Next Article in Journal
The Promotion of Dark Septate Endophytes on the Performance and Active Ingredients Accumulation of Dendranthema morifolium Under Cd Stress
Next Article in Special Issue
Effects of High-Voltage Discharge Plasma on Drying Properties, Microstructure, and Nutrients of Oat Grass
Previous Article in Journal
Novel Breeding Techniques and Strategies for Enhancing Greenhouse Vegetable Product Quality
 
 
Font Type:
Arial Georgia Verdana
Font Size:
Aa Aa Aa
Line Spacing:
Column Width:
Background:
Article

Non-Thermal Plasma-Activated Water Enhances Nursery Production of Vegetables: A Species-Specific Study

Department of Agronomy, Food, Natural Resources, Animals and Environment—DAFNAE, University of Padua, Viale dell’Università 16, 35020 Legnaro, PD, Italy
*
Author to whom correspondence should be addressed.
Agronomy 2025, 15(1), 209; https://doi.org/10.3390/agronomy15010209
Submission received: 22 November 2024 / Revised: 28 December 2024 / Accepted: 14 January 2025 / Published: 16 January 2025
(This article belongs to the Special Issue High-Voltage Plasma Applications in Agriculture)

Abstract

Non-thermal plasma technology (NTP) has found widespread applications across several fields, including agriculture. Researchers have explored the use of NTP to improve plant growth and increase agricultural product quality using plasma-activated water (PAW). This technology has shown potential benefits in boosting seed germination, promoting plant growth, as an effective defense against plant pathogens, and increasing systemic plant resistance. An experiment was set up over three different cultivation cycles to investigate the benefits of PAW administration on nursery production. Plasma-activated water was generated using two NTP intensities (PAW-HI = 600 mV; PAW-LI = 450 mV; CTR = tap water control) and manually applied to plants under greenhouse conditions. The species considered in the current study were tomato (Solanum lycopersicum L.), Swiss chard (Beta vulgaris L.), cabbage (Brassica oleracea L.), basil (Ocimum basilicum L.), and lettuce (Lactuca sativa L. var. Longifolia). The following morphological traits were measured at the end of each cycle and for each species: plant height (PH, cm), collar diameter (CD, mm), biomass (g), nutritional status (SPAD index), dry matter (DM, %), and chemical composition. The sturdiness index (SI) was determined by the PH-to-CD ratio. Results indicated a species-specific response to both PAW treatments compared to CTR. The plant height significantly increased in tomato (+11.9%) and cabbage (+5%) under PAW-HI treatment. In contrast, PAW-HI treatment negatively affected the PH in lettuce and basil (−18% and −9%, respectively). Swiss chard showed no significant response to either PAW-LI or PAW-HI treatments. Regarding DM, no significant differences were observed between the PAW treatments and CTR. However, an increase in total N content was detected in plant tissues across all species, except for basil, where no change was observed. The results suggest that PAW treatment has the potential to enhance vegetable nursery production, with species-specific responses observed in crops.

1. Introduction

The growing global population and increasing demand for high-quality agricultural products are driving significant innovations in horticultural practices [1]. Specifically, advances in horticultural seedling production have evolved to ensure the cultivation of high-quality, healthy, vigorous, and high-yielding seedlings [2]. These advances include cultivating plants in protected structures like nurseries [3] and adopting innovative techniques such as artificial light supplementation and wireless sensor networks for irrigation optimization [4,5]. These technologies offer several benefits, including shorter cropping cycles, reduced disease incidence, synchronized plant growth, and expanded production areas [5]. Given the multitude of factors influencing seedling quality and, consequently, plant establishment and growth, the nursery sector must adapt to new production methods [2,3,4,5,6,7]. Therefore, in horticultural seedling production, factors such as the quality of the substrate, fertilization methods, microclimatic conditions, and irrigation management are fundamental [2]. Proper irrigation is essential for ensuring an adequate water supply, regulating growth rates, and mitigating disease risks.
Emerging plant pathogens in irrigation water pose challenges to crop health, prompting researchers to explore alternative solutions such as plasma treatment for water disinfection [8,9]. Plasma, often referred to as the fourth state of matter, is a partially ionized gas composed of charged particles, neutral atoms, and molecules [10]. Non-thermal plasma (NTP) is generated when highly energetic electrons create reactive species without significantly heating the gas volume. This technology generates reactive oxygen and nitrogen species (RONS), such as hydrogen peroxide (H2O2), nitrites (NO2), and nitrates (NO3), which diffuse in water through chemical reactions [11]. Consequently, NTP effectively promotes oxidation, enhances molecular dissociation, and produces free radicals, which stimulate biochemical reactions.
Previous studies have demonstrated the beneficial effects of cold plasma on seed germination and plant growth [12]. Additionally, NTP technology has proven effective in the post-harvest stage, enhancing product quality preservation and maintenance through disinfection and sanitization [13,14,15]. This application, referred to as NTP-treated water or plasma-activated water (PAW), has shown promising results in promoting plant health, sturdiness, and root development, thereby enhancing growth performance and reducing the need for fertilizers and plant protection products against biotic stresses [16,17].
Moreover, PAW treatment exhibits antimicrobial activity, making both plasma and plasma-treated water efficient in decontaminating and disinfecting plants [18]. Several studies have investigated the impact of PAW on the growth of vegetables and other plants, yielding significant findings [19,20,21,22]. For instance, PAW treatments have shown positive effects on the growth of various species, including radish, strawberry, spinach, and wheat. Šerá et al. [23] reported improved Fabaceae seed germination due to enhanced water absorption facilitated by PAW-induced seed surface erosion. Regarding plant development, some authors have attributed the growth promotion effect of PAW to the presence of NO3, absorbed by plants through their roots. Park et al. [19] observed significant increases in the root and stem length of alfalfa, pole beans, and watermelons after PAW treatments. The authors identified the formation of NO3, NO2, and H2O2 in PAW as possible reasons for the beneficial effects on plant growth [24]. Lindsay et al. [21] reported increased height in radish and tomato plants, as well as higher shoot masses for plants grown in PAW. Takaki et al. [25] recorded an increase in the length of Brassica rapa var. perviridis, suggesting that NO3 and NO2 from PAW act as fertilizers, enhancing plant growth. Similarly, Adhikari et al. [26] reported that tomato seedlings irrigated with 15PAW (PAW treated for 15 min) and 30PAW (PAW treated for 30 min) exhibited significantly longer shoot and root lengths after 35 days compared to the controls. Several biochemical stress markers were analyzed in the shoots and roots of seedlings to assess the oxidative damage potential of PAW-induced RONS in plant cells. Adhikari et al. [26] observed a significant increase in proline content in shoots treated with 15 min and 30 min PAW compared to the control. Additionally, chlorophyll content, an indicator of photosynthetic activity, increased in 30PAW but decreased in 60PAW shoots.
Other researchers have also noted that plant species exhibit diverse responses to PAW irrigation, underscoring the specific responses of different species to its effects [24]. However, while many studies have investigated PAW’s general impact on plant growth, few have explored its comparative effects across multiple vegetable species under varying seasonal conditions. In this study, this gap is filled by assessing the effects of PAW treatments at varying intensities on the growth performance of five vegetable species during the nursery phase. By conducting experiments across three distinct seasonal cycles, this research provides new insights into the role of environmental factors in mediating PAW’s effects, contributing to a more comprehensive understanding of its potential applications in nursery production optimization.

2. Materials and Methods

2.1. Experimental Set-Up

The experiment was conducted in a 300 m2 greenhouse tunnel located at the experimental farm “Lucio Toniolo” at the University of Padova, Italy (45°20′ N, 11°57′ E, 6 m a.s.l). The greenhouse was covered with polyethylene plastic film, and the temperature was automatically controlled. Three cultivation cycles were performed in different periods of the year to evaluate potential variations in PAW effects due to environmental conditions, as follows: (1) I cycle: sowing on 20th May, sampling on 20th June (temperature range: 18–30 °C); (2) II cycle: sowing on 24th June, sampling on 1 July (temperature range: 22–40 °C); and (3) III cycle: sowing on 12th September, sampling on 20th October (temperature range: 14–25 °C). This approach accounted for seasonal changes in both the length of daily daylight hours and external temperature, which can influence the microclimate inside the greenhouse.
For each cycle, 45 trays (15 trays per block) were sown and arranged on cultivation benches. Manual sowing was performed, and each cultivation cycle concluded when plants reached the marketable stage, characterized by 3–4 true leaves, making them suitable for transplantation.
Five vegetable species were selected for this study, as follows: Solanum lycopersicum L. (tomato)., Beta vulgaris L. (Swiss chard), Brassica oleracea L. (cabbage), Ocimum basilicum L. (basil), and Lactuca sativa L. var. Longifolia (lettuce). These species were chosen for their agronomic importance as they are widely cultivated and consumed locally and globally. Their selection, spanning multiple botanical families and diverse growth traits, ensures a broad evaluation of the experimental treatments and enhances the relevance of the findings across various crops.
The plants were grown in high-density polystyrene plug trays with 126 cells per tray. The trays were filled with a commercial peat-based substrate (GEO Substrate Professional Tray, GEOTEC s.r.l., Vigonovo (VE), Italy) with the following characteristics: pH of 6.0; electrical conductivity of 0.4 dS m−1; dry bulk density of 120 kg m−3; total porosity of 90% v/v. The trays were placed on cultivation benches employing an air-pruning technique to promote root growth.

