Assessment of RANS Models for Milli-Channel Turbulent Flow in Drip Irrigation Emitter
Abstract
1. Introduction
2. Methodology
2.1. Tested Emitter
2.2. Numerical Methodology
2.2.1. Governing Equations
2.2.2. Turbulence Modeling
2.2.3. Near-Wall Treatment
2.2.4. Numerical Approach and Solver
2.3. Validation Approach and Selected Results
2.3.1. Emitter Flow Rate Measurement
2.3.2. Turbulence Intensity Calculation
2.3.3. Wall Shear Stress Calculation
3. Results and Discussion
3.1. Flow Rate of the Emitter
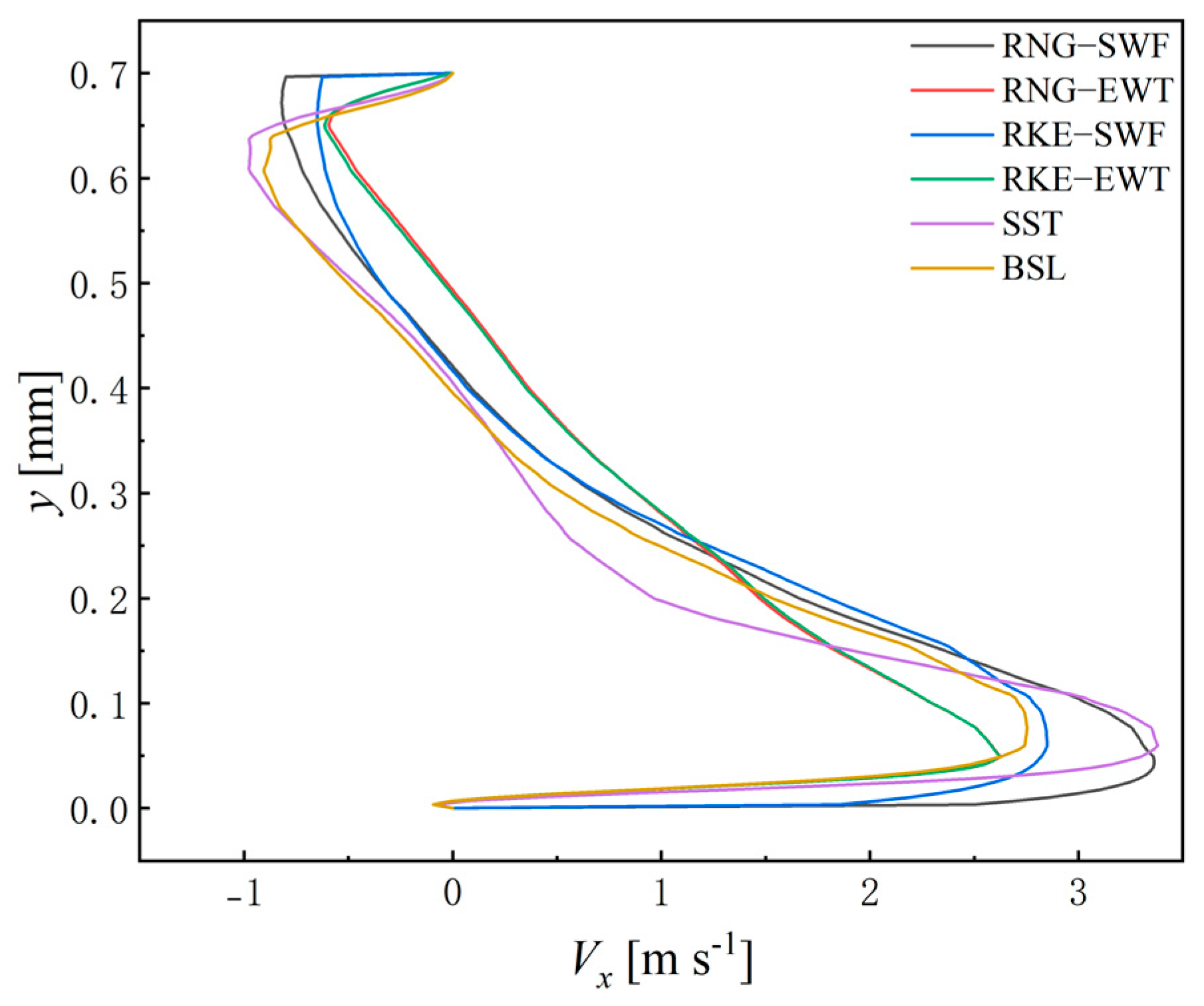
3.2. Mean Velocity Distribution and Streamlines
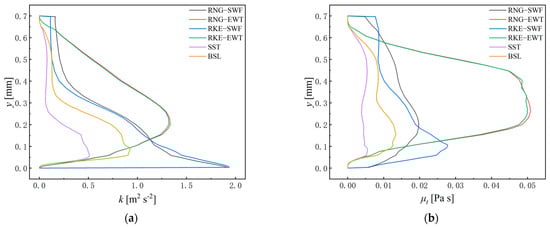
3.3. Turbulent Kinetic Energy and Turbulence Intensity
3.4. Wall Shear Stress
4. Conclusions
Supplementary Materials
Author Contributions
Funding
Data Availability Statement
Conflicts of Interest
Appendix A. Turbulence Models
Appendix A.1. Realizable k-ε Model (RKE)
Appendix A.2. RNG k-ε Model (RNG)
Appendix A.3. Baseline k-ω Model (BSL)
Appendix A.4. Shear-Stress Transport k-ω Model (SST)
Appendix B. Near-Wall Modeling
Appendix B.1. Scalable Wall Functions (SWF)
Appendix B.2. Enhanced Wall Treatment (EWT)
Appendix B.3. y+-Insensitive Wall Treatment (YIWT)
References
- Lamm, F.R.; Colaizzi, P.D.; Sorensen, R.B. A 2020 Vision of Subsurface Drip Irrigation in the U.S. Trans. ASABE 2021, 64, 1319–1343. [Google Scholar] [CrossRef]
- Li, Z.; Bao, S.; Cheng, Q.; Yu, Q.; Xu, T. The Structural Optimization of Leaf Vein Drip Irrigation Emitter on Hydraulic Performance, Energy Entropy and Anti-Clogging Ability. Agronomy 2024, 14, 1102. [Google Scholar] [CrossRef]
- Baghel, Y.K.; Kumar, J.; Patel, V.K. CFD Analysis of the Flow Characteristics of In-Line Drip Emitter with Different Labyrinth Channels. J. Inst. Eng. (India) Ser. A 2021, 102, 111–119. [Google Scholar] [CrossRef]
- Solé-Torres, C.; Puig-Bargués, J.; Duran-Ros, M.; Arbat, G.; Pujol, J.; de Cartagena, F.R. Effect of different sand filter underdrain designs on emitter clogging using reclaimed effluents. Agric. Water Manag. 2019, 223, 105683. [Google Scholar] [CrossRef]
- Zhou, W.; Zhang, L.; Wu, P.; Cai, Y.; Zhao, X.; Yao, C. Hydraulic performance and parameter optimisation of a microporous ceramic emitter using computational fluid dynamics, artificial neural network and multi-objective genetic algorithm. Biosyst. Eng. 2020, 189, 11–23. [Google Scholar] [CrossRef]
