Effects of Serendipita indica on the Morphological and Physiological Characteristics of Agrostis stolonifera L. Under Drought Stress
Abstract
1. Introduction
2. Materials and Methods
2.1. Preparation of S. indica
2.2. Experimental Design
2.3. Establishment of S. indica–A. stolonifera Symbiosis and the Drought Stress Treatment
2.4. Detection of A. stolonifera Colonization by S. indica
2.5. Preparation of Freehand Sections for Observations of the Leaf Subepidermal Structure
2.6. Measurement of Physiological and Biochemical Indicators
2.7. Data Analysis
3. Results and Analysis
3.1. Colonization of S. indica
3.2. Effects of Different Treatments on the Growth of A. stolonifera
3.3. Effects on the Root Development of A. stolonifera
3.4. Effects of Different Treatments on the Morphology and Indices of the Lower Epidermis of A. stolonifera Leaves
3.5. Effects of Different Treatments on Photosynthetic Indices of A. stolonifera
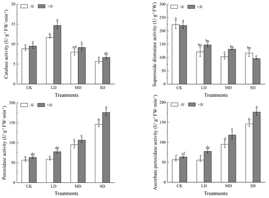
3.6. Effects of Different Treatments on Antioxidant Enzyme Activities in A. stolonifera
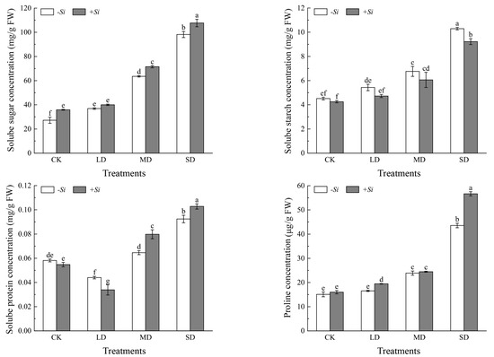
3.7. Effects of Different Treatments on Osmoregulatory Substances in A. stolonifera
3.8. Effects of Different Treatments on the Malondialdehyde Content and Leaf Relative Conductivity in A. stolonifera
4. Discussion
5. Conclusions
Author Contributions
Funding
Data Availability Statement
Acknowledgments
Conflicts of Interest
References
- Yao, J.; Liu, H.; Huang, J.; Gao, Z.; Wang, G.; Li, D.; Yu, H.; Chen, X. Accelerated dryland expansion regulates future variability in dryland gross primary production. Nat. Commun. 2020, 11, 1665. [Google Scholar] [CrossRef] [PubMed]
- Huang, J.; Yu, H.; Guan, X.; Wang, G.; Guo, R. Accelerated dryland expansion under climate change. Nat. Clim. Chang. 2016, 6, 166–171. [Google Scholar] [CrossRef]
- Dong, R.; Li, X.; Qu, Y.; Jiang, T.; Wu, H. Spatiotemporal response relationships between different types of droughts in the Yangtze River Basin in 2022. Water Resour. Prot. 2024, 40, 61–70. [Google Scholar]
- Xu, M.; Yang, X.; Du, R.; Qin, R.; Wen, J. Effects of simulated warming on the allometric growth patterns of an alpine meadow community on the Qinghai-Tibet Plateau. Pratacultural Sci. 2021, 38, 618–629. [Google Scholar]
- Yang, Y.; Lu, M.; Wang, Y.; Wang, Y.; Liu, Z.; Chen, S. Response mechanism of plants to drought stress. Horticulturae 2021, 7, 50. [Google Scholar] [CrossRef]
- Zahra, N.; Hafeez, M.B.; Kausar, A.; AI Zeidi, M.; Asekova, S.; Siddique, K.H.; Farooq, M. Plant photosynthetic responses under drought stress: Effects and management. J. Agron. Crop Sci. 2023, 209, 651–672. [Google Scholar] [CrossRef]
- Varma, A.; Bakshi, M.; Lou, B.; Hartmann, A.; Oelmueller, R. Piriformospora indica: A novel plant growth-promoting mycorrhizal fungus. Agric. Res. 2012, 1, 117–131. [Google Scholar] [CrossRef]
- Xu, G.; Li, C.; Gui, W.; Xu, M.; Lu, J.; Qian, M.; Zhang, Y.; Yang, G. Colonization of Piriformospora indica enhances rice resistance against the brown planthopper Nilaparvata lugens. Pest. Manag. Sci. 2024, 80, 4386–4398. [Google Scholar] [CrossRef] [PubMed]
