumina NovaSeq 6000 platform (Personal Biotechnology Co., Ltd., Shanghai, China). The average sequencing depth was 60,000 raw reads per sample. The sequencing data were submitted to the NCBI Sequence Read Archive database (PRJNA1003659).

2.5. Bioinformatic and Statistical Analysis

Sequence processing and OTU clustering: Raw sequencing data were processed using QIIME 2 (version 2022.11) [28]. Sequences were quality-filtered, denoised, merged, and chimera-removed using the DADA2 plugin [29], which models and corrects Illumina-sequenced amplicon errors to infer exact amplicon sequence variants (ASVs). We refer to ASVs as OTUs in the text for consistency. After processing, the average retention rate of high-quality sequences was over 90%. All high-quality amoA gene sequences were clustered into operational taxonomic units (OTUs) at a 97% similarity threshold using the UCLUST algorithm within QIIME 2. The representative sequence of each OTU was taxonomically classified using a custom amoA gene reference database, which was constructed from curated amoA sequences obtained from the FunGene database and NCBI. Taxonomic assignment was performed using BLAST+ with a minimum identity threshold of 80%. To account for uneven sequencing depth, all samples were rarefied to 30,000 sequences per sample for downstream alpha and beta diversity analyses. Rarefaction curves confirmed that this depth adequately captured the diversity present (Figure A3).
Venn Diagram Construction: Venn diagrams were constructed to visualize the number of shared and unique operational taxonomic units (OTUs) among different treatment groups. The OTU tables, generated by clustering high-quality sequences at a 97% similarity threshold using the UCLUST algorithm within QIIME 2, served as the input. The analysis was performed at the OTU level (the finest taxonomic resolution obtained from the amoA gene sequencing) using the Venn function from the R package ‘gplots’ (v.3.1.3). This function calculates the intersections and unions of OTU lists from each treatment group to generate the diagram. Only OTUs with a minimum count of 2 in at least one sample were included to filter out potential sequencing noise.
Microbial diversity analysis: Alpha diversity indices, including Chao1 (richness), Shannon, and Simpson (diversity) indices, were calculated in QIIME2. Differences in these indices and soil properties among treatments were tested for significance using one-way ANOVA followed by Duncan’s multiple range test (p < 0.05) in SPSS Statistics 26.0 (IBM Corp., Ammonk, NY, USA). Beta diversity was analyzed based on Bray–Curtis dissimilarity matrices and visualized using Principal Coordinates Analysis (PCoA). The statistical significance of grouping was assessed using Permutational Multivariate Analysis of Variance (PERMANOVA; Adonis function) with 999 permutations in the R package ‘vegan’ (v.2.6-4). Differential abundance analysis at the genus level was performed to identify biomarker taxa for each treatment using Linear Discriminant Analysis Effect Size (LEfSe) on the Galaxy/Huttenhower web platform (LDA score > 3.0, p < 0.05).
Correlation and network analysis: Spearman’s rank correlation coefficients were calculated to assess the relationships between the relative abundance of key microbial taxa, soil properties, and nitrification potential. The correlation heatmap was generated using the R package ‘pheatmap’ (v.1.0.12). A co-occurrence network was constructed based on strong (|Spearman’s rho| > 0.6) and significant (p < 0.05) correlations using the R package ‘igraph’ (v.1.4.2) and visualized in Gephi (v.0.10.1).

2.6. Nitrification Potential Assay

Soil nitrification potential (NP) was determined using the shaken slurry method [19]. Briefly, 5 g of fresh field-moist soil from each sample was incubated in 50 mL of phosphate buffer (1 mM PO43−, pH 7.2) containing 1.5 mM (NH4)2SO4 as substrate. The slurries were shaken continuously at 150 rpm at 25 °C in the dark. Subsamples of the slurry were collected at 0, 2, 4, 16, 22, and 24 h after commencement. The samples were centrifuged at 4000× g for 5 min, and the supernatant was filtered (0.45 μm) for immediate analysis of NO3-N concentration. The NP, expressed as mg NO3-N produced per kg dry soil per day (mg·kg−1·d−1), was calculated from the linear regression slope of NO3-N concentration against time over the 24 h incubation. The formula for the soil NP was as follows:
N p = R × 0.05 + V 1 m × 24
In the equation, Np is the soil NP (mg·kg−1·d−1); R is the growth rate of NO3-N (mg·L−1·h−1); 0.05 is the volume of the solution (L); V1 is the volume of water in soil sample (L); m is the mass of the dried soil (kg); 24 is the overall incubation time of the soil (h).

