Shifting from Tillage to Cover Cropping in Warm Climate Viticulture: Seeking the Optimal Balance
Abstract
1. Introduction
2. Vineyard Tillage: Pros and Cons
3. Tillage, Vineyard Water Relations, and Vine Balance
4. Vineyards Cover Cropping: The Central Issue of Grass vs. Vine Competition
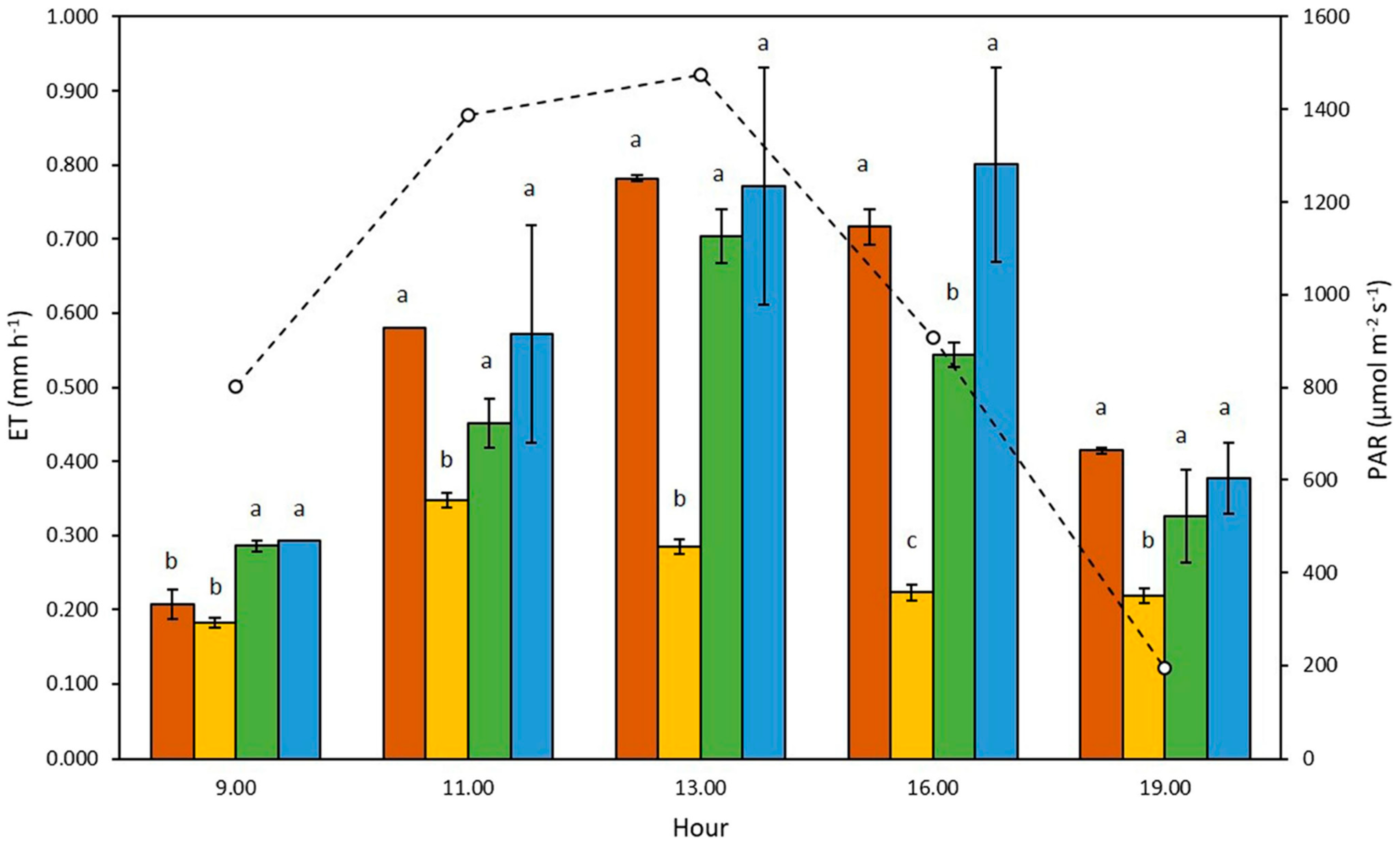
5. Cover Crop Water Use

6. Planning a Vineyard for the Best Compromise Between Tillage and Cover Crops
7. Conclusions
- Under cool and wet growing conditions, the conflict between these two techniques is minimal. Cover crops offer numerous agro-ecological benefits and can serve as a vital tool for vine balance. They help control vegetative vigor, prevent excessive yields, and significantly enhance overall grape composition.
- In warm to hot climates, transitioning from tillage to cover crops becomes more complex due to the potential competition for water and nutrients, with the needs of the associated vines taking precedence. Additionally, the increasing severity and frequency of meteorological droughts suggest that under dry farming conditions, light tillage might still be advisable.
- Several methods and approaches are now available to regulate the degree of competition that a cover might exert on the associated vines: (i) limit the spatial extension and growth of native grassing; (ii) regardless of which part of the vineyard is cover cropped (i.e., between rows or under vines), a good strategy is to achieve root double layering, meaning the topsoil (0–15 cm) is densely colonized by grass roots, while the underlying layers are dominated by grapevine roots, including some tap roots that may ensure survival during extreme summer drought; (iii) if an artificial sod is chosen, preference should be given to microtherm species that have a growth lag in summer with the potential to recover in the fall.
- The general impression is that “soil management” is still viewed as a fairly standard practice that does not require any “design and management strategy” and is, in most cases, left to the free growth of native vegetation, with competition reduced by periodic mowing.
- Part of the contradiction between tillage and cover crops can be resolved if “no tillage” is understood to mean the use of mulching practices. This advanced method remains largely underutilized in vineyards. Progress could be achieved by overcoming the well-known challenges of sourcing, distributing, maintaining, and disposing of mulching material through natural solutions like interrow rolling or sub-row mulching.
- There is also a growing interest in alternative management of the under-vine strip, which is still traditionally managed with herbicides or tillage. Among the various approaches, which should consider the availability of blue water, the intentional sowing of low-maintenance, suffocating creeping cover crops that can control native weeds and limit water use is gaining attention. Where irrigation is available, allowing spontaneous vegetation to grow and observing whether it leads to a beneficial plant community that gradually isolates aggressive broadleaf species is another option.