- Cao, J.L.; He, W.X.; Zou, Y.N.; Wu, Q.S. An endophytic fungus, Piriformospora indica, enhances drought tolerance of trifoliate orange by modulating the antioxidant defense system and composition of fatty acids. Tree Physiol. 2023, 43, 452–466. [Google Scholar] [CrossRef]
- Ur Rahman, S.; Khalid, M.; Hui, N.; Rehman, A.; Kayani, S.I.; Fu, X.; Zheng, H.; Shao, J.; Khan, A.A.; Ali, M.; et al. Piriformospora indica alter root-associated microbiome structure to enhance Artemisia annua L. tolerance to arsenic. J. Hazard. Mater. 2023, 457, 131752. [Google Scholar] [CrossRef]
- Bandyopadhyay, P.; Yadav, B.G.; Kumar, S.G.; Kumar, R.; Kogel, K.H.; Kumar, S. Piriformospora indica and Azotobacter chroococcum consortium facilitates higher acquisition of N, P with improved carbon allocation and enhanced plant growth in Oryza sativa. J. Fungi 2022, 8, 453. [Google Scholar] [CrossRef] [PubMed]
- Hua, M.D.S.; Senthil Kumar, R.; Shyur, L.F.; Cheng, Y.B.; Tian, Z.; Oelmüller, R.; Yeh, K.W. Metabolomic compounds identified in Piriformospora indica-colonized Chinese cabbage roots delineate symbiotic functions of the interaction. Sci. Rep. 2017, 7, 9291. [Google Scholar] [CrossRef] [PubMed]
- Khalid, M.; Hui, N.; Hayat, K.; Huang, D. Suppression of clubroot (Plasmodiophora brassicae) development in Brassica campestris sp. chinensis L. via exogenous inoculation of Piriformospora indica. J. Radiat. Res. Appl. Sci. 2020, 13, 180–190. [Google Scholar] [CrossRef]
- Liu, Y.A.N.G.; Jin-Li, C.A.O.; Zou, Y.N.; Qiang-Sheng, W.U.; Kamil, K.U.Č.A. Piriformospora indica: A root endophytic fungus and its roles in plants. Not. Bot. Horti Agrobot. 2020, 48, 1–13. [Google Scholar]
- Kundu, A.; Vadassery, J. Molecular mechanisms of Piriformospora indica mediated growth promotion in plants. Plant Signal. Behav. 2022, 17, 2096785. [Google Scholar] [CrossRef] [PubMed]
- Shekhawat, P.K.; Jangir, P.; Bishnoi, A.; Roy, S.; Ram, H.; Soni, P. Serendipita indica: Harnessing its versatile potential for food and nutritional security. Physiol. Mol. Plant Pathol. 2021, 116, 101708. [Google Scholar] [CrossRef]
- Singh, M.; Sharma, J.G.; Giri, B. Augmentative Role of Arbuscular Mycorrhizal Fungi, Piriformospora indica, and Plant Growth-Promoting Bacteria in Mitigating Salinity Stress in Maize (Zea mays L.). J. Plant Growth Regul. 2024, 43, 1195–1215. [Google Scholar] [CrossRef]
- Wu, C.; Yang, Y.; Wang, Y.; Zhang, W.; Sun, H. Colonization of root endophytic fungus Serendipita indica improves drought tolerance of Pinus taeda seedlings by regulating metabolome and proteome. Front. Microbiol. 2024, 15, 1294833. [Google Scholar] [CrossRef] [PubMed]
- Wang, Y.; Cao, J.L.; Hashem, A.; Abd-Allah, E.F.; Wu, Q.S. Serendipita indica mitigates drought-triggered oxidative burst in trifoliate orange by stimulating antioxidant defense systems. Front. Plant Sci. 2023, 14, 1247342. [Google Scholar] [CrossRef]
- Li, Y.; Bi, M.; Sun, S.; Li, G.; Wang, Q.; Ying, M.; Li, L.; Yang, X. Comparative metabolomic profiling reveals molecular mechanisms underlying growth promotion and disease resistance in wheat conferred by Piriformospora indica in the field. Plant Signal. Behav. 2023, 18, 2213934. [Google Scholar] [CrossRef]
- Macbryde, B. White Paper: Perspective on Creeping Bentgrass, Agrostis stolonifera L.; USDA/APHIS/BRS: Riverdale, MD, USA, 2006.