3. Results

3.1. Responses of Ammonia-Oxidizing Microorganisms to N Addition and Warming

3.1.1. Species Composition of Ammonia-Oxidizing Microorganisms

The community composition of ammonia oxidizers was assessed by high-throughput sequencing of the amoA gene. The normalized read counts of AOA-amoA were significantly higher than those of AOB-amoA across all treatments (p < 0.05, Table 1). The AOA community responded to environmental perturbations: the normalized read counts of AOA-amoA significantly increased in the N1 treatment but decreased in the N1T treatment compared to the control (CK).
Analysis of OTU distribution, constructed by clustering high-quality sequences at a 97% similarity threshold, showed that the number of AOB OTUs (ranging from 206 to 752) exceeded that of AOA (172–199) in all treatments (Figure 1). A larger core set of OTUs was shared among AOA communities (149 common OTUs), whereas AOB communities exhibited higher treatment-specific diversity, with only 30 shared OTUs. All experimental treatments significantly reduced OTU richness within the AOB community while exerting minimal impact on AOA, indicating that AOB were more sensitive to N addition and warming than AOA.
At the family level, the AOA community was predominantly composed of Nitrososphaeraceae and Nitrosopumilaceae, with Nitrososphaeraceae accounting for 97.85–99.99% of the total abundance (Figure 2A,B). In contrast, the AOB community displayed higher phylogenetic diversity. Nitrosomonadaceae was the dominant family (63.64–84.70%), and its abundance increased under N addition and warming (Figure 3A,B). The relative abundances of minority families such as Moraxellaceae, Nitrospiraceae, Staphylococcaceae, and Chromatiaceae were reduced to nearly negligible levels under most treatments.
At the genus level, Candidatus Nitrosocosmicus and Nitrososphaera (both belonging to Nitrososphaeraceae) were the dominant taxa within AOA, though their relative abundances varied among treatments (Figure 2C,D). Within the AOB community, Nitrosospira was the predominant genus, with its relative abundance increasing significantly by 6.30–21.75% under N addition and warming treatments compared to the CK (62.96%) (Figure 3C,D), indicating its high responsiveness to environmental changes.

3.1.2. Diversity of Ammonia-Oxidizing Microorganisms

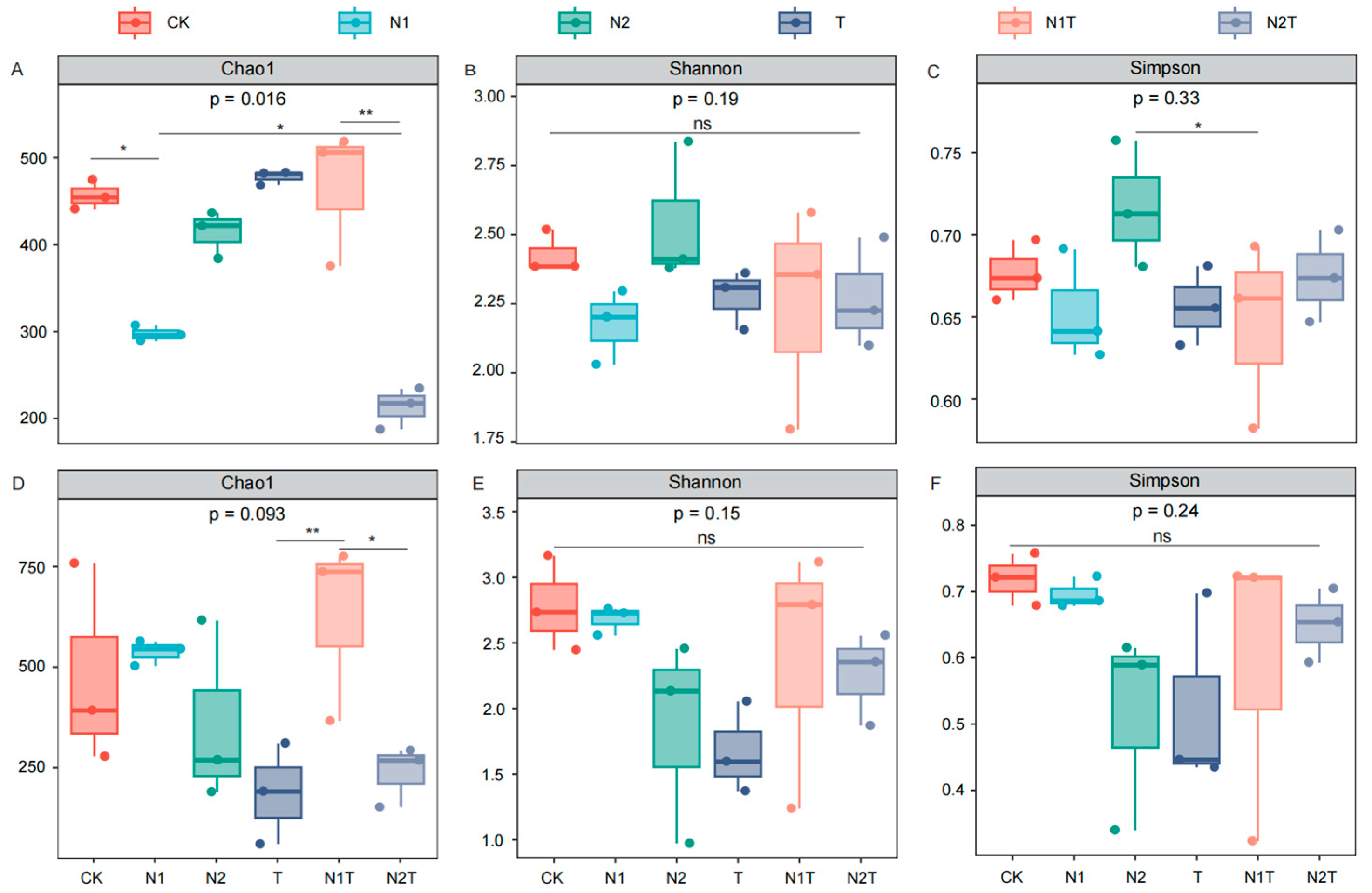
Alpha diversity analysis indicated that the Chao1 and Simpson indices of the AOA community, as well as the Chao1 index of the AOB community, differed significantly among treatments (Figure 4). PCoA further demonstrated that N addition was a major driver of AOA community variation (PCo1: 49.97%), while warming had a more pronounced effect on the AOB community (PCo1: 49.17%) (Figure 5).