Author Contributions
Funding
Conflicts of Interest
References
- Giffard, B.; Winter, S.; Guidoni, S.; Nicolai, A.; Castaldini, M.; Cluzeau, D.; Coll, P.; Cortet, J.; Le Cadre, E.; D’errico, G.; et al. Vineyard management and its impacts on soil biodiversity, functions, and ecosystem services. Front. Ecol. Evol. 2022, 10, 850272. [Google Scholar] [CrossRef]
- Rodrigo-Comino, J. Five decades of soil erosion research in “terroir”. The State-of-the-Art. Earth-Sci. Rev. 2018, 179, 436–447. [Google Scholar] [CrossRef]
- Prosdocimi, M.; Cerdà, A.; Tarolli, P. Soil water erosion on Mediterranean vineyards: A review. Catena 2016, 141, 1–21. [Google Scholar] [CrossRef]
- Rodrigo Comino, J.; Iserloh, T.; Morvan, X.; Malam Issa, O.; Naisse, C.; Keesstra, S.D.; Cerdà, A.; Prosdocimi, M.; Arnáez, J.; Lasanta, T.; et al. Soil erosion processes in European vineyards: A qualitative comparison of rainfall simulation measurements in Germany, Spain and France. Hydrology 2016, 3, 6. [Google Scholar] [CrossRef]
- Gristina, L.; Novara, A.; Minacapilli, M. Rethinking vineyard ground management to counter soil tillage erosion. Soil Tillage Res. 2022, 217, 105275. [Google Scholar] [CrossRef]
- Novara, A.; Gristina, L.; Saladino, S.; Santoro, A.; Cerdà, A. Soil erosion assessment on tillage and alternative soil managements in a Sicilian vineyard. Soil Tillage Res. 2011, 117, 140–147. [Google Scholar] [CrossRef]
- Peregrina, F.; Pérez-Álvarez, E.P.; Colina, M.; García-Escudero, E. Cover crops and tillage influence soil organic matter and nitrogen availability in a semi-arid vineyard. Arch. Agron. Soil Sci. 2012, 58 (Suppl. S1), SS95–SS102. [Google Scholar] [CrossRef]
- Zehetner, F.; Djukic, I.; Hofmann, R.; Kühnen, L.; Rampazzo-Todorovic, G.; Gerzabek, M.H.; Soja, G. Soil organic carbon and microbial communities respond to vineyard management. Soil Use Manag. 2015, 31, 528–533. [Google Scholar] [CrossRef]
- Emmerling, C.; Schloter, M.; Hartmann, A.; Kandeler, E. Functional diversity of soil organisms—A review of recent research activities in Germany. J. Plant Nutr. Soil Sci. 2002, 165, 408–420. [Google Scholar] [CrossRef]
- Hendgen, M.; Hoppe, B.; Döring, J.; Friedel, M.; Kauer, R.; Frisch, M.; Dahl, A.; Kellner, H. Effects of different management regimes on microbial biodiversity in vineyard soils. Sci. Rep. 2018, 8, 9393. [Google Scholar] [CrossRef]
- Cavani, L.; Manici, L.M.; Caputo, F.; Peruzzi, E.; Ciavatta, C. Ecological restoration of a copper polluted vineyard: Long-term impact of farmland abandonment on soil bio-chemical properties and microbial communities. J. Environ. Manag. 2016, 182, 37–47. [Google Scholar] [CrossRef]
- Jackson, L.E.; Bowles, T.M.; Hodson, A.K.; Lazcano, C. Soil microbial-root and microbial-rhizosphere processes to increase nitrogen availability and retention in agroecosystems. Curr. Opin. Environ. Sustain. 2012, 4, 517–522. [Google Scholar] [CrossRef]
- Duret, M.; Wallner, A.; Besaury, L.; Aziz, A. Diversity and functional features of the root-associated bacteriome are dependent on grapevine susceptibility to Plasmopara viticola. Environ. Microbiome 2025, 20, 30. [Google Scholar] [CrossRef]
- Xue, T.; Zhang, L.; Yang, F.; Cheng, C.; Wang, J.; Sang, Q.; Yang, S.; Zhao, X.; Zhang, L. Carbon sink and soil organic carbon sequestration mechanisms in vineyards. J. Clean. Prod. 2024, 469, 143217. [Google Scholar] [CrossRef]
- Vrsic, S.; Ivancic, A.; Pulko, B.; Valdhuber, J. Effect of soil management systems on erosion and nutrition loss in vineyards on steep slopes. J. Environ. Biol. 2011, 32, 289. [Google Scholar]
- Louchart, X.; Voltz, M.; Andrieux, P.; Moussa, R. Herbicide transport to surface waters at field and watershed scales in a Mediterranean vineyard area. J. Environ. Qual. 2001, 30, 982–991. [Google Scholar] [CrossRef]
- Ying, G.-G.; Williams, B. Dissipation of herbicides in soil and grapes in a South Australian vineyard. Agric. Ecosyst. Environ. 2000, 78, 283–289. [Google Scholar] [CrossRef]
- Derpsch, R.; Franzluebbers, A.; Duiker, S.; Reicosky, D.; Koeller, K.; Friedrich, T.; Sturny, W.; Sá, J.; Weiss, K. Why do we need to standardize no-tillage research? Soil Tillage Res. 2014, 137, 16–22. [Google Scholar] [CrossRef]
- Peixoto, D.S.; da Silva, L.d.C.M.; de Melo, L.B.B.; Azevedo, R.P.; Araújo, B.C.L.; de Carvalho, T.S.; Moreira, S.G.; Curi, N.; Silva, B.M. Occasional tillage in no-tillage systems: A global meta-analysis. Sci. Total Environ. 2020, 745, 140887. [Google Scholar] [CrossRef]
- Van Huyssteen, L.; Weber, H. The effect of conventional and minimum tillage practices on some soil properties in a dryland vineyard. S. Afr. J. Enol. Vitic. 1980, 1, 35–45. [Google Scholar] [CrossRef][Green Version]
- Dobrei, A.; Nistor, E. Tillage practices in the context of climate change and a sustainable viticulture. Not. Sci. Biol. 2015, 7, 500–504. [Google Scholar] [CrossRef]
- Runge, T.; Latacz-Lohmann, U.; Schaller, L.; Todorova, K.; Daugbjerg, C.; Termansen, M.; Liira, J.; Le Gloux, F.; Dupraz, P.; Leppanen, J.; et al. Implementation of Eco-schemes in Fifteen European Union Member States. EuroChoices 2022, 21, 19–27. [Google Scholar] [CrossRef]
- Noun, G.; Lo Cascio, M.; Spano, D.; Marras, S.; Sirca, C. Plant-Based Methodologies and Approaches for Estimating Plant Water Status of Mediterranean Tree Species: A Semi-Systematic Review. Agronomy 2022, 12, 2127. [Google Scholar] [CrossRef]
- Burg, P.; Čížková, A.; Mašán, V.; Sedlar, A.; Matwijczuk, A.; Souček, J. The effect of mulch materials on selected soil properties, yield and grape quality in vineyards under central European conditions. Agronomy 2022, 12, 1862. [Google Scholar] [CrossRef]
- Guerra, B.; Steenwerth, K. Influence of floor management technique on grapevine growth, disease pressure, and juice and wine composition: A review. Am. J. Enol. Vitic. 2012, 63, 149–164. [Google Scholar] [CrossRef]
- Visconti, F.; Lopez, R.; Olego, M.A. The health of vineyard soils: Towards a sustainable viticulture. Horticulturae 2024, 10, 154. [Google Scholar] [CrossRef]
- Manzone, M.; Demeneghi, M.; Marucco, P.; Grella, M.; Balsari, P. Technical solutions for under-row weed control in vineyards: Efficacy, costs and environmental aspects analysis. J. Agric. Eng. 2020, 51, 36–42. [Google Scholar] [CrossRef]
- Mainardis, M.; Boscutti, F.; Rubio Cebolla, M.d.M.; Pergher, G. Comparison between flaming, mowing and tillage weed control in the vineyard: Effects on plant community, diversity and abundance. PLoS ONE 2020, 15, e0238396. [Google Scholar] [CrossRef]
- Steenwerth, K.L.; Calderón-Orellana, A.; Hanifin, R.C.; Storm, C.; McElrone, A.J. Effects of various vineyard floor management techniques on weed community shifts and grapevine water relations. Am. J. Enol. Vitic. 2016, 67, 153–162. [Google Scholar] [CrossRef]
- Coulouma, G.; Boizard, H.; Trotoux, G.; Lagacherie, P.; Richard, G. Effect of deep tillage for vineyard establishment on soil structure: A case study in Southern France. Soil Tillage Res. 2006, 88, 132–143. [Google Scholar] [CrossRef]
- Lagacherie, P.; Coulouma, G.; Ariagno, P.; Virat, P.; Boizard, H.; Richard, G. Spatial variability of soil compaction over a vineyard region in relation with soils and cultivation operations. Geoderma 2006, 134, 207–216. [Google Scholar] [CrossRef]