2.2. Non-Thermal Plasma Treatment Implementation

Non-thermal plasma (NTP) technology was used to produce plasma-activated water (PAW) for irrigation. PAW was generated by treating tap water with a double dielectric barrier discharge (DBD) generator (Jonix s.r.l., Tribano, Padova, Italy) at an input voltage of 2.85 kV. The generator produced ionized gas at atmospheric pressure, using ambient air as the gas source. Ionized gas was introduced into a 50 L water tank via a porous stone (80-micron bubbles) with an airflow rate of 2 m3 min−1 (Figure 1).
Three treatments were tested (Table 1), as follows: (a) control (CTR): plants irrigated with untreated tap water; (b) low intensity PAW (PAW-LI): water treated with NTP for 5 min, achieving a redox potential of 450 mV; and (c) high intensity PAW (PAW-HI): water treated with NTP for 10 min, achieving a redox potential of 600 mV. The redox potential values were set based on references from the literature [27,28] and slightly reduced considering the direct application of PAW to the aerial biomass.
The baseline properties of the tap water used as a control were characterized to facilitate accurate comparisons and ensure that observed effects could be attributed to PAW treatment. The temperature was 15 °C, the redox potential (ORP) was 250 mV, the pH was 7.9, and the electrical conductivity (EC) was 0.432 mS cm−1. Additionally, the chemical composition of the water samples was quantified though ion chromatography (IC), performed using an ICS-900 system (Dionex Corporation, Milan, Italy). The IC system consisted of a dual-piston pump, AS-DV autosampler, isocratic column at room temperature, DS5 conductivity detector, and 4 mm suppressors (AMMS 300 for anions; CMMS 300 for cations). For anion separations, a Dionex IonPac AS23 analytical column (4 × 250 mm) and guard column (4 × 50 mm) were utilized, while a Dionex IonPac CS12A analytical column (4 × 250 mm) and guard column (4 × 50 mm) were used for cation separations. The eluents for anions were 4.5 mmol L−1 sodium carbonate and 0.8 mmol L−1 sodium bicarbonate, with a flow rate of 1 mL min−1. For cations, the eluent was 20 mmol L−1 methanesulfonic acid, also at a flow rate of 1 mL min−1. Quantification of ions was achieved via calibration curves created from Dionex standard solutions, with concentrations ranging from 0.4 to 20 mg L−1 for anions and 0.5 to 50 mg L−1 for cations. The concentrations of chlorides (Cl), nitrites (NO2), bromides (Br), and nitrates (NO3) were 37.3 mg/kg, 0.32 mg/kg, 0.023 mg kg−1, and 59.9 mg kg−1, respectively. Phosphates (PO43−) and sulfates (SO42−) were present at average concentrations of 0.17 mg/kg and 69.61 mg kg−1. Sodium (Na+) and ammonium (NH4+) were found at 18.03 mg kg−1 and 0.21 mg kg−1, respectively, while potassium (K+) and magnesium (Mg2+) had average concentrations of 6.65 mg/kg and 104.75 mg kg−1. Calcium (Ca2+) displayed the highest concentration, with an average value of 148.46 mg kg−1.
Each plant received approximately 4 mL of its respective treatment solution twice daily, based on the water-holding capacity of the substrate and the crop requirements. No additional fertilization was provided during the experiment to evaluate the potential fertilizing effect of PAW, as suggested by Leti et al. [29].

2.3. Morphological and Aerial Biomass Traits

The sampling procedure involved selecting 21 plants from the central area of each tray to minimize edge effects. Plants were cut at collar level, and the following morphological traits were measured: plant height (PH, cm), fresh weight (FW, g), and collar diameter (CD, mm). The leaf number was recorded only for Swiss chard, cabbage, and lettuce. The sturdiness index (SI) for each plant was computed as the ratio of PH to CD, following the method described by Formisano et al. [30]. The SPAD index was measured using fully expanded mature leaves with a SPAD-502 chlorophyll meter (Konica Minolta, Osaka, Japan). Subsequently, plants were divided into three subgroups of seven plants each. For each subgroup, both fresh weight and dry weight were determined. Dry matter content (DM) was calculated after drying samples in a ventilated oven at 65 °C for 24 h (Pid System—MPM Instruments s.r.l., Monza—Italy). The total Kjeldahl nitrogen (TKN) content was measured using the Kjeldahl method. Dried samples were ground for ion analysis. Anions’ (Cl, NO3, NO2, PO43−, SO42−) and cations’ (NH4+, Na+, Mg2+, K+, Ca2+) contents were quantified using ion chromatography (IC) with an ICS-900 system (Dionex Corporation, Milan, Italy).

2.4. Statistical Analysis

Treatments were arranged in the greenhouse using a randomized block experimental design with 3 replicates, to minimize variability from external factors by randomly assigning treatments to each block. A linear mixed model was performed using the MIXED procedure of SAS (9.4. SAS Institute Inc., Cary, NC, USA) to investigate the effect of PAW application on morphological and biomass traits of each species:
Yijlm = μ + bi + pj + (b × p)ij + rl + eijl
where yijl represents the dependent variable (PH, CD, biomass, nutritional plant index, DM and chemical composition); μ is the overall average of each dependent variable; bi represents the fixed effect of the ith PAW treatment (i = CTR, PAW-LI, PAW-HI); pj represents the fixed effect of the jth cultivation cycle (j = I, II, III); (b × p)ij represents the first order interaction between the ith PAW treatment and jth cultivation cycle; rl was the effect of the lth block modelled as random intercept; eijl represents the random residual; data were presented as least squares means and standard error, and a multiple comparison of least squares means was performed using the Tukey HSD post hoc test. The threshold for significance was set when p < 0.05.

3. Results

3.1. Tomato

The biometric traits of tomato plants were significantly affected by PAW treatment and the cultivation cycle (p < 0.05) (Table 2). Under the PAW treatment, the PH ranged significantly (p < 0.05) from 12.9 cm (CTR) to 14.5 cm (PAW-HI treatment). A similar trend was observed for CD, plant SI, and biomass, showing significantly higher values in the PAW-HI treatment (p < 0.05). The control and PAW-LI treatment showed no significant differences in morphometric traits (p > 0.05). Plasma-activated water treatment did not affect the SPAD index of tomato plants, with average values recorded at 30.5 SPAD index (p > 0.05).
In terms of cultivation cycle, the I cycle exhibited significantly higher PH values (17.7 cm) compared to the II (10.7 cm) and III (12.5 cm) cycles (p < 0.05). Similarly, in the I cycle, CD, biomass, and SPAD index values were significantly higher than those in the II and III cycles (p < 0.05). The plant SI did not significantly differ between the I and III cycles (71.4 and 69.4, respectively) (p > 0.05). Regarding the DM analyses, tomato plants from the III cycle displayed a significantly higher dry matter content compared to those from the II and the I cycles (19.1%, 17.2%, and 16.8%, respectively) (p < 0.05).
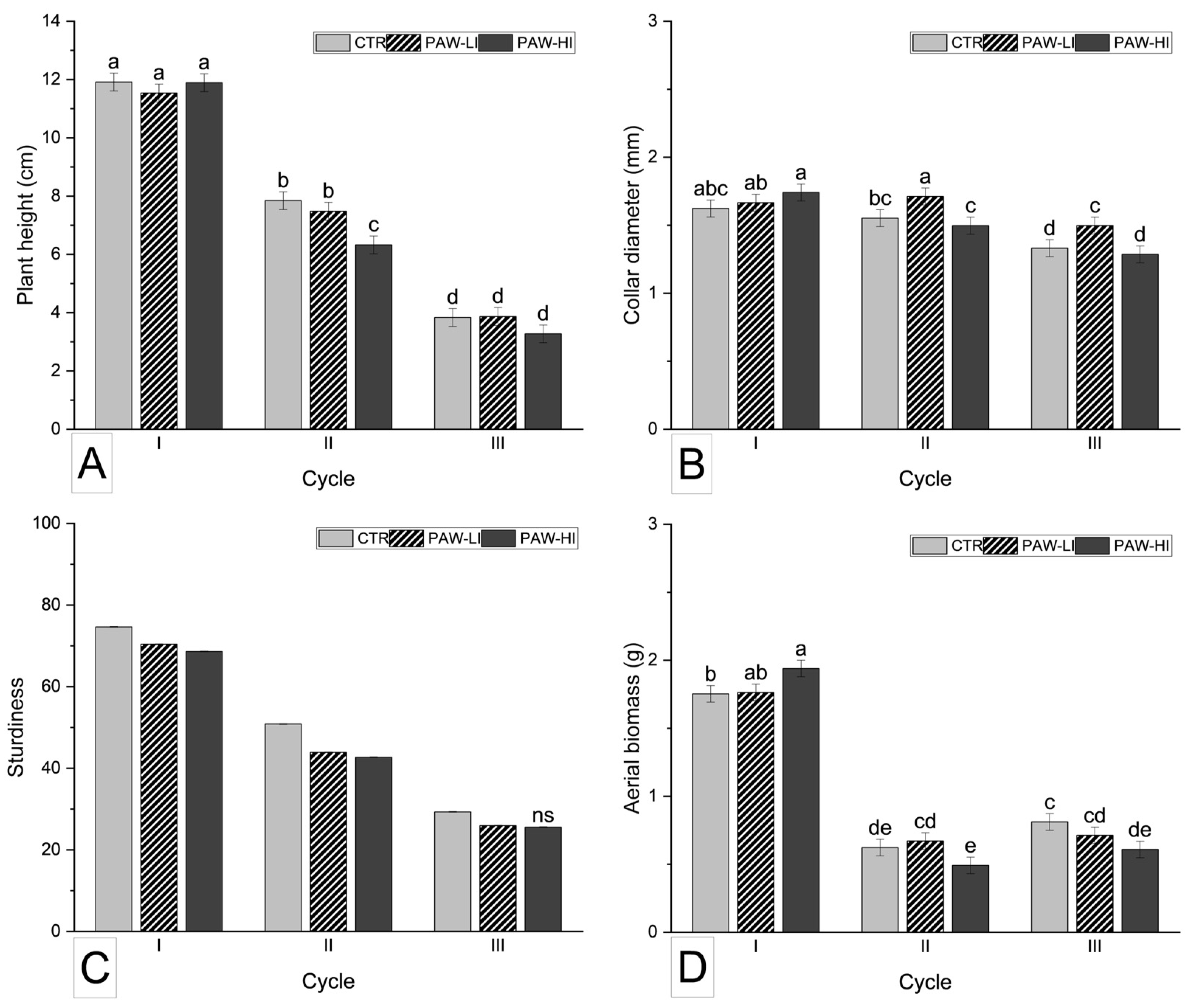
Significant interactions between the PAW treatments and cultivation cycles were observed for morphological traits. During the II cycle, the plant height under PAW-HI showed lower values compared to the PAW-LI treatment (p < 0.05). However, in the III cycle, the PAW-HI treatment significantly favored plant growth (p < 0.05) (Figure 2A).
The CD of tomato plants in the I and II cycles exhibited consistent trends across all treatments (p < 0.05) (Figure 2B). Conversely, plants in the III cycle showed significantly higher CD in PAW-HI treatment (p < 0.05). Figure 2C illustrates a similar plant SI level for all PAW treatments during the I cycle. PAW-HI treatment increased SI significantly in III cycle compared to the CTR (p < 0.05) (Figure 2C). Plants in the III cycle treated with PAW-HI showed a significant increase in SI (p < 0.05). In terms of aerial biomass (Figure 2D), plants in the I cycle had a higher biomass weight in the PAW-LI treatment compared to those in the PAW-HI treatment (p < 0.05). The highest biomass was observed in the I cycle under PAW-LI treatment, while the III cycle favored PAW-HI for biomass production (p < 0.05).