- Al-Muhammad, J.; Tomas, S.; Anselmet, F. Modeling a weak turbulent flow in a narrow and wavy channel: Case of micro-irrigation. Irrig. Sci. 2016, 34, 361–377. [Google Scholar] [CrossRef]
- Wei, Q.; Lu, B.; Liu, H.-s.; Shi, Y.; Dong, W.; Huang, G. Evaluations of emitter clogging in drip irrigation by two-phase flow simulations and laboratory experiments. Comput. Electron. Agric. 2008, 63, 294–303. [Google Scholar] [CrossRef]
- Pfahler, J.; Harley, J.; Bau, H.; Zemel, J. Liquid transport in micron and submicron channels. Sens. Actuators A Phys. 1990, 22, 431–434. [Google Scholar] [CrossRef]
- Gamri, S.; Soric, A.; Tomas, S.; Molle, B.; Roche, N. Biofilm development in micro-irrigation emitters for wastewater reuse. Irrig. Sci. 2014, 32, 77–85. [Google Scholar] [CrossRef]
- Zhou, B.; Zhou, H.; Puig-Bargués, J.; Li, Y. Using an anti-clogging relative index (CRI) to assess emitters rapidly for drip irrigation systems with multiple low-quality water sources. Agric. Water Manag. 2019, 221, 270–278. [Google Scholar] [CrossRef]
- Karmeli, D. Classification and flow regime analysis of drippers. J. Agric. Eng. Res. 1977, 22, 165–173. [Google Scholar] [CrossRef]
- Feng, J.; Li, Y.; Wang, W.; Xue, S. Effect of optimization forms of flow path on emitter hydraulic and anti-clogging performance in drip irrigation system. Irrig. Sci. 2018, 36, 37–47. [Google Scholar] [CrossRef]
- Zhangzhong, L.; Yang, P.; Zheng, W.; Li, Y.; Liu, Y.; Zhang, C. Effects of water salinity on emitter clogging in surface drip irrigation systems. Irrig. Sci. 2021, 39, 209–222. [Google Scholar] [CrossRef]
- Liu, H.; Huang, G. Laboratory experiment on drip emitter clogging with fresh water and treated sewage effluent. Agric. Water Manag. 2009, 96, 745–756. [Google Scholar] [CrossRef]
- Li, Y.; Yang, P.; Xu, T.; Ren, S.; Lin, X.; Wei, R.; Xu, H. CFD and digital particle tracking to assess flow characteristics in the labyrinth flow path of a drip irrigation emitter. Irrig. Sci. 2008, 26, 427–438. [Google Scholar] [CrossRef]
- Al-Muhammad, J.; Tomas, S.; Ait-Mouheb, N.; Amielh, M.; Anselmet, F. Micro-PIV characterization of the flow in a milli-labyrinth-channel used in drip irrigation. Exp. Fluids 2018, 59, 181. [Google Scholar] [CrossRef]