- Linares, R.; de la Fuente, M.; Junquera, P.; Lissarrague, J.R.; Baeza, P. Effects of soil management in vineyard on soil physical and chemical characteristics. BIO Web Conf. 2014, 3, 01008. [Google Scholar] [CrossRef]
- Minardi, I.; Tezza, L.; Pitacco, A.; Valenti, L.; Coppo, L.; Ghiglieno, I. Evaluation of nitrous oxide emissions from vineyard soil: Effect of organic fertilisation and tillage. J. Clean. Prod. 2022, 380, 134557. [Google Scholar] [CrossRef]
- Biddoccu, M.; Ferraris, S.; Cavallo, E.; Opsi, F.; Previati, M.; Canone, D. Hillslope vineyard rainfall-runoff measurements in relation to soil infiltration and water content. Procedia Environ. Sci. 2013, 19, 351–360. [Google Scholar] [CrossRef]
- Marques, M.; Ruiz-Colmenero, M.; Bienes, R.; García-Díaz, A.; Sastre, B. Effects of a permanent soil cover on water dynamics and wine characteristics in a steep vineyard in the Central Spain. Air Soil Water Res. 2020, 13, 1178622120948069. [Google Scholar] [CrossRef]
- Ozpinar, S.; Ozpinar, A.; Cay, A. Soil management effect on soil properties in traditional and mechanized vineyards under a semiarid Mediterranean environment. Soil Tillage Res. 2018, 178, 198–208. [Google Scholar] [CrossRef]
- Sharley, D.J.; Hoffmann, A.A.; Thomson, L.J. The effects of soil tillage on beneficial invertebrates within the vineyard. Agric. For. Entomol. 2008, 10, 233–243. [Google Scholar] [CrossRef]
- Blanco-Pérez, R.; Sáenz-Romo, M.G.; Vicente-Díez, I.; Ibáñez-Pascual, S.; Martínez-Villar, E.; Marco-Mancebón, V.S.; Pérez-Moreno, I.; Campos-Herrera, R. Impact of vineyard ground cover management on the occurrence and activity of entomopathogenic nematodes and associated soil organisms. Agric. Ecosyst. Environ. 2020, 301, 107028. [Google Scholar] [CrossRef]
- Uzman, D.; Pliester, J.; Leyer, I.; Entling, M.H.; Reineke, A. Drivers of entomopathogenic fungi presence in organic and conventional vineyard soils. Appl. Soil Ecol. 2019, 133, 89–97. [Google Scholar] [CrossRef]
- Pfingstmann, A.; Paredes, D.; Buchholz, J.; Querner, P.; Bauer, T.; Strauss, P.; Kratschmer, S.; Winter, S.; Zaller, J. Contrasting effects of tillage and landscape structure on spiders and springtails in vineyards. Sustainability 2019, 11, 2095. [Google Scholar] [CrossRef]
- Liebhard, G.; Guzman, G.; Gomez, J.A.; Winter, S.; Zaller, J.G.; Bauer, T.; Nicolai, A.; Cluzeau, D.; Popescu, D.; Bunea, C.I. Vineyard cover crop management strategies and their effect on soil properties across Europe. Eur. J. Soil Sci. 2024, 75, e13573. [Google Scholar] [CrossRef]
- Catania, P.; Badalucco, L.; Laudicina, V.A.; Vallone, M. Effects of tilling methods on soil penetration resistance, organic carbon and water stable aggregates in a vineyard of semiarid Mediterranean environment. Environ. Earth Sci. 2018, 77, 348. [Google Scholar] [CrossRef]
- Novara, A.; Stallone, G.; Cerdà, A.; Gristina, L. The effect of shallow tillage on soil erosion in a semi-arid vineyard. Agronomy 2019, 9, 257. [Google Scholar] [CrossRef]
- Lieskovský, J.; Kenderessy, P. Modelling the effect of vegetation cover and different tillage practices on soil erosion in vineyards: A case study in Vráble (Slovakia) using WATEM/SEDEM. Land Degrad. Dev. 2014, 25, 288–296. [Google Scholar] [CrossRef]
- Straffelini, E.; Pijl, A.; Otto, S.; Marchesini, E.; Pitacco, A.; Tarolli, P. A high-resolution physical modelling approach to assess runoff and soil erosion in vineyards under different soil managements. Soil Tillage Res. 2022, 222, 105418. [Google Scholar] [CrossRef]
- Raclot, D.; Le Bissonnais, Y.; Louchart, X.; Andrieux, P.; Moussa, R.; Voltz, M. Soil tillage and scale effects on erosion from fields to catchment in a Mediterranean vineyard area. Agric. Ecosyst. Environ. 2009, 134, 201–210. [Google Scholar] [CrossRef]
- Biddoccu, M.; Ferraris, S.; Opsi, F.; Cavallo, E. Long-term monitoring of soil management effects on runoff and soil erosion in sloping vineyards in Alto Monferrato (North–West Italy). Soil Tillage Res. 2016, 155, 176–189. [Google Scholar] [CrossRef]
- Capello, G.; Biddoccu, M.; Ferraris, S.; Cavallo, E. Effects of tractor passes on hydrological and soil erosion processes in tilled and grassed vineyards. Water 2019, 11, 2118. [Google Scholar] [CrossRef]
- Bogunovic, I.; Bilandzija, D.; Andabaka, Z.; Stupic, D.; Rodrigo Comino, J.; Cacic, M.; Brezinscak, L.; Maletic, E.; Pereira, P. Soil compaction under different management practices in a Croatian vineyard. Arab. J. Geosci. 2017, 10, 340. [Google Scholar] [CrossRef]
- Van Dijck, S.; Van Asch, T.W. Compaction of loamy soils due to tractor traffic in vineyards and orchards and its effect on infiltration in southern France. Soil Tillage Res. 2002, 63, 141–153. [Google Scholar] [CrossRef]
- Pessina, D.; Tadini, V.; Galli, L.E. Soil compaction in Northern Italian vineyards: Challenges and mitigation strategies. J. Agric. Eng. 2025, 56, 41–49. [Google Scholar] [CrossRef]
- Bonifacio, E.; Said-Pullicino, D.; Stanchi, S.; Potenza, M.; Belmonte, S.A.; Celi, L. Soil and management effects on aggregation and organic matter dynamics in vineyards. Soil Tillage Res. 2024, 240, 106077. [Google Scholar] [CrossRef]
- Belmonte, S.A.; Luisella, C.; Stahel, R.J.; Bonifacio, E.; Novello, V.; Zanini, E.; Steenwerth, K.L. Effect of long-term soil management on the mutual interaction among soil organic matter, microbial activity and aggregate stability in a vineyard. Pedosphere 2018, 28, 288–298. [Google Scholar] [CrossRef]
- Mondello, V.; Larignon, P.; Armengol, J.; Kortekamp, A.; Vaczy, K.; Prezman, F.; Serrano, E.; Rego, C.; Mugnai, L.; Fontaine, F. Management of grapevine trunk diseases. Phytopathol. Mediterr. 2018, 57, 369–383. [Google Scholar]
- Marras, S.; Masia, S.; Duce, P.; Spano, D.; Sirca, C. Carbon footprint assessment on a mature vineyard. Agric. For. Meteorol. 2015, 214, 350–356. [Google Scholar] [CrossRef]
- Ghiglieno, I.; Simonetto, A.; Facciano, L.; Tonni, M.; Donna, P.; Valenti, L.; Gilioli, G. Comparing the Carbon Footprint of Conventional and Organic Vineyards in Northern Italy. Sustainability 2023, 15, 5252. [Google Scholar] [CrossRef]
- Wolff, M.W.; Alsina, M.M.; Stockert, C.M.; Khalsa, S.D.S.; Smart, D.R. Minimum tillage of a cover crop lowers net GWP and sequesters soil carbon in a California vineyard. Soil Tillage Res. 2018, 175, 244–254. [Google Scholar] [CrossRef]
- Longbottom, M.; Petrie, P. Role of vineyard practices in generating and mitigating greenhouse gas emissions. Aust. J. Grape Wine Res. 2015, 21, 522–536. [Google Scholar] [CrossRef]
- Pessina, D.; Galli, L.E.; Santoro, S.; Facchinetti, D. Sustainability of machinery traffic in vineyard. Sustainability 2021, 13, 2475. [Google Scholar] [CrossRef]
- Schütte, R.; Plaas, E.; Gómez, J.A.; Guzmán, G. Profitability of erosion control with cover crops in European vineyards under consideration of environmental costs. Environ. Dev. 2020, 35, 100521. [Google Scholar] [CrossRef]
- Ruiz-Colmenero, M.; Bienes, R.; Eldridge, D.; Marques, M. Vegetation cover reduces erosion and enhances soil organic carbon in a vineyard in the central Spain. Catena 2013, 104, 153–160. [Google Scholar] [CrossRef]