3.2. Basil

The biometric traits of basil were significantly affected by PAW treatment and cultivation cycle (Table 3) (p < 0.05). Plants treated with PAW-HI showed a significantly lower PH (7.16 cm), compared to the CTR and PAW-LI treatments (7.86 and 7.63 cm, respectively) (p < 0.05). Additionally, plants treated with PAW-LI exhibited a significantly higher CD compared to the other treatments (1.62 mm) (p < 0.05). The aerial biomass weight and SPAD index did not show remarkable differences among the treatments (p > 0.05).
Among the cultivation cycles, the I cycle consistently showed higher values for all measured biometric traits. In the I cycle, the PH averaged 11.8 cm, significantly higher than in the II (7.21 cm) and III cycles (3.66 cm) (p < 0.05). Collar diameter also decreased significantly from the I cycle (1.68 mm) to the III (1.37 mm) cycle (p < 0.05). During the I cycle, plants exhibited elevated SI values, exceeding those of the II cycle by 36% and the III cycle by 62% (p < 0.05). Additionally, plant biomass was higher during the I cycle compared to the II and III cycles (1.82 g, 0.60 g, and 0.71 g, respectively) (p < 0.05). Basil plants displayed lower dry matter values in the III cycle (14.3%) compared to the I (17.0%) and II cycles (17.5%) (p < 0.05).
Considering the interactions between the PAW treatment and cultivation cycles in PH, no significant differences were observed in the I and III cycles among treatments (Figure 3) (p > 0.05). However, plants from the II cycle subjected to PAW-HI treatment exhibited significantly lower PH values compared to those treated with CTR and PAW-LI treatments (p < 0.05) (Figure 3A). During the I and II cycles, PAW-LI and PAW-HI, respectively, enhanced the CD values compared to those in the III cycle (p < 0.05) (Figure 3B). Figure 3C illustrates that no significant differences in the SI were observed for basil plants (p > 0.05). In terms of biomass (Figure 3D), the I cycle showed significant differences, with the PAW-HI treatment enhancing the biomass compared to CTR (p < 0.05). Conversely, in the II cycle, the PAW-HI treatment showed a decrease in aerial biomass compared with the CTR and the PAW-LI treatments. In the III cycle, both PAW-LI and PAW-HI treatments exhibited a reduction in aerial biomass compared to the CTR treatment (p < 0.05) (Figure 3D).

3.3. Swiss Chard

The data in Table 4 indicate that across all measured biometric traits, the PAW treatments did not have statistically significant effects on the Swiss chard plant growth (p > 0.05). Regarding the cultivation cycle, PH (8.86 cm), SI (40.5), and aerial biomass (1.19 g plant−1) recorded higher values during the I cycle (p < 0.05). CD was higher during the II cycle compared to the I and III cycles (p < 0.05). The results of the SPAD index measured on the leaves showed higher values in the I and II cycles, at 24.7 and 25.5, respectively, than in the III cycle (18.1) (p < 0.05). Regarding dry matter content analyses, Swiss chard plants in the III cycle demonstrated a lower dry matter values (13.6%) compared to the II and I cycles (15.8% and 15.9%, respectively) (p < 0.05).
Considering the interactions between PAW treatment and cultivation cycles (Figure 4), during the I and III cycles, the PAW treatment did not exhibit differences in PH (p > 0.05). However, during the II cycle, the PAW-HI treatment increased the PH compared to the CTR (p < 0.05) (Figure 4A). Regarding CD, in the I cycle, the CTR and PAW-HI treatments did not exhibit significant differences (p > 0.05) (Figure 4B). For the plant SI, the PAW-LI treated plants exhibited higher values compared to the PAW-HI treatments during the I cycle (p < 0.05) (Figure 4C). However, in the II and III cycles, there were no significant differences (p > 0.05). In the I cycle, the PAW-LI-treated plants showed a higher biomass compared to the PAW-HI treatment (p < 0.05) (Figure 4D).

3.4. Cabbage

The biometric traits of cabbage were significantly affected by both the PAW treatment and cultivation cycle (Table 5). PH values increased significantly from the CTR treatment (7.16 cm) to the PAW-HI treatment (7.51 cm) (p < 0.05). Additionally, plants showed a significantly higher CD under the CTR treatment (1.28 mm) compared to PAW-LI treatment (1.22 mm) (p < 0.05). The SI was significantly higher for the PAW-HI treatment (61.6) compared to the CTR treatment (55.8) (p < 0.05). However, biomass weight did not show differences among the treatments (p > 0.05). Furthermore, the SPAD index measured on cabbage leaves showed an increase in values from the CTR treatment (33.4) to the PAW-HI treatment (34.9) (p < 0.05).
During the I cycle, cabbage plants recorded an average height of 10.2 cm, which was significantly higher compared to the II (4.05 cm) and III cycles (7.48 cm) (p < 0.05). Additionally, CD resulted in higher values in the II cycle (p < 0.05). SI and biomass values were also higher in the I cycle compared to the II and III cycles (p < 0.05). The results of the nutritional status, the SPAD index, did not show differences (p > 0.05). Regarding cabbage plants, the dry matter content was higher at the end of the III cycle (25.0%) compared to the I and II cycles (22.2%) (p < 0.05).
The interaction between the PAW treatment and the cultivation cycle is illustrated in Figure 5. During the II cycle, no significant differences in PH were observed among treatments (p > 0.05). However, during the I cycle, the PAW-HI treatment exhibited significantly higher PH values compared to the PAW-LI and control (10.7, 10.1, and 9.87 cm, respectively). In contrast, in the III cycle, PAW-HI did not show a significant difference compared to the CTR treatment (p > 0.05) (Figure 5A). About CD (Figure 5B), significant differences were recorded in the III cycle with higher values in the CTR treatment compared to the LI and PAW-HI treatments (p < 0.05). The plant SI (Figure 5C) shows an increase in values with rising treatment intensity in the I and III cycles. Regarding biomass weight (Figure 5D), the PAW treatment did not show differences in the I and the II cycles (p > 0.05). However, in the III cycle, the CTR plants showed a higher biomass compared to PAW-LI treated plants (p < 0.05).

3.5. Lettuce

The morphological traits of lettuce plants revealed significant variations based on the PAW treatment (Table 6). Plant height did not exhibit statistical differences between the CTR and the PAW-LI treatment (6.42 cm to 6.27 cm, respectively) (p > 0.05). However, a significant decrease in PH was observed in the PAW-HI treatment (5.28 cm) (p < 0.05). CD values did not show statistical differences between the PAW-LI and PAW-HI treatments, with a higher value in the CTR treatment (3.55 mm). Additionally, a significant increase in the SI was observed in plants treated with PAW-LI. Aerial biomass showed a significant decrease from the CTR treatment (1.63 g plant−1) to PAW-HI treatment (0.88 g plant−1) (p < 0.05).
Among the cultivation cycles, PH and SI were higher during the I cycle (p < 0.05). However, CD and aerial biomass weight did not show significant differences between the I and III cycles (p > 0.05). SPAD index values were higher in the II cycle (p < 0.05). Regarding dry matter content in lettuce, significant higher values were observed in the II cycle (averaging 16.0%); meanwhile, plants in the I and III cycle plants exhibited lower values of 14.5% and 14.3%, respectively (p < 0.05).
The interaction between the PAW treatments and the cultivation cycle significantly influenced the morphological traits in lettuce (p < 0.05). In the I cycle, the PH decreased as the intensity of PAW treatment increased (p < 0.05) (Figure 6A). However, in the III cycle, the PAW-LI treatment exhibited the highest values compared to the PAW-HI treatment (p < 0.05). CD showed a significant reduction from CTR to PAW-HI treatment during the I cycle (p < 0.05) (Figure 6B). Regarding the SI (Figure 6C), no significant differences were observed across treatments in the I cycle. In terms of biomass weight (Figure 6D), in the I and III cycles, there was a decrease from the CTR to the PAW-HI treatment (p < 0.05).