- Feng, J.; Wang, W.; Liu, H. Study on fluid movement characteristics inside the emitter flow path of drip irrigation system using the Yellow River water. Sustainability 2020, 12, 1319. [Google Scholar] [CrossRef]
- Liu, X.; Zhang, L.; Zhang, C.; Sun, Y.; Yang, X. Optimization algorithm for determining working water head of subsurface irrigation with ceramic emitters based on soil wetting patterns. Comput. Electron. Agric. 2023, 212, 108069. [Google Scholar] [CrossRef]
- Li, Y.; Feng, X.; Han, X.; Sun, Y.; Liu, Y.; Yao, M.; Liu, H.; He, Q.; Li, H. Analysis of internal flow characteristics and determination of the core structural parameters of a stellate labyrinth channel irrigation emitter. Biosyst. Eng. 2023, 231, 1–19. [Google Scholar] [CrossRef]
- Wei, Q.; Shi, Y.; Dong, W.; Lu, G.; Huang, S. Study on hydraulic performance of drip emitters by computational fluid dynamics. Agric. Water Manag. 2006, 84, 130–136. [Google Scholar] [CrossRef]
- Nishimura, T.; Ohori, Y.; Kawamura, Y. Flow characteristics in a channel with symmetric wavy wall for steady flow. J. Chem. Eng. Jpn. 1984, 17, 466–471. [Google Scholar] [CrossRef]
- Salvador, P.; Valverde, A.; Bralts, V.F. Hydraulic flow behaviour through an in-line emitter labyrinth using CFD techniques. In Proceedings of the 2004 ASAE/CSAE Annual Meeting, Ottawa, ON, Canada, 1–4 August 2004. [Google Scholar] [CrossRef]
- Qiu, X.; Chen, G.; Wang, H.; Wang, C.; Wang, J. Vertical optimisation of tooth shape to improve the anti-clogging performance of emitters in drip irrigation systems. Biosyst. Eng. 2023, 233, 193–203. [Google Scholar] [CrossRef]
- Orszag, S.A.; Yakhot, V.; Flannery, W.S.; Boysan, F.; Choudhury, D.; Maruzewski, J.; Patel, B. Renormalization group modeling and turbulence simulations. In Proceedings of the International Conference on Near-Wall Turbulent Flows, Tempe, AZ, USA, 15–17 March 1993. [Google Scholar]
- Shih, T.-H.; Liou, W.W.; Shabbir, A.; Yang, Z.; Zhu, J. A new k-ϵ eddy viscosity model for high reynolds number turbulent flows. Comput. Fluids 1995, 24, 227–238. [Google Scholar] [CrossRef]
- Ali, A.A.M. Anti-clogging drip irrigation emitter design innovation. Eur. Int. J. Sci. Technol. 2013, 2, 154–164. Available online: https://www.researchgate.net/publication/318900640 (accessed on 10 November 2024).