3.2. Changes in Soil Properties and Nitrogen Forms

After 77 days of treatment, significant changes in soil chemical properties were observed (Figure 6A). While N addition alone (N1 and N2) did not significantly affect soil pH, warming alone (T) and its interaction with N (N1T and N2T) significantly increased pH values (p < 0.05), with the highest value recorded in the T treatment.
Soil soluble organic nitrogen (SON) content increased significantly across all treatments (0.23–0.34 g·kg−1) compared to the CK (p < 0.05), with the highest values observed in the N1T and N2T treatments—1.41 and 1.69 times higher than the control, respectively (Figure 6B).
Both ammonium (NH4+-N) and nitrate (NO3-N) contents exhibited considerable variation among treatments (Figure 7). All treatments except N1 significantly reduced NH4+-N content (ranging 0.90–4.68 mg·kg−1; p < 0.05), with the lowest value (1.52 mg·kg−1) occurring in the N1T treatment. In contrast, the N1 treatment increased NH4+-N content by 70.52% compared to CK. Conversely, NO3-N content increased significantly in all treatments (1.09–2.10 times higher than CK; p < 0.05), peaking in the N1 treatment (9.35 mg·kg−1).

3.3. Nitrification Potential and Its Relationship with Microbial Communities

Soil nitrification potential (NP) was significantly enhanced by N addition and warming (Table 2). The highest NP value (76.10 mg·kg−1·d−1) was observed in the N2 treatment, while warming alone (T) increased NP by 2.83 times compared to the CK. The interaction between warming and high N addition (N2T) resulted in a slight but significant reduction in NP compared to N2 alone (p < 0.05).
Correlation analysis revealed a significant positive relationship between soil NP and both pH (p < 0.05) and the relative abundance of Nitrosospira (p < 0.01) (Figure 8A). A highly significant negative correlation was observed between soil pH and NH4+-N content (p < 0.01). Additionally, AOA abundance correlated positively with NH4+-N, while AOB abundance showed a negative correlation with NO3-N (p < 0.05). Network analysis further illustrated the interrelationships among pH, NH4+-N, NP, and the relative abundance of AOB taxa (Figure 8B), highlighting how environmental changes affect nitrification through microbial community restructuring.

4. Discussion

This study demonstrates that both nitrogen addition and warming significantly altered the composition of ammonia-oxidizing microorganisms and enhanced nitrification potential (NP) in a warm-temperate shrub tussock soil. Notably, the AOB community, particularly the genus Nitrosospira, exhibited greater sensitivity to environmental changes than AOA, and its increased relative abundance was closely linked to elevated NP. Our findings align with some agricultural and grassland studies [6,22] but contrast with others where high N inputs suppressed Nitrosospira [6], highlighting the context-dependent nature of microbial responses.

4.1. Ecosystem-Level Implications of Enhanced Nitrification

The significant increase in NP, particularly under warming, has critical implications for ecosystem functioning. Enhanced nitrification can accelerate nitrogen cycling, potentially leading to increased nitrate (NO3) leaching into groundwater, especially following high rainfall events, thereby posing a risk of water eutrophication [30]. Furthermore, as nitrification is a key biological source of the potent greenhouse gas nitrous oxide (N2O), the observed shift in microbial community structure and activity could indirectly influence regional greenhouse gas emissions [13,14]. From a productivity perspective, the increased nitrate availability could initially benefit plant growth. However, in the long term, the potential for nitrogen loss via leaching and gaseous emissions may reduce nitrogen retention capacity of the ecosystem, possibly leading to nitrogen limitation and affecting the sustainability of grassland productivity [7,8]. The dominance of Nitrosospira, a genus often associated with high nitrification rates, underscores this risk of accelerated and potentially inefficient nitrogen cycling under global change scenarios.

4.2. Comparative Analysis with Other Ecosystems and the AOA/AOB Paradox

The greater sensitivity of AOB compared to AOA is consistent with previous studies across different ecosystems, but the drivers can vary [5,7]. The significant increase in the relative abundance of Nitrosospira under both N addition and warming treatments suggests its adaptability to the specific edaphic conditions of our study site, notably the initial neutral soil pH (pH 6.57), which is more favorable for AOB [4,5]. This explains why our results differ from studies conducted in acidic soils (e.g., alpine meadows on the Qinghai–Tibet Plateau [4]), where AOA typically dominate due to their higher affinity for ammonia and better tolerance to low pH [3,4]. The contrast with studies where long-term N fertilization suppressed AOB [6] may be attributed to differences in N application dosage, duration, and the pre-existing soil nutrient status. In our short-term experiment, the applied N rate might have been insufficient to cause acidification or other negative effects on AOB, instead providing a readily available substrate that favored their growth.

4.3. Discrepancy Between Microbial Abundance and Function

Although AOA were more abundant in terms of amoA gene normalized read counts, their functional role in nitrification appeared less decisive under the experimental conditions. This reinforces the critical concept that community composition and activity, rather than mere abundance, determine functional outcomes [3,4]. The abundance of amoA genes (DNA level) does not necessarily reflect the actual enzymatic activity (AMO enzyme expression) or the transcriptional state of the microbes. It is possible that AOA, though numerous, were less transcriptionally active than AOB. Furthermore, plant–microbe interactions likely played a modulating role. The roots of Stipa bungeana may have released exudates that differentially stimulated the activity of AOB over AOA, a factor not measured in this study but known to influence nitrifier activity [31]. Therefore, the functional importance of AOB, particularly Nitrosospira, in driving nitrification outweighs their numerical disadvantage in this ecosystem.