3.6. Aerial Biomass Minerals and Ions Content

The chemical analyses conducted to assess the impact of PAW treatments on the chemical composition of plant tissues are presented in Table 7. The table displays the percentage deviation from values observed in CTR plants. Overall, the PAW-HI treatment led to an increase in most anions, especially in tomato and cabbage plants, in particular, for the PO43− content in tomato (7.38%), and cabbage (7.06%). Moreover, both PAW-HI and PAW-LI treatments resulted in an increase in nitrite, nitrate, and ammonium content in most species, which are essential sources of inorganic nitrogen for plant nutrition. The PAW-HI treatment exhibited a partial effect on increasing Ca2+ content in basil, Swiss chard, and lettuce plant tissues compared to the CTR. However, the impact on total Kjeldahl nitrogen was higher in tomato (6.64%), Swiss chard (5.40%), and lettuce (3.39%), particularly with the PAW-LI treatment.
The chemical composition of plant tissues was evaluated among three cultivation periods, measuring cations and anions in mg kg−1 and g kg−1 of dry matter, and the percentage of TKN (Table 8). In this context, no accumulation trend was observed in terms of chemical compounds and cultivation cycles. However, regarding NO3 content, the values were higher in the I cycle in tomato (614.4 mg kg−1 dw), Swiss chard (32.7 mg kg−1 dw), and cabbage (50.1 mg kg−1 dw) (p < 0.05). A similar trend occurred in the I cycle for the nitrogen TKN, which was 1.39% dw in tomato, 1.30% dw in Swiss chard, and 1.22% dw in cabbage (p < 0.05).

4. Discussion

In this experiment, it was revealed that the impact of PAW treatments on plant growth parameters varied significantly depending on the plant species, treatment intensities, and growth cycles. Environmental factors such as temperature and sunlight also influenced plant performance across different cycles, emphasizing the importance of considering these variables in future research. This is consistent with the findings of Savi et al. [31], who emphasized the role of environmental factors, including temperature, humidity, and soil conditions, in impacting PAW-treated tomato plants and their interactions with pests.
Tomato plants treated with PAW-HI exhibited significant increases in traits such as PH, CD, and aerial biomass weight. These results align with the findings of Kučerová et al. [24], which suggest that PAW generated through non-thermal plasma (NTP) processes contains long-lived reactive species, such as nitrate (NO3) and hydrogen peroxide (H2O2), that can stimulate plant growth. For instance, Sivachandiran and Khacef [32], demonstrated that Solanum lycopersicum and Capsicum annum seeds treated with plasma for 10 min during the first 9 days, followed by tap water, exhibited a significant increase in stem length (+60%) compared to untreated controls.
Contrary to expectations, PAW-HI did not significantly enhance either aerial biomass or dry matter content in basil plants. Interestingly, the plants treated with PAW-HI were shorter than those in the control group. This contrasts with the findings of Davis [33], who observed a gradual increase in stem length (~9% on average) in basil treated with DBD plasma jets, particularly during later growth stages (weeks 5–7). The discrepancy may be attributed to differences in plasma generation methods, treatment durations, or specific growth conditions.
In contrast, the plasma-activated nutrient solution (PANS) approach demonstrated by Date et al. [34] showed substantial benefits in basil cultivation, including up to 12% taller plants, 29% higher fresh mass, and 45% greater dry mass. The results suggest that the nutrient composition and method of plasma application could play crucial roles in determining the effectiveness of PAW treatments in basil cultivation.
These opposing effects may be linked to multiple factors that influence physiological processes in different ways. Currently, some information is available on these aspects, primarily concerning the effects of PAW on seed germination and seedling growth during the earliest stages. It remains uncertain whether the changes due to PAW are directly caused by plasma-induced oxidative stress. Some insight about these effects are mainly available for seed treatments. Stolárik et al. [35] examined changes in endogenous hormones, such as auxins and cytokinins, in seeds exposed to plasma and linked these changes to their improved growth. They proposed that plasma treatment influences the biochemical pathways within the seeds. Hayashi et al. [36] also proposed a mechanism for seed stimulation involving the antioxidative activity of plasma-treated seeds, supported by their measurements of thiol compounds and their correlation with plant growth progression. These findings indicate that the growth enhancement resulting from plasma treatment is a multifaceted process, influenced by multiple mechanisms and strongly dependent on the specific treatment conditions.
Swiss chard did not exhibit statistically significant changes in morphological traits across PAW treatments. Previous studies, such as those by Terebun et al. [37], have highlighted the effect of different plasma water treatment timings (5, 10, and 20 min) on beetroot (Beta vulgaris) germination and their height at 7 and 14 days after treatment. Positive effects of PAW treatment were allowing an increase in germination rate and sprouts of greater length.
The effects of PAW treatments on cabbage were less pronounced than those observed in tomatoes plants. However, Chalise et al. [38] reported that increasing the exposure time of Brassica oleracea seeds to plasma (0–20 min) resulted in a significant increase in the water uptake rate, ranging from approximately 94% to 115%. Moreover, this prolonged exposure led to increased root and shoot lengths, as well as elevated chlorophyll content.
Lettuce treated with PAW-HI experienced reductions in plant height (PH) and aerial biomass weight, along with small necrotic areas on leaves. Similar results were recorded by Stoleru et al. [39], who reported lower positive effects of PAW II (3.0 mg L−1 NO3) on the radicle and hypocotyl growth of lettuce seedlings. These effects were attributed to higher concentrations of reactive species (3.0 mg L−1 NO3 and 1.65 mg L−1 H2O2), which may have caused oxidative stress and slowed growth processes. This could be due to lettuce’s larger leaf surface and its delicate tissues, which are more susceptible to oxidative stress. Kučerová et al. [24] observed similar adverse effects in lettuce irrigated with high concentrations of H2O2 (10 mM), while lower concentrations (~0.42 mM in PAW) had milder effects. Interestingly, PAW treatments increased photosynthetic pigment content (chlorophyll a + b) and photosynthetic rates, while reducing antioxidant enzyme activity, suggesting a balance between stress and adaptation. Thirumdas et al. [40], conversely, demonstrated that reactive species in PAW provided a bactericidal effect without harming lettuce cells. Optimal germination and seedling growth parameters, including stem and root length, were observed when PAW was used with moderate plasma exposure durations (10–20 min), producing NO3 and H2O2 concentrations within favorable ranges (30–40 mg L−1 and 23–44 mg L−1, respectively) [15].
Several studies have documented a positive correlation between NO3 production in PAW and increased levels of chlorophyll pigment, chloroplast content, and photosynthesis rate [24,41,42]. Similarly, Takahata et al. [20] reported increased fruit sugar in strawberries due to enhanced photosynthesis facilitated by chlorophyll, achieved through PAW treatments. The PAW-HI treatment adversely affected lettuce’s photosynthetic activity, leading to decreased SPAD index values. However, other species did not display significant changes in the SPAD index with varying treatment intensities, except for basil, which exhibited a slight increase with high-intensity treatment.
Plant growth traits were strongly influenced by environmental conditions across the three cultivation cycles. In the I cycle, all species exhibited significantly higher morphological growth traits due to favorable conditions (high light intensity and optimal temperatures). Conversely, the II cycle, characterized by midsummer conditions (high light intensity and elevated air temperatures), exhibited reduced growth, likely due to lower dissolved oxygen levels, and reduced redox potential in water. Day–night temperature fluctuations also contributed to slower growth [43]. The III cycle resulted in intermediate growth traits with some species like basil and Swiss chard showing significant declines due to climatic conditions. Overall, the recorded data indicated that almost all plant species exhibited a higher percentage of dry matter, when growing conditions were more favorable in terms of temperature and photosynthesis (I and III cycles). Wahid et al. [44] noted that high temperatures negatively affect germination, leaf development, and photosynthesis, leading to reduced dry matter accumulation.
Regarding the accumulation of anions and cations in plant tissues, it was noted that both PAW-LI and PAW-HI treatments primarily contributed to the accumulation of TKN. Several research reports have highlighted that PAW treatments primarily provide plants with NO2, NO3, NH4+, and H2O2 in water [45,46,47]. Indeed, it is evident that PAW treatments enhanced the content of NO2 (in basil, Swiss chard, and cabbage), NO3 (tomato, cabbage, and lettuce), and NH4+ (in tomato, basil, and Swiss chard), which are essential nitrogen sources for plants. This suggests that PAW could be used to increase nitrogen availability for plants despite the supplied contents being quite limited. However, concerning the accumulation of cations, there was no distinct trend observed, except for Ca2+ and K+. A study on maize [48], conversely, reported a significant accumulation of K+ in plant tissue following PAW treatment. These effects were not observed for the other analyzed elements such as Ca2+, and Mg2+, indicating the need for further in-depth studies to validate the specific effects of this treatment on different elements.
Furthermore, considering the influence of the cultivation cycle on the mineral element accumulations in the plants’ tissues, it was found that plants from the I cycle had significantly higher total nitrogen levels compared to the other two cycles. Additionally, notably higher NO3 accumulations were observed in the cabbage and Swiss chard plants from the I cycle. This observation can be attributed to the fact that plants in the I cycle exhibited the highest photosynthetic activity due to higher temperatures and light conditions in comparison to the other two cycles. Nitrogen is well-known to play a role in supporting these physiological processes, as documented by Mu et al. [49].
Sivachandiran and Khacef [32] suggested that optimizing water plasma treatment time is crucial for understanding the active role of plasma discharge on different seed species and surface activation. While this study does not address the economic feasibility of plasma-activated water (PAW) treatment, it is important to note that PAW is generally considered less costly and more readily available compared to traditional plasma treatments, making it a promising candidate for commercial-scale applications [50]. Jin et al. [51] demonstrated the successful mass production of PAW using dielectric barrier discharge DBD plasma, with a capacity of 520 L hr−1. Furthermore, a study by Kooshki et al. [52] shows that the fountain dielectric barrier discharge (FDBD) setup, designed to enhance ROS production, can improve energy efficiency by more than 20% compared to a typical DBD reactor that produces a mixture of ROS and RNS.
In this study, the findings highlight the need to further investigate how fertilization interacts with PAW. This opens avenues for future research to explore the integration of plasma-activated water (PAW) with nutrient management strategies, evaluating its long-term effects and optimizing its potential for large-scale applications in horticulture.

5. Conclusions

In this study, the aim was to evaluate the effects of plasma-activated water (PAW) irrigation, generated via non-thermal plasma (NTP) treatments at different intensities, on the nursery production of five horticultural species over three growth periods, compared to tap water irrigation. The findings revealed that PAW treatments had varying impacts depending on the species and treatment intensity. While high-intensity PAW generally promoted better growth and nitrogen accumulation in plant tissues, the effects were not uniform across all tested species. For example, lettuce exhibited sensitivity to PAW-HI, resulting in tissue damage, which underscores the need to avoid direct leaf contact or to use low-intensity PAW instead.
Although PAW treatments did not significantly affect dry matter accumulation across the tested species, the observed increase in nitrogen content suggests that PAW can serve as a supplementary nitrogen source, providing a potential alternative to traditional fertilization. The results emphasize that the benefits of PAW are species-specific and influenced by physiological and environmental factors. Notably, the hypothesis that PAW could enhance nursery production was partially supported, with clear benefits observed in tomatoes and cabbages, but with limited effects in other crops.
While these findings provide valuable insights, there are still challenges to overcome. We identified key bottlenecks associated with the use of PAW in nurseries, which future research should address. Specifically, pilot trials in commercial nurseries are needed to validate the scalability of PAW treatments and develop cost-effective implementation guidelines. These steps are essential for bridging the gap between laboratory findings and real-world applications.
Future studies should also focus on optimizing PAW use, particularly PAW-LI treatments, to enhance mineral accumulation and better understand their effects on plant growth during critical development stages. By refining application methods and identifying the most effective intensities and timings, PAW irrigation could become a valuable, sustainable tool for nursery production, reducing dependence on chemical fertilizers while maintaining or improving crop quality.

Author Contributions

Conceptualization, G.Z. and C.N.; methodology, S.L. and S.T.; software, S.L.; validation, S.L. and C.N.; formal analysis, S.L. and S.T.; investigation, S.L, S.T. and C.N.; resources, C.N.; data curation, S.L.; writing—original draft preparation, S.L.; writing—review and editing, S.L., S.T., M.D.B., G.Z. and C.N.; visualization, G.Z. and C.N.; supervision, C.N.; project administration, C.N.; funding acquisition, C.N. All authors have read and agreed to the published version of the manuscript.

Funding

This research was funded by the project of Jonix PLASFOOD “Fondo per lo Sviluppo e la Coesione (FSC)”—DGR N 1570 6 December 2022.

Data Availability Statement

The original contributions presented in this study are included in the article. Further inquiries can be directed to the corresponding author.

Acknowledgments

The authors gratefully acknowledge the company Jonix s.r.l.

Conflicts of Interest

The authors declare no conflicts of interest.