- López-Vicente, M.; Calvo-Seas, E.; Álvarez, S.; Cerdà, A. Effectiveness of cover crops to reduce loss of soil organic matter in a rainfed vineyard. Land 2020, 9, 230. [Google Scholar] [CrossRef]
- Gómez, J.; Llewellyn, C.; Basch, G.; Sutton, P.; Dyson, J.; Jones, C. The effects of cover crops and conventional tillage on soil and runoff loss in vineyards and olive groves in several Mediterranean countries. Soil Use Manag. 2011, 27, 502–514. [Google Scholar] [CrossRef]
- Langdale, G.; Blevins, R.; Karlen, D.; McCool, D.; Nearing, M.; Skidmore, E.; Thomas, A.; Tyler, D.; Williams, J. Cover crop effects on soil erosion by wind and water. Cover Crops Clean Water 1991, 15–22. [Google Scholar]
- Novara, A.; Gristina, L.; Guaitoli, F.; Santoro, A.; Cerdà, A. Managing soil nitrate with cover crops and buffer strips in Sicilian vineyards. Solid Earth 2013, 4, 255–262. [Google Scholar] [CrossRef]
- García-Díaz, A.; Bienes, R.; Sastre, B.; Novara, A.; Gristina, L.; Cerda, A. Nitrogen losses in vineyards under different types of soil groundcover. A field runoff simulator approach in central Spain. Agric. Ecosyst. Environ. 2017, 236, 256–267. [Google Scholar] [CrossRef]
- Clothier, B.; Green, S. The Leaching and Runoff of Nutrients from Vineyards. In Science and Policy: Nutrient Management Challenges for the Next Generation; Massey University: Palmerston North, New Zealand, 2017. [Google Scholar]
- Barlow, K.; Bond, W.; Holzapfel, B.; Smith, J.; Hutton, R. Nitrogen concentrations in soil solution and surface run-off on irrigated vineyards in Australia. Aust. J. Grape Wine Res. 2009, 15, 131–143. [Google Scholar] [CrossRef]
- Cock, G. Soil structural conditions of vineyards under two soil management systems. Aust. J. Exp. Agric. 1985, 25, 450–454. [Google Scholar] [CrossRef]
- Steenwerth, K.; Belina, K. Cover crops enhance soil organic matter, carbon dynamics and microbiological function in a vineyard agroecosystem. Appl. Soil Ecol. 2008, 40, 359–369. [Google Scholar] [CrossRef]
- McGourty, G.T.; Reganold, J.P. Managing vineyard soil organic matter with cover crops. In Proceedings of the Soil Environment and Vine Mineral Nutrition Symposium, San Diego, CA, USA, 29–30 June 2004; American Society for Enology and Viticulture: Davis, CA, USA, 2005. [Google Scholar]
- Celette, F.; Gaudin, R.; Gary, C. Spatial and temporal changes to the water regime of a Mediterranean vineyard due to the adoption of cover cropping. Eur. J. Agron. 2008, 29, 153–162. [Google Scholar] [CrossRef]
- Gulick, S.; Grimes, D.; Munk, D.; Goldhamer, D. Cover-crop-enhanced water infiltration of a slowly permeable fine sandy loam. Soil Sci. Soc. Am. J. 1994, 58, 1539–1546. [Google Scholar] [CrossRef]
- Lanari, V.; Pallotti, L.; Lattanzi, T.; Silvestroni, O. Grapevine Root Distribution and Density in Deep Soil Layers Under Different Soil Management Practices. Plants 2025, 14, 1823. [Google Scholar] [CrossRef]
- Centinari, M. Impacts of under-trellis cover crops. Aust. New Zealand Grapegrow. Winemak. 2017, 638, 33–34. [Google Scholar]
- Bernaschina, Y.; Fresia, P.; Garaycochea, S.; Leoni, C. Permanent cover crop as a strategy to promote soil health and vineyard performance. Environ. Sustain. 2023, 6, 243–258. [Google Scholar] [CrossRef]
- Abad, J.; de Mendoza, I.H.; Marín, D.; Orcaray, L.; Santesteban, L.G. Cover crops in viticulture. A systematic review (1): Implications on soil characteristics and biodiversity in vineyard. OENO One 2021, 55, 295–312. [Google Scholar] [CrossRef]
- Winter, S.; Bauer, T.; Strauss, P.; Kratschmer, S.; Paredes, D.; Popescu, D.; Landa, B.; Guzmán, G.; Gómez, J.A.; Guernion, M.; et al. Effects of vegetation management intensity on biodiversity and ecosystem services in vineyards: A meta-analysis. J. Appl. Ecol. 2018, 55, 2484–2495. [Google Scholar] [CrossRef] [PubMed]
- Bruggisser, O.T.; Schmidt-Entling, M.H.; Bacher, S. Effects of vineyard management on biodiversity at three trophic levels. Biol. Conserv. 2010, 143, 1521–1528. [Google Scholar] [CrossRef]
- Puig-Montserrat, X.; Stefanescu, C.; Torre, I.; Palet, J.; Fabregas, E.; Dantart, J.; Arrizabalaga, A.; Flaquer, C. Effects of organic and conventional crop management on vineyard biodiversity. Agric. Ecosyst. Environ. 2017, 243, 19–26. [Google Scholar] [CrossRef]
- Hasanaliyeva, G.; Furiosi, M.; Rossi, V.; Caffi, T. Cover crops lower the dispersal of grapevine foliar pathogens from the ground and contribute to early-season disease management. Front. Plant Sci. 2024, 15, 1498848. [Google Scholar] [CrossRef]
- Mahaffee, W.F.; Margairaz, F.; Ulmer, L.; Bailey, B.N.; Stoll, R. Catching spores: Linking epidemiology, pathogen biology, and physics to ground-based airborne inoculum monitoring. Plant Dis. 2023, 107, 13–33. [Google Scholar] [CrossRef]
- Xi, Z.-M.; Tao, Y.-S.; Zhang, L.; Li, H. Impact of cover crops in vineyard on the aroma compounds of Vitis vinifera L. cv Cabernet Sauvignon wine. Food Chem. 2011, 127, 516–522. [Google Scholar] [CrossRef]
- Pérez-Álvarez, E.P.; García-Escudero, E.; Peregrina, F. Soil nutrient availability under cover crops: Effects on vines, must, and wine in a Tempranillo vineyard. Am. J. Enol. Vitic. 2015, 66, 311–320. [Google Scholar] [CrossRef]
- Lopes, C.; Monteiro, A.; Machado, J.; Fernandes, N.; Araújo, A. Cover cropping in a sloping non-irrigated vineyard: II–Effects on vegetative growth, yield, berry and wine quality of ‘Cabernet Sauvignon’grapevines. Ciência Téc. 2008, 23, 37–43. [Google Scholar]
- Abad, J.; de Mendoza, I.H.; Marín, D.; Orcaray, L.; Santesteban, L.G. Cover crops in viticulture. A systematic review (2): Implications on vineyard agronomic performance. OENO One 2021, 55, 1–27. [Google Scholar] [CrossRef]
- Mihály, Z.; Olimpia, B.; Miklós, S.; Zita, D. Grassy and herbaceous interrow cover crops in European vineyards: A review of their Short-Term effects on water management and regulating ecosystem services. Land 2025, 14, 1526. [Google Scholar] [CrossRef]
- Jacometti, M.A.; Wratten, S.D.; Walter, M. Enhancing ecosystem services in vineyards: Using cover crops to decrease botrytis bunch rot severity. Int. J. Agric. Sustain. 2007, 5, 305–314. [Google Scholar] [CrossRef]
- Sáenz-Romo, M.G.; Veas-Bernal, A.; Martínez-García, H.; Campos-Herrera, R.; Ibanez-Pascual, S.; Martínez-Villar, E.; Perez-Moreno, I.; Marco-Mancebón, V.S. Ground cover management in a Mediterranean vineyard: Impact on insect abundance and diversity. Agric. Ecosyst. Environ. 2019, 283, 106571. [Google Scholar] [CrossRef]
- Sáenz-Romo, M.G.; Veas-Bernal, A.; Martínez-García, H.; Ibáñez-Pascual, S.; Martínez-Villar, E.; Campos-Herrera, R.; Marco-Mancebón, V.S.; Pérez-Moreno, I. Effects of ground cover management on insect predators and pests in a Mediterranean vineyard. Insects 2019, 10, 421. [Google Scholar] [CrossRef]
- Danne, A.; Thomson, L.; Sharley, D.; Penfold, C.; Hoffmann, A. Effects of native grass cover crops on beneficial and pest invertebrates in Australian vineyards. Environ. Entomol. 2010, 39, 970–978. [Google Scholar] [CrossRef]
- Geldenhuys, M.; Gaigher, R.; Pryke, J.; Samways, M. Diverse herbaceous cover crops promote vineyard arthropod diversity across different management regimes. Agric. Ecosyst. Environ. 2021, 307, 107222. [Google Scholar] [CrossRef]