4.4. Methodological Considerations and Future Directions

This study highlights the ecological importance of AOB, and Nitrosospira in particular, in driving nitrification in warm-temperate grasslands under climate change and nitrogen deposition scenarios. However, several methodological limitations should be considered. First, the use of amplicon sequencing provides data on relative abundance; incorporating qPCR in future work would allow for the quantification of absolute amoA gene copy numbers, providing a clearer picture of population sizes. Second, to directly link community structure to function, metatranscriptomic analysis of amoA mRNA would be required to assess the transcriptional activity of AOA and AOB [16]. Finally, the use of pot experiments under controlled conditions over a 77-day period may simplify the complex interactions found in field environments and may not capture long-term adaptive responses. Furthermore, the use of a dominant grass species instead of a shrub, while practical, may not fully capture plant-specific rhizosphere effects on nitrifier communities. Longer-term field experiments incorporating more variable climatic factors and plant–microbe interactions are necessary to validate these findings.

5. Conclusions

This study demonstrates that nitrogen deposition and warming significantly alter the microbial drivers of nitrification in warm-temperate shrub tussock soil. The ammonia-oxidizing bacteria (AOB) community, particularly the genus Nitrosospira, exhibited greater sensitivity to environmental changes compared to ammonia-oxidizing archaea (AOA). The increase in the relative abundance of Nitrosospira was identified as a key microbial mechanism contributing to enhanced soil nitrification potential (NP). Furthermore, warming significantly increased soil pH, which also positively correlated with NP, indicating an important abiotic interaction. These findings highlight that climate warming and nitrogen deposition can accelerate soil nitrogen cycling, with potential consequences for nitrogen losses and ecosystem productivity. Further investigation into the in situ activity (e.g., via metatranscriptomics), functional gene expression of key genera, and plant–microbe interactions is recommended to fully elucidate the microbial mechanisms underlying nitrogen transformations under future climate scenarios. The insights gained are crucial for developing predictive models and management strategies to mitigate negative environmental impacts in grassland ecosystems.

Author Contributions

Conceptualization, B.R., T.X. and L.B.; Data curation, L.M. and H.L.; Funding acquisition, B.R. and L.B.; Methodology, L.M. and H.L.; Supervision, L.B.; Visualization, L.M.; Writing—original draft, T.X.; Writing—review and editing, B.R., J.L., J.Y. and L.B. All authors have read and agreed to the published version of the manuscript.

Funding

This research was funded by The Forestry and Grassland Bureau of Liaoning Province relies on the R & D project of the scientific and technological innovation platform of the National Forestry and Grassland Administration (LLC[2025]8, the Liaoning Provincial Scientific Research Fund (JYTYB2024046) and National Natural Science Foundation of China (32001127).

Data Availability Statement

The data presented in this study are openly available in NCBI Sequence Read Archive database, reference number PRJNA1003659.

Acknowledgments

The authors have reviewed and edited the output and take full responsibility for the content of this publication. We disclose that AI-assisted tools were used for language polishing and grammar checking during the revision process.

Conflicts of Interest

The authors declare no conflicts of interest.

Appendix A

Table A1. The basic physical and chemical properties of soil.
Table A1. The basic physical and chemical properties of soil.
pHOrganic Matter
(g·kg−1)
Total Nitrogen
(g·kg−1)
Total Phosphorus
(g·kg−1)
NH4+-N
(mg·kg−1)
NO3-N
(mg·kg−1)
Available Phosphorus
(mg·kg−1)
6.57 ± 0.0513.75 ± 0.122.26 ± 0.010.20 ± 0.021.43 ± 0.027.71 ± 0.051.38 ± 0.04
Table A2. The PCR amplification process of soil ammonia-oxidizing microorganisms.
Table A2. The PCR amplification process of soil ammonia-oxidizing microorganisms.
ProgramTemperatureTimeCycles
Pre-denaturation95 °C2 min1
Denaturation95 °C30 s25
55 °C30 s
72 °C30 s
Extension72 °C5 min1
Table A3. The primer sequences of soil ammonia-oxidizing microorganisms.
Table A3. The primer sequences of soil ammonia-oxidizing microorganisms.
NameForward Sequence (5′-3′)Reverse Sequence (5′-3′)
AOAGACTACATMTTCTAYACWGAYTGGGCGGKGTCATRTATGGWGGYAAYGTTGG
AOBGGGGTTTCTACTGGTGGTCCCCTCKGSAAAGCCTTCTTC
Figure A1. Schematic of the open-top box used in increased temperature treatments.
Figure A1. Schematic of the open-top box used in increased temperature treatments.
Agronomy 15 02347 g0a1
Figure A2. Daily air and soil temperature dynamics during a 77 d experimental period. Note: During the experimental period, temperature changes were recorded at 24 h intervals starting at 10:00 h. Air and Soil are air and soil temperatures, respectively, and Air-T and Soil-T are air and soil temperatures in increased temperature treatment, respectively.
Figure A2. Daily air and soil temperature dynamics during a 77 d experimental period. Note: During the experimental period, temperature changes were recorded at 24 h intervals starting at 10:00 h. Air and Soil are air and soil temperatures, respectively, and Air-T and Soil-T are air and soil temperatures in increased temperature treatment, respectively.
Agronomy 15 02347 g0a2
Figure A3. Rarefaction curves of AOA-amoA (A) and AOB-amoA (B) genes in different treatments.
Figure A3. Rarefaction curves of AOA-amoA (A) and AOB-amoA (B) genes in different treatments.
Agronomy 15 02347 g0a3
Figure A4. Linear Discriminant Analysis Effect Size (LEfSe) analysis of AOA-amoA genes.
Figure A4. Linear Discriminant Analysis Effect Size (LEfSe) analysis of AOA-amoA genes.
Agronomy 15 02347 g0a4