References

  1. Caicedo Solano, N.E.; García Llinás, G.A.; Montoya-Torres, J.R. Towards the integration of lean principles and optimization for agricultural production systems: A conceptual review proposition. J. Sci. Food Agric. 2020, 100, 453–464. [Google Scholar] [CrossRef] [PubMed]
  2. Balliu, A.; Sallaku, G.; Nasto, T. Nursery management practices influence the quality of vegetable seedlings. Italus Hortus 2017, 24, 39–52. [Google Scholar] [CrossRef]
  3. Pascual, J.A.; Ceglie, F.; Tuzel, Y.; Koller, M.; Koren, A.; Hitchings, R.; Tittarelli, F. Organic substrate for transplant production in organic nurseries. A review. Agron. Sustain. Dev. 2018, 38, 35. [Google Scholar] [CrossRef]
  4. Almansa, E.M.; Espín, A.; Chica, R.M.; Lao, M.T. Bioassimilation behaviour of tomato seedling cultivars under different sources of artificial light. Aust. J. Crop Sci. 2014, 8, 873–880. Available online: https://search.informit.org/doi/10.3316/informit.477666034809822 (accessed on 7 July 2024).
  5. Chappell, M.; Dove, S.K.; van Iersel, M.W.; Thomas, P.A.; Ruter, J. Implementation of wireless sensor networks for irrigation control in three container nurseries. HortTechnology 2013, 23, 747–753. [Google Scholar] [CrossRef]
  6. Krishnan, P.R.; Kalia, R.K.; Tewari, J.C.; Roy, M.M. Plant Nursery Management: Principles and Practices; Central Arid Zone Research Institute: Jodhpur, India, 2014. [Google Scholar]
  7. Prunty, R.M.; Ramon, A.A. Characteristics of Good Quality Transplants. Agricultural Research and Extension Center, Virginia Tech. 2015, 2906–1383. Available online: https://vtechworks.lib.vt.edu/bitstreams/18c1cd8f-3469-4606-9ed7-80fff3114675/download (accessed on 20 June 2024).
  8. Hong, C.X.; Moorman, G.W. Plant pathogens in irrigation water: Challenges and opportunities. Crit. Rev. Plant Sci. 2005, 24, 189–208. [Google Scholar] [CrossRef]
  9. Schnabel, U.; Niquet, R.; Schmidt, C.; Stachowiak, J.; Schlüter, O.; Andrasch, M.; Ehlbeck, J. Antimicrobial efficiency of non-thermal atmospheric pressure plasma processed water (PPW) against agricultural relevant bacteria suspensions. Int. J. Environ. Agric. Res. 2016, 2, 212–224. [Google Scholar]
  10. Bogaerts, A.; Neyts, E.; Gijbels, R.; Van der Mullen, J. Gas discharge plasmas and their applications. Spectrochim. Acta Part B At. Spectrosc. 2002, 57, 609–658. [Google Scholar] [CrossRef]
  11. Khan, M.N.; Alamri, S.; Al-Amri, A.A.; Alsubaie, Q.D.; Al-Munqedi, B.; Ali, H.M.; Singh, V.P.; Siddiqui, M.H. Effect of nitric oxide on seed germination and seedling development of tomato under chromium toxicity. J. Plant Growth Regul. 2021, 40, 2358–2370. [Google Scholar] [CrossRef]
  12. Li, L.; Jiang, J.; Li, J.; Shen, M.; He, X.; Shao, H.; Dong, Y. Effects of cold plasma treatment on seed germination and seedling growth of soybean. Sci. Rep. 2014, 4, 5859. [Google Scholar] [CrossRef]
  13. Alves Junior, C.; de Oliveira Vitoriano, J.; da Silva DL, S.; de Lima Farias, M.; de Lima Dantas, N.B. Water uptake mechanism and germination of Erythrina velutina seeds treated with atmospheric plasma. Sci. Rep. 2016, 6, 33722. [Google Scholar] [CrossRef] [PubMed]
  14. Scholtz, V.; Šerá, B.; Khun, J.; Šerý, M.; Julák, J. Effects of nonthermal plasma on wheat grains and products. J. Food Qual. 2019, 2019, 7917825. [Google Scholar] [CrossRef]
  15. Than, H.A.Q.; Pham, T.H.; Nguyen, D.K.V.; Pham, T.H.; Khacef, A. Non-thermal plasma activated water for increasing germination and plant growth of Lactuca sativa L. Plasma Chem. Plasma Process. 2022, 42, 73–89. [Google Scholar] [CrossRef]
  16. Zhang, J.J.; Jo, J.O.; Huynh, D.L.; Mongre, R.K.; Ghosh, M.; Singh, A.K.; Lee, S.B.; Mok, Y.S.; Hyuk, P.; Jeong, D.K. Growth-inducing effects of argon plasma on soybean sprouts via the regulation of demethylation levels of energy metabolism-related genes. Sci. Rep. 2017, 7, 41917. [Google Scholar] [CrossRef]
  17. Abedi, S.; Iranbakhsh, A.; Oraghi Ardebili, Z.; Ebadi, M. Seed priming with cold plasma improved early growth, flowering, and protection of Cichorium intybus against selenium nanoparticle. J. Theor. Appl. Phys. 2020, 14, 113–119. [Google Scholar] [CrossRef]
  18. Adhikari, B.; Pangomm, K.; Veerana, M.; Mitra, S.; Park, G. Plant disease control by non-thermal atmospheric-pressure plasma. Front. Plant Sci. 2020, 11, 77. [Google Scholar] [CrossRef] [PubMed]
  19. Park, D.P.; Davis, K.; Gilani, S.; Alonzo, C.A.; Dobrynin, D.; Friedman, G.; Fridman, A.; Rabinovich, A.; Fridman, G. Reactive nitrogen species produced in water by non-equilibrium plasma increase plant growth rate and nutritional yield. Curr. Appl. Phys. 2013, 13, S19–S29. [Google Scholar] [CrossRef]
  20. Takahata, J.; Takaki, K.; Satta, N.; Takahashi, K.; Fujio, T.; Sasaki, Y. Improvement of growth rate of plants by bubble discharge in water. Jpn. J. Appl. Phys. 2014, 54, 01AG07. [Google Scholar] [CrossRef]
  21. Lindsay, A.; Byrns, B.; King, W.; Andhvarapou, A.; Fields, J.; Knappe, D.; Fonteno, W.; Shannon, S. Fertilization of radishes, tomatoes, and marigolds using a large-volume atmospheric glow discharge. Plasma Chem. Plasma Process. 2014, 34, 1271–1290. [Google Scholar] [CrossRef]
  22. Ji, W.; Li, M.; Yang, T.; Li, H.; Li, W.; Wang, J.; Ma, M. Effect of cold plasma on physical–biochemical properties and nutritional components of soybean sprouts. Food Res. Int. 2022, 161, 111766. [Google Scholar] [CrossRef]
  23. Šerá, B.; Scholtz, V.; Jirešová, J.; Khun, J.; Julák, J.; Šerý, M. Effects of non-thermal plasma treatment on seed germination and early growth of leguminous plants—A review. Plants 2021, 10, 1616. [Google Scholar] [CrossRef]
  24. Kučerová, K.; Henselová, M.; Slováková, Ľ.; Bačovčinová, M.; Hensel, K. Effect of plasma activated water, hydrogen peroxide, and nitrates on lettuce growth and its physiological parameters. Appl. Sci. 2021, 11, 1985. [Google Scholar] [CrossRef]
  25. Takaki, K.; Takahata, J.; Watanabe, S.; Satta, N.; Yamada, O.; Fujio, T.; Sasaki, Y. Improvements in plant growth rate using underwater discharge. J. Phys. Conf. Ser. 2013, 418, 012140. [Google Scholar] [CrossRef]
  26. Adhikari, B.; Adhikari, M.; Ghimire, B.; Park, G.; Choi, E.H. Cold atmospheric plasma-activated water irrigation in-duces defense hormone and gene expression in tomato seedlings. Sci. Rep. 2019, 9, 16080. [Google Scholar] [CrossRef]
  27. Cannazzaro, S.; Traversari, S.; Cacini, S.; Di Lonardo, S.; Pane, C.; Burchi, G.; Massa, D. Non-thermal plasma treatment influences shoot biomass, flower production and nutrition of gerbera plants depending on substrate composition and fertigation level. Plants 2021, 10, 689. [Google Scholar] [CrossRef]
  28. Nicoletto, C.; Falcioni, V.; Locatelli, S.; Sambo, P. Non-Thermal Plasma and Soilless Nutrient Solution Application: Effects on Nutrient Film Technique Lettuce Cultivation. Horticulturae 2023, 9, 208. [Google Scholar] [CrossRef]
  29. Leti, L.I.; Gerber, I.C.; Mihaila, I.; Galan, P.M.; Strajeru, S.; Petrescu, D.E.; Cimpeanu, M.M.; Topala, I.; Gorgan, D.L. The modulatory effects of non-thermal plasma on seed’s morphology, germination and genetics—A review. Plants 2022, 11, 2181. [Google Scholar] [CrossRef]
  30. Formisano, L.; Miras-Moreno, B.; Ciriello, M.; Zhang, L.; De Pascale, S.; Lucini, L.; Rouphael, Y. Between light and shading: Morphological, biochemical, and metabolomics insights into the influence of blue photoselective shading on vegetable seedlings. Front. Plant Sci. 2022, 13, 890830. [Google Scholar] [CrossRef]
  31. Savi, P.J.; Mantri, A.; Khodaverdi, H.; Zou, Y.; de Moraes, G.J.; Nansen, C. Indirect effects of plasma-activated water irrigation on Tetranychus urticae populations. J. Pest Sci. 2024, 95, 1–14. [Google Scholar] [CrossRef]
  32. Sivachandiran, L.; Khacef, A. Enhanced seed germination and plant growth by atmospheric pressure cold air plasma: Combined effect of seed and water treatment. RSC Adv. 2017, 7, 1822–1832. [Google Scholar] [CrossRef]
  33. Davis, W. Plasma Agriculture: Characterization of DBD Plasma Jet and Analysis of Effects When Treated on Sweet Basil (Ocimum basilicum). Master’s Thesis, Seton Hall University, Village, NJ, USA, 2021. [Google Scholar]
  34. Date, M.B.; Rivero, W.C.; Tan, J.; Specca, D.; Simon, J.E.; Salvi, D.A.; Karwe, M.V. Growth of hydroponic sweet basil (O. basilicum L.) using plasma-activated nutrient solution (PANS). Agriculture 2023, 13, 443. [Google Scholar] [CrossRef]
  35. Stolárik, T.; Henselová, M.; Martinka, M.; Novák, O.; Zahoranová, A.; Černák, M. Effect of low-temperature plasma on the structure of seeds, growth and metabolism of endogenous phytohormones in pea (Pisum sativum L.). Plasma Chem. Plasma Process. 2015, 35, 659–676. [Google Scholar] [CrossRef]
  36. Hayashi, N.; Ono, R.; Shiratani, M.; Yonesu, A. Antioxidative activity and growth regulation of Brassicaceae induced by oxygen radical irradiation. Jpn. J. Appl. Phys. 2015, 54, 06GD01. [Google Scholar] [CrossRef]
  37. Terebun, P.; Kwiatkowski, M.; Hensel, K.; Kopacki, M.; Pawłat, J. Influence of plasma activated water generated in a gliding arc discharge reactor on germination of beetroot and carrot seeds. Appl. Sci. 2021, 11, 6164. [Google Scholar] [CrossRef]
  38. Chalise, R.; Shrestha, P.; Sharma, S.; Basnet, S.; Mishra, L.N.; Khanal, R. Enhancing seed germination and growth parameters of cauliflower (Brassica oleracea, variety Botrytis) using plasma-activated water. J. Phys. D Appl. Phys. 2023, 56, 505201. [Google Scholar] [CrossRef]
  39. Stoleru, V.; Burlica, R.; Mihalache, G.; Dirlau, D.; Padureanu, S.; Teliban, G.C.; Astanei, D.; Cojocaru, A.; Beniuga, O.; Patras, A. Plant growth promotion effect of plasma activated water on Lactuca sativa L. cultivated in two different volumes of substrate. Sci. Rep. 2020, 10, 20920. [Google Scholar] [CrossRef]
  40. Thirumdas, R.; Kothakota, A.; Annapure, U.; Siliveru, K.; Blundell, R.; Gatt, R.; Valdramidis, V.P. Plasma activated water (PAW): Chemistry, physico-chemical properties, applications in food and agriculture. Trends Food Sci. Technol. 2018, 77, 21–31. [Google Scholar] [CrossRef]
  41. Kučerová, J.; Konôpková, A.; Pšidová, E.; Kurjak, D.; Jamnická, G.; Slugenová, K.; Gömöry, D.; Ditmarová, L. Adaptive variation in physiological traits of beech provenances in Central Europe. Iforest-Biogeosci. For. 2018, 11, 24–31. [Google Scholar] [CrossRef]
  42. Maniruzzaman, M.; Sinclair, A.J.; Cahill, D.M.; Wang, X.; Dai, X.J. Nitrate and hydrogen peroxide generated in water by electrical discharges stimulate wheat seedling growth. Plasma Chem. Plasma Process. 2017, 37, 1393–1404. [Google Scholar] [CrossRef]
  43. Ihsan, M.Z.; Khaliq, A.; Siddiqui, M.H.; Ali, L.; Kumar, R.; Ali, H.M.; Matloob, A.; Fahad, S. The response of Triticum aes-tivum treated with plant growth regulators to acute day/night temperature rise. J. Plant Growth Regul. 2022, 41, 2020–2033. [Google Scholar] [CrossRef]
  44. Wahid, A.; Gelani, S.; Ashraf, M.; Foolad, M.R. Heat tolerance in plants: An overview. Environ. Exp. Bot. 2007, 61, 199–223. [Google Scholar] [CrossRef]
  45. Judée, F.; Simon, S.; Bailly, C.; Dufour, T. Plasma-activation of tap water using DBD for agronomy applications: Identification and quantification of long lifetime chemical species and production/consumption mechanisms. Water Res. 2018, 133, 47–59. [Google Scholar] [CrossRef]
  46. Zhou, R.; Zhou, R.; Wang, P.; Xian, Y.; Mai-Prochnow, A.; Lu, X.; Cullen, P.J.; Ostrikov, K.K.; Bazaka, K. Plasma-activated water: Generation, origin of reactive species and biological applications. J. Phys. D Appl. Phys. 2020, 53, 303001. [Google Scholar] [CrossRef]
  47. Guo, D.; Liu, H.; Zhou, L.; Xie, J.; He, C. Plasma-activated water production and its application in agriculture. J. Sci. Food Agric. 2021, 101, 4891–4899. [Google Scholar] [CrossRef]
  48. Škarpa, P.; Klofáč, D.; Krčma, F.; Šimečková, J.; Kozáková, Z. Effect of plasma activated water foliar application on selected growth parameters of maize (Zea mays L.). Water 2020, 12, 3545. [Google Scholar] [CrossRef]
  49. Mu, X.; Chen, Q.; Chen, F.; Yuan, L.; Mi, G. Within-leaf nitrogen allocation in adaptation to low nitrogen supply in maize during grain-filling stage. Front. Plant Sci. 2016, 7, 699. [Google Scholar] [CrossRef]
  50. Herianto, S.; Hou, C.Y.; Lin, C.M.; Chen, H.L. Nonthermal plasma-activated water: A comprehensive review of this new tool for enhanced food safety and quality. Compr. Rev. Food Sci. Food Saf. 2021, 20, 583–626. [Google Scholar] [CrossRef]
  51. Jin, Y.S.; Cho, C.; Kim, D.; Sohn, C.H.; Ha, C.S.; Han, S.T. Mass production of plasma activated water by an atmospheric pressure plasma. Jpn. J. Appl. Phys. 2020, 59, SHHF05. [Google Scholar] [CrossRef]
  52. Kooshki, S.; Pareek, P.; Janda, M.; Machala, Z. Selective reactive oxygen and nitrogen species production in plasma-activated water via dielectric barrier discharge reactor: An innovative method for tuning and its impact on dye degradation. J. Water Process Eng. 2024, 63, 105477. [Google Scholar] [CrossRef]
Figure 1. Schematic representation of the water activation system using a non-thermal plasma generator.
Figure 1. Schematic representation of the water activation system using a non-thermal plasma generator.
Agronomy 15 00209 g001
Figure 2. Effects of cultivation cycle (I cycle: May–June; II cycle: June–July; III cycle: September–October) and plasma-activated water treatment (CTR: control, PAW-LI: low-intensity, PAW-HI: high-intensity) on plant height (A), collar diameter (B), sturdiness index (C), and aerial biomass fresh weight (D) in tomato. Different letters indicate significant differences (p < 0.05) between treatments according to Tukey’s HSD test.
Figure 2. Effects of cultivation cycle (I cycle: May–June; II cycle: June–July; III cycle: September–October) and plasma-activated water treatment (CTR: control, PAW-LI: low-intensity, PAW-HI: high-intensity) on plant height (A), collar diameter (B), sturdiness index (C), and aerial biomass fresh weight (D) in tomato. Different letters indicate significant differences (p < 0.05) between treatments according to Tukey’s HSD test.
Agronomy 15 00209 g002
Figure 3. Effects of cultivation cycle (I cycle: May–June; II cycle: June–July; III cycle: September–October) and plasma-activated water treatment (CTR: control; PAW-LI: low-intensity; PAW-HI: high-intensity) on plant height (A), collar diameter (B), sturdiness index (C), and aerial biomass fresh weight (D) in basil. Different letters indicate significant differences (p < 0.05) between treatments according to Tukey’s HSD test. ns = not significant differences.
Figure 3. Effects of cultivation cycle (I cycle: May–June; II cycle: June–July; III cycle: September–October) and plasma-activated water treatment (CTR: control; PAW-LI: low-intensity; PAW-HI: high-intensity) on plant height (A), collar diameter (B), sturdiness index (C), and aerial biomass fresh weight (D) in basil. Different letters indicate significant differences (p < 0.05) between treatments according to Tukey’s HSD test. ns = not significant differences.
Agronomy 15 00209 g003
Figure 4. Effects of cultivation cycle (I cycle: May–June; II cycle: June–July; III cycle: September–October) and plasma-activated water treatment (CTR: control; PAW-LI: low-intensity; PAW-HI: high-intensity) on plant height (A), collar diameter (B), sturdiness index (C), and aerial biomass fresh weight (D) in Swiss chard. Different letters indicate significant differences (p < 0.05) between treatments according to Tukey’s HSD test.
Figure 4. Effects of cultivation cycle (I cycle: May–June; II cycle: June–July; III cycle: September–October) and plasma-activated water treatment (CTR: control; PAW-LI: low-intensity; PAW-HI: high-intensity) on plant height (A), collar diameter (B), sturdiness index (C), and aerial biomass fresh weight (D) in Swiss chard. Different letters indicate significant differences (p < 0.05) between treatments according to Tukey’s HSD test.
Agronomy 15 00209 g004
Figure 5. Effects of cultivation cycle (I cycle: May–June; II cycle: June–July; III cycle: September–October) and plasma-activated water treatment (CTR: control; PAW-LI: low-intensity; PAW-HI: high-intensity) on plant height (A), collar diameter (B), sturdiness index (C), and aerial biomass fresh weight (D) in cabbage. Different letters indicate significant differences (p < 0.05) between treatments according to Tukey’s HSD test.
Figure 5. Effects of cultivation cycle (I cycle: May–June; II cycle: June–July; III cycle: September–October) and plasma-activated water treatment (CTR: control; PAW-LI: low-intensity; PAW-HI: high-intensity) on plant height (A), collar diameter (B), sturdiness index (C), and aerial biomass fresh weight (D) in cabbage. Different letters indicate significant differences (p < 0.05) between treatments according to Tukey’s HSD test.
Agronomy 15 00209 g005
Figure 6. Effects of cultivation cycle (I cycle: May–June; II cycle: June–July; III cycle: September–October) and plasma-activated water treatment (CTR: control; PAW-LI: low-intensity; PAW-HI: high-intensity) on plant height (A), collar diameter (B), sturdiness index (C), and aerial biomass fresh weight (D) in lettuce. Different letters indicate significant differences (p < 0.05) between treatments according to Tukey’s HSD test.
Figure 6. Effects of cultivation cycle (I cycle: May–June; II cycle: June–July; III cycle: September–October) and plasma-activated water treatment (CTR: control; PAW-LI: low-intensity; PAW-HI: high-intensity) on plant height (A), collar diameter (B), sturdiness index (C), and aerial biomass fresh weight (D) in lettuce. Different letters indicate significant differences (p < 0.05) between treatments according to Tukey’s HSD test.
Agronomy 15 00209 g006
Table 1. Types and timing of treatment application carried out during the cultivation cycles.
Table 1. Types and timing of treatment application carried out during the cultivation cycles.
TreatmentsWater Redox Potential (mV)Duration Timing (min)
Control (CTR)150–2000
Low Intensity (PAW-LI)4505
High Intensity (PAW-HI)60010
Table 2. Effect of plasma-activated water treatment and cultivation cycle on plant height, collar diameter, sturdiness index, aerial biomass SPAD index (chlorophyll content), and dry matter content in tomato plants. Means are followed by standard error (SEM). Different letters indicate significant differences among treatments according to Tukey’s HSD test.
Table 2. Effect of plasma-activated water treatment and cultivation cycle on plant height, collar diameter, sturdiness index, aerial biomass SPAD index (chlorophyll content), and dry matter content in tomato plants. Means are followed by standard error (SEM). Different letters indicate significant differences among treatments according to Tukey’s HSD test.
Tomato PAW Treatment 1Cycle 2
UnitCTRLIHISEMp-ValueIIIIIISEMp-Value
Plant height (PH)Cm12.9 b13.5 b14.5 a0.97<0.000117.7 a10.7 c12.5 b0.97<0.0001
Collar diameter (CD)Mm2.13 b2.19 b2.30 a0.06<0.00012.49 a2.37 b1.77 c0.06<0.0001
Sturdiness index (SI) 61.1 b61.8 ab63.5 a2.730.053171.4 a45.6 b69.4 a2.73<0.0001
Biomassg plant−11.08 b1.16 b1.26 a0.08<0.00011.68 a0.86 b0.96 c0.08<0.0001
SPAD index 30.9 a30.7 a30.0 a0.800.210535.6 a29.9 b26.2 c0.80<0.0001
Dry matter content (DM)%17.9 a17.8 a17.3 a0.610.088816.8 b17.2 b19.1 a0.61<0.0001
1 CTR: control; LI: low-intensity; HI: high-intensity. 2 I cycle: May–June; II cycle: June–July; III cycle: September–October.
Table 3. Effect of plasma-activated water treatment and cultivation cycle on plant height, collar diameter, sturdiness index, aerial biomass SPAD index (chlorophyll content), and dry matter content in basil. Means are followed by standard error (SEM). Different letters indicate significant differences between treatments according to Tukey’s HSD test.
Table 3. Effect of plasma-activated water treatment and cultivation cycle on plant height, collar diameter, sturdiness index, aerial biomass SPAD index (chlorophyll content), and dry matter content in basil. Means are followed by standard error (SEM). Different letters indicate significant differences between treatments according to Tukey’s HSD test.
Basil PAW Treatment 1Cycle 2
UnitCTRLIHISEMp-ValueIIIIIISEMp-Value
Plant height (PH)cm7.86 a7.63 a7.16 b0.28<0.000111.8 a7.21 b3.66 c0.28<0.0001
Collar diameter (CD)mm1.50 b1.62 a1.51 b0.06<0.00011.68 a1.59 b1.37 c0.06<0.0001
Sturdiness index (SI) 51.6 a46.7 b45.7 b0.62<0.000171.3 a45.8 b26.9 c0.62<0.0001
Biomassg plant−11.06 a1.05 a1.01 a0.050.29941.82 a0.60 c0.71 b0.05<0.0001
SPAD index 22.1 a21.4 a21.8 a0.280.126424.2 a21.3 b19.9 c0.28<0.0001
Dry matter content%16.2 a16.4 a16.2 a0.340.848017.0 a17.5 a14.3 b0.34<0.0001
1 CTR: control; LI: low-intensity; HI: high-intensity. 2 I cycle: May–June; II cycle: June–July; III cycle: September–October.
Table 4. Effect of plasma-activated water treatment and cultivation cycle on plant height, collar diameter, sturdiness index, aerial biomass SPAD index (chlorophyll content) and dry matter content in Swiss chard. Means are followed by standard error (SEM). Different letters indicate significant differences between treatments according to Tukey’s HSD test.
Table 4. Effect of plasma-activated water treatment and cultivation cycle on plant height, collar diameter, sturdiness index, aerial biomass SPAD index (chlorophyll content) and dry matter content in Swiss chard. Means are followed by standard error (SEM). Different letters indicate significant differences between treatments according to Tukey’s HSD test.
Swiss Chard PAW Treatment 1Cycle 2
UnitCTRLIHISEMp-ValueIIIIIISEMp-Value
Plant height (PH)cm6.82 a7.20 a6.85 a0.230.03918.86 a6.83 b5.19 c0.23<0.0001
Collar diameter (CD)mm2.25 a2.31 a2.35 a0.090.28432.28 b2.57 a2.06 c0.09<0.0001
Sturdiness index (SI) 31.8 a32.4 a30.9 a1.220.269640.5 a28.0 b26.6 b1.22<0.0001
Biomassg plant−10.80 a0.86 a0.79 a0.040.18651.19 a0.70 b0.55 c0.04<0.0001
SPAD index 22.8 a22.8 a22.7 a0.860.998024.7 a25.5 a18.1 b0.86<0.0001
Dry matter content%14.8 a15.1 a15.4 a0.330.428215.9 a15.8 a13.6 b0.33<0.0001
1 CTR: control; LI: low-intensity; HI: high-intensity. 2 I cycle: May–June; II cycle: June–July; III cycle: September–October.
Table 5. Effect of plasma-activated water treatment and cultivation cycle on plant height, collar diameter, sturdiness index, aerial biomass, SPAD index (chlorophyll content), and dry matter content in cabbage. Means are followed by standard error (SEM). Different letters indicate significant differences between treatments according to Tukey’s HSD test.
Table 5. Effect of plasma-activated water treatment and cultivation cycle on plant height, collar diameter, sturdiness index, aerial biomass, SPAD index (chlorophyll content), and dry matter content in cabbage. Means are followed by standard error (SEM). Different letters indicate significant differences between treatments according to Tukey’s HSD test.
Cabbage PAW Treatment 1Cycle 2
UnitCTRLIHISEMp-ValueIIIIIISEMp-Value
Plant height (PH)cm7.16 b7.09 b7.51 a0.200.001110.2 a4.05 c7.48 b0.20<0.0001
Collar diameter (CD)mm1.28 a1.22 b1.25 ab0.020.06241.39 a1.15 b1.20 b0.02<0.0001
Sturdiness index (SI) 55.8 b58.9 ab61.6 a0.280.000375.0 a36.5 c64.9 b0.28<0.0001
Biomassg plant−10.61 a0.58 a0.62 a0.170.16241.00 a0.25 c0.57 b0.17<0.0001
SPAD index 33.4 b34.4 ab34.9 a0.630.031634.5 a34.1 a34.1 a0.630.7413
Dry matter content%22.6 a23.6 a23.1 a0.410.124422.5 b21.8 b25.0 a0.41<0.0001
1 CTR: control; LI: low-intensity; HI: high-intensity. 2 I cycle: May–June; II cycle: June–July; III cycle: September–October.
Table 6. Effect of plasma-activated water treatment and cultivation cycle on plant height, collar diameter, sturdiness index, aerial biomass, SPAD index (chlorophyll content), and dry matter content in lettuce. Means are followed by standard error (SEM). Different letters indicate significant differences between treatments according to Tukey’s HSD test.
Table 6. Effect of plasma-activated water treatment and cultivation cycle on plant height, collar diameter, sturdiness index, aerial biomass, SPAD index (chlorophyll content), and dry matter content in lettuce. Means are followed by standard error (SEM). Different letters indicate significant differences between treatments according to Tukey’s HSD test.
Lettuce PAW Treatment 1Cycle 2
UnitCTRLIHISEMp-ValueIIIIIISEMp-Value
Plant height (PH)cm6.42 a6.27 a5.28 b0.30<0.00018.21 a3.77 c5.99 b0.30<0.0001
Collar diameter (CD)mm3.55 a3.26 b3.11 b0.08<0.00013.45 a3.18 b3.28 ab0.080.0038
Sturdiness index (SI) 18.0 b19.4 a17.1 b0.06<0.000124.2 a12.4 c18.1 b0.06<0.0001
Biomassg plant−11.63 a1.15 b0.88 c0.10<0.00011.63 a0.56 b1.48 a0.10<0.00001
SPAD index 10.2 a9.8 ab9.2 b0.420.013210.0 b11.3 a7.9 c0.42<0.0001
Dry matter content%14.8 a14.8 a15.2 a0.510.686114.5 b16.0 a14.3 b0.590.0123
1 CTR: control; LI: low-intensity; HI: high-intensity. 2 I cycle: May–June; II cycle: June–July; III cycle: September–October.
Table 7. Effect of plasma-activated water treatment (PAW-LI: low-intensity; PAW-HI: high-intensity) on the amount of phosphates (PO43−), sulfates (SO42−), chlorides (Cl), nitrites (NO2), nitrates (NO3), ammonium (NH4+), sodium (Na+), potassium (K+), magnesium (Mg2+), calcium (Ca2+), and total Kjeldahl nitrogen (TKN) in plant tissue. The values presented are normalized in percentages (%) against the control group treated with tap water.
Table 7. Effect of plasma-activated water treatment (PAW-LI: low-intensity; PAW-HI: high-intensity) on the amount of phosphates (PO43−), sulfates (SO42−), chlorides (Cl), nitrites (NO2), nitrates (NO3), ammonium (NH4+), sodium (Na+), potassium (K+), magnesium (Mg2+), calcium (Ca2+), and total Kjeldahl nitrogen (TKN) in plant tissue. The values presented are normalized in percentages (%) against the control group treated with tap water.
PO43−SO42−ClNO2NO3NH4+Na+K+Mg2+Ca2+TKN
% from the Control
Tomato
PAW-LI−1.17−0.954.26−61.5946.16−12.33−15.304.99−0.94−8.866.64
PAW-HI7.385.37−0.72−22.497.4410.12−24.220.78−6.80−0.81−2.58
Basil
PAW-LI−4.11−0.47−2.81−11.20−14.519.52−1.342.072.971.38−3.27
PAW-HI−3.71−2.76−6.231.11−17.2246.23−5.99−3.4930.084.49−5.05
Swiss chard
PAW-LI17.996.224.80−38.7218.3112.91−0.521.530.492.135.40
PAW-HI−6.210.397.340.69−4.9912.59−19.03−5.13−13.42104.640.42
Cabbage
PAW-LI−3.30−3.420.36−48.23−32.94−7.93−7.002.86−8.57−8.51−5.79
PAW-HI7.06−5.1017.275.03108.40−9.362.478.89−9.93−10.821.78
Lettuce
PAW-LI−6.158.01−9.31−21.65−5.4111.401.16−2.880.030.453.39
PAW-HI−6.6310.76−1.98−2.917.38−4.156.56−0.833.833.26−0.35
Table 8. Effect of the cultivation cycle (I cycle: May-June; II cycle: June-July; III cycle: September-October) on the amount of phosphates (PO43−), sulfates (SO42−), chlorides (Cl), nitrites (NO2), nitrates (NO3), ammonium (NH4+), sodium (Na+), potassium (K+), magnesium (Mg2+), calcium (Ca2+), and total Kjeldahl nitrogen (TKN) in plant tissue. Values are expressed in g kg−1 of dry weight, mg kg−1 of dry weight, and in % of dry weight TKN. Different letters indicate significant differences (p < 0.05) between treatments according to Tukey’s HSD test.
Table 8. Effect of the cultivation cycle (I cycle: May-June; II cycle: June-July; III cycle: September-October) on the amount of phosphates (PO43−), sulfates (SO42−), chlorides (Cl), nitrites (NO2), nitrates (NO3), ammonium (NH4+), sodium (Na+), potassium (K+), magnesium (Mg2+), calcium (Ca2+), and total Kjeldahl nitrogen (TKN) in plant tissue. Values are expressed in g kg−1 of dry weight, mg kg−1 of dry weight, and in % of dry weight TKN. Different letters indicate significant differences (p < 0.05) between treatments according to Tukey’s HSD test.
PO43−SO42−ClNO2NO3NH4+Na+K+Mg2+Ca2+TKN
g kg−1 dwmg kg−1 dwg kg−1 dw% dw
Tomato
I6.9 ab19.2 a9.3 b33.5 b614.4 a98.1 b1.70 a29.9 a2.5 b4.8 c1.39 a
II4.8 b20.1 a15.6 a44.6 b24.8 b162.9 a0.75 b21.7 b3.5 a10.7 a0.79 b
III9.1 a17.0 b5.9 c96.8 a18.0 b95.9 b0.72 b20.7 b2.3 b8.4 b0.75 b
Basil
I7.5 a13.5 b6.9 a47.0 b46.6 a32.3 b0.37 b28.7 b2.2 b5.0 b1.06 b
II3.6 b21.7 a7.1 a37.3 b17.8 a107.4 a0.41 ab14.1 c5.2 a18.0 a0.80 c
III7.5 a11.7 c7.7 a207.3 a105.7 a76.7 a0.44 a34.9 a2.8 b5.7 b1.39 a
Swiss chard
I22.3 a11.0 a11.2 a47.2 b32.7 a110.3 a8.61 b39.8 a6.8 a0.8 a1.30 a
II13.6 a9.9 a12.1 a48.7 b21.4 ab70.8 b9.76 a46.8 a8.8 a0.8 a1.05 b
III23.7 a9.3 a6.0 b95.5 a9.3 b68.8 b4.47 c58.5 a8.1 a1.3 a0.94 b
Cabbage
I13.5 a34.4 b4.8 a31.6 b50.1 a167.9 a0.85 a24.9 a3.5 b14.5 b1.22 a
II8.8 b42.3 a3.5 b39.4 ab32.7 b143.9 ab0.65 b19.8 b7.4 a29.4 a1.04 b
III10.0 ab19.9 c2.4 c48.4 a20.9 b121.3 b0.48 c21.0 b2.7 c11.7 b0.97 b
Lettuce
I6.2 a16.8 a10.8 a45.0 a23.0 b124.5 b1.57 a37.2 a2.4 b5.7 b1.19 a
II5.2 b16.7 a11.0 a49.7 ab39.3 a210.5 a1.98 a35.9 a3.9 a10.6 a1.13 ab
III5.7 ab8.5 b8.0 b69.5 a19.4 b88.5 c1.10 b26.8 b1.6 c5.0 b0.89 b
Disclaimer/Publisher’s Note: The statements, opinions and data contained in all publications are solely those of the individual author(s) and contributor(s) and not of MDPI and/or the editor(s). MDPI and/or the editor(s) disclaim responsibility for any injury to people or property resulting from any ideas, methods, instructions or products referred to in the content.