- Geng, J.; Zhou, Y.; Dong, Y.; Lamour, K.; Yang, Z.; Liu, J.; Hu, J. Candidacolonium agrostis, a novel species associated with summer patch-like disease on Agrostis stolonifera in East China. Grass Res. 2023, 3, 1. [Google Scholar] [CrossRef]
- Kaminski, J.E.; Dernoeden, P.H.; O’Neill, N.R.; Momen, B. Reactivation of bentgrass dead spot and growth, pseudothecia production, and ascospore germination of Ophiosphaerella agrostis. Plant Dis. 2002, 86, 1290–1296. [Google Scholar] [CrossRef]
- Burgess, P.; Huang, B. Effects of sequential application of plant growth regulators and osmoregulants on drought tolerance of creeping bentgrass (Agrostis stolonifera). Crop Sci. 2014, 54, 837–844. [Google Scholar] [CrossRef]
- Ma, Y.; Shukla, V.; Merewitz, E.B. Transcriptome analysis of creeping bentgrass exposed to drought stress and polyamine treatment. PLoS ONE 2017, 12, e0175848. [Google Scholar] [CrossRef] [PubMed]
- Choi, Y.S.; Kim, Y.M.; Hwang, O.J.; Han, Y.J.; Kim, S.Y.; Kim, J.I. Overexpression of Arabidopsis ABF3 gene confers enhanced tolerance to drought and heat stress in creeping bentgrass. Plant Biotechnol. Rep. 2013, 7, 165–173. [Google Scholar] [CrossRef]
- Phillips, J.M.; Hayman, D.S. Improved procedures for clearing roots and staining parasitic and vesicular-arbuscular mycorrhizal fungi for rapid assessment of infection. Trans. Br. Mycol. Soc. 1970, 55, 158-IN18. [Google Scholar] [CrossRef]
- Cheng, L.; Qiu, Y.; Ye, D.; Tian, Z. Leaf structure analysis of Lolium perenne. J. Yangtze Univ. (Nat. Sci. Ed.) Agric. Sci. Vol. 2010, 7, 23–26+95+111. [Google Scholar]
- Qian, W.W.; Guo, P.; Zhu, H.S.; Zhang, S.M.; Li, D.Y. Responses of leaf epidermis, anatomical structure and photosynthetic characteristics of Poa pratensis to different nitrogen application level. Acta Prataculturae Sin. 2023, 32, 131–143. [Google Scholar]
- Wu, Q. Experiment Guide of Plant Physiology; China Agriculture Press: Beijing, China, 2016. [Google Scholar]
- Zhu, X.; Liang, M.; Ma, Y. A review report on the experiments for the determination of root activity by TTC method. Guangdong Chem. Ind. 2020, 47, 211–212. [Google Scholar]
- Harper, D.B.; Harvey, B.M.R. Mechanism of paraquat tolerance in perennial ryegrass: II. Role of superoxide dismutase, catalase and peroxidase. Plant Cell Environ. 1978, 1, 211–215. [Google Scholar] [CrossRef]
- Wen, Z.M.; Feng, Y.C.; Liu, Q.Q.; Chen, Y.F.; Chen, Y.L.; Liu, B.; Wang, Z.N. Changes in seed germination, seedling growth and physiology of 3 herbaceous species in response to drought stress. J. Fujian Agric. For. Univ. (Nat. Sci. Ed.) 2022, 51, 562–569. [Google Scholar]
- Ozturk, M.; Turkyilmaz Unal, B.; García-Caparrós, P.; Khursheed, A.; Gul, A.; Hasanuzzaman, M. Osmoregulation and its actions during the drought stress in plants. Physiol. Plant. 2021, 172, 1321–1335. [Google Scholar] [CrossRef] [PubMed]
- Chen, T.; Zhang, B. Measurements of proline and malondialdehyde content and antioxidant enzyme activities in leaves of drought stressed cotton. Bio-protocol 2016, 6, e1913. [Google Scholar] [CrossRef]