References

  1. Könneke, M.; Bernhard, A.E.; de la Torre, J.R.; Walker, C.B.; Waterbury, J.B.; Stahl, D.A. Isolation of an autotrophic ammonia-oxidizing marine archaeon. Nature 2005, 437, 543–546. [Google Scholar] [CrossRef]
  2. Prosser, J.I.; Nicol, G.W. Archaeal and bacterial ammonia-oxidisers in soil: The quest for niche specialisation and differentiation. Trends Microbiol. 2012, 20, 523–531. [Google Scholar] [CrossRef]
  3. Xiao, R.; Ran, W.; Hu, S.; Guo, H. The response of ammonia oxidizing archaea and bacteria in relation to heterotrophs under different carbon and nitrogen amendments in two agricultural soils. Appl. Soil Ecol. 2021, 158, 103812. [Google Scholar] [CrossRef]
  4. Ying, J.; Li, X.; Wang, N.; Lan, Z.; He, J.; Bai, Y. Contrasting effects of nitrogen forms and soil pH on ammonia oxidizing microorganisms and their responses to long-term nitrogen fertilization in a typical steppe ecosystem. Soil Biol. Biochem. 2017, 107, 10–18. [Google Scholar] [CrossRef]
  5. Wang, F.; Li, Z.; Wei, Y.; Su, F.; Guo, H.; Guo, J.; Wang, Y.; Zhang, Y.; Hu, S. Responses of soil ammonia-oxidizing bacteria and archaea to short-term warming and nitrogen input in a semi-arid grassland on the Loess Plateau. Eur. J. Soil Biol. 2021, 102, 103267. [Google Scholar] [CrossRef]
  6. Xu, A.; Li, L.; Xie, J.; Gopalakrishnan, S.; Zhang, R.; Luo, Z.; Cai, L.; Liu, C.; Wang, L.; Anwar, S.; et al. Changes in ammonia-oxidizing archaea and bacterial communities and soil nitrogen dynamics in response to long-term nitrogen fertilization. Int. J. Environ. Res. Public Health 2022, 19, 2732. [Google Scholar] [CrossRef]
  7. Frey, B.; Moser, B.; Tytgat, B.; Zimmermann, S.; Alberti, J.; Biederman, L.A.; Borer, E.T.; Broadbent, A.A.D.; Caldeira, M.C.; Davies, K.F.; et al. Long-term N-addition alters the community structure of functionally important N-cycling soil microorganisms across global grasslands. Soil Biol. Biochem. 2023, 176, 108887. [Google Scholar] [CrossRef]
  8. Li, H.; Zhang, J.; Tian, D.; Liu, Y.; Dong, J. Nitrogen significantly affected N cycling functional gene abundances compared with phosphorus and drought in an alpine meadow. Agronomy 2023, 13, 1041. [Google Scholar] [CrossRef]
  9. Xiang, X.; He, D.; He, J.-S.; Myrold, D.D.; Chu, H. Ammonia-oxidizing bacteria rather than archaea respond to short-term urea amendment in an alpine grassland. Soil Biol. Biochem. 2017, 107, 218–225. [Google Scholar] [CrossRef]
  10. Sun, Y.-F.; Shen, J.-P.; Zhang, C.-J.; Zhang, L.-M.; Bai, W.-M.; Fang, Y.; He, J.-Z. Responses of soil microbial community to nitrogen fertilizer and precipitation regimes in a semi-arid steppe. J. Soils Sediments 2018, 18, 762–774. [Google Scholar] [CrossRef]
  11. Liao, G.F.; Jia, Y.L. Grassland Resources in China; China Science and Technology Press: Beijing, China, 1996; pp. 405–421. (In Chinese) [Google Scholar]
  12. Huang, S.; Wang, F.; Elliott, E.M.; Zhu, F.; Zhu, W.; Koba, K.; Yu, Z.; Hobbie, E.A.; Michalski, G.; Kang, R.; et al. Multiyear measurements on Δ17O of stream nitrate indicate high nitrate production in a temperate forest. Environ. Sci. Technol. 2020, 54, 4231–4239. [Google Scholar] [CrossRef]
  13. Song, L.; Niu, S. Increased soil microbial AOB amoA and narG abundances sustain long-term positive responses of nitrification and denitrification to N deposition. Soil Biol. Biochem. 2022, 166, 108539. [Google Scholar] [CrossRef]
  14. Du, J.; Meng, L.; Qiu, M.; Chen, S.; Zhang, B.; Song, W.; Cong, P.; Zheng, X. Ammonia-oxidizing archaea and ammonia-oxidizing bacteria communities respond differently in oxy-gen-limited habitats. Front. Environ. Sci. 2022, 10, 976618. [Google Scholar] [CrossRef]
  15. Borowik, A.; Wyszkowska, J. Impact of temperature on the biological properties of soil. Int. Agrophys. 2016, 30, 1–8. [Google Scholar] [CrossRef]
  16. Xu, M.; Li, T.; Liu, W.; Ding, J.; Gao, L.; Han, X.; Zhang, X. Sensitivity of soil nitrifying and denitrifying microorganisms to nitrogen deposition on the Qinghai–Tibetan plateau. Ann. Microbiol. 2021, 71, 6. [Google Scholar] [CrossRef]
  17. Yan, G.; Xing, Y.; Han, S.; Zhang, J.; Mu, C. Long-time precipitation reduction and nitrogen deposition increase alter soil nitrogen dynamic by influencing soil bacterial communities and functional groups. Pedosphere 2020, 30, 363–377. [Google Scholar] [CrossRef]
  18. Zheng, J.; Cui, M.; Wang, C.; Wang, J.; Wang, S.; Sun, Z.; Ren, F.; Wan, S.; Han, S. Elevated CO2, warming, N addition, and increased precipitation affect different aspects of the arbuscular mycorrhizal fungal community. Sci. Total Environ. 2022, 806, 150522. [Google Scholar] [CrossRef] [PubMed]
  19. Taylor, A.E.; Giguere, A.T.; Zoebelein, C.M.; Myrold, D.D.; Bottomley, P.J. Modeling of soil nitrification responses to temperature reveals thermodynamic differences between ammonia-oxidizing activity of archaea and bacteria. ISME J. 2017, 11, 896–908. [Google Scholar] [CrossRef]
  20. Chen, Q.; Shang, Y.; Zhu, R.; Bao, Q.; Lin, S. Long-term enclosure at heavy grazing grassland affects soil nitrification via ammonia-oxidizing bacteria in Inner Mongolia. Sci. Rep. 2022, 12, 21464. [Google Scholar] [CrossRef]
  21. Sun, J.; Rengel, Z.; Zhou, Y.; Li, H.; Zhang, A. Ammonia-oxidizing archaea bacteria (AOB) and comammox drive the nitrification in alkaline soil under long-term biochar and N fertilizer applications. Appl. Soil Ecol. 2024, 193, 105124. [Google Scholar] [CrossRef]
  22. Zhang, Y.; Zhang, N.; Yin, J.; Zhao, Y.; Yang, F.; Jiang, Z.; Tao, J.; Yan, X.; Qiu, Y.; Guo, H.; et al. Simulated warming enhances the responses of microbial N transformations to reactive N input in a Tibetan alpine meadow. Environ. Int. 2020, 141, 105795. [Google Scholar] [CrossRef] [PubMed]