- Zhang, J.; Zhao, W.; Tang, Y.; Wei, Q.; Lu, B. Numerical investigation of the clogging mechanism in labyrinth channel of the emitter. Int. J. Numer. Methods Eng. 2007, 70, 1598–1612. [Google Scholar] [CrossRef]
- Guo, L.; Bai, D.; Zhou, W.; Wang, X. Evaluation of numerical simulation accuracy for two-ways mixed flow drip irrigation emitter based on CFD. Int. J. Heat. Technol. 2017, 35, 384–392. [Google Scholar] [CrossRef]
- Pope, S.B. Turbulent Flows; Cambridge University Press: Cambridge, UK, 2000. [Google Scholar] [CrossRef]
- Schlichting, H.; Gersten, K.; Krause, E.; Oertel, H.J.; Mayes, C. Boundary Layer Theory; Eigth Revised and Enlarged Edition; Springer: Berlin/Heidelberg, Germany, 2000. [Google Scholar]
- Launder, B.E.; Spalding, D.B. The numerical computation of turbulent flows. In Numerical Prediction of Flow, Heat Transfer, Turbulence and Combustion; Elsevier: Amsterdam, The Netherlands, 1983; pp. 96–116. [Google Scholar] [CrossRef]
- Ansys Inc. Fluent Theory Guide. 2024. Available online: https://ansyshelp.ansys.com/public/account/secured?returnurl=////Views/Secured/corp/v242/en/flu_th/flu_th_sec_near_wall.html (accessed on 10 November 2024).
- Yang, B.; Wang, F.; Wang, J.; Wang, C.; Qiu, X. Numerical simulation and optimisation of the inlet structure of dentiform emitters in drip-irrigation systems. Biosyst. Eng. 2024, 246, 183–190. [Google Scholar] [CrossRef]
- Zhang, J.; Zhao, W.; Tang, Y.; Lu, B. Anti-clogging performance evaluation and parameterized design of emitters with labyrinth channels. Comput. Electron. Agric. 2010, 74, 59–65. [Google Scholar] [CrossRef]
- Dallagi, H.; Ait-Mouheb, N.; Soric, A.; Boiron, O. Simulation of the flow characteristics of a labyrinth milli-channel used in drip irrigation. Biosyst. Eng. 2024, 239, 114–129. [Google Scholar] [CrossRef]
- Li, Y.; Liu, H.; Yang, P.; Wu, D. Analysis of tracing ability of different sized particles in drip irrigation emitters with computational fluid dynamics. Irrig. Drain. 2013, 62, 340–351. [Google Scholar] [CrossRef]
- Wu, D.; Li, Y.-K.; Liu, H.-S.; Yang, P.-L.; Sun, H.-S.; Liu, Y.-Z. Simulation of the flow characteristics of a drip irrigation emitter with large eddy methods. Math. Comput. Model. 2013, 58, 497–506. [Google Scholar] [CrossRef]
- Menter, F.R. Two-equation eddy-viscosity turbulence models for engineering applications. AIAA J. 1994, 32, 1598–1605. [Google Scholar] [CrossRef]
- Wolfshtein, M. The velocity and temperature distribution in one-dimensional flow with turbulence augmentation and pressure gradient. Int. J. Heat Mass Transf. 1969, 12, 301–318. [Google Scholar] [CrossRef]
- Chen, H.; Patel, V. Near-wall turbulence models for complex flows including separation. AIAA J. 1988, 26, 641–648. [Google Scholar] [CrossRef]
- ISO 9261; Agricultural Irrigation Equipment—Emitters and Emitting Pipe—Specification and Test Methods. ISO: Geneva, Switzerland, 2004. Available online: https://www.iso.org/obp/ui/fr/#iso:std:iso:9261:ed-2:v1:en (accessed on 10 November 2024).