- Comas, L.H.; Becker, S.R.; Cruz, V.M.V.; Byrne, P.F.; Dierig, D.A. Root traits contributing to plant productivity under drought. Front. Plant Sci. 2013, 4, 442. [Google Scholar] [CrossRef] [PubMed]
- Williams, A.; de Vries, F.T. Plant root exudation under drought: Implications for ecosystem functioning. New Phytol. 2020, 225, 1899–1905. [Google Scholar] [CrossRef] [PubMed]
- Yang, Y.; Zhou, Y.; Ban, X.; Zhou, M.; Wang, J.; Yang, X.; Lei, J.; Yang, C. Effects of morphological and physiological characteristics of Coix lacryma-jobi L. seedlings under drought stress. Mol. Plant Breed. 2024, 1–19. [Google Scholar]
- Mensah, R.A.; Li, D.; Liu, F.; Tian, N.; Sun, X.; Hao, X.; Lai, Z.; Cheng, C. Versatile Piriformospora indica and its potential applications in horticultural crops. Hortic. Plant J. 2020, 6, 111–121. [Google Scholar] [CrossRef]
- Su, Z.Z.; Wang, T.; Shrivastava, N.; Chen, Y.Y.; Liu, X.; Sun, C.; Yin, Y.; Gao, Q.; Lou, B.G. Piriformospora indica promotes growth, seed yield and quality of Brassica napus L. Microbiol. Res. 2017, 199, 29–39. [Google Scholar] [CrossRef] [PubMed]
- Hosseini, F.; Mosaddeghi, M.R.; Dexter, A.R.; Sepehri, M. Effect of endophytic fungus Piriformospora indica and PEG-induced water stress on maximum root growth pressure and elongation rate of maize. Plant Soil 2019, 435, 423–436. [Google Scholar] [CrossRef]
- Li, D.; Mensah, R.A.; Liu, F.; Tian, N.; Qi, Q.; Yeh, K.; Xu, X.; Cheng, C.; Lai, Z. Effects of Piriformospora indica on rooting and growth of tissue-cultured banana (Musa acuminata cv. Tianbaojiao) seedlings. Sci. Hortic. 2019, 257, 108649. [Google Scholar] [CrossRef]
- Hussin, S.; Khalifa, W.; Geissler, N.; Koyro, H.W. Influence of the root endophyte Piriformospora indica on the plant water relations, gas exchange and growth of Chenopodium quinoa at limited water availability. J. Agron. Crop Sci. 2017, 203, 373–384. [Google Scholar] [CrossRef]
- Jyothymol, C.P.; Kutty, M.S.; Pradeepkumar, T.; Parvathi, M.S.; Rashmi, C.R. Piriformospora indica improves water stress tolerance in watermelon (Citrullus lanatus (Thunb.) Matsum & Nakai). Plant Physiol. Rep. 2024, 29, 1–13. [Google Scholar]
- Aslani, Z.; Hassani, A.; Mandoulakani, B.A.; Barin, M.; Maleki, R. Effect of drought stress and inoculation treatments on nutrient uptake, essential oil and expression of genes related to monoterpenes in sage (Salvia officinalis). Sci. Hortic. 2023, 309, 111610. [Google Scholar] [CrossRef]
- Munné-Bosch, S.; Alegre, L. Die and let live: Leaf senescence contributes to plant survival under drought stress. Funct. Plant Biol. 2004, 31, 203–216. [Google Scholar] [CrossRef] [PubMed]
- Li, C.; Wan, Y.; Shang, X.; Fang, S. Responses of microstructure, ultrastructure and antioxidant enzyme activity to PEG-induced drought stress in Cyclocarya paliurus seedlings. Forests 2022, 13, 836. [Google Scholar] [CrossRef]
- Cen, H.F.; Qian, W.W.; Zhu, H.S.; Xia, F.S.; Du, L.X.; Xu, T. Effects of Drought Stress on Leaf Microstructure and Photosynthetic Characteristics of Poa pratensis. Acta Agrestia Sin. 2023, 31, 1368–1377. [Google Scholar]