  23. Li, J.; Wang, K.B.; Shangguan, Z.P.; Deng, L. Coupling and decoupling of soil carbon, nitrogen and phosphorus stocks following grazing exclusion in temperate grasslands. Catena 2022, 211, 106003. [Google Scholar] [CrossRef]
  24. Godfree, R.; Roberrtson, B.; Bolger, T.; Carnegie, M.; Young, A. An improved hexagon open-top chamber system for stable diurnal and nocturnal warming and atmospheric carbon dioxide enrichment. Glob. Change Biol. 2011, 17, 439–451. [Google Scholar] [CrossRef]
  25. Chen, C.R.; Xu, Z.H.; Zhang, S.L.; Keay, P. Soluble Organic Nitrogen Pools in Forest soils of Subtropical Australia. Plant Soil 2005, 277, 285–297. [Google Scholar] [CrossRef]
  26. Francis, C.A.; Roberts, K.J.; Beman, J.M.; Santoro, A.E.; Oakley, B.B. Ubiquity and diversity of ammonia-oxidizing archaea in water columns and sediments of the ocean. Proc. Natl. Acad. Sci. USA 2005, 102, 14683–14688. [Google Scholar] [CrossRef]
  27. Stephen, J.R.; Chang, Y.-J.; Macnaughton, S.J.; Kowalchuk, G.A.; Leung, K.T.; Flemming, C.A.; White, D.C. Effect of toxic metals on indigenous soil beta-subgroup proteobacterium ammonia oxidizer community structure and protection against toxicity by inoculated metal-resistant bacteria. Appl. Environ. Microbiol. 1999, 65, 95–101. [Google Scholar] [CrossRef]
  28. Navas-Molina, J.A.; Peralta-Sánchez, J.M.; González, A.; McMurdie, P.J.; Vázquez-Baeza, Y.; Xu, Z.; Ursell, L.K.; Lauber, C.; Zhou, H.; Song, S.J.; et al. Chapter Nineteen—Advancing Our Understanding of the Human Microbiome Using QIIME, Methods in Enzymology; Academic Press: Cambridge, MA, USA, 2013; Volume 531, pp. 371–444. ISBN 9780124078635. [Google Scholar] [CrossRef]
  29. Callahan, B.; McMurdie, P.; Rosen, M.; Han, A.W.; Johnson, A.J.A.; Holmes, S.P. DADA2: High-resolution sample inference from Illumina amplicon data. Nat. Methods 2016, 13, 581–583. [Google Scholar] [CrossRef]
  30. Wei, P.; Du, J.; Bahadur, A.; Zhang, H.; Wang, S.; Wu, T.; Chen, S. Soil erosion and risk assessment on the Qinghai-Tibetan Plateau. Commun. Earth Environ. 2025, 6, 365. [Google Scholar] [CrossRef]
  31. Bai, X.; Zhai, G.; Zhai, Y.; Li, H.; An, S.; Rafiq, A.; Liu, J. Mechanism of microbial necromass formation during decomposition of Stipa bungeana above-ground residues. Catena 2024, 245, 108283. [Google Scholar] [CrossRef]
Figure 1. Venn diagram of AOA-amoA (A) and AOB-amoA (B) genes based on OTUs (97% similarity) in different treatments. Note: Each circle represents one treatment, the overlapping area represents the number of common OTUs among the corresponding treatments, and the number represents the number of OTUs contained in the corresponding area. Treatment abbreviations are defined in Table 1.
Figure 1. Venn diagram of AOA-amoA (A) and AOB-amoA (B) genes based on OTUs (97% similarity) in different treatments. Note: Each circle represents one treatment, the overlapping area represents the number of common OTUs among the corresponding treatments, and the number represents the number of OTUs contained in the corresponding area. Treatment abbreviations are defined in Table 1.
Agronomy 15 02347 g001
Figure 2. Community composition of AOA in different treatments. Note: (A) Relative abundances of the AOA community at the family level. (B) Same as (A) but excluding the “Others” category for clarity. (C) Relative abundances of the AOA community at the genus level. (D) Same as (C) but excluding the “Others” category. “Others” category for the AOA community is composed of taxonomically unassigned or unclassified sequences at the respective taxonomic level (family or genus), along with a very small number of rare, low-abundance taxa that could not be reliably classified further. Treatment abbreviations are defined in Table 1.
Figure 2. Community composition of AOA in different treatments. Note: (A) Relative abundances of the AOA community at the family level. (B) Same as (A) but excluding the “Others” category for clarity. (C) Relative abundances of the AOA community at the genus level. (D) Same as (C) but excluding the “Others” category. “Others” category for the AOA community is composed of taxonomically unassigned or unclassified sequences at the respective taxonomic level (family or genus), along with a very small number of rare, low-abundance taxa that could not be reliably classified further. Treatment abbreviations are defined in Table 1.
Agronomy 15 02347 g002
Figure 3. Community composition of AOB in different treatments. Note: (A) Relative abundances of the AOB community at the family level. (B) Same as (A) but excluding the “Others” category for clarity. (C) Relative abundances of the AOB community at the genus level. (D) Same as (C) but excluding the “Others” category. “Others” category for the AOB community is composed of taxonomically unassigned or unclassified sequences at the respective taxonomic level (family or genus), along with a very small number of rare, low-abundance taxa that could not be reliably classified further. Treatment abbreviations are defined in Table 1.
Figure 3. Community composition of AOB in different treatments. Note: (A) Relative abundances of the AOB community at the family level. (B) Same as (A) but excluding the “Others” category for clarity. (C) Relative abundances of the AOB community at the genus level. (D) Same as (C) but excluding the “Others” category. “Others” category for the AOB community is composed of taxonomically unassigned or unclassified sequences at the respective taxonomic level (family or genus), along with a very small number of rare, low-abundance taxa that could not be reliably classified further. Treatment abbreviations are defined in Table 1.
Agronomy 15 02347 g003