- Pelusi, F.; Gatti, M.; Cunial, L.; Zozzo, F.D.; Santelli, S.; Poni, S. Effects of Winter Cover Crop Mixture and Termination on the Performance and Physiology of cv. Barbera (Vitis vinifera L.) Grapevines. Aust. J. Grape Wine Res. 2025, 2025, 4271832. [Google Scholar] [CrossRef]
- Chou, M.-Y.; Vanden Heuvel, J.E. Annual under-vine cover crops mitigate vine vigor in a mature and vigorous cabernet franc vineyard. Am. J. Enol. Vitic. 2019, 70, 98–108. [Google Scholar] [CrossRef]
- Griesser, M.; Steiner, M.; Pingel, M.; Uzman, D.; Preda, C.; Giffard, B.; Tolle, P.; Memedemin, D.; Forneck, A.; Reineke, A.; et al. General trends of different inter-row vegetation management affecting vine vigor and grape quality across European vineyards. Agric. Ecosyst. Environ. 2022, 338, 108073. [Google Scholar] [CrossRef]
- Giese, G.; Velasco-Cruz, C.; Roberts, L.; Heitman, J.; Wolf, T.K. Complete vineyard floor cover crops favorably limit grapevine vegetative growth. Sci. Hortic. 2014, 170, 256–266. [Google Scholar] [CrossRef]
- Bavougian, C.M.; Read, P.E. Mulch and groundcover effects on soil temperature and moisture, surface reflectance, grapevine water potential, and vineyard weed management. PeerJ 2018, 6, e5082. [Google Scholar] [CrossRef] [PubMed]
- Agam, N.; Kustas, W.; Alfieri, J.; Gao, F.; McKee, L.; Prueger, J.; Hipps, L. Micro-scale spatial variability in soil heat flux (SHF) in a wine-grape vineyard. Irrig. Sci. 2019, 37, 253–268. [Google Scholar] [CrossRef]
- Costa, J.M.; Egipto, R.; Aguiar, F.C.; Marques, P.; Nogales, A.; Madeira, M. The role of soil temperature in mediterranean vineyards in a climate change context. Front. Plant Sci. 2023, 14, 1145137. [Google Scholar] [CrossRef] [PubMed]
- Novara, A.; Minacapilli, M.; Santoro, A.; Rodrigo-Comino, J.; Carrubba, A.; Sarno, M.; Venezia, G.; Gristina, L. Real cover crops contribution to soil organic carbon sequestration in sloping vineyard. Sci. Total Environ. 2019, 652, 300–306. [Google Scholar] [CrossRef]
- Payen, F.T.; Sykes, A.; Aitkenhead, M.; Alexander, P.; Moran, D.; MacLeod, M. Soil organic carbon sequestration rates in vineyard agroecosystems under different soil management practices: A meta-analysis. J. Clean. Prod. 2021, 290, 125736. [Google Scholar] [CrossRef]
- Zumkeller, M.; Yu, R.; Torres, N.; Marigliano, L.E.; Zaccaria, D.; Kurtural, S.K. Site characteristics determine the effectiveness of tillage and cover crops on the net ecosystem carbon balance in California vineyard agroecosystems. Front. Plant Sci. 2022, 13, 1024606. [Google Scholar] [CrossRef]
- Delpuech, X.; Metay, A. Adapting cover crop soil coverage to soil depth to limit competition for water in a Mediterranean vineyard. Eur. J. Agron. 2018, 97, 60–69. [Google Scholar] [CrossRef]
- Klodd, A.; Eissenstat, D.; Wolf, T.; Centinari, M. Coping with cover crop competition in mature grapevines. Plant Soil 2016, 400, 391–402. [Google Scholar] [CrossRef]
- Stefano, P.; Caterina, C.; Eugenio, M.; Stefano, S.; Matteo, G.; Frioni, T. A whole-canopy approach to assess varying effects of cover crop vs grapevine competition and recovery. Sci. Hortic. 2024, 327, 112854. [Google Scholar] [CrossRef]
- Centinari, M.; Filippetti, I.; Bauerle, T.; Allegro, G.; Valentini, G.; Poni, S. Cover crop water use in relation to vineyard floor management practices. Am. J. Enol. Vitic. 2013, 64, 522–526. [Google Scholar] [CrossRef]
- Capri, C.; Fiorini, A.; Gatti, M.; Richards, A.; Poni, S. Screening of cover crop species for sustainable vineyard floor management. In Proceedings of the XXXI International Horticultural Congress (IHC2022): International Symposium on the Vitivinicultural Sector: Which Tools to 1370, Angers, France, 14 August 2022. [Google Scholar]
- Sulas, L.; Mercenaro, L.; Campesi, G.; Nieddu, G. Different cover crops affect nitrogen fluxes in mediterranean vineyard. Agron. J. 2017, 109, 2579–2585. [Google Scholar] [CrossRef]
- Pérez-Álvarez, E.P.; Garde-Cerdán, T.; Santamaría, P.; García-Escudero, E.; Peregrina, F. Influence of two different cover crops on soil N availability, N nutritional status, and grape yeast-assimilable N (YAN) in a cv. Tempranillo vineyard. Plant Soil 2015, 390, 143–156. [Google Scholar] [CrossRef]
- Brunetto, G.; Lorensini, F.; Ceretta, C.A.; Avelar Ferreira, P.A.; da Rosa Couto, R.; De Conti, L.; Nara Ciotta, M.; Kulmann, M.; Schneider, R.O.; Michelon Somavilla, L. Contribution of mineral N to young grapevine in the presence or absence of cover crops. J. Soil Sci. Plant Nutr. 2017, 17, 570–580. [Google Scholar] [CrossRef]
- Messiga, A.J.; Gallant, K.S.; Sharifi, M.; Hammermeister, A.; Fuller, K.; Tango, M.; Fillmore, S. Grape yield and quality response to cover crops and amendments in a vineyard in Nova Scotia, Canada. Am. J. Enol. Vitic. 2016, 67, 77–85. [Google Scholar] [CrossRef]
- Muscas, E.; Cocco, A.; Mercenaro, L.; Cabras, M.; Lentini, A.; Porqueddu, C.; Nieddu, G. Effects of vineyard floor cover crops on grapevine vigor, yield, and fruit quality, and the development of the vine mealybug under a Mediterranean climate. Agric. Ecosyst. Environ. 2017, 237, 203–212. [Google Scholar] [CrossRef]
- Irvin, N.; Hagler, J.; Hoddle, M. Measuring natural enemy dispersal from cover crops in a California vineyard. Biol. Control 2018, 126, 15–25. [Google Scholar] [CrossRef]
- Bau, L.; Chassaing, T. Impact assessment of cover crops on the risk of frost in the Anjou vineyard: Original language of the article: English. IVES Tech. Rev. Vine Wine 2025. [Google Scholar] [CrossRef]
- Baillet, V.; Symoneaux, R.; Renaud-Gentié, C. Life Cycle Assessment of Spring Frost Protection Methods: High and Contrasted Environmental Consequences in Vineyard Management. Sustainability 2025, 17, 7835. [Google Scholar] [CrossRef]
- Zumkeller, M.; Torres, N.; Yu, R.; Kurtural, K. Permanent Cover Cropping with Reduced Tillage Increased Resiliency of Wine Grape Vineyards to Climate Change. In Proceedings of the Terclim2022│XIVth International Terroir Congress 2nd ClimWine Symposium, Bordeaux, France, 3–8 July 2022. [Google Scholar]
- Merot, A.; Smits, N. Explaining yield dynamics during vineyard conversion to organic farming. Eur. J. Agron. 2024, 153, 127068. [Google Scholar] [CrossRef]
- La Torre, A.; Talocci, S.; Spera, G.; Valori, R. Control of downy mildew on grapes in organic viticulture. Commun Agric. Appl. Biol. Sci. 2008, 73, 169–178. [Google Scholar]
- Poeydebat, C.; Courchinoux, E.; Demeaux, I.; Rodriguez, M.; Chataigner, A.; Lelievre, M.; Goutouly, J.-P.; Rossi, J.-P.; Raynal, M.; Deliere, L. Quantitative assessment and spatial distribution of Plasmopara viticola oospores in vineyard soil. BioRxiv 2024. [Google Scholar] [CrossRef]
- Sharley, D.; Thomson, L. Determining the effects of vineyard soil tillage on beneficial soil invertebrates. Aust. New Zealand Grapegrow. Winemak. 2005, 499, 44–46. [Google Scholar]
- Paoletti, M.G. Using bioindicators based on biodiversity to assess landscape sustainability. In Invertebrate Biodiversity as Bioindicators of Sustainable Landscapes; Elsevier: Amsterdam, The Netherlands, 1999; pp. 1–18. [Google Scholar]
- Rocher, L.; Blaya, R.; Blaise, C.; Bischoff, A.; Blight, O. Species and functional responses of ants to inter-row tillage and vegetation in organic Mediterranean vineyards. Basic Appl. Ecol. 2022, 65, 126–135. [Google Scholar] [CrossRef]