- Li, Z.; Zhao, Y.J.; Song, H.Y.; Zhang, J.; Tao, J.P.; Liu, J.C. Effects of karst soil thickness heterogeneity on the leaf anatomical structure and photosynthetic traits of two grasses under different water treatments. Acta Ecol. Sin. 2018, 38, 721–732. [Google Scholar]
- Tsai, H.J.; Shao, K.H.; Chan, M.T.; Cheng, C.P.; Yeh, K.W.; Oelmüller, R.; Wang, S.J. Piriformospora indica symbiosis improves water stress tolerance of rice through regulating stomata behavior and ROS scavenging systems. Plant Signal. Behav. 2020, 15, 1722447. [Google Scholar] [CrossRef] [PubMed]
- Wan, Y.X.; Liang, S.M.; Wu, Q.S.; Hashem, A.; Abd-Allah, E.F.; Zou, Y.N. Serendipita indica accelerates chlorophyll synthesis pathway and photosynthetic efficiency in trifoliate orange subjected to water deficit. Sci. Hortic. 2024, 338, 113667. [Google Scholar] [CrossRef]
- Rezaei, A.; Alavi, S.M.; Goodwin, P.H.; Yaghoubian, Y.; Mousavi, S.H.; Sharifnabi, B.; Babaeizad, V. Comparing host genotype, defense gene expression and PSII parameters to assess non-stressed and stressed rice inoculated with Serendipita indica. Acta Physiol. Plant. 2022, 44, 45. [Google Scholar] [CrossRef]
- Amini, R.; Zafarani-Moattar, P.; Shakiba, M.R.; Hasanfard, A. Inoculating moldavian balm (Dracocephalum moldavica L.) with mycorrhizal fungi and bacteria may mitigate the adverse effects of water stress. Sci. Rep. 2023, 13, 16176. [Google Scholar] [CrossRef] [PubMed]
- Swetha, S.; Padmavathi, T. Mitigation of drought stress by Piriformospora indica in Solanum melongena L. cultivars. Proc. Natl. Acad. Sci. India Sect. B Biol. Sci. 2020, 90, 585–593. [Google Scholar] [CrossRef]
- Kaboosi, E.; Rahimi, A.; Abdoli, M.; Ghabooli, M. Comparison of Serendipita indica inoculums and a commercial biofertilizer effects on physiological characteristics and antioxidant capacity of maize under drought stress. J. Soil Sci. Plant Nutr. 2023, 23, 900–911. [Google Scholar] [CrossRef]
- Muhammad, I.; Shalmani, A.; Ali, M.; Yang, Q.H.; Ahmad, H.; Li, F.B. Mechanisms regulating the dynamics of photosynthesis under abiotic stresses. Front. Plant Sci. 2021, 11, 615942. [Google Scholar] [CrossRef]
- Han, Y.; Ma, Y.; Lv, X.; Zhang, S.; Hu, G.; Zhang, Z. Effects of drought stress on photosynthesis of Zoysia matrella. Jiangsu Agric. Sci. 2018, 46, 151–154. [Google Scholar]
- Saman, M.; Sepehri, A. Serendipita indica (Piriformospora indica) inoculation improves photosynthetic performance and antioxidative potential of proso millet (Panicum miliaceum L.) under copper stress conditions. Braz. J. Bot. 2022, 45, 1177–1182. [Google Scholar] [CrossRef]
- Miller, G.A.D.; Suzuki, N.; Ciftci-Yilmaz, S.; Mittler, R.O.N. Reactive oxygen species homeostasis and signalling during drought and salinity stresses. Plant Cell Environ. 2010, 33, 453–467. [Google Scholar] [CrossRef]
- Sun, C.; Johnson, J.M.; Cai, D.; Sherameti, I.; Oelmüller, R.; Lou, B. Piriformospora indica confers drought tolerance in Chinese cabbage leaves by stimulating antioxidant enzymes, the expression of drought-related genes and the plastid-localized CAS protein. J. Plant Physiol. 2010, 167, 1009–1017. [Google Scholar] [CrossRef] [PubMed]
- Liu, B.; Jing, D.; Liu, F.; Ma, H.; Liu, X.; Peng, L. Serendipita indica alleviates drought stress responses in walnut (Juglans regia L.) seedlings by stimulating osmotic adjustment and antioxidant defense system. Appl. Microbiol. Biotechnol. 2021, 105, 8951–8968. [Google Scholar] [CrossRef]
- Benhiba, L.; Fouad, M.O.; Essahibi, A.; Ghoulam, C.; Qaddoury, A. Arbuscular mycorrhizal symbiosis enhanced growth and antioxidant metabolism in date palm subjected to long-term drought. Trees 2015, 29, 1725–1733. [Google Scholar] [CrossRef]
- Xian, L.L.; Dong, Z.; Li, H.L.; Dou, X.H.; Liu, C.; Liu, B.Q.; Jia, F.Y. Effects of inoculation with Piriformospora indica under different cadmium concentrations on the growth and physiological characteristics of Sorghum hybrid sudangrass. J. Arid. Land. Resour. Environ. 2022, 36, 171–177. [Google Scholar]
- Chen, W.T.; Xia, C.S.; Chen, C.M.; Liao, Q.L.; Cao, Y.Y.; Chen, S.P.; Kuo, Y.W. Effects of Piriformospora indica on growth and drought tolerance of Gerbera jamesonii L. seedlings. J. Northwest A F Univ. (Nat. Sci. Ed.) 2022, 50, 53–61. [Google Scholar]
- Wu, M.Y.; Hao, R.C.; Zhang, W.Y. Effects of Piriformospora indica fungus on growth and drought resistance in alfalfa under water deficit stress. Acta Prataculturae Sin. 2016, 25, 78–86. [Google Scholar]








Disclaimer/Publisher’s Note: The statements, opinions and data contained in all publications are solely those of the individual author(s) and contributor(s) and not of MDPI and/or the editor(s). MDPI and/or the editor(s) disclaim responsibility for any injury to people or property resulting from any ideas, methods, instructions or products referred to in the content. |
© 2025 by the authors. Licensee MDPI, Basel, Switzerland. This article is an open access article distributed under the terms and conditions of the Creative Commons Attribution (CC BY) license (https://creativecommons.org/licenses/by/4.0/).
Share and Cite
Lin, C.; Hu, W.; Qin, X.; Fei, Y.; Hu, D. Effects of Serendipita indica on the Morphological and Physiological Characteristics of Agrostis stolonifera L. Under Drought Stress. Agronomy 2025, 15, 234. https://doi.org/10.3390/agronomy15010234
Lin C, Hu W, Qin X, Fei Y, Hu D. Effects of Serendipita indica on the Morphological and Physiological Characteristics of Agrostis stolonifera L. Under Drought Stress. Agronomy. 2025; 15(1):234. https://doi.org/10.3390/agronomy15010234
Chicago/Turabian StyleLin, Chuhong, Wenxu Hu, Xin Qin, Yongjun Fei, and Die Hu. 2025. "Effects of Serendipita indica on the Morphological and Physiological Characteristics of Agrostis stolonifera L. Under Drought Stress" Agronomy 15, no. 1: 234. https://doi.org/10.3390/agronomy15010234
APA StyleLin, C., Hu, W., Qin, X., Fei, Y., & Hu, D. (2025). Effects of Serendipita indica on the Morphological and Physiological Characteristics of Agrostis stolonifera L. Under Drought Stress. Agronomy, 15(1), 234. https://doi.org/10.3390/agronomy15010234