Figure 4. Alpha diversity of AOA-amoA and AOB-amoA genes in different treatments. Note: (AC) Chao1 (A), Shannon (B), and Simpson (C) indices for AOA. (DF) Chao1 (D), Shannon (E), and Simpson (F) indices for AOB. * In the boxplot, * indicates a significant difference (p < 0.05); ** indicates a significant difference (p < 0.01); NS indicates no significant difference (p > 0.05); the upper and lower ends of the box represent the upper and lower quartiles; the line inside the box represents the median; the whiskers represent the maximum and minimum values within 1.5 times the interquartile range; points outside the whiskers represent outliers. Treatment abbreviations are defined in Table 1.
Figure 4. Alpha diversity of AOA-amoA and AOB-amoA genes in different treatments. Note: (AC) Chao1 (A), Shannon (B), and Simpson (C) indices for AOA. (DF) Chao1 (D), Shannon (E), and Simpson (F) indices for AOB. * In the boxplot, * indicates a significant difference (p < 0.05); ** indicates a significant difference (p < 0.01); NS indicates no significant difference (p > 0.05); the upper and lower ends of the box represent the upper and lower quartiles; the line inside the box represents the median; the whiskers represent the maximum and minimum values within 1.5 times the interquartile range; points outside the whiskers represent outliers. Treatment abbreviations are defined in Table 1.
Agronomy 15 02347 g004
Figure 5. Beta diversity of AOA-amoA (A) and AOB-amoA (B) genes in different treatments. Note: Principal Coordinates Analysis (PCoA) plots based on Bray–Curtis dissimilarities. Circles of different colors indicate different treatments (see legend). Percentages in parentheses on the axes represent the proportion of variance explained by the corresponding principal coordinate. PERMANOVA results confirmed significant differences between treatment groups for both AOA (p = 0.001) and AOB (p = 0.002).
Figure 5. Beta diversity of AOA-amoA (A) and AOB-amoA (B) genes in different treatments. Note: Principal Coordinates Analysis (PCoA) plots based on Bray–Curtis dissimilarities. Circles of different colors indicate different treatments (see legend). Percentages in parentheses on the axes represent the proportion of variance explained by the corresponding principal coordinate. PERMANOVA results confirmed significant differences between treatment groups for both AOA (p = 0.001) and AOB (p = 0.002).
Agronomy 15 02347 g005
Figure 6. The soil pH (A) and SON content (B) soil in different treatments. Note: Different lowercase letters indicate significant differences among treatments according to Duncan’s test (p < 0.05). Treatment abbreviations are defined in Table 1.
Figure 6. The soil pH (A) and SON content (B) soil in different treatments. Note: Different lowercase letters indicate significant differences among treatments according to Duncan’s test (p < 0.05). Treatment abbreviations are defined in Table 1.
Agronomy 15 02347 g006
Figure 7. The soil active N content in different treatments. Note: Different lowercase letters indicate significant differences among treatments according to Duncan’s test (p < 0.05). Treatment abbreviations are defined in Table 1.
Figure 7. The soil active N content in different treatments. Note: Different lowercase letters indicate significant differences among treatments according to Duncan’s test (p < 0.05). Treatment abbreviations are defined in Table 1.
Agronomy 15 02347 g007
Figure 8. Correlation analysis of relationship between ammonia oxidation microorganisms and soil NP. Note: In the figure, (A) is correlation heatmap analysis and (B) is correlation network analysis. The size of the circle represents the strength of the correlation. * indicates significant difference (p < 0.05), ** indicates significant difference (p < 0.01).
Figure 8. Correlation analysis of relationship between ammonia oxidation microorganisms and soil NP. Note: In the figure, (A) is correlation heatmap analysis and (B) is correlation network analysis. The size of the circle represents the strength of the correlation. * indicates significant difference (p < 0.05), ** indicates significant difference (p < 0.01).
Agronomy 15 02347 g008
Table 1. Normalized read counts (×104) of AOA-amoA and AOB-amoA genes in different treatments.
Table 1. Normalized read counts (×104) of AOA-amoA and AOB-amoA genes in different treatments.
TreatmentsAOA-amoA Gene (×104)AOB-amoA Gene (×104)
CK11.34 ± 1.27 ab7.64 ± 0.23
N111.68 ± 0.66 a6.49 ± 0.37
N211.46 ± 0.93 ab7.31 ± 0.52
T10.46 ± 0.92 ab8.03 ± 0.19
N1T8.56 ± 0.6 b7.11 ± 0.96
N2T11.18 ± 0.76 ab7.89 ± 0.31
Note: Values are mean ± standard error (n = 3). Different lowercase letters within a column indicate significant differences among treatments according to Duncan’s test (p < 0.05). CK: control; N1: low nitrogen addition (10 kg N·hm−2·yr−1); N2: high nitrogen addition (20 kg N·hm−2·yr−1); T: warming; N1T: low nitrogen + warming; N2T: high nitrogen + warming.
Table 2. Changes in soil nitrification potential in different treatments.
Table 2. Changes in soil nitrification potential in different treatments.
TreatmentsGrowth Rate of NO3-N (R)Nitrification Potential (Np, mg·kg−1·d−1)Coefficient of Determination (R2)Standard Error (SE)
CK0.1638.82 e0.950.18
N10.1843.07 de0.850.66
N20.3276.10 b0.951.09
T0.46109.75 a0.993.92
N1T0.1945.86 d0.880.41
N2T0.2969.24 c0.841.69
Note: Different lowercase letters within a column indicate significant differences among treatments according to Duncan’s test (p < 0.05).
Disclaimer/Publisher’s Note: The statements, opinions and data contained in all publications are solely those of the individual author(s) and contributor(s) and not of MDPI and/or the editor(s). MDPI and/or the editor(s) disclaim responsibility for any injury to people or property resulting from any ideas, methods, instructions or products referred to in the content.

Share and Cite

MDPI and ACS Style

Ren, B.; Ma, L.; Xu, T.; Li, H.; Li, J.; Yang, J.; Bai, L. Enhanced Nitrification Potential Soil from a Warm-Temperate Shrub Tussock Ecosystem Under Nitrogen Deposition and Warming Is Driven by Increased Nitrosospira Abundance. Agronomy 2025, 15, 2347. https://doi.org/10.3390/agronomy15102347

AMA Style

Ren B, Ma L, Xu T, Li H, Li J, Yang J, Bai L. Enhanced Nitrification Potential Soil from a Warm-Temperate Shrub Tussock Ecosystem Under Nitrogen Deposition and Warming Is Driven by Increased Nitrosospira Abundance. Agronomy. 2025; 15(10):2347. https://doi.org/10.3390/agronomy15102347

Chicago/Turabian Style

Ren, Baihui, Longzhen Ma, Tianyue Xu, Haoyan Li, Jiahuan Li, Jiyun Yang, and Long Bai. 2025. "Enhanced Nitrification Potential Soil from a Warm-Temperate Shrub Tussock Ecosystem Under Nitrogen Deposition and Warming Is Driven by Increased Nitrosospira Abundance" Agronomy 15, no. 10: 2347. https://doi.org/10.3390/agronomy15102347

APA Style

Ren, B., Ma, L., Xu, T., Li, H., Li, J., Yang, J., & Bai, L. (2025). Enhanced Nitrification Potential Soil from a Warm-Temperate Shrub Tussock Ecosystem Under Nitrogen Deposition and Warming Is Driven by Increased Nitrosospira Abundance. Agronomy, 15(10), 2347. https://doi.org/10.3390/agronomy15102347

Note that from the first issue of 2016, this journal uses article numbers instead of page numbers. See further details here.

Article Metrics

Back to TopTop