- Rogiers, S.Y.; Greer, D.H.; Liu, Y.; Baby, T.; Xiao, Z. Impact of climate change on grape berry ripening: An assessment of adaptation strategies for the Australian vineyard. Front. Plant Sci. 2022, 13, 1094633. [Google Scholar] [CrossRef] [PubMed]
- Matlock, J.M.; Isaacs, R.; Grieshop, M. Tillage reduces survival of grape berry moth (Lepidoptera: Tortricidae), via burial rather than mechanical injury. Environ. Entomol. 2017, 46, 100–106. [Google Scholar] [CrossRef]
- Donaldson, D.R.; Snyder, R.L.; Elmore, C.; Gallagher, S. Weed control influences vineyard minimum temperatures. Am. J. Enol. Vitic. 1993, 44, 431–434. [Google Scholar] [CrossRef]
- Evans, R.G. The art of protecting grapevines from low temperature injury. In Proceedings of the American Society for Enology and Viticulture (ASEV) 50th Anniversary Annual Meeting, Seattle, WA, USA, 19–23 June 2000; pp. 60–72. [Google Scholar]
- Poni, S.; Sabbatini, P.; Palliotti, A. Facing spring frost damage in grapevine: Recent developments and the role of delayed winter pruning–A review. Am. J. Enol. Vitic. 2022, 73, 211–226. [Google Scholar] [CrossRef]
- Rochard, J. Arido-viticulture dans le contexte de changement climatique: Concept, bases pratiques et exemples des vignobles de Lanzarote et Santorin. BIO Web Conf. 2023, 56, 01001. [Google Scholar] [CrossRef]
- Mekki, I.; Zitouna Chebbi, R.; Jacob, F.; Masmoudi, M.; Prévot, L.; Ben Mechlia, N.; Voltz, M.; Albergel, J. Water balance for different land use and crop sequences under semiarid environment. Rev. Régions Arid. 2014, 35, 769–777. [Google Scholar]
- Wu, G.; Chen, J.; Shi, X.; Kim, J.S.; Xia, J.; Zhang, L. Impacts of global climate warming on meteorological and hydrological droughts and their propagations. Earth′s Future 2022, 10, e2021EF002542. [Google Scholar] [CrossRef]
- Cruz, A.; Botelho, M.; Silvestre, J.; Castro, R. Soil management: Introduction of tillage in a vineyard with a long-term natural cover. Ciência Técnica Vitivinícola 2012, 27, 27–38. [Google Scholar]
- Jordan, L.M.; Björkman, T.; Vanden Heuvel, J.E. Annual under-vine cover crops did not impact vine growth or fruit composition of mature cool-climate ‘Riesling’grapevines. HortTechnology 2016, 26, 36–45. [Google Scholar] [CrossRef]
- Fernando, M.; Scott, N.; Shrestha, A.; Gao, S.; Hale, L. A native plant species cover crop positively impacted vineyard water dynamics, soil health, and vine vigor. Agric. Ecosyst. Environ. 2024, 367, 108972. [Google Scholar] [CrossRef]
- Intrieri, C.; Filippetti, I.; Lia, G.; Colucci, E.; Poni, S. Intra-row vineyard spacing and soil management, long-term field trial results with Cv. Pignoletto. Pract. Winery Vineyard 2005, 26, 76–87. [Google Scholar]
- Penfold, C.; Collins, C. Cover Crops and Water Use; The University of Adelaide: Adelaide, Australia, 2012. [Google Scholar]
- Gatti, M.; Garavani, A.; Squeri, C.; Capri, C.; Diti, I.; D’Ambrosio, R.; Frioni, T.; Scotti, C.; Poni, S. Inter-row floor management is a powerful factor for optimising vine balance in a non-irrigated organic Barbera vineyard in northern Italy. Eur. J. Agron. 2022, 136, 126490. [Google Scholar] [CrossRef]
- Raiesi, F.; Kabiri, V. Carbon and nitrogen mineralization kinetics as affected by tillage systems in a calcareous loam soil. Ecol. Eng. 2017, 106, 24–34. [Google Scholar] [CrossRef]
- Dobrei, A.; Alina, D.; Nistor, E.; Camen, D.; Sala, F. Improvement of soil physical and chemical properties with green manure for healthy vine and wine by-products. Int. Multidiscip. Sci. GeoConference SGEM 2016, 2, 157–164. [Google Scholar]
- Perria, R.; Ciofini, A.; Petrucci, W.A.; D’Arcangelo, M.E.M.; Valentini, P.; Storchi, P.; Carella, G.; Pacetti, A.; Mugnai, L. A study on the efficiency of sustainable wine grape vineyard management strategies. Agronomy 2022, 12, 392. [Google Scholar] [CrossRef]
- Li, W.; Brunner, P.; Franssen, H.-J.H.; Li, Z.; Wang, Z.; Zhang, Z.; Wang, W. Potential evaporation dynamics over saturated bare soil and an open water surface. J. Hydrol. 2020, 590, 125140. [Google Scholar] [CrossRef]
- Wythers, K.; Lauenroth, W.; Paruelo, J. Bare-soil evaporation under semiarid field conditions. Soil Sci. Soc. Am. J. 1999, 63, 1341–1349. [Google Scholar] [CrossRef]
- Capri, C.; Gatti, M.; Guadagna, P.; Del Zozzo, F.; Magnanini, E.; Poni, S. A low-cost portable chamber based on Arduino micro-controller for measuring cover crops water use. Comput. Electron. Agric. 2021, 190, 106361. [Google Scholar] [CrossRef]
- Celette, F.; Gary, C. Dynamics of water and nitrogen stress along the grapevine cycle as affected by cover cropping. Eur. J. Agron. 2013, 45, 142–152. [Google Scholar] [CrossRef]
- Lopes, C.; Monterio, A.; Rückert, F.E.; Gruber, B.; Steinberg, G.; Schultz, H.R. Transpiration of grapevines and co-habitating cover crop and weed species in a vineyard. A “snapshot” at diurnal trends. Vitis 2004, 43, 111–117. [Google Scholar]
- Diti, I.; Legler, S.E.; Caffi, T.; Rossi, V.; Canali, G.; Bosso, A.; Cancila, E.; Anelli, S.; Trioli, G.; Kleshcheva, E.; et al. A new integrated approach for management of soil threats in the vineyard ecosystem. Catena 2020, 195, 104788. [Google Scholar] [CrossRef]
- Del Zozzo, F.; Canavera, G.; Pagani, S.; Gatti, M.; Poni, S.; Frioni, T. Post-Spring Frost Canopy Recovery, Vine Balance, and Fruit Composition in cv. Barbera Grapevines. Aust. J. Grape Wine Res. 2022, 2022, 6596021. [Google Scholar] [CrossRef]
- Morlat, R.; Jacquet, A. Grapevine root system and soil characteristics in a vineyard maintained long-term with or without interrow sward. Am. J. Enol. Vitic. 2003, 54, 1–7. [Google Scholar] [CrossRef]
- Tesic, D.; Keller, M.; Hutton, R.J. Influence of vineyard floor management practices on grapevine vegetative growth, yield, and fruit composition. Am. J. Enol. Vitic. 2007, 58, 1–11. [Google Scholar] [CrossRef]
- Giese, G.; Wolf, T.K.; Velasco-Cruz, C.; Roberts, L.; Heitman, J. Cover crop and root pruning impacts on vegetative growth, crop yield components, and grape composition of Cabernet Sauvignon. Am. J. Enol. Vitic. 2015, 66, 212–226. [Google Scholar] [CrossRef]
- Smith, M.W.; Wolf, M.E.; Cheary, B.S.; Carroll, B.L. Allelopathy of bermudagrass, tall fescue, redroot pigweed, and cutleaf evening primrose on pecan. HortScience 2001, 36, 1047–1048. [Google Scholar] [CrossRef]
- Bettoni, I.P.; Gardin, T.P.P.; Rodrigues, O.T.; Feldberg, N.P.; Dalbó, M.A. Allelopathic potential of weed extracts on the growth of grapevine rootstock VR 043-43. Rev. Agropecuária Catarin. 2020, 24, 51–55. [Google Scholar]
- Centinari, M.; Vanden Heuvel, J.; Goebel, M.; Smith, M.; Bauerle, T. Root-zone management practices impact above and belowground growth in C abernet F ranc grapevines. Aust. J. Grape Wine Res. 2016, 22, 137–148. [Google Scholar] [CrossRef]
- Fleishman, S.M.; Bock, H.W.; Eissenstat, D.M.; Centinari, M. Undervine groundcover substantially increases shallow but not deep soil carbon in a temperate vineyard. Agric. Ecosyst. Environ. 2021, 313, 107362. [Google Scholar] [CrossRef]
- Kesser, M.M.; Joubert, W.; Cavagnaro, T.R.; De Bei, R.; Collins, C. Long-term under-vine coverage by spontaneous vegetation changed plant community and soil dynamics without impacting yield at two South Australian vineyards. Agric. Ecosyst. Environ. 2023, 356, 108629. [Google Scholar] [CrossRef]