Share and Cite

MDPI and ACS Style

Locatelli, S.; Triolone, S.; De Bonis, M.; Zanin, G.; Nicoletto, C. Non-Thermal Plasma-Activated Water Enhances Nursery Production of Vegetables: A Species-Specific Study. Agronomy 2025, 15, 209. https://doi.org/10.3390/agronomy15010209

AMA Style

Locatelli S, Triolone S, De Bonis M, Zanin G, Nicoletto C. Non-Thermal Plasma-Activated Water Enhances Nursery Production of Vegetables: A Species-Specific Study. Agronomy. 2025; 15(1):209. https://doi.org/10.3390/agronomy15010209

Chicago/Turabian Style

Locatelli, Silvia, Stefano Triolone, Marina De Bonis, Giampaolo Zanin, and Carlo Nicoletto. 2025. "Non-Thermal Plasma-Activated Water Enhances Nursery Production of Vegetables: A Species-Specific Study" Agronomy 15, no. 1: 209. https://doi.org/10.3390/agronomy15010209

APA Style

Locatelli, S., Triolone, S., De Bonis, M., Zanin, G., & Nicoletto, C. (2025). Non-Thermal Plasma-Activated Water Enhances Nursery Production of Vegetables: A Species-Specific Study. Agronomy, 15(1), 209. https://doi.org/10.3390/agronomy15010209

Note that from the first issue of 2016, this journal uses article numbers instead of page numbers. See further details here.

Article Metrics

Back to TopTop