- Lequette, K.; Ait-Mouheb, N.; Wéry, N. Hydrodynamic effect on biofouling of milli-labyrinth channel and bacterial communities in drip irrigation systems fed with reclaimed wastewater. Sci. Total Environ. 2020, 738, 139778. [Google Scholar] [CrossRef]
- Armaly, B.F.; Durst, F.; Pereira, J.; Schönung, B. Experimental and theoretical investigation of backward-facing step flow. J. Fluid Mech. 1983, 127, 473–496. [Google Scholar] [CrossRef]
- Lee, T.; Mateescu, D. Experimental and numerical investigation of 2-D backward-facing step flow. J. Fluids Struct. 1998, 12, 703–716. [Google Scholar] [CrossRef]
- Nejadnik, M.R.; van der Mei, H.C.; Busscher, H.J.; Norde, W. Determination of the shear force at the balance between bacterial attachment and detachment in weak-adherence systems, using a flow displacement chamber. Appl. Environ. Microbiol. 2008, 74, 916–919. [Google Scholar] [CrossRef]
- Wang, T.; Guo, Z.; Shen, Y.; Cui, Z.; Goodwin, A. Accumulation mechanism of biofilm under different water shear forces along the networked pipelines in a drip irrigation system. Sci. Rep. 2020, 10, 6960. [Google Scholar] [CrossRef]














| Nomenclature | Parameters | Values |
|---|---|---|
| B | channel length (mm) | 20.3 |
| H | channel height (mm) | 1.4 |
| D | channel depth (mm) | 0.6 |
| M | baffle spacing (mm) | 1.2 |
| θ | baffle angle (°) | 30.0 |
| h | baffle height (mm) | 0.7 |
| R | filet radius (mm) | 0.05 |
| Pressure (MPa) | RNG−SWF | RNG−EWT | RKE−SWF | RKE−EWT | SST | BSL |
|---|---|---|---|---|---|---|
| 0.02 | 20.67 | 9.16 | 25.46 | 9.16 | 25.52 | 23.02 |
| 0.04 | 10.29 | 8.67 | 12.27 | 8.81 | 28.68 | 24.76 |
| 0.06 | 4.44 | 9.20 | 3.61 | 9.71 | 30.78 | 27.03 |
| 0.08 | 3.25 | 8.21 | 0.91 | 8.94 | 31.32 | 26.61 |
| 0.10 | 4.01 | 6.66 | 0.89 | 7.47 | 29.05 | 25.54 |
| 0.12 | 1.87 | 8.35 | 1.43 | 9.10 | 30.67 | 26.23 |
| EXP | RNG−SWF | RNG−EWT | RKE−SWF | RKE−EWT | SST | BSL | |
|---|---|---|---|---|---|---|---|
| A | 3.8168 | 3.2683 | 3.6006 | 2.8716 | 3.5276 | 2.5045 | 2.7195 |
| X | 0.4994 | 0.4202 | 0.5098 | 0.3765 | 0.5045 | 0.4739 | 0.4843 |
Disclaimer/Publisher’s Note: The statements, opinions and data contained in all publications are solely those of the individual author(s) and contributor(s) and not of MDPI and/or the editor(s). MDPI and/or the editor(s) disclaim responsibility for any injury to people or property resulting from any ideas, methods, instructions or products referred to in the content. |
© 2024 by the authors. Licensee MDPI, Basel, Switzerland. This article is an open access article distributed under the terms and conditions of the Creative Commons Attribution (CC BY) license (https://creativecommons.org/licenses/by/4.0/).
Share and Cite
Feng, Q.; Li, Q.; Li, Y.; Qiu, X.; Wang, J.; Huang, X. Assessment of RANS Models for Milli-Channel Turbulent Flow in Drip Irrigation Emitter. Agronomy 2025, 15, 81. https://doi.org/10.3390/agronomy15010081
Feng Q, Li Q, Li Y, Qiu X, Wang J, Huang X. Assessment of RANS Models for Milli-Channel Turbulent Flow in Drip Irrigation Emitter. Agronomy. 2025; 15(1):81. https://doi.org/10.3390/agronomy15010081
Chicago/Turabian StyleFeng, Qi, Qingzheng Li, Yaojun Li, Xuefeng Qiu, Jiandong Wang, and Xingfa Huang. 2025. "Assessment of RANS Models for Milli-Channel Turbulent Flow in Drip Irrigation Emitter" Agronomy 15, no. 1: 81. https://doi.org/10.3390/agronomy15010081
APA StyleFeng, Q., Li, Q., Li, Y., Qiu, X., Wang, J., & Huang, X. (2025). Assessment of RANS Models for Milli-Channel Turbulent Flow in Drip Irrigation Emitter. Agronomy, 15(1), 81. https://doi.org/10.3390/agronomy15010081