- Marks, J.; Lines, T.; Penfold, C.; Cavagnaro, T. Cover crops and carbon stocks: How under-vine management influences SOC inputs and turnover in two vineyards. Sci. Total Environ. 2022, 831, 154800. [Google Scholar] [CrossRef]
- Lines, T.; Penfold, C.; Marks, J.; Kesser, M.; Pagay, V.; Cavagnaro, T. Run for cover–the ‘right’species of under-vine cover crops do not influence yield in an Australian vineyard. OENO One 2024, 4, 58. [Google Scholar] [CrossRef]
- Penfold, M.C.; Collins, C. Native Cover Crops in Viticulture; Grape and Wine Research and Development Corporation: Adelaide, Australia, 2012. [Google Scholar]
- Comas, L.H.; Anderson, L.J.; Dunst, R.M.; Lakso, A.N.; Eissenstat, D.M. Canopy and environmental control of root dynamics in a long-term study of Concord grape. New Phytol. 2005, 167, 829–840. [Google Scholar] [CrossRef]
- RLinares Torres, R.; De La Fuente Lloreda, M.; Junquera Gonzalez, P.; Lissarrague García-Gutierrez, J.R.; Baeza Trujillo, P. Effect of soil management strategies on the characteristics of the grapevine root system in irrigated vineyards under semi? arid conditions. Aust. J. Grape Wine Res. 2018, 24, 439–449. [Google Scholar] [CrossRef]
- Pool, R.; Lakso, A. Cover Crop Management for Vineyards; IPM Report: Adelaide, Australia, 1994; pp. 14–18. [Google Scholar]
- Centinari, M.; Poni, S.; Filippetti, I.; Magnanini, E.; Intrieri, C. Evaluation of an open portable chamber system for measuring cover crop water use in a vineyard and comparison with a mini-lysimeter approach. Agric. For. Meteorol. 2009, 149, 1975–1982. [Google Scholar] [CrossRef]
- Uliarte, E.M.; Schultz, H.R.; Frings, C.; Pfister, M.; Parera, C.A.; Raúl, F. Seasonal dynamics of CO2 balance and water consumption of C3 and C4-type cover crops compared to bare soil in a suitability study for their use in vineyards in Germany and Argentina. Agric. For. Meteorol. 2013, 181, 1–16. [Google Scholar] [CrossRef]
- Medrano, H.; Tomás, M.; Martorell, S.; Flexas, J.; Hernández, E.; Rosselló, J.; Pou, A.; Escalona, J.-M.; Bota, J. From leaf to whole-plant water use efficiency (WUE) in complex canopies: Limitations of leaf WUE as a selection target. Crop J. 2015, 3, 220–228. [Google Scholar] [CrossRef]
- Poni, S.; Bernizzoni, F.; Civardi, S.; Gatti, M.; Porro, D.; Camin, F. Performance and water-use efficiency (single-leaf vs. whole-canopy) of well-watered and half-stressed split-root Lambrusco grapevines grown in Po Valley (Italy). Agric. Ecosyst. Environ. 2009, 129, 97–106. [Google Scholar] [CrossRef]
- Smith, J.P.; Edwards, E.J.; Walker, A.R.; Gouot, J.C.; Barril, C.; Holzapfel, B.P. A whole canopy gas exchange system for the targeted manipulation of grapevine source-sink relations using sub-ambient CO2. BMC Plant Biol. 2019, 19, 535. [Google Scholar] [CrossRef]
- Darouich, H.; Ramos, T.B.; Pereira, L.S.; Rabino, D.; Bagagiolo, G.; Capello, G.; Simionesei, L.; Cavallo, E.; Biddoccu, M. Water use and soil water balance of Mediterranean vineyards under rainfed and drip irrigation management: Evapotranspiration partition and soil management modelling for resource conservation. Water 2022, 14, 554. [Google Scholar] [CrossRef]
- Allen, R.G.; Pereira, L.S. Estimating crop coefficients from fraction of ground cover and height. Irrig. Sci. 2009, 28, 17–34. [Google Scholar] [CrossRef]
- Fandiño, M.; Cancela, J.; Rey, B.; Martínez, E.; Rosa, R.; Pereira, L. Using the dual-Kc approach to model evapotranspiration of Albariño vineyards (Vitis vinifera L. cv. Albariño) with consideration of active ground cover. Agric. Water Manag. 2012, 112, 75–87. [Google Scholar] [CrossRef]
- Bremer, D.J. Evaluation of microlysimeters used in turfgrass evapotranspiration studies using the dual-probe heat-pulse technique. Agron. J. 2003, 95, 1625–1632. [Google Scholar] [CrossRef]
- Lakso, A.N.; Pool, R.M.; Dunst, R.; Fendinger, A. Comparison of two methods to evaluate water use by row middle cover crops in fruit plantings. HortScience 1995, 30, 820. [Google Scholar] [CrossRef]
- Baldocchi, D. Measuring fluxes of trace gases and energy between ecosystems and the atmosphere–the state and future of the eddy covariance method. Glob. Change Biol. 2014, 20, 3600–3609. [Google Scholar] [CrossRef]
- Steduto, P.; Çetinkökü, Ö.; Albrizio, R.; Kanber, R. Automated closed-system canopy-chamber for continuous field-crop monitoring of CO2 and H2O fluxes. Agric. For. Meteorol. 2002, 111, 171–186. [Google Scholar] [CrossRef]
- Garcia, R.L.; Norman, J.M.; McDermitt, D.K. Measurements of canopy gas exchange using an open chamber system. Remote Sens. Rev. 1990, 5, 141–162. [Google Scholar] [CrossRef]
- Wagner, S.; Reicosky, D. Closed-chamber effects on leaf temperature, canopy photosynthesis, and evapotranspiration. Agron. J. 1992, 84, 731–738. [Google Scholar] [CrossRef]
- Corelli-Grappadelli, L.; Magnanini, E. A whole-tree system for gas-exchange studies. HortScience 1993, 28, 41–45. [Google Scholar] [CrossRef]
- Poni, S.; Merli, M.C.; Magnanini, E.; Galbignani, M.; Bernizzoni, F.; Vercesi, A.; Gatti, M. An improved multichamber gas exchange system for determining whole-canopy water-use efficiency in grapevine. Am. J. Enol. Vitic. 2014, 65, 268–276. [Google Scholar] [CrossRef]
- Hamel, P.; Mchugh, I.; Coutts, A.; Daly, E.; Beringer, J.; Fletcher, T.D. Automated chamber system to measure field evapotranspiration rates. J. Hydrol. Eng. 2015, 20, 04014037. [Google Scholar] [CrossRef]
- Luo, C.; Wang, Z.; Sauer, T.J.; Helmers, M.J.; Horton, R. Portable canopy chamber measurements of evapotranspiration in corn, soybean, and reconstructed prairie. Agric. Water Manag. 2018, 198, 1–9. [Google Scholar] [CrossRef]
- Nomura, K.; Yamasaki, Y.; Takada, A.; Sago, Y.; Yasutake, D.; Kitano, M. A new method of evaluating gas fluxes in a closed chamber system with theoretical consideration for dynamic characteristics of a concentration sensor. Environ. Control Biol. 2019, 57, 53–59. [Google Scholar] [CrossRef]
- Capri, C.; Gatti, M.; Fiorini, A.; Ardenti, F.; Tabaglio, V.; Poni, S. A comparative study of fifteen cover crop species for orchard soil management: Water uptake, root density traits and soil aggregate stability. Sci. Rep. 2023, 13, 721. [Google Scholar] [CrossRef]
- Nie, Z.; Zollinger, R.; Jacobs, J. Performance of 7 Australian native grasses from the temperate zone under a range of cutting and fertiliser regimes. Crop Pasture Sci. 2009, 60, 943–953. [Google Scholar] [CrossRef]
- Marco, H.; Kahlen, K.; Voss-FelsKai, K.P.; Cast, C.S.; Ollat, N.; Vivin, P.; Loose, S.; Nsibi, M.; Schmid, J.; Strack, T.; et al. Towards grapevine root architectural models to adapt viticulture to drought. Front. Plant Sci. 2023, 14, 1162506. [Google Scholar] [CrossRef] [PubMed]
- Ramírez-Cuesta, J.M.; Intrigliolo, D.S.; Lorite, I.J.; Moreno, M.A.; Vanella, D.; Ballesteros, R.; Hernández-López, D.; Buesa, I. Determining grapevine water use under different sustainable agronomic practices using METRIC-UAV surface energy balance model. Agric. Water Manag. 2023, 281, 108247. [Google Scholar] [CrossRef]
- Capri, C. Vineyard Soil Management: New Sustainable Approaches. 2023. Available online: https://publicatt.unicatt.it/handle/10280/146611 (accessed on 11 August 2025).
- Campos, F.B.; Callesen, T.O.; Gonzalez, C.V.; Alberti, G.; Montagnani, L.; Tagliavini, M.; Nelson, J.A.; Zanotelli, D. Evapotranspiration dynamics and partitioning in a grassed vineyard: Ecophysiological and computational modeling approaches. Water Resour. Res. 2025, 61, e2023WR035360. [Google Scholar] [CrossRef]
- Annese, V.; Cazzato, E.; Corleto, A. Quantitative and qualitative traits of natural ecotypes of perennial grasses (Dactylis glomerata L., Festuca arundinacea Schreb., Phalaris tuberosa L., Brachypodium rupestre (Host) R. et S.) collected in Southern Italy. Genet. Resour. Crop Evol. 2006, 53, 431–441. [Google Scholar] [CrossRef]
- Gliga, A.; Rotar, I.; Buta, M.; Päcurar, F.; Balazsi, F. Floristic, ecologic and pedologic characterization of semi-natural hay meadows from rodna mountains. Bull. USAMV Ser. Agric. 2014, 71, 2. [Google Scholar] [CrossRef][Green Version]
- Cunial, L.; Diti, I.; Bonini, P.; Patelli, R.; Gatti, M.; Cola, G.; Bordoni, M.; Nguyen, T.N.A.; Meisina, C.; Confalonieri, R.; et al. Novel termination techniques of winter cover crops in the vineyard: Effects on physiology and performance of Pinot Noir and Malvasia di Candia aromatica grapevines. Eur. J. Agron. 2025, 164, 127514. [Google Scholar] [CrossRef]
- Delabays, N.; Spring, J.-L.; Mermillod, G. Essai d’enherbement de la vigne avec des espèces peu concurrentielles: Aspects botaniques et malherbologiques. Rev. Suisse Vitic. Arboric. Hortic. 2006, 38, 343–354. [Google Scholar]








| Soil Tillage | Cover Cropping | ||
|---|---|---|---|
| Pros | Cons | Pros | Cons |
|
| ||
| Cover Crop Group | Cover Crop Species | ADB (g m−2) | LAI (m2 m−2) | ETLEAF (mm m−2 day−1) |
|---|---|---|---|---|
| Legumes | Trifolium michelianum (TM) | 750.0 a | 12.4 a | 1.81 d |
| Medicago polymorpha (MP) | 274.3 c | 2.5 c | 4.92 bc | |
| Medicago lupulina (ML) | 503.3 b | 5.1 b | 4.05 bcd | |
| Medicago truncatula (MT) | 641.2 a | 5.4 b | 3.40 bcd | |
| Lotus corniculatus (LC) | 660.7 a | 5.3 b | 3.65 cd | |
| Grasses | Festuca arundinacea (FA) | 161.8 cd | 1.5 cd | 8.83 a |
| Festuca ovina (FO) | 48.4 d | 1.0 cd | 7.75 a | |
| Festuca rubra commutate (FRC) | 125.3 cd | 1.2 cd | 8.54 a | |
| Poa pratensis (PP) | 108.6 cd | 1.3 cd | 8.12 a | |
| Lolium perenne (LP) | 106.8 cd | 1.2 cd | 9.22 a | |
| Creeping | Glecoma hederacea * (GH) | 89.6 d | 0.8 cd | 3.68 bcd |
| Hieracium pilosella * (HP) | 0.0 d | – | 3.86 bcd | |
| Dichondra repens * (DR) | 0.0 d | – | 5.46 b | |
| Sagina subulate (SS) | 0.0 d | – | – | |
| Trifolium subterraneum (TS) | 23.2 d | 0.2 d | 2.74 * bcd |
; live grass cover
; dry grass cover
. Combinations of two colors means co-existence of two different soil management practices.
; live grass cover
; dry grass cover
. Combinations of two colors means co-existence of two different soil management practices.| Time Periods | Between-Rows | Under the Row | Notes | Color Codes |
|---|---|---|---|---|
| Mid-October–mid April | Mechanical sowing of a mixture of microtherm grass species such as Agrostis stolonifera, Festuca rubra “commutata”, Festuca ribra “ribra”, Festuca longifolia, Lolium perenne, Poa pratensis | Natural cover in winter and light tillage early March | Not less than 100 kg/ha to favor establishment and resistance to trampling | ![]() |
| Mid April–end of June | Sown cover firmly established | Light tillage | Allow vineyard access for spraying, eventual fertilizers application and for mechanical trunk desuckering | ![]() |
| July–mid October | Microtherm cover crop typically yellows and tends to partially re-establish early fall | Light tillage or allow short native crop |
| ![]() |
; live grass cover
; dry grass cover
. Combinations of two colors means co-existence of two different soil management practices. * The sub-row mulching termination type is represented.
; live grass cover
; dry grass cover
. Combinations of two colors means co-existence of two different soil management practices. * The sub-row mulching termination type is represented.| Time Periods | Between-Rows | Under the Row | Notes | Color Coding |
|---|---|---|---|---|
| Mid-October–mid April | Mechanical sowing of a balanced mix (grasses, legumes, and some Brassicaceae) | Natural cover in winter and light tillage early March | Not less than 80 kg/ha to favor establishment and resistance to trampling. Sowing one interrow every two is a viable option to allow machine transit for spring operations. | ![]() |
| Mid April–end of June * | Spring termination with three options:
| Light tillage or dead grass mulching depending on chosen termination | Type of termination provides flexibility in terms of
| *![]() |
| July–mid October * | Depending on spring termination it can show up as
| Light tillage or dead grass mulching depending on chosen termination |
| ![]() |
; live grass cover:
; dry grass cover:
. Combinations of two colors means co-existence of two different soil management practices.
; live grass cover:
; dry grass cover:
. Combinations of two colors means co-existence of two different soil management practices.| Time Periods | Between-Rows | Under the Row | Notes | Color Coding |
|---|---|---|---|---|
| Mid-October until mid April | Maintain native grass |
|
| ![]() |
| Mid April–end of June | Maintain native grass and control growth by moving (not less that 5 cm tall) | Assist growth with N, irrigation and perform hand removal of large size weeds. | ![]() | |
| July–mid October | Maintain native grass | Assess fraction of soil colonization and evaluate option for re-seeding or thickening |
| ![]() |
Disclaimer/Publisher’s Note: The statements, opinions and data contained in all publications are solely those of the individual author(s) and contributor(s) and not of MDPI and/or the editor(s). MDPI and/or the editor(s) disclaim responsibility for any injury to people or property resulting from any ideas, methods, instructions or products referred to in the content. |
© 2025 by the authors. Licensee MDPI, Basel, Switzerland. This article is an open access article distributed under the terms and conditions of the Creative Commons Attribution (CC BY) license (https://creativecommons.org/licenses/by/4.0/).
Share and Cite
Tiwari, H.; Canavera, G.; Pelusi, F.; Poni, S. Shifting from Tillage to Cover Cropping in Warm Climate Viticulture: Seeking the Optimal Balance. Agronomy 2025, 15, 2245. https://doi.org/10.3390/agronomy15102245
Tiwari H, Canavera G, Pelusi F, Poni S. Shifting from Tillage to Cover Cropping in Warm Climate Viticulture: Seeking the Optimal Balance. Agronomy. 2025; 15(10):2245. https://doi.org/10.3390/agronomy15102245
Chicago/Turabian StyleTiwari, Harsh, Ginevra Canavera, Francesco Pelusi, and Stefano Poni. 2025. "Shifting from Tillage to Cover Cropping in Warm Climate Viticulture: Seeking the Optimal Balance" Agronomy 15, no. 10: 2245. https://doi.org/10.3390/agronomy15102245
APA StyleTiwari, H., Canavera, G., Pelusi, F., & Poni, S. (2025). Shifting from Tillage to Cover Cropping in Warm Climate Viticulture: Seeking the Optimal Balance. Agronomy, 15(10), 2245. https://doi.org/10.3390/agronomy15102